Screening of Cold-Adapted Strains and Its Effects on Physicochemical Properties and Microbiota Structure of Mushroom Residue Composting
Abstract
1. Introduction
2. Materials and Methods
2.1. Strain Screening and Physiological and Biochemical Characteristics
2.1.1. Strain Isolation and Growth Characteristics
2.1.2. Congo Red Assay to Assess Cellulase-Producing Activity
2.1.3. Antibacterial Activity
2.2. Composting Process and Sample Collection
2.2.1. Raw Material and Preparation of Inoculants
2.2.2. Experimental Design and Sampling
2.3. Determination of Physicochemical Properties of Compost Samples
2.4. Microbial Community Analysis
2.4.1. DNA Extraction
2.4.2. PCR Amplification
2.5. Statistical Analysis
3. Results
3.1. Characteristics of the CMA
3.2. Changes in Temperature during Composting
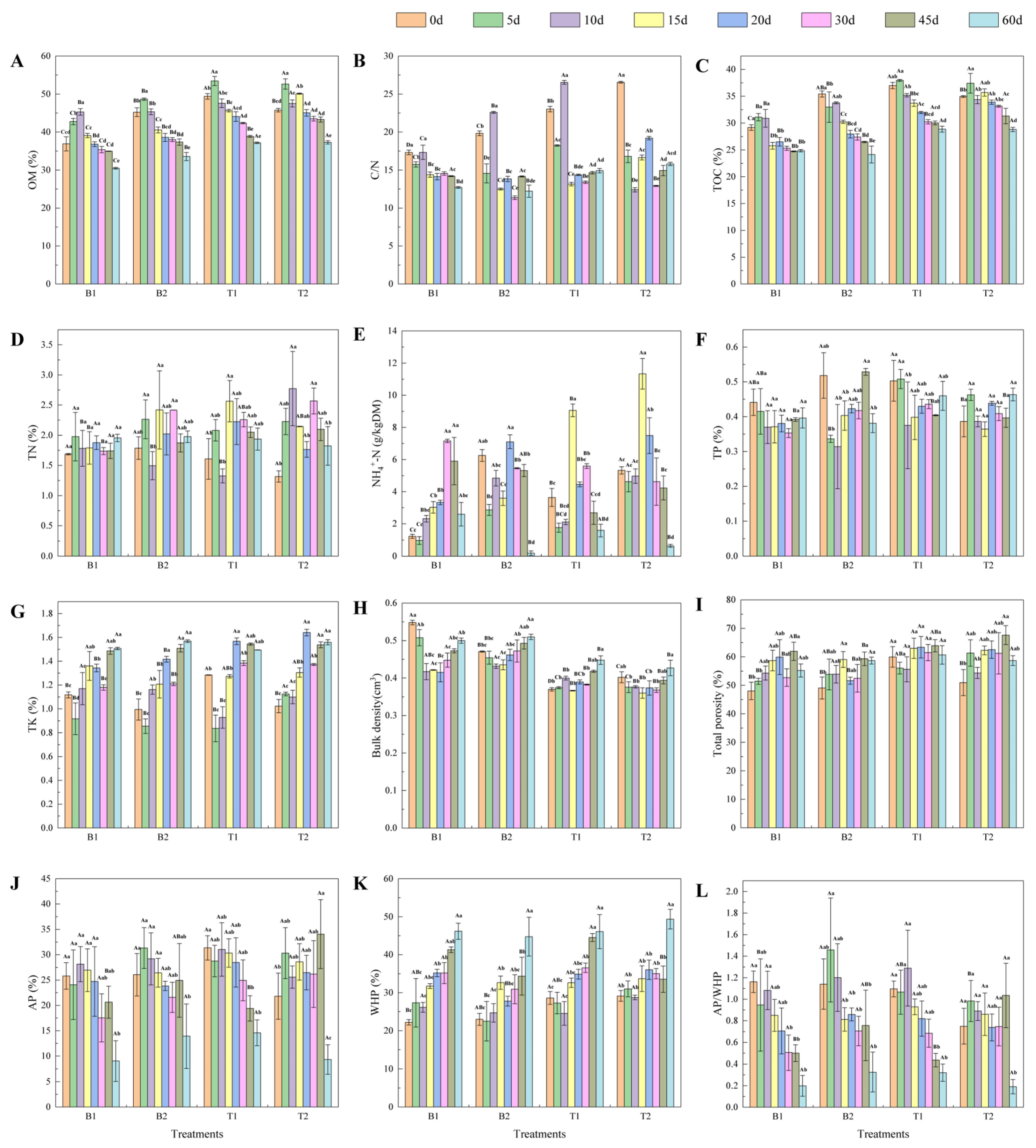
3.3. Changes in Physicochemical Properties during Composting
3.4. Changes in Bacterial and Fungal Communities and Diversity
3.4.1. Diversity and Richness of Bacterial and Fungal Communities
3.4.2. Principal Component Analysis (PCA)
3.4.3. Change in Bacterial and Fungal Communities
Bacterial Composition Analysis
Fungal Composition Analysis
3.4.4. Correlation Analyses of Physicochemical Parameters with Bacterial and Fungal Genera
4. Discussion
5. Conclusions
Author Contributions
Funding
Institutional Review Board Statement
Informed Consent Statement
Data Availability Statement
Conflicts of Interest
References
- Qu, J.S.; Zhang, L.J.; Zhang, X.; Gao, L.H.; Tian, Y.Q. Biochar combined with gypsum reduces both nitrogen and carbon losses during agricultural waste composting and enhances overall compost quality by regulating microbial activities and functions. Bioresour. Technol. 2020, 314, 123781. [Google Scholar] [CrossRef] [PubMed]
- Kuthiala, T.; Thakur, K.; Sharma, D.; Singh, G.; Khatri, M.; Arya, S.K. The eco-friendly approach of cocktail enzyme in agricultural waste treatment: A comprehensive review. Int. J. Biol. Macromol. 2022, 209, 1956–1974. [Google Scholar] [CrossRef] [PubMed]
- Zhang, L.; Sun, X.Y. Evaluation of maifanite and silage as amendments for green waste composting. Waste Manag. 2018, 77, 435–446. [Google Scholar] [CrossRef]
- Liu, L.X.; Wang, T.Z.; Li, S.S.; Hao, R.R.; Li, Q.H. Combined analysis of microbial community and microbial metabolites based on untargeted metabolomics during pig manure composting. Biodegradation 2021, 32, 217–228. [Google Scholar] [CrossRef]
- Hernández-Lara, A.; Ros, M.; Cuartero, J.; Bustamante, M.Á.; Moral, R.; Andreu-Rodríguez, F.J.; Fernández, J.A.; Egea-Gilabert, C.; Pascual, J.A. Bacterial and fungal community dynamics during different stages of agro-industrial waste composting and its relationship with compost suppressiveness. Sci. Total Environ. 2022, 805, 150330. [Google Scholar] [CrossRef] [PubMed]
- Corato, U.D. Agricultural waste recycling in horticultural intensive farming systems by on-farm composting and compost-based tea application improves soil quality and plant health: A review under the perspective of a circular economy. Sci. Total Environ. 2020, 738, 139840. [Google Scholar] [CrossRef]
- Abbasi, F.; Mokhtari, M.; Jalili, M. The impact of agricultural and green waste treatments on compost quality of dewatered sludge. Environ. Sci. Pollut. Res. 2019, 26, 35757–35766. [Google Scholar] [CrossRef]
- Zhang, L.H.; Zeng, G.M.; Dong, H.R.; Chen, Y.N.; Zhang, J.C.; Yan, M.; Zhu, Y.; Yuan, Y.J.; Xie, Y.K.; Huang, Z.Z. The impact of silver nanoparticles on the co-composting of sewage sludge and agricultural waste: Evolutions of organic matter and nitrogen. Bioresour. Technol. 2017, 230, 132–139. [Google Scholar] [CrossRef]
- Lu, X.L.; Yang, Y.X.; Hong, C.L.; Zhu, W.J.; Yao, Y.L.; Zhu, F.X.; Hong, L.D.; Wang, W.P. Optimization of vegetable waste composting and the exploration of microbial mechanisms related to fungal communities during composting. J. Environ. Manag. 2022, 319, 115694. [Google Scholar] [CrossRef] [PubMed]
- Xu, Z.J.; Wu, H.Z.; Wu, M.L. Energy performance and consumption for biogas heat pump air conditioner. Energy 2010, 35, 5497–5502. [Google Scholar] [CrossRef]
- Sun, Q.H.; Chen, J.; Wei, Y.Q.; Zhao, Y.; Wei, Z.M.; Zhang, H.Y.; Gao, X.T.; Wu, J.Q.; Xie, X.Y. Effect of semi-continuous replacements of compost materials after inoculation on the performance of heat preservation of low temperature composting. Bioresour. Technol. 2019, 279, 50–56. [Google Scholar] [CrossRef] [PubMed]
- Xie, X.Y.; Zhao, Y.; Sun, Q.H.; Wang, X.Q.; Cui, H.Y.; Zhang, X.; Li, Y.J.; Wei, Z.M. A novel method for contributing to composting start-up at low temperature by inoculating cold-adapted microbial consortium. Bioresour. Technol. 2017, 238, 39–47. [Google Scholar] [CrossRef] [PubMed]
- Abdellah, Y.A.Y.; Li, T.Z.; Chen, X.; Cheng, Y.; Sun, S.S.; Wang, Y.; Jiang, C.; Zang, H.L.; Li, C.Y. Role of psychrotrophic fungal strains in accelerating and enhancing the maturity of pig manure composting under low-temperature conditions. Bioresour. Technol. 2021, 320, 124402. [Google Scholar] [CrossRef]
- Li, C.N.; Li, H.Y.; Yao, T.; Su, M.; Ran, F.; Han, B.; Li, J.H.; Lan, X.J.; Zhang, Y.C.; Yang, X.M.; et al. Microbial inoculation influences bacterial community succession and physicochemical characteristics during pig manure composting with corn straw. Bioresour. Technol. 2019, 289, 121653. [Google Scholar] [CrossRef] [PubMed]
- Sun, S.S.; Abdellah, Y.A.Y.; Miao, L.; Wu, B.W.; Ma, T.; Wang, Y.; Zang, H.L.; Zhao, X.Y.; Li, C.Y. Impact of microbial inoculants combined with humic acid on the fate of estrogens during pig manure composting under low-temperature conditions. J. Hazard. Mater. 2022, 424, 127713. [Google Scholar] [CrossRef]
- He, Y.Y.; Zhang, Y.D.; Huang, X.; Xu, J.; Zhang, H.N.; Dai, X.H.; Xie, L. Deciphering the internal driving mechanism of microbial community for carbon conversion and nitrogen fixation during food waste composting with multifunctional microbial inoculation. Bioresour. Technol. 2022, 360, 127623. [Google Scholar] [CrossRef]
- Duan, M.L.; Zhang, Y.H.; Zhou, B.B.; Qin, Z.L.; Wu, J.H.; Wang, Q.J.; Yin, Y. Effects of Bacillus subtilis on carbon components and microbial functional metabolism during cow manure–straw composting. Bioresour. Technol. 2020, 303, 122868. [Google Scholar] [CrossRef]
- Nigussie, A.; Dume, B.; Ahmed, M.; Mamuye, M.; Ambaw, G.; Berhiun, G.; Biresaw, A.; Aticho, A. Effect of microbial inoculation on nutrient turnover and lignocellulose degradation during composting: A meta-analysis. Waste Manag. 2021, 125, 220–234. [Google Scholar] [CrossRef]
- Li, J.B.; Wang, X.T.; Cong, C.; Wan, L.B.; Xu, Y.P.; Li, X.Y.; Hou, F.Q.; Wu, Y.Y.; Wang, L.L. Inoculation of cattle manure with microbial agents increases efciency and promotes maturity in composting. 3 Biotech 2020, 10, 128. [Google Scholar] [CrossRef]
- He, J.; Zhu, N.M.; Xu, Y.S.; Wang, L.; Zheng, J.Q.; Li, X. The microbial mechanisms of enhanced humification by inoculation with Phanerochaete chrysosporium and Trichoderma longibrachiatum during biogas residues composting. Bioresour. Technol. 2022, 351, 126973. [Google Scholar] [CrossRef]
- Xiao, Z.; Lin, M.H.; Fan, J.L.; Chen, Y.X.; Zhao, C.; Liu, B. Anaerobic digestion of spent mushroom substrate under thermophilic conditions: Performance and microbial community analysis. Appl. Microbiol. Biot. 2018, 102, 499–507. [Google Scholar] [CrossRef]
- Lian, J.; Qu, L.; Ren, P.F.; Ren, H.X.; Wan, L.Z.; Guo, H.D.; Zhang, H.; Chang, S.L.; Gao, X.; Ban, L.T. Industrial mushroom residue as cow bedding: Analysis of microbial diversity and applications. Curr. Microbiol. 2021, 78, 1448–1457. [Google Scholar] [CrossRef] [PubMed]
- Wang, C.N.; Wang, Y.X.; Ru, H.; He, T.; Sun, N. Study on microbial community succession and functional analysis during biodegradation of mushroom residue. BioMed Res. Int. 2021, 2021, 6620574. [Google Scholar] [CrossRef]
- Qin, P.F.; Li, T.Y.; Liu, C.; Liang, Y.S.; Sun, H.B.; Chai, Y.Z.; Yang, T.Y.; Gong, X.M.; Wu, Z.B. Extraction and utilization of active substances from edible fungi substrate and residue: A review. Food Chem. 2023, 398, 133872. [Google Scholar] [CrossRef] [PubMed]
- Yunan, N.A.M.; Shin, T.Y.; Sabaratnam, V. Upcycling the spent mushroom substrate of the grey oyster mushroom pleurotus pulmonarius as a source of lignocellulolytic enzymes for palm oil mill effluent hydrolysis. J. Microbiol. Biotechn. 2021, 31, 823–832. [Google Scholar] [CrossRef] [PubMed]
- Xue, W.; Hu, X.J.; Wei, Z.; Mei, X.L.; Chen, X.J.; Xu, Y.C. A fast and easy method for predicting agricultural waste compost maturity by image-based deep learning. Bioresour. Technol. 2019, 290, 121761. [Google Scholar] [CrossRef]
- Xie, X.Y.; Wang, Y.H.; Wei, Z.M.; Zhang, Y.T.; Zhang, C.; Zhang, S.B.; Yang, H.Y.; Zhang, X.; Zhao, Y. Continuous insulation strategy of organic waste composting in cold region: Based on cold-adapted consortium. Bioresour. Technol. 2021, 335, 125257. [Google Scholar] [CrossRef]
- Khosravi, F.; Khaleghi, M.; Naghavi, H. Screening and identifcation of cellulose-degrading bacteria from soil and leaves at Kerman province, Iran. Arch. Microbiol. 2022, 204, 88. [Google Scholar] [CrossRef]
- Wang, X.; Wang, W.D.; Lv, H.X.; Zhang, H.; Liu, Y.; Zhang, M.; Wang, Y.P.; Tan, Z.F. Probiotic potential and wide-spectrum antimicrobial activity of lactic acid bacteria isolated from infant feces. Probiot. Antimicrob. Proteins 2021, 13, 90–101. [Google Scholar] [CrossRef]
- Wang, Q.; Juan, J.X.; Xiao, T.T.; Zhang, J.J.; Chen, H.; Song, X.X.; Chen, M.J.; Huang, J.C. The physical structure of compost and C and N utilization during composting and mushroom growth in Agaricus bisporus cultivation with rice, wheat, and reed straw-based composts. Appl. Microbiol. Biot. 2021, 105, 3811–3823. [Google Scholar] [CrossRef]
- Awasthi, M.K.; Pandey, A.K.; Khan, J.; Bundela, P.S.; Wong, J.W.C.; Selvam, A. Evaluation of thermophilic fungal consortium for organic municipal solid waste composting. Bioresour. Technol. 2014, 168, 214–221. [Google Scholar] [CrossRef] [PubMed]
- Awasthi, M.K.; Duan, Y.M.; Awasthi, S.K.; Liu, T.; Zhang, Z.Q. Effect of biochar and bacterial inoculum additions on cow dung composting. Bioresour. Technol. 2020, 297, 122407. [Google Scholar] [CrossRef]
- Tiquia, S.M. Reduction of compost phytotoxicity during the process of decomposition. Chemosphere 2010, 79, 506–512. [Google Scholar] [CrossRef] [PubMed]
- Paula, F.S.; Tatti, E.; Abram, F.; Wilson, J.; O’Flaherty, V. Stabilisation of spent mushroom substrate for application as a plant growth-promoting organic amendment. J. Environ. Manag. 2017, 196, 476–486. [Google Scholar] [CrossRef] [PubMed]
- Wan, L.B.; Wang, X.T.; Cong, C.; Li, J.B.; Xu, Y.P.; Li, X.Y.; Hou, F.Q.; Wu, Y.Y.; Wang, L.L. Effect of inoculating microorganisms in chicken manure composting with maize straw. Bioresour. Technol. 2020, 301, 122730. [Google Scholar] [CrossRef]
- Li, H.H.; Zhang, T.; Shaheen, S.M.; Abdelrahman, H.; Ali, E.F.; Bolan, N.S.; Li, F.X.; Rinklebe, J. Microbial inoculants and struvite improved organic matter humification and stabilized phosphorus during swine manure composting: Multivariate and multiscale investigations. Bioresour. Technol. 2022, 351, 126976. [Google Scholar] [CrossRef]
- Ning, J.Y.; Zhu, X.D.; Liu, H.G.; Yu, G.H. Coupling thermophilic composting and vermicomposting processes to remove Cr from biogas residues and produce high value-added biofertilizers. Bioresour. Technol. 2021, 329, 124869. [Google Scholar] [CrossRef]
- Ma, C.; Hu, B.; Wei, M.B.; Zhao, J.H.; Zhang, H.Z. Influence of matured compost inoculation on sewage sludge composting: Enzyme activity, bacterial and fungal community succession. Bioresour. Technol. 2019, 294, 122165. [Google Scholar] [CrossRef]
- Li, X.N.; Wang, P.L.; Chu, S.Q.; Xu, Y.L.; Su, Y.L.; Wu, D.; Xie, B. Short-term biodrying achieves compost maturity and significantly reduces antibiotic resistance genes during semi-continuous food waste composting inoculated with mature compost. J. Hazard. Mater. 2022, 427, 127915. [Google Scholar] [CrossRef]
- Wang, Z.Y.; Ding, Y.Z.; Ren, X.A.; Xie, J.W.; Kumar, S.; Zhang, Z.Q.; Wang, Q. Effect of micronutrient selenium on greenhouse gas emissions and related functional genes during goat manure composting. Bioresour. Technol. 2022, 349, 126805. [Google Scholar] [CrossRef]
- Yang, F.; Li, Y.; Han, Y.H.; Qian, W.T.; Li, G.X.; Luo, W.H. Performance of mature compost to control gaseous emissions in kitchen waste composting. Sci. Total Environ. 2019, 657, 262–269. [Google Scholar] [CrossRef]
- Zhao, Y.; Zhao, Y.; Zhang, Z.C.; Wei, Y.Q.; Wang, H.; Lu, Q.; Li, Y.J.; Wei, Z.M. Effect of thermo-tolerant actinomycetes inoculation on cellulose degradation and the formation of humic substances during composting. Waste Manag. 2017, 68, 64–73. [Google Scholar] [CrossRef]
- Sun, Q.; Wu, D.; Zhang, Z.C.; Zhao, Y.; Xie, X.Y.; Wu, J.Q.; Lu, Q.; Wei, Z.M. Effect of cold-adapted microbial agent inoculation on enzyme activities during composting start-up at low temperature. Bioresour. Technol. 2017, 244, 635–640. [Google Scholar] [CrossRef]
- Zhao, Y.; Lu, Q.; Wei, Y.Q.; Cui, H.Y.; Zhang, X.; Wang, X.Q.; Shan, S.; Wei, Z.M. Effect of actinobacteria agent inoculation methods on cellulose degradation during composting based on redundancy analysis. Bioresour. Technol. 2016, 219, 196–203. [Google Scholar] [CrossRef] [PubMed]
- Chefetz, B.; Hatcher, P.G.; Hadar, Y.; Chen, Y. Chemical and biological characterization of organic matter during composting of municipal solid waste. J. Environ. Qual. 1996, 25, 776–785. [Google Scholar] [CrossRef]
- Meng, X.Y.; Liu, B.; Zhang, H.; Wu, J.W.; Yuan, X.F.; Cui, Z.J. Co-composting of the biogas residues and spent mushroom substrate: Physicochemical properties and maturity assessment. Bioresour. Technol. 2019, 276, 281–287. [Google Scholar] [CrossRef]
- Jiang, J.S.; Liu, X.L.; Huang, Y.M.; Huang, H. Inoculation with nitrogen turnover bacterial agent appropriately increasing nitrogen and promoting maturity in pig manure composting. Waste Manag. 2015, 39, 78–85. [Google Scholar] [CrossRef] [PubMed]
- Wang, S.P.; Wang, L.; Sun, Z.Y.; Wang, S.T.; Shen, C.H.; Tang, Y.Q.; Kida, K. Biochar addition reduces nitrogen loss and accelerates composting process by affecting the core microbial community during distilled grain waste composting. Bioresour. Technol. 2021, 337, 125492. [Google Scholar] [CrossRef]
- Itävaara, M.; Vikman, M.; Venelampi, O. Windrow composting of biodegradable packaging materials. Compost Sci. Util. 1997, 5, 84–92. [Google Scholar] [CrossRef]
- Gou, C.L.; Wang, Y.Q.; Zhang, X.Q.; Lou, Y.J.; Gao, Y.H. Inoculation with a psychrotrophic-thermophilic complex microbial agent accelerates onset and promotes maturity of dairy manure-rice straw composting under cold climate conditions. Bioresour. Technol. 2017, 243, 339–346. [Google Scholar] [CrossRef]
- Ren, J.; Deng, L.; Li, C.; Dong, L.; Li, Z.; Zhang, J.; Niu, D. Effects of added thermally treated penicillin fermentation residues on the quality and safety of composts. J. Environ. Manag. 2021, 283, 111984. [Google Scholar] [CrossRef]
- Liu, Y.W.; Feng, Y.; Cheng, D.M.; Xue, J.M.; Wakelin, S.; Li, Z.J. Dynamics of bacterial composition and the fate of antibiotic resistance genes and mobile genetic elements during the co-composting with gentamicin fermentation residue and lovastatin fermentation residue. Bioresour. Technol. 2018, 261, 249–256. [Google Scholar] [CrossRef] [PubMed]
- Liu, L.; Wang, S.Q.; Guo, X.P.; Zhao, T.N.; Zhang, B.L. Succession and diversity of microorganisms and their association with physicochemical properties during green waste thermophilic composting. Waste Manag. 2018, 73, 101–112. [Google Scholar] [CrossRef] [PubMed]
- Duan, M.L.; Zhang, Y.H.; Zhou, B.B.; Wang, Q.J.; Gu, J.; Liu, G.H.; Qin, Z.L.; Li, Z.J. Changes in antibiotic resistance genes and mobile genetic elements during cattle manure composting after inoculation with Bacillus subtilis. Bioresour. Technol. 2019, 292, 122011. [Google Scholar] [CrossRef] [PubMed]
- Zhang, W.M.; Yu, C.X.; Wang, X.J.; Hai, L. Increased abundance of nitrogen transforming bacteria by higher C/N ratio reduces the total losses of N and C in chicken manure and corn stover mix composting. Bioresour. Technol. 2020, 297, 122410. [Google Scholar] [CrossRef]
- Duan, Y.M.; Awasthi, S.K.; Liu, T.; Verma, S.; Wang, Q.; Chen, H.Y.; Ren, X.N.; Zhang, Z.Q.; Awasthi, M.K. Positive impact of biochar alone and combined with bacterial consortium amendment on improvement of bacterial community during cow manure composting. Bioresour. Technol. 2019, 280, 79–87. [Google Scholar] [CrossRef]
- Vuillemin, A.; Kerrigan, Z.; D’Hondt, S.; Orsi, W.D. Exploring the abundance, metabolic potential and gene expression of subseafloor Chloroflexi in million-year-old oxic and anoxic abyssal clay. FEMS Microbiol. Ecol. 2020, 96, fiaa223. [Google Scholar] [CrossRef]
- Bennett, A.C.; Murugapiran, S.K.; Hamilton, T.L. Temperature impacts community structure and function of phototrophic Chloroflexi and Cyanobacteria in two alkaline hot springs in Yellowstone National Park. Environ. Microbiol. Rep. 2020, 12, 503–513. [Google Scholar] [CrossRef]
- Rao, M.P.N.; Luo, Z.H.; Dong, Z.Y.; Li, Q.; Liu, B.B.; Guo, S.X.; Nie, G.X.; Li, W.J. Metagenomic analysis further extends the role of Chloroflexi in fundamental biogeochemical cycles. Environ. Res. 2022, 209, 112888. [Google Scholar] [CrossRef]
- He, P.J.; Wei, S.Y.; Shao, L.M.; Lü, F. Aerosolization behavior of prokaryotes and fungi during composting of vegetable waste. Waste Manag. 2019, 89, 103–113. [Google Scholar] [CrossRef]
- Wang, B.; Wang, Y.; Wei, Y.Q.; Chen, W.J.; Ding, G.C.; Zhan, Y.B.; Liu, Y.D.; Xu, T.; Xiao, J.J.; Li, J. Impact of inoculation and turning for full-scale composting on core bacterial community and their co-occurrence compared by network analysis. Bioresour. Technol. 2022, 345, 126417. [Google Scholar] [CrossRef] [PubMed]
- Ma, C.; Chen, X.Y.; Zheng, G.D.; Liu, N.; Zhao, J.H.; Zhang, H.Z. Exploring the influence mechanisms of polystyrene-microplastics on sewage sludge composting. Bioresour. Technol. 2022, 362, 127798. [Google Scholar] [CrossRef] [PubMed]
- Liang, J.D.; Jin, Y.M.; Wen, X.; Mi, J.D.; Wu, Y.B. Adding a complex microbial agent twice to the composting of laying-hen manure promoted doxycycline degradation with a low risk on spreading tetracycline resistance genes. Environ. Pollut. 2020, 265, 114202. [Google Scholar] [CrossRef]
- Huang, Y.H.; Chen, X.H.; Li, Q.F.; Lü, H.X.; Mo, C.H.; Feng, N.X.; Xiang, L.; Zhao, H.M.; Li, H.; Li, Y.W.; et al. Fungal community enhanced humification and influenced by heavy metals in industrial-scale hyperthermophilic composting of municipal sludge. Bioresour. Technol. 2022, 360, 127523. [Google Scholar] [CrossRef]
- Meng, Q.X.; Yang, W.; Men, M.Q.; Bello, A.; Xu, X.H.; Xu, B.S.; Deng, L.T.; Jiang, X.; Sheng, S.Y.; Wu, X.T.; et al. Microbial Community Succession and Response to Environmental Variables During Cow Manure and Corn Straw Composting. Front. Microbiol. 2019, 10, 529. [Google Scholar] [CrossRef] [PubMed]
- Aquino, A.C.M.M.; Jorge, J.A.; Terenzi, H.F.; Polizeli, M.L.T.M. Studies on a thermostable -amylase from the thermophilic fungus Scytalidium thermophilum. Appl. Microbiol. Biot. 2003, 61, 323–328. [Google Scholar] [CrossRef]
- Klamer, M.; Bååth, E. Microbial community dynamics during composting of straw material studied using phospholipid fatty acid analysis. FEMS Microbiol. Ecol. 1998, 27, 9–20. [Google Scholar] [CrossRef]
- Wang, R.N.; Yu, A.Y.; Qiu, T.L.; Guo, Y.J.; Gao, H.Z.; Sun, X.B.; Gao, M.; Wang, X.M. Aerosolization behaviour of fungi and its potential health effects during the composting of animal manure. Int. J. Environ. Res. Public. Health 2022, 19, 5644. [Google Scholar] [CrossRef]






| Raw Materials | OM (%) | TOC (%) | TN (%) | C/N Ratio | TP (%) | TK (%) | pH | EC (mS/cm) |
|---|---|---|---|---|---|---|---|---|
| mushroom residue | 56.03 | 44.57 | 1.31 | 33.98 | 0.27 | 1.08 | 6.19 | 2.75 |
| sheep dung | 34.11 | 24.3 | 1.34 | 18.15 | 0.38 | 1.4 | 8.71 | 2.95 |
| Character | QS7 | QM6 |
|---|---|---|
| Shape | Rod | Rod |
| Gram stain | + | + |
| Growth on medium: | ||
| Oyster mushroom powder medium | +++ | − |
| mushroom residue powder medium | +++ | ++ |
| Growth at temp (°C): | ||
| 10 °C | ++ | + |
| 15 °C | +++ | + |
| Antibacterial activity: | ||
| QS7 | − | |
| QM6 | − |
| Items | Days (d) | Treatments | SEM | p Value | |||||
|---|---|---|---|---|---|---|---|---|---|
| B1 | B2 | T1 | T2 | T | D | T × D | |||
| pH | 0 | 7.97 ± 0.02 Ac | 7.67 ± 0.03 Bd | 6.89 ± 0.02 Df | 7.09 ± 0.03 Cg | 0.041 | <0.05 | <0.05 | <0.05 |
| 5 | 7.40 ± 0.02 Ad | 7.37 ± 0.03 Ae | 7.16 ± 0.07 Be | 7.26 ± 0.02 Bf | |||||
| 10 | 8.45 ± 0.06 Ab | 8.24 ± 0.04 Bc | 8.05 ± 0.01 Cd | 7.67 ± 0.05 De | |||||
| 15 | 8.50 ± 0.04 Bb | 8.59 ± 0.03 ABb | 8.68 ± 0.10 Ab | 8.16 ± 0.05 Cd | |||||
| 20 | 8.71 ± 0.07 Aa | 8.77 ± 0.04 Aa | 8.59 ± 0.05 Bb | 8.72 ± 0.02 Ab | |||||
| 30 | 8.81 ± 0.02 ABa | 8.84 ± 0.01 Aa | 8.69 ± 0.02 Bb | 8.72 ± 0.02 Bb | |||||
| 45 | 8.78 ± 0.07 Ba | 8.80 ± 0.05 ABa | 8.83 ± 0.05 ABa | 8.90 ± 0.01 Aa | |||||
| 60 | 8.51 ± 0.07 Ab | 8.28 ± 0.11 Bc | 8.35 ± 0.10 Bc | 8.52 ± 0.06 Ac | |||||
| EC (mS/cm) | 0 | 1.43 ± 0.02 Cd | 1.68 ± 0.05 Bc | 2.45 ± 0.07 Aa | 1.77 ± 0.08 Bd | 0.066 | <0.05 | <0.05 | <0.05 |
| 5 | 1.08 ± 0.02 Ce | 1.36 ± 0.01 Bd | 1.13 ± 0.02 Cd | 2.06 ± 0.06 Abc | |||||
| 10 | 1.56 ± 0.01 BCd | 1.72 ± 0.14 Bc | 1.52 ± 0.01 Cc | 2.18 ± 0.17 Abc | |||||
| 15 | 1.97 ± 0.17 ABc | 1.84 ± 0.06 Bbc | 2.02 ± 0.06 Ab | 2.06 ± 0.01 Abc | |||||
| 20 | 2.23 ± 0.06 Ab | 1.85 ± 0.05 Bbc | 1.88 ± 0.09 Bb | 1.88 ± 0.08 Bcd | |||||
| 30 | 2.44 ± 0.02 Ab | 2.02 ± 0.03 Bb | 2.41 ± 0.01 Aa | 2.00 ± 0.07 Bc | |||||
| 45 | 2.36 ± 0.11 ABb | 2.00 ± 0.02 Cb | 2.46 ± 0.05 Aa | 2.25 ± 0.01 Bb | |||||
| 60 | 2.91 ± 0.09 Aa | 2.59 ± 0.22 Ba | 2.09 ± 0.07 Cb | 2.47 ± 0.05 Ba | |||||
| Treatment | B1 | B2 | T1 | T2 |
|---|---|---|---|---|
| Germination rate (%) | 93.33 ± 5.77 a | 98.33 ± 2.89 a | 100.00 ± 0.00 a | 96.67 ± 5.77 a |
| Germination index (%) | 99.72 ± 17.82 a | 90.15 ± 14.51 a | 106.86 ± 6.86 a | 83.06 ± 5.49 b |
| Days | Treatments | Bacteria | Fungi | ||||||
|---|---|---|---|---|---|---|---|---|---|
| OTUs | Shannon | Chao1 | Coverage | OTUs | Shannon | Chao1 | Coverage | ||
| 0 d | B1 | 944 | 4.66 | 938.84 | 0.9925 | 279 | 1.89 | 189.75 | 0.9994 |
| B2 | 580 | 3.85 | 592.23 | 0.9954 | 154 | 1.50 | 138.88 | 0.9994 | |
| T1 | 436 | 2.87 | 450.25 | 0.9963 | 89 | 1.77 | 87.17 | 0.9998 | |
| T2 | 410 | 2.90 | 381.09 | 0.9972 | 169 | 1.53 | 123.78 | 0.9995 | |
| 15 d | B1 | 1337 | 4.95 | 1389.47 | 0.9882 | 362 | 1.47 | 229.82 | 0.9995 |
| B2 | 1324 | 4.51 | 1298.95 | 0.9907 | 326 | 1.05 | 205.01 | 0.9996 | |
| T1 | 1096 | 4.27 | 1043.57 | 0.9937 | 251 | 1.16 | 154.97 | 0.9998 | |
| T2 | 575 | 1.62 | 548.80 | 0.9963 | 204 | 2.28 | 129.03 | 0.9999 | |
| 30 d | B1 | 1377 | 4.56 | 1356.70 | 0.9914 | 381 | 3.53 | 236.80 | 0.9998 |
| B2 | 1514 | 4.96 | 1435.93 | 0.9905 | 369 | 2.81 | 219.25 | 0.9998 | |
| T1 | 1312 | 4.69 | 1260.05 | 0.9921 | 329 | 3.13 | 189.08 | 0.9998 | |
| T2 | 1129 | 4.69 | 1085.86 | 0.9937 | 282 | 2.95 | 174.85 | 0.9998 | |
| 60 d | B1 | 991 | 3.42 | 1013.72 | 0.9920 | 315 | 2.73 | 194.48 | 0.9998 |
| B2 | 1079 | 3.68 | 1012.50 | 0.9917 | 282 | 2.72 | 168.31 | 0.9998 | |
| T1 | 1215 | 4.20 | 1175.42 | 0.9907 | 318 | 2.03 | 193.78 | 0.9997 | |
| T2 | 1170 | 4.42 | 1138.24 | 0.9918 | 242 | 2.35 | 153.28 | 0.9998 | |
Disclaimer/Publisher’s Note: The statements, opinions and data contained in all publications are solely those of the individual author(s) and contributor(s) and not of MDPI and/or the editor(s). MDPI and/or the editor(s) disclaim responsibility for any injury to people or property resulting from any ideas, methods, instructions or products referred to in the content. |
© 2023 by the authors. Licensee MDPI, Basel, Switzerland. This article is an open access article distributed under the terms and conditions of the Creative Commons Attribution (CC BY) license (https://creativecommons.org/licenses/by/4.0/).
Share and Cite
Wang, M.; Lv, H.; Xu, L.; Zhang, K.; Mei, Y.; Zhang, S.; Wu, M.; Guan, Y.; Zhang, M.; Pang, H.; et al. Screening of Cold-Adapted Strains and Its Effects on Physicochemical Properties and Microbiota Structure of Mushroom Residue Composting. Fermentation 2023, 9, 354. https://doi.org/10.3390/fermentation9040354
Wang M, Lv H, Xu L, Zhang K, Mei Y, Zhang S, Wu M, Guan Y, Zhang M, Pang H, et al. Screening of Cold-Adapted Strains and Its Effects on Physicochemical Properties and Microbiota Structure of Mushroom Residue Composting. Fermentation. 2023; 9(4):354. https://doi.org/10.3390/fermentation9040354
Chicago/Turabian StyleWang, Min, Haoxin Lv, Liping Xu, Kun Zhang, Yan Mei, Shengtian Zhang, Ming Wu, Yifei Guan, Miao Zhang, Huili Pang, and et al. 2023. "Screening of Cold-Adapted Strains and Its Effects on Physicochemical Properties and Microbiota Structure of Mushroom Residue Composting" Fermentation 9, no. 4: 354. https://doi.org/10.3390/fermentation9040354
APA StyleWang, M., Lv, H., Xu, L., Zhang, K., Mei, Y., Zhang, S., Wu, M., Guan, Y., Zhang, M., Pang, H., & Tan, Z. (2023). Screening of Cold-Adapted Strains and Its Effects on Physicochemical Properties and Microbiota Structure of Mushroom Residue Composting. Fermentation, 9(4), 354. https://doi.org/10.3390/fermentation9040354

