Effect of Glucose and Inactivated Yeast Additions on the Fermentation Performances of Lactiplantibacillus pentosus OM13 during the Production of Nocellara del Belice Table Olives
Abstract
1. Introduction
2. Materials and Methods
2.1. Fermentation Process and Brine Sampling
2.2. Brine Acidification Kinetics and Microbial Population Monitoring
2.3. Dominance of Starter Strain
2.4. Volatile Organic Compounds
2.5. Sensory Analysis
2.6. Statistical and Multivariate Analysis
3. Results and Discussion
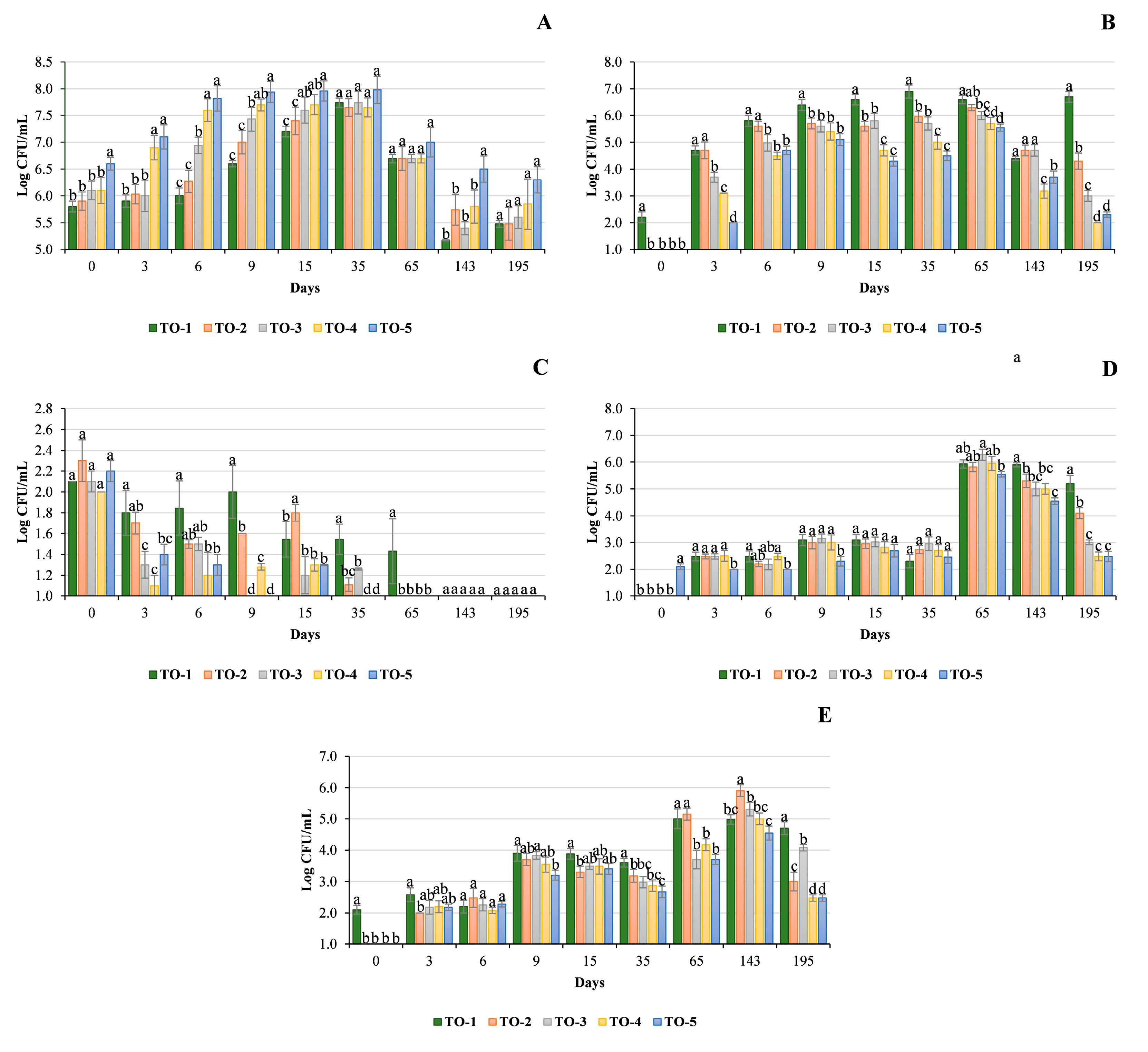
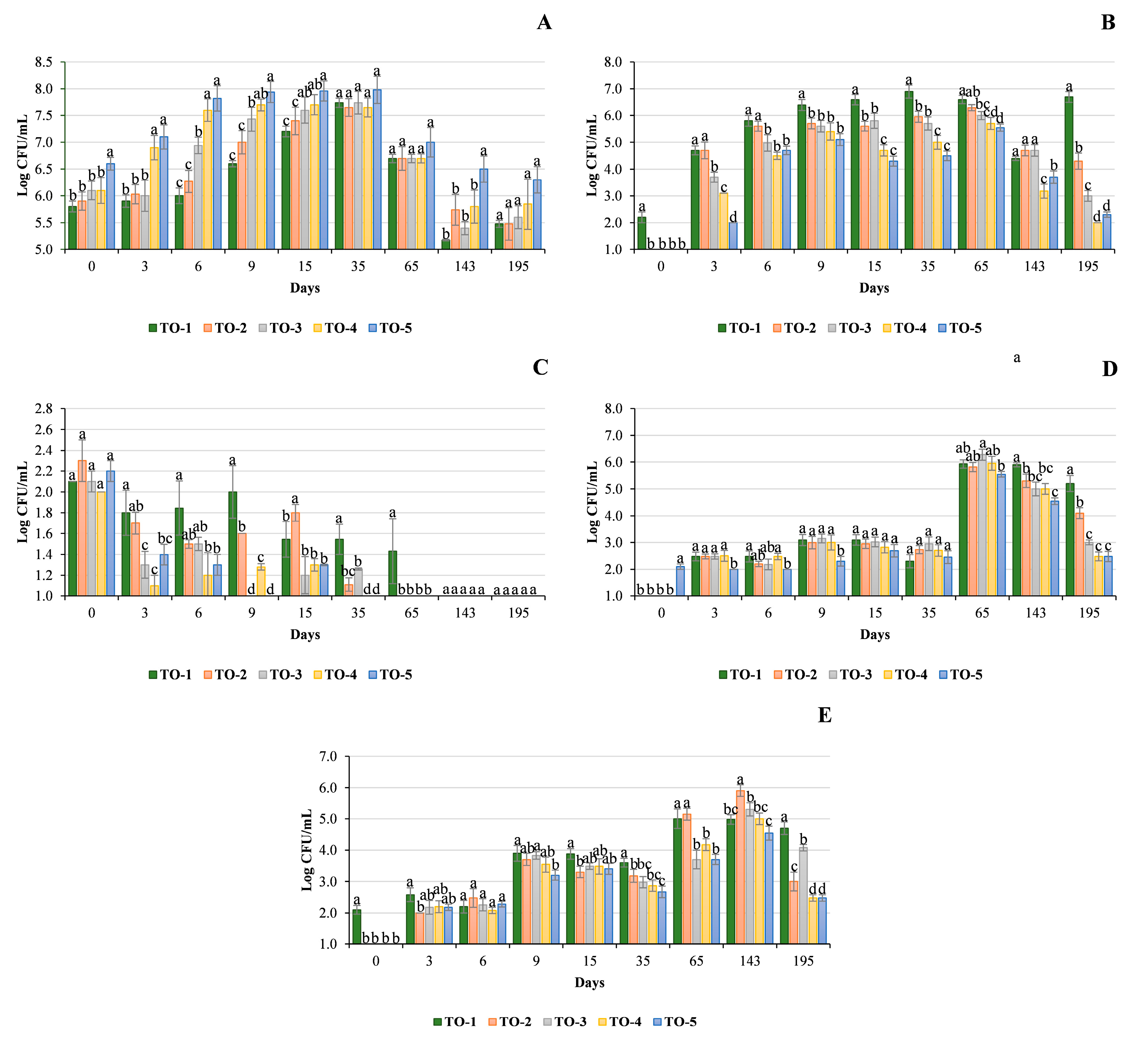
3.1. Microbiological and Physicochemical Analysis
3.1.1. Brine Acidification
3.1.2. Lactic Acid Bacteria
3.1.3. Yeasts
3.1.4. Enterobacteriaceae
3.1.5. Pseudomonadaceae
3.1.6. Staphylococcaceae
3.1.7. Dominance of the Starter Strain L. pentosus OM13
3.2. Volatile Organic Compound Characterisation
3.3. Sensory Evaluation of Final Products
4. Conclusions
Author Contributions
Funding
Institutional Review Board Statement
Informed Consent Statement
Data Availability Statement
Acknowledgments
Conflicts of Interest
Abbreviations
| BP | Baird Parker |
| CFC | Cetrimide–Fucidin–Cephalothin |
| CFU | Colony forming units |
| CPS | Coagulase positive staphylococci |
| DRBC | Dichloran rose bengal chloramphenicol |
| LAB | Lactic acid bacteria |
| MRS | de Man-Rogosa-Sharpe |
| PAB | Pseudomonas agar base |
| PCA | Principal component analysis |
| PCR | Polymerase chain reaction |
| PDO | Protected Designation of Origin |
| RAPD | Random Amplification of Polymorphic DNA |
| RFP | Rabbit Plasma Fibrinogen |
| VOC | Volatile Organic Compounds |
| VRBGA | Violet red bile glucose agar |
References
- Sumrah, M.A.; Jan, M.; Hussain, A.; Akhtar, S.; Nawaz, H.; Afzal, M.; Umar, H. Evaluation of some promising varieties of olive (Olea europaea L.) for growth and yield under Pothwar Regions of Punjab, Pakistan. Pak. J. Agric. Res. 2021, 34, 446–453. [Google Scholar] [CrossRef]
- Perpetuini, G.; Prete, R.; Garcia-Gonzalez, N.; Khairul Alam, M.; Corsetti, A. Table olives more than a fermented food. Foods 2020, 9, 178. [Google Scholar] [CrossRef]
- Gómez, A.H.S.; García, P.G.; Navarro, L.R. Elaboration of table olives. Grasas Aceites 2006, 57, 86–94. [Google Scholar]
- Medina, E.; García, A.; Romero, C.; De Castro, A.; Brenes, M. Study of the anti-lactic acid bacteria compounds in table olives. Int. J. Food Sci. Technol. 2009, 44, 1286–1291. [Google Scholar] [CrossRef]
- Conte, P.; Fadda, C.; Del Caro, A.; Urgeghe, P.P.; Piga, A. Table olives: An overview on effects of processing on nutritional and sensory quality. Foods 2020, 9, 514. [Google Scholar] [CrossRef]
- Ambra, R.; Natella, F.; Bello, C.; Lucchetti, S.; Forte, V.; Pastore, G. Phenolics fate in table olives (Olea europaea L. cv. Nocellara del Belice) debittered using the Spanish and Castelvetrano methods. Food Res. Int. 2017, 100, 369–376. [Google Scholar] [CrossRef]
- Portilha-Cunha, M.F.; Macedo, A.C.; Malcata, F.X. A review on adventitious lactic acid bacteria from table olives. Foods 2020, 9, 948. [Google Scholar] [CrossRef]
- Hurtado, A.; Reguant, C.; Bordons, A.; Rozès, N. Lactic acid bacteria from fermented table olives. Food Microbiol. 2012, 31, 1–8. [Google Scholar] [CrossRef]
- Alfonzo, A.; Martorana, A.; Settanni, L.; Matraxia, M.; Corona, O.; Vagnoli, P.; Caruso, T.; Moschetti, G.; Francesca, N. Approaches to improve the growth of the starter lactic acid bacterium OM13 during the early stages of green Spanish-style table olive production. Grasas Aceites 2018, 69, e265. [Google Scholar] [CrossRef]
- Boskou, D.; Camposeo, S.; Clodoveo, M.L. Table Olives as Sources of Bioactive Compounds; AOCS Press: Urbana, IL, USA, 2015. [Google Scholar]
- Ruiz-Barba, J.L.; Jiménez-Díaz, R. A novel Lactobacillus pentosus-paired starter culture for Spanish-style green olive fermentation. Food Microbiol. 2012, 30, 253–259. [Google Scholar] [CrossRef]
- Martorana, A.; Alfonzo, A.; Settanni, L.; Corona, O.; La Croce, F.; Caruso, T.; Moschetti, G.; Francesca, N. An innovative method to produce green table olives based on “pied de cuve” technology. Food Microbiol. 2015, 50, 126–140. [Google Scholar] [CrossRef]
- Alfonzo, A.; Naselli, V.; Gaglio, R.; Settanni, L.; Corona, O.; La Croce, F.; Vagnoli, P.; Krieger-Weber, S.; Francesca, N.; Moschetti, G. Use of different nutrients to improve the fermentation performances of Lactiplantibacillus pentosus OM13 during the production of Sevillian style green table olives. Microorganisms 2023, 11, 825. [Google Scholar] [CrossRef]
- Rossetti, L.; Giraffa, G. Rapid identification of dairy lactic acid bacteria by M13-generated, RAPD-PCR fingerprint databases. J. Microbiol. Methods 2005, 63, 135–144. [Google Scholar] [CrossRef]
- Pawliszyn, J. Solid Phase Microextraction: Theory and Practice; Wiley-VCH: New York, NY, USA, 1997. [Google Scholar]
- Corona, O.; Liguori, L.; Albanese, D.; Di Matteo, M.; Cinquanta, L.; Russo, P. Quality and volatile compounds in red wine atdifferent degrees of dealcoholization by membrane process. Eur. Food Res. Technol. 2019, 245, 2601–2611. [Google Scholar] [CrossRef]
- Aponte, M.; Ventorino, V.; Blaiotta, G.; Volpe, G.; Farina, V.; Avellone, G.; Lanza, C.M.; Moschetti, G. Study of green Sicilian table olive fermentations through microbiological, chemical and sensory analyses. Food Microbiol. 2010, 27, 162–170. [Google Scholar] [CrossRef]
- Aponte, M.; Blaiotta, G.; La Croce, F.; Mazzaglia, A.; Farina, V.; Settanni, L.; Moschetti, G. Use of selected autochthonous lactic acid bacteria for Spanish-style table olive fermentation. Food Microbiol. 2012, 30, 8–16. [Google Scholar] [CrossRef]
- Martorana, A.; Alfonzo, A.; Settanni, L.; Corona, O.; La Croce, F.; Caruso, T.; Moschetti, G.; Francesca, N. Effect of the mechanical harvest of drupes on the quality characteristics of green fermented table olives. J. Sci. Food Agric. 2016, 96, 2004–2017. [Google Scholar] [CrossRef]
- Randazzo, C.L.; Todaro, A.; Pino, A.; Pitino, I.; Corona, O.; Mazzaglia, A.; Caggia, C. Giarraffa and Grossa di Spagna naturally fermented table olives: Effect of starter and probiotic cultures on chemical, microbiological and sensory traits. Food Res. Int. 2014, 62, 1154–1164. [Google Scholar] [CrossRef]
- Piochi, M.; Chiavaro, E.; Cichelli, A.; Torri, L.; Cerretani, L. Sensory propertiers of iodine-biofortified potatoes. Ital. J. Food Sci. 2021, 33, 52–60. [Google Scholar] [CrossRef]
- Olawoye, B.; Gbadamosi, S.O. Sensory profiling and mapping of gluten-free cookies made from blends Cardaba banana flour and starch. J. Food Process. Preserv. 2020, 44, e14643. [Google Scholar] [CrossRef]
- Argyri, A.A.; Nisiotou, A.A.; Mallouchos, A.; Panagou, E.Z.; Tassou, C.C. Performance of two potential probiotic Lactobacillus strains from the olive microbiota as starters in the fermentation of heat shocked green olives. Int. J. Food Microbiol. 2014, 171, 68–76. [Google Scholar] [CrossRef]
- Perricone, M.; Bevilacqua, A.; Corbo, M.R.; Sinigaglia, M. Use of Lactobacillus plantarum and glucose to control the fermentation of “Bella di Cerignola” table olives, a traditional variety of Apulian region (Southern Italy). J. Food Sci. 2010, 75, M430–M436. [Google Scholar] [CrossRef]
- Rodríguez-Gómez, F.; Romero-Gil, V.; Arroyo-López, F.N.; Roldán-Reyes, J.C.; Torres-Gallardo, R.; Bautista-Gallego, J.; Garcia-Garcia, P.; Garrido-Fernández, A. Assessing the challenges in the application of potential probiotic lactic acid bacteria in the large-scale fermentation of Spanish-style table olives. Front. Microbiol. 2017, 8, 915. [Google Scholar] [CrossRef]
- Martorana, A.; Alfonzo, A.; Gaglio, R.; Settanni, L.; Corona, O.; La Croce, F.; Vagnoli, P.; Caruso, T.; Moschetti, G.; Francesca, N. Evaluation of different conditions to enhance the performances of Lactobacillus pentosus OM13 during industrial production of Spanish-style table olives. Food Microbiol. 2017, 61, 150–158. [Google Scholar] [CrossRef]
- Tzamourani, A.P.; Di Napoli, E.; Paramithiotis, S.; Economou-Petrovits, G.; Panagiotidis, S.; Panagou, E.Z. Microbiological and physicochemical characterisation of green table olives of Halkidiki and Conservolea varieties processed by the Spanish method on industrial scale. Int. J. Food Sci. Technol. 2021, 56, 3845–3857. [Google Scholar]
- Lanza, B. Abnormal fermentations in table-olive processing: Microbial origin and sensory evaluation. Front. Microbiol. 2013, 4, 91. [Google Scholar] [CrossRef]
- Tıraş, Z.E.; Yıldırım, H.K. Application of mixed starter culture for table olive production. Grasas Aceites 2021, 72, e405. [Google Scholar] [CrossRef]
- Campaniello, D.; Bevilacqua, A.; D’Amato, D.; Corbo, M.R.; Altieri, C.; Sinigaglia, M. Microbial characterization of table olives processed according to Spanish and natural styles. Food Technol. Biotechnol. 2005, 43, 289–294. [Google Scholar]
- Botta, C.; Cocolin, L. Microbial dynamics and biodiversity in table olive fermentation: Culture-dependent and-independent approaches. Frontiers Microbiol. 2012, 3, 245. [Google Scholar] [CrossRef]
- Abdeen, E.E.; Mousa, W.S.; Abdelsalam, S.Y.; Heikal, H.S.; Shawish, R.R.; Nooruzzaman, M.; Soliman, M.M.; Batiha, G.E.; Hamad, A.; Abdeen, A. Prevalence and characterization of coagulase positive Staphylococci from food products and human specimens in Egypt. Antibiotics 2021, 10, 75. [Google Scholar] [CrossRef]
- Pereira, A.P.; Pereira, J.A.; Bento, A.; Estevinho, M.L. Microbiological characterization of table olives commercialized in Portugal in respect to safety aspects. Food Chem. Toxicol. 2008, 46, 2895–2902. [Google Scholar] [CrossRef]
- Pino, A.; Vaccalluzzo, A.; Solieri, L.; Romeo, F.V.; Todaro, A.; Caggia, C.; Arroyo López, F.N.; Bautista-Gallego, J.; Randazzo, C.L. Effect of sequential inoculum of beta-glucosidase positive and probiotic strains on brine fermentation to obtain low salt Sicilian table olives. Front. Microbiol. 2019, 10, 174. [Google Scholar] [CrossRef]
- Tassou, C.C.; Nychas, G.J.E. Inhibition of Staphylococcus aureus by olive phenolics in broth and in a model food system. J. Food Prot. 1994, 57, 120–124. [Google Scholar] [CrossRef]
- Sánchez, R.; Fernández, A.; Martín-Tornero, E.; Meléndez, F.; Lozano, J.; Martín-Vertedor, D. Application of Digital Olfaction for Table Olive Industry. Sensors 2022, 22, 5702. [Google Scholar] [CrossRef]
- Sánchez, A.H.; López-López, A.; Cortés-Delgado, A.; Beato, V.M.; Medina, E.; de Castro, A.; Montaño, A. Effect of post-fermentation and packing stages on the volatile composition of Spanish-style green table olives. Food Chem. 2018, 239, 343–353. [Google Scholar] [CrossRef]
- Sánchez, R.; Pérez-Nevado, F.; Martillanes, S.; Montero-Fernández, I.; Lozano, J.; Martín-Vertedor, D. Machine olfaction discrimination of Spanish-style green olives inoculated with spoilage mold species. Food Control 2023, 147, 109600. [Google Scholar] [CrossRef]
- Mikrou, T.; Kasimati, K.; Doufexi, I.; Kapsokefalou, M.; Gardeli, C.; Mallouchos, A. Volatile composition of industrially fermented table olives from Greece. Foods 2021, 10, 1000. [Google Scholar] [CrossRef]
- Sánchez-Rodríguez, L.; Cano-Lamadrid, M.; Carbonell-Barrachina, Á.A.; Sendra, E.; Hernández, F. Volatile composition, sensory profile and consumer acceptability of hydrosostainable table olives. Foods 2019, 8, 470. [Google Scholar] [CrossRef]
- Randazzo, C.L.; Todaro, A.; Pino, A.; Pitino, I.; Corona, O.; Caggia, C. Microbiota and metabolome during controlled and spontaneous fermentation of Nocellara Etnea table olives. Food Microbiol. 2017, 65, 136–148. [Google Scholar] [CrossRef]
- Sabatini, N.; Perri, E.; Marsilio, V. An investigation on molecular partition of aroma compounds in fruit matrix and brine medium of fermented table olives. Innov. Food Sci. Emerg. Technol. 2009, 10, 621–626. [Google Scholar] [CrossRef]
- Benítez-Cabello, A.; Rodríguez-Gómez, F.; Morales, M.L.; Garrido-Fernández, A.; Jiménez-Díaz, R.; Arroyo-López, F.N. Lactic acid bacteria and yeast inocula modulate the volatile profile of Spanish-style green table olive fermentations. Foods 2019, 8, 280. [Google Scholar] [CrossRef]
- Reboredo-Rodríguez, P.; González-Barreiro, C.; Cancho-Grande, B.; Valli, E.; Bendini, A.; Toschi, T.G.; Simal-Gandara, J. Characterization of virgin olive oils produced with autochthonous Galician varieties. Food Chem. 2016, 212, 162–171. [Google Scholar] [CrossRef]
- Cortés-Delgado, A.; Sánchez, A.H.; de Castro, A.; López-López, A.; Beato, V.M.; Montaño, A. Volatile profile of Spanish-style green table olives prepared from different cultivars grown at different locations. Food Res. Int. 2016, 83, 131–142. [Google Scholar] [CrossRef]
- De Castro, A.; Sánchez, A.H.; Cortés-Delgado, A.; López-López, A.; Montaño, A. Effect of Spanish-style processing steps and inoculation with Lactobacillus pentosus starter culture on the volatile composition of cv. Manzanilla green olives. Food Chem. 2019, 271, 543–549. [Google Scholar] [CrossRef]
- Malheiro, R.; de Pinho, P.G.; Casal, S.; Bento, A.; Pereira, J.A. Determination of the volatile profile of stoned table olives from different varieties by using HS-SPME and GC/IT-MS. J. Sci. Food Agric. 2011, 91, 1693–1701. [Google Scholar] [CrossRef]
- Sansone-Land, A.; Takeoka, G.R.; Shoemaker, C.F. Volatile constituents of commercial imported and domestic black-ripe table olives (Olea europaea). Food Chem. 2014, 149, 285–295. [Google Scholar] [CrossRef]
- Cano-Lamadrid, M.; Hernández, F.; Corell, M.; Burló, F.; Legua, P.; Moriana, A.; Carbonell-Barrachina, Á.A. Antioxidant capacity, fatty acids profile, and descriptive sensory analysis of table olives as affected by deficit irrigation. J. Sci. Food Agric. 2017, 97, 444–451. [Google Scholar] [CrossRef]
- Gandul-Rojas, B.; Gallardo-Guerrero, L. Characterization and processing of table olives: A special issue. Foods 2020, 9, 1469. [Google Scholar] [CrossRef]





| Chemical Compounds | Trials 1 | S.s 2 | ||||
|---|---|---|---|---|---|---|
| TO-1 | TO-2 | TO-3 | TO-4 | TO-5 | ||
| Σ Acids | 6218.37 ± 838.67 ab | 3966.64 ± 674.98 c | 3392.89 ± 394.65 b | 7012.48 ± 890.60 a | 7080.52 ± 730.89 a | ** |
| Acetic acid | 5798.18 ± 809.43 a | 2776.78 ± 504.03 b | 2592.03 ± 306.56 b | 3175.22 ± 438.29 b | 2833.65 ± 277.17 b | ** |
| Butanoic acid | 46.27 ± 6.95 c | 130.05 ± 5.44 a | 82.66 ± 10.84 b | 50.55 ± 6.53 c | 97.80 ± 14.64 b | *** |
| Hexanoic acid | 98.90 ± 11.04 d | 376.55 ± 36.08 a | 212.88 ± 14.66 c | 144.47 ± 18.51 d | 271.04 ± 24.04 b | *** |
| Propionic acid | 275.02 ± 11.25 b | 683.26 ± 129.43 b | 505.31 ± 62.59 b | 3642.23 ± 427.27 a | 3878.02 ± 415.04 a | *** |
| Σ Alcohols | 1295.21 ± 116.84 c | 3228.60 ± 459.40 ab | 3728.09 ± 385.64 a | 2581.06 ± 214.64 b | 3934.02 ± 217.92 a | *** |
| 1-Hexanol | 68.86 ± 8.66 b | 96.89 ± 17.41 b | 135.19 ± 19.35 a | 77.18 ± 4.80 b | 26.04 ± 1.31 c | *** |
| 1-Octanol | 68.96 ± 6.07 c | 141.75 ± 9.44 b | 151.67 ± 18.47 b | 92.71 ± 10.56 c | 199.32 ± 1.48 a | *** |
| 1-Butanol-3-methyl | 67.29 ± 12.82 c | 115.67 ± 9.48 a | 97.63 ± 14.55 ab | 81.83 ± 0.08 bc | 85.52 ± 9.37 bc | ** |
| 3-Hexen-1-ol | 356.14 ± 41.56 b | 468.40 ± 27.21 b | 563.67 ± 4.75 a | 409.84 ± 77.27 b | 443.71 ± 17.76 b | ** |
| Benzyl alcohol | 31.75 ± 4.84 d | 907.11 ± 43.51 b | 1000.49 ± 163.19 b | 660.35 ± 61.17 c | 1186.60 ± 19.25 a | *** |
| Phenylethyl alcohol | 702.20 ± 42.89 c | 1498.78 ± 352.35 ab | 1779.45 ± 165.33 a | 1259.15 ± 60.76 b | 1992.83 ± 168.75 a | *** |
| Σ Aldehydes | 219.75 ± 28.36 b | 522.56 ± 41.97 a | 318.64 ± 34.65 b | 272.81 ± 12.37 b | 491.10 ± 62.60 a | *** |
| Benzaldehyde | 94.22 ± 11.06 c | 174.80 ± 6.65 b | 149.84 ± 17.11 b | 163.75 ± 5.62 b | 224.22 ± 33.77 a | *** |
| Benzaldehyde-2-5-dimethyl | 48.59 ± 5.93 b | 30.58 ± 2.78 c | 0.00 ± 0.00 e | 16.76 ± 2.81 d | 85.13 ± 3.15 a | *** |
| Benzaldehyde-3-ethyl | 0.00 ± 0.00 b | 116.80 ± 16.77 a | 0.00 ± 0.00 b | 0.00 ± 0.00 b | 0.00 ± 0.00 b | *** |
| Isophthaldehyde | 0.00 ± 0.00 c | 44.23 ± 4.50 a | 22.93 ± 1.93 b | 0.00 ± 0.00 c | 21.23 ± 3.75 b | *** |
| Nonanal | 23.24 ± 3.31 c | 76.67 ± 3.27 a | 58.40 ± 3.48 b | 34.53 ± 2.49 c | 68.24 ± 13.33 ab | *** |
| Octanal | 16.13 ± 3.04 a | 0.00 ± 0.00 b | 0.00 ± 0.00 b | 19.47 ± 0.89 a | 18.00 ± 0.97 a | *** |
| Phenylacetaldehyde | 37.57 ± 5.02 b | 79.48 ± 8.00 a | 87.47 ± 12.13 a | 38.29 ± 0.56 b | 74.28 ± 7.63 a | *** |
| Σ Aromatic hydrocarbons | 33.75 ± 2.46 c | 125.23 ± 12.79 b | 338.50 ± 15.03 a | 120.23 ± 15.03 b | 112.18 ± 9.19 b | *** |
| Alpha-cubebene | 18.44 ± 1.79 e | 76.63 ± 5.70 b | 274.31 ± 3.44 a | 32.27 ± 5.10 d | 63.73 ± 4.53 c | *** |
| Styrene | 15.30 ± 0.67 c | 48.60 ± 7.09 b | 64.20 ± 7.67 b | 87.96 ± 9.93 a | 48.45 ± 4.66 b | *** |
| Σ Esters | 299.30 ± 28.67 c | 433.02 ± 49.87 ab | 418.33 ± 33.72 b | 385.74 ± 49.51 bc | 522.61 ± 49.13 a | ** |
| Butyrolactone | 24.50 ± 1.74 c | 65.51 ± 6.96 a | 47.17 ± 5.35 b | 47.53 ± 2.23 b | 70.30 ± 4.70 a | *** |
| cis-3-Hexenylacetate | 108.31 ± 10.43 b | 167.79 ± 21.02 a | 168.06 ± 12.90 a | 75.34 ± 10.02 b | 75.27 ± 8.75 b | *** |
| Ethyl cyclohexanecarboxylate | 0.00 ± 0.00 b | 0.00 ± 0.00 b | 22.03 ± 1.76 a | 0.00 ± 0.00 b | 0.00 ± 0.00 b | *** |
| Methyl cyclohexanoate | 0.00 ± 0.00 c | 0.00 ± 0.00 c | 0.00 ± 0.00 c | 160.75 ± 24.32 a | 58.35 ± 6.64 b | *** |
| Methyl hydrocinnamate | 17.10 ± 2.28 c | 48.36 ± 6.32 a | 26.13 ± 0.94 b | 0.00 ± 0.00 d | 0.00 ± 0.00 d | *** |
| Octyl acetate | 28.10 ± 2.88 b | 36.69 ± 4.07 ab | 27.02 ± 2.05 b | 29.39 ± 4.74 b | 41.93 ± 0.78 a | ** |
| Phenylmethyl acetate | 78.23 ± 6.07 c | 114.67 ± 11.51 b | 55.63 ± 3.40 c | 72.73 ± 8.20 c | 181.97 ± 24.77 a | *** |
| Propyl butyrate | 43.06 ± 5.26 c | 0.00 ± 0.00 d | 72.29 ± 2.31 b | 0.00 ± 0.00 d | 94.79 ± 3.48 a | *** |
| Σ Ketones | 84.83 ± 11.59 c | 208.73 ± 8.38 ab | 180.74 ± 22.01 b | 101.53 ± 11.48 c | 239.93 ± 28.62 a | *** |
| 4-Ethylacetophenone | 84.83 ± 11.59 c | 208.73 ± 8.38 ab | 180.74 ± 22.01 b | 101.53 ± 11.48 c | 239.93 ± 28.62 a | *** |
| Σ Phenols | 3466.13 ± 332.59 c | 6532.61 ± 399.54 b | 6546.19 ± 1076.00 b | 10,010.87 ± 917.53 a | 9303.55 ± 1719.74 a | *** |
| Creosol | 2872.03 ± 288.16 c | 5720.01 ± 320.19 b | 6263.12 ± 1049.62 b | 5493.20 ± 819.30 b | 8309.04 ± 1602.62 a | ** |
| Guaiacol | 469.13 ± 34.52 c | 618.01 ± 55.06 bc | 80.13 ± 4.05 d | 4133.90 ± 88.48 a | 735.08 ± 93.66 b | *** |
| p-Creosol | 53.53 ± 1.86 c | 109.90 ± 15.24 b | 118.06 ± 19.31 b | 99.46 ± 7.16 b | 173.70 ± 13.51 a | *** |
| Phenol | 71.44 ± 8.05 b | 84.69 ± 9.06 b | 84.87 ± 3.02 b | 284.32 ± 2.59 a | 85.72 ± 9.95 b | *** |
Disclaimer/Publisher’s Note: The statements, opinions and data contained in all publications are solely those of the individual author(s) and contributor(s) and not of MDPI and/or the editor(s). MDPI and/or the editor(s) disclaim responsibility for any injury to people or property resulting from any ideas, methods, instructions or products referred to in the content. |
© 2023 by the authors. Licensee MDPI, Basel, Switzerland. This article is an open access article distributed under the terms and conditions of the Creative Commons Attribution (CC BY) license (https://creativecommons.org/licenses/by/4.0/).
Share and Cite
Alfonzo, A.; Francesca, N.; Naselli, V.; Gaglio, R.; Corona, O.; Seminerio, V.; Settanni, L.; La Croce, F.; Moschetti, G. Effect of Glucose and Inactivated Yeast Additions on the Fermentation Performances of Lactiplantibacillus pentosus OM13 during the Production of Nocellara del Belice Table Olives. Fermentation 2023, 9, 634. https://doi.org/10.3390/fermentation9070634
Alfonzo A, Francesca N, Naselli V, Gaglio R, Corona O, Seminerio V, Settanni L, La Croce F, Moschetti G. Effect of Glucose and Inactivated Yeast Additions on the Fermentation Performances of Lactiplantibacillus pentosus OM13 during the Production of Nocellara del Belice Table Olives. Fermentation. 2023; 9(7):634. https://doi.org/10.3390/fermentation9070634
Chicago/Turabian StyleAlfonzo, Antonio, Nicola Francesca, Vincenzo Naselli, Raimondo Gaglio, Onofrio Corona, Venera Seminerio, Luca Settanni, Francesco La Croce, and Giancarlo Moschetti. 2023. "Effect of Glucose and Inactivated Yeast Additions on the Fermentation Performances of Lactiplantibacillus pentosus OM13 during the Production of Nocellara del Belice Table Olives" Fermentation 9, no. 7: 634. https://doi.org/10.3390/fermentation9070634
APA StyleAlfonzo, A., Francesca, N., Naselli, V., Gaglio, R., Corona, O., Seminerio, V., Settanni, L., La Croce, F., & Moschetti, G. (2023). Effect of Glucose and Inactivated Yeast Additions on the Fermentation Performances of Lactiplantibacillus pentosus OM13 during the Production of Nocellara del Belice Table Olives. Fermentation, 9(7), 634. https://doi.org/10.3390/fermentation9070634

