Next Article in Journal
Conversion of Syngas from Entrained Flow Gasification of Biogenic Residues with Clostridium carboxidivorans and Clostridium autoethanogenum
Previous Article in Journal
Increasing Biomethane Production in MSW Anaerobic Digestion Process by Chemical and Thermal Pretreatment and Process Commercialization Evaluation
 
 
Font Type:
Arial Georgia Verdana
Font Size:
Aa Aa Aa
Line Spacing:
Column Width:
Background:
Article

An Alternative Approach to Improve the Butanol Production Efficiency from Sweet Sorghum Stem Juice Using Immobilized Cells Combined with an In Situ Gas Stripping System

by
Thanawat Thanapornsin
1,
Pattana Laopaiboon
2,3 and
Lakkana Laopaiboon
2,3,*
1
Graduate School, Khon Kaen University, Khon Kaen 40002, Thailand
2
Department of Biotechnology, Faculty of Technology, Khon Kaen University, Khon Kaen 40002, Thailand
3
Center for Alternative Energy Research and Development, Khon Kaen University, Khon Kaen 40002, Thailand
*
Author to whom correspondence should be addressed.
Fermentation 2022, 8(9), 464; https://doi.org/10.3390/fermentation8090464
Submission received: 18 August 2022 / Revised: 7 September 2022 / Accepted: 12 September 2022 / Published: 17 September 2022
(This article belongs to the Section Microbial Metabolism, Physiology & Genetics)

Abstract

:
The effects of the nitrogen source and buffers used in butanol production with Clostridium beijerinckii TISTR 1461 from sweet sorghum stem juice (SSJ) containing 60 g/L of total sugar were first studied in this paper. Among the various nitrogen sources (dried spent yeast, urea, ammonium acetate, ammonium sulfate), urea was found to be the most suitable for butanol production. SSJ supplemented with urea (0.64 g/L) and cocktail buffers (KH2PO4, 0.5 g/L; K2HPO4, 0.5 g/L; ammonium acetate, 2.2 g/L) gave the highest butanol concentration (PB, 10.13 g/L). Then, the capability of immobilized C. beijerinckii TISTR 1461 cells for butanol fermentation was investigated. Two residual waste materials were examined as immobilized cell carriers. Bamboo chopstick pieces were more appropriate as carriers for cell immobilization than cigarette filter tips. The PB value of the immobilized cells on the bamboo chopstick pieces was ~13% higher than that on the cigarette filter tips. Using the response surface methodology (RSM), 1.9 cm bamboo chopstick pieces with a carrier loading of 1:32 (w/v) were the optimum conditions for cell immobilization for butanol production. Under these conditions, the PB value was 11.62 g/L. To improve the butanol production efficiency, a gas stripping system (GS) was connected to the fermenter. It was found that the PB (14.02 g/L) and butanol productivity (QB, 0.29 g/L·h) values improved by ~21% compared to butanol fermentation using no gas stripping.

1. Introduction

There are increasing concerns over the environmental issues associated with petroleum fuel combustion emissions and decreasing fossil fuel reserves. Renewable energy sources such as butanol are, therefore, of interest at present. Butanol’s properties are closer to those of gasoline than ethanol, including having a higher boiling point, greater heating value, higher energy content, higher blending vapor pressure, higher water tolerance, and a reduced need to modify the current combustion engines [1]. Additionally, butanol is not corrosive toward engine parts, and the phase separation risk is low [2]. Thus, butanol is regarded as one of the most appropriate biofuel candidates. Additionally, butanol is a multipurpose chemical feedstock that has also been extensively used in the manufacture of plastics, polymers, paints and coatings, textiles, brake fluids, lubricants, synthetic rubber, cosmetics, shaving products, and soaps, as well as for various purposes in the food industry [3,4,5].
Butanol can be produced using acetone–butanol–ethanol (ABE) fermentation. This fermentation process has two phases, acidogenesis and solventogenesis. Some solventogenic clostridial strains, including Clostridium saccharoperacetobutylicum, C. saccharobutylicum, C. acetobutylicum, and C. beijerinckii, are generally used as butanol-producing strains in ABE fermentation. These four species can be roughly divided into two classes, starch- and sugar-consuming species, according to their utilization of carbon sources. C. acetobutylicum and C. beijerinckii are the major industrial ABE production strains [5,6].
The raw materials are the main expense in the fermentative production of butanol [7,8]. Consequently, abundant raw materials are needed with high carbohydrate contents at low cost. Sweet sorghum, a non-competitive crop that is drought-resistant, has high photosynthetic activity and a high energy content that can be separated into starchy grains, soluble sugar juice, and the lignocellulosic biomass [9,10]. Grains of sweet sorghum are used only for feed, whereas the lignocellulose biomass and sweet sorghum stem juice are not used for any products on a commercial scale in Thailand. The average yield of sweet sorghum cultivar KKU40 in Thailand at 90–100 days old is approximately 15–25 dry tons/ha [11]. Several sweet sorghum varieties have been identified with fresh biomass productivity potential exceeding 100 tons/ha within 100 to 150 days, both at tropical and higher latitudes [12]. Sweet sorghum stem juice (SSJ) contains approximately 16–18% (w/w) of fermentable sugars, which can be directly fermented into biofuel (i.e., bioethanol and biobutanol) by microorganisms [13,14,15,16]. Nevertheless, other nutrients such as nitrogen and buffers should be considered for the improvement of butanol production. Generally, increased nitrogen levels are needed for high cell growth and THE metabolism of Clostridium spp. [17]. Urea (CH4N2O) and yeast extract have been used as nitrogen sources to enhance the ABE fermentation of sugarcane molasses by C. beijerinckii TISTR 1461 [18,19]. Furthermore, the pH of the medium is very important in ABE fermentation. During acidogenesis, acetic and butyric acids are rapidly produced, resulting in dramatically decreased pH values. Solventogenesis starts when the pH reaches a critical point, beyond which the acids are re-assimilated and the solvents (acetone, butanol, and ethanol) are produced. In this case, the buffers are necessary to prevent an acid crash of the fermentation [20].
The main problems during butanol production are the low product concentration and productivity. These problems are caused from the accumulation of butanol in the medium, resulting in toxicity to the bacterial cells during ABE fermentation [21]. Hence, the challenge during high butanol production is to protect cells from butanol toxicity and product inhibition. Some techniques for solving these problems are cell immobilization and the use of a gas stripping (GS) system. GS is a simple technique used to separate solvents from a fermentation broth during ABE fermentation. Additionally, it is effective, easy to integrate with fermentation processes, and has low energy consumption [18,22,23]. It was reported that GS is essential to attain butanol concentrations higher than 8 g/L in a fermentation broth [24]. GS can be used to produce a condensate with a butanol concentration that is higher than its solubility in water (~80 g/L at 20 °C), resulting in more productive butanol separation.
Cell immobilization is an efficient technique used to produce tolerant and high-cell-density fermentations that can enhance butanol production [25,26,27,28]. Many support materials used for cell immobilization to produce butanol have been studied, such as cotton [26], activated carbon [29], brick [30], zeolite [31], agricultural waste [21], and lotus stalks [28]. A suitable supporter or carrier must have low material costs, no toxicity to the bacterial cells with a high specific surface area, and the ability to be reused [32]. Therefore, residual, low-cost, and highly porous materials may be useful as immobilized cell supports. This could divert a large amount of waste material into valuable fermentation aids. About 5.6 trillion cigarettes are sold worldwide every year. After being smoked, the remaining cigarette butt has an average weight of 0.2 g. A cigarette butt consists of a filter tip and a small amount of unburned tobacco. This amounts to around 1.1 million tons in total, which is a huge waste [33]. In Thailand, 8% of the 11.47 million tons of solid waste is discharged into the sea as cigarette butts [34]. Additionally, Thailand produces more than 2.5 billion pairs of single-use bamboo chopsticks that are discarded after a single use [35]. There has been no report on using cigarette filter tips and bamboo chopstick pieces as immobilized cell carriers for butanol production until now. Therefore, they were chosen as low-cost immobilized cell carriers for butanol production in this study.
In this study, extensive and low-cost nitrogen sources (dried spent yeast (DSY), urea, ammonium acetate, and ammonium sulfate) were used to replace yeast extract, which is an expensive nitrogen source. Their suitability for butanol fermentation from sweet sorghum stem juice (SSJ) using C. beijerinckii TISTR 1461 was evaluated. The effects of the buffers were also studied to improve the butanol production. Then, immobilized Clostridium sp. cells on solid wastes (cigarette filter tips and bamboo chopstick pieces) were used to improve the butanol production. Additionally, the immobilized cell carrier parameters and immobilization times were studied. The size and loading of the carriers were statistically optimized. In the current work, the carrier loading refers to the ratio of the weight of the carrier (in grams) to the volume of the media (in mL) in the fermentation vessel. Finally, butanol fermentation using immobilized Clostridium cells coupled with a GS system to promote the butanol production was investigated.

2. Materials and Methods

2.1. Microorganism and Inoculum Preparation

C. beijerinckii TISTR 1461 was purchased from the Thailand Institute of Scientific and Technological Research (TISTR), Khlong Luang, Pathumthani, Thailand. It was preserved as a spore suspension and kept in sterile distilled water at 4 °C. In total, 1 mL of spore suspension containing ~1 × 106 spores/mL of C. beijerinckii TISTR 1461 was used for spore activation via heat shocking [18]. The heat shocking was performed at 80 °C for 1 min in hot water. Afterwards, the spore suspension was rapidly transferred into an ice bath at 0 °C for 1 min to prevent cell damage. A 0.5 mL aliquot of activated spores was transferred into 10 mL of cooked meat medium (CMM) and incubated at 37 °C for 12 h to rejuvenate the cells. The vegetative cells (5%, v/v) were then transferred into a tryptone–glucose–yeast extract (TGY) medium and incubated at 37 °C for 4–6 h to obtain active cells in the log phase of growth at an optical density of 0.5 (0.97 g dry cell weight/L) at 600 nm before use as an inoculum for butanol fermentation (modified from [36]). Before inoculation, the CMM and TGY media were sterilized at 121 °C for 15 min and purged with oxygen-free nitrogen (OFN) gas to create anaerobic conditions.

2.2. Raw Materials for Butanol Production

A synthetic medium (P2 medium) and SSJ medium were used as substrates for ABE fermentation. The P2 medium containing 60 g/L glucose, 1 g/L YE, 0.5 g/L K2HPO4, 0.5 g/L KH2PO4, 2.2 g/L ammonium acetate (C2H7NO2), 0.2 g/L MgSO4·7H2O, 0.01 g/L MnSO4·H2O, 0.01 g/L NaCl, 0.01 g/L FeSO4·7H2O, 1 mg/L p-amino-benzoic acid, 1 mg/L thiamine, and 0.01 mg/L biotin was used for ABE fermentation [37]. The SSJ (cv. KKU 40) squeezed from its stalks using a sugarcane extractor was obtained from the Faculty of Agriculture, Khon Kaen University, Thailand. The juice, containing 18 °Bx of total soluble solids, was concentrated to 68 °Bx and kept at −20 °C to prevent bacterial growth. The main components of the SSJ (cv. KKU 40) are presented in Table 1. The concentrated SSJ syrup was diluted with distilled water to 60 g/L of total sugars and used as a fermentation medium. The medium was autoclaved at 110 °C for 28 min [38]. After this, the pH of the medium was adjusted to 6.5 using 8 N NaOH. The OFN gas was used to create the anaerobic conditions before fermentation [18].
DSY, urea (CH4N2O), ammonium acetate (C2H7NO2), and ammonium sulfate ((NH4)2SO4) were used in this study to access the effects of these nitrogen sources on butanol production as a replacement for 1 g/L YE. The DSY and YE compositions were determined using a proximate analysis [39], and the results presented in Table 2. The YE was purchased from Oxoid, UK. The DSY was donated by Beerthip Brewery (1991) Co., Ltd., Bang Bann, Phra Nakhon Sri Ayutthaya, Thailand. The urea and ammonium sulfate were purchased from KemAus, Australia. The ammonium acetate was purchased from BDH, UK. All chemicals were of analytical grade.

2.3. Carriers

To mimic the residual waste materials, cigarette filter tips were purchased from Ramthetic, Thailand (product of Spain). Bamboo chopsticks were purchased from Siam Makro Public Co., Ltd., Khon Kaen. Thailand. The cigarette filter tips and bamboo chopstick pieces were used as immobilized cell carriers in butanol fermentations. The carrier materials were cut with a sharp knife and dried in an oven at 90 °C to a constant weight and then sterilized at 110 °C for 28 min to prevent contamination before their use for cell immobilization.

2.4. Experiments

2.4.1. Effects of Nutrients and Buffers on Butanol Production by Free Cells

The experiments were designed using a one-factor-at-a-time (OFAT) method to evaluate the effects of various nitrogen sources, nitrogen concentrations, and buffers on the butanol production. First, the effects of nitrogen from several sources were studied. The SSJ medium was supplemented with DSY (0.71 g/L), urea (0.16 g/L), ammonium acetate (0.41 g/L), or ammonium sulfate (0.35 g/L). The nitrogen content in these materials was equivalent to that in 1 g/L YE (the nitrogen source in a standard butanol production medium) [37]. In this study, the P2 medium and SSJ medium with no nutrient supplementation were used as positive and negative control treatments, respectively. Second, the effects of nitrogen concentrations ranging from 0.5- to 5-fold on the suitable nitrogen source obtained from the above experiment were further tested. Finally, the effects of several buffers on the butanol production were investigated. Buffer A (KH2PO4, 0.5 g/L; K2HPO4, 0.5 g/L and ammonium acetate, 2.2 g/L), buffer B (KH2PO4, 0.5 g/L and K2HPO4, 0.5 g/L), or buffer C (ammonium acetate, 2.2 g/L) was added into the SSJ medium supplemented with an appropriate nitrogen source and at an appropriate concentration, whereas no buffer addition was used as a control experiment.
The initial pH of the media was adjusted to 6.5 with 8 N NaOH. The OFN gas was used to create the anaerobic conditions. Active C. beijerinckii TISTR 1461 cells (from Section 2.1) were inoculated in butanol production media to start the fermentations under anaerobic conditions. All treatments were performed in triplicate and conducted in 1 L screw-capped bottles with a 750 mL working volume at 37 °C and 150 rpm. The samples were collected at regular time intervals for analyses during the fermentation to determine the conditions yielding the maximal butanol production levels. Gram staining, microscopic examinations, pH measurements, and the aseptic technique were used throughout this study to assure that no contamination occurred during fermentation.

2.4.2. Selection of Carriers and Cell Immobilization Conditions

The active C. beijerinckii TISRT 1461 cells were immobilized on 1.5-cm-long cigarette filter tips and bamboo chopstick pieces [40] and at a carrier loading of 1:50 (w/v) [21] in the immobilization medium (optimum fermentation medium obtained from Section 2.4.1) for 12 h [31], followed by washing of the carriers with fermentation medium. Then, fresh fermentation medium was added to start the butanol fermentation. The fermentation was operated in triplicate in 1 L screw-capped bottles with 750 mL working volumes at 37 °C and 150 rpm. Samples were taken for analyses at regular time intervals.
To determine an appropriate immobilization medium, three media, i.e., TGY, SSJ supplemented only with a suitable nitrogen source, and SSJ supplemented with a suitable nitrogen source and buffers (from Section 2.4.1), were applied. Additionally, the durations of the cell immobilization varied from 6 to 24 h. All fermentation experiments were performed as described above.

2.4.3. Optimization of Carriers for Butanol Production

The response surface methodology (RSM) based on the central composite design (CCD) using Design-Expert version 12.0 (Demo version, Stat-Ease. Inc., MN, USA) software was used to design the experiments and perform the analysis of variance (ANOVA). Table 3 shows thirteen experiments with two variables in coded and actual terms. From the experimental design, each variable was varied at five levels from +α and −α. The response variables (carrier size and loading) were fitted to a predictive polynomial quadratic equation (Equation (1)) to correlate the response variable with the independent variables.
Y = β 0 + i = 1 k β i x i + i = 1 k β i i x i 2 + i = 1 k j = i + 1 k β i j x i x j
where Y is the predicted response, and xi and xj are the variables that influence the response variable Y; β0 is the offset term, βi is the ith linear coefficient, βii is the iith quadratic coefficient, βij is the ijth interaction coefficient, and k is the number of independent variables.
The effects of two variables, the carrier size (x1; 0.30–2.70 cm) and carrier loading (x2; 1:17–1:53 (w/v)), on the butanol concentration (Y) were evaluated individually and with interactions. The cell immobilization was performed under anaerobic conditions at the optimal performance level outlined in Section 2.4.2. The butanol fermentations were carried out in batch mode in 1 L screw-capped bottles containing 750 mL of sterile SSJ medium and the carriers. The medium was purged with OFN gas to create anaerobic conditions before inoculation with 5% (v/v) of active cells. All experiments in this study were performed in triplicate at 37 °C and 150 rpm. The results are presented as mean values ± the standard deviation (SD).
The results from the predicted butanol concentrations were verified in a larger reactor. The experiments were conducted in a 2 L stirred tank bioreactor (STR) (Biostat® B, B. Braun Biotech, Melsungen, Germany) with a working volume of 1.2 L at 37 °C and 150 rpm.

2.4.4. Butanol Fermentation by Immobilized Cells Coupled with an In Situ Gas Stripping Process

A butanol fermentation using immobilized cells was performed in batch mode in a 2 L STR under the optimal immobilization conditions obtained from Section 2.4.3. A gas stripping (GS) system was connected to the STR using the gas from the ABE fermentation (CO2 and H2), as shown in Figure 1. It was started after 24 h of fermentation [41]. A peristaltic pump was used to control the flow rate in the GS at 1 L/min (Watson-Marlow, Falmouth, UK). The temperature of the condenser coolant (Pyrex, Stoke-on-Trent, Staffs, UK; condenser 40 × 450 mm and cooling coil 0.60 × 1500 mm) during the operation was maintained at −8 ± 2 °C using 95% (v/v) ethanol as the coolant [18]. The samples were taken from the STR and receiving flask at regular time intervals for analyses.

2.5. Analytical Methods

Bacterial cells and other particles in the samples were separated by centrifugation at 7380× g for 10 min. The pH, total sugar content, organic acids (acetic and butyric acids), and organic solvents (acetone, butanol and ethanol) in the supernatant were measured. The pH was measured using a pH meter (Mettler Toledo, Columbus, OH, USA), while the total sugar content was determined using a phenol–sulfuric acid method [42]. The organic acids and organic solvents were analyzed using a gas chromatograph (GC-2014, Shimadzu, Japan) with a stainless-steel column packed with Porapack Q (3 m × 2 mm, 80/100 mesh, Resteck, Bellefonte, PA, USA). The conditions of the analysis were described by [18]. Additionally, iso-butanol was used as an internal standard for more precise measurements (modified from [36]). Residual sugars in the fermented medium (glucose, fructose and sucrose) were determined using HPLC with a refractive index detector (Waters, Milford, MA, USA) using an Inertsil® NH2 column (5 µm, 250 mm × 4.6 mm, GL Sciences, Tokyo, Japan) at 35 °C. The mobile phase was 75% acetonitrile in deionized water at a flow rate of 0.8 mL/min [16]. The cell growth for the inoculum preparation was spectrophotometrically determined at an optical density at 600 nm (OD600) before beginning the fermentation [15]. The cell morphology was also observed under light microscopy at various times during the fermentation. The structures of the cigarette filter tips and bamboo chopsticks were observed using scanning electron microscopy (SEM) [28]. The butanol yield (YB/S, g/g) was calculated as the butanol produced (PB, g/L) divided by the total sugars utilized. The volumetric butanol productivity (QB, g/L·h) was calculated as the butanol concentration (PB, g/L) produced divided by the fermentation time under the highest production conditions.
All experiments were performed in triplicate. The results are shown as means ± SD. Duncan’s multiple range test with a critical value of 0.05 were used to differentiate the significant differences.

3. Results and Discussion

3.1. Butanol Fermentation from the P2 Medium and SSJ Medium with No Nutrient Supplementation by Free Cells

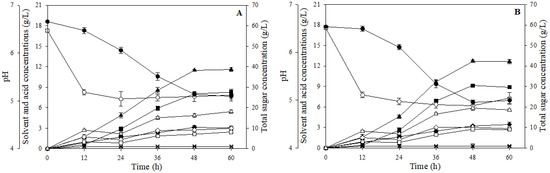
The profiles of the butanol fermentation from a standard synthetic butanol production medium (P2 medium) are shown in Figure 2A. During the fermentation, the pH dramatically decreased in the first 12 h because acetic and butyric acids were formed, implying that acetate kinase and butyrate kinase were respectively active. Additionally, the results suggest that the bacterial cells grew because of the ATP generation from the produced acetic and butyric acids. These phenomena indicate that an acidogenesis phase occurred. Later, the pH slightly increased. Consequently, the solvents (acetone, butanol, and ethanol) were clearly detected in a solventogenesis phase. These results suggest that the acetoacetate decarboxylase, butanol dehydrogenase, and alcohol dehydrogenase were respectively active [43]. In this phase, a PB value of 11.06 g/L was achieved after 48 h of fermentation, whereas the acetone and ethanol concentrations were 4.96 and 0.37 g/L, respectively (Table 4). Under these conditions, the PABE value was 16.40 g/L, whereas a YB/S of 0.25 g/g and QB of 0.23 g/L·h were obtained. At the end of the fermentation, the total sugar concentration remaining in the broth was ~15 g/L. Complete sugar consumption did not occur, which might have been due to butanol toxicity [14]. Zhang et al. [44] reported that more than 7.4 g/L of butanol could inhibit the growth of wild-type C. beijerinckii. Additionally, Cheng et al. [45] reported that fermentations with Clostridium suffer from a low butanol concentration (<1.5 wt%) and productivity (<0.5 g/L·h) because of the high butanol cytotoxicity. However, this depends on the bacterial species and environmental conditions used during the fermentation.
An acidogenesis phase occurred within 12 h in both the P2 medium (Figure 2A) and the SSJ with no nutrient supplementation (Figure 2B). Interestingly, the pH profile for the SSJ with no nutrient supplementation after 24 h was different from that for the P2 medium. The pH slightly declined, implying that the buffering agents in the SSJ were lower in concentration than those in the P2 medium. The fermentation time using the SSJ was shorter than that of the P2 medium, which might have been due to the lack of fermentable nitrogen in the SSJ (only 1.31 g/L of total nitrogen) (Table 1). Under this condition, a PB of 4.19 g/L, PABE of 6.73 g/L, YB/S of 0.22 g/g, and QB of 0.08 g/L·h were obtained (Table 4). The PB value using SSJ was only ~38% of that using the P2 medium. High levels of total sugar remaining in the broth were observed, indicating that the remaining carbon source was sufficient for butanol production. Based on these results, the SSJ exhibited its potential for use as a substrate for butanol fermentation. Hence, the most essential nutrient, nitrogen, was added to obtain higher levels of butanol production from the SSJ.

3.2. Effects of Nutrients and Buffers on Butanol Production from SSJ Medium by Free Cells

When the DSY, urea, ammonium acetate, and ammonium sulfate were added into the SSJ medium, the PB and PABE ranges obtained were 4.84–6.91 g/L and 7.20–9.96 g/L, respectively (Table 4). The PB and PABE values with all nitrogen supplements were higher than those with no nutrient supplementation, suggesting that the nitrogen content in the SSJ was not sufficient to promote butanol and ABE production. The butanol production efficiency values with the addition of DSY and urea (PB, 6.60–6.91 g/L) were higher than those for ammonium acetate and ammonium sulfate (PB, 4.84–5.43 g/L). This might have been due to the effect of the ammonium ion (NH4+) inhibition on the bacterial cellular performance, as reported by [46]. They observed that when the addition of ammonium acetate increased from 1 g/L to 6 g/L, the butanol and ABE yields correspondingly decreased by 23% and 26%, respectively. The results suggested that the NH4+ plays a key role in regulating the ABE fermentation. However, the effect of the NH4+ is more or less dependent on the microbial species used in the fermentation. The butanol production efficiency using DSY was similar to that with urea. This implies that both DSY and urea are suitable nitrogen sources for butanol production from the SSJ medium using C. beijerinckii TISTR 1461. Nevertheless, urea was chosen as the nitrogen source in the further experiments because it could be completely dissolved in the fermentation medium, whereas DSY only partially dissolved. Under urea supplementation conditions, the YB/S was not significantly different from the positive control (P2) medium, implying that the metabolic pathway of the butanol production was the same. However, the QB with the urea addition was lower than that with the P2 medium, which might have been due to the insufficient nitrogen in the broth for assimilation by bacterial cells.
To determine the optimum urea concentration for butanol production from SSJ, urea concentrations ranging from 0.5- to 5-fold (corresponding to 0.16–0.80 g/L of urea) of the nitrogen content in YE (1 g/L) in P2 medium were tested. The results showed that the PB and PABE values significantly increased (p < 0.05) with the nitrogen content in the SSJ medium by up to 4-fold (Figure 3 and Table 5). The highest PB and PABE values were achieved with a nitrogen content 4-fold higher than for YE, corresponding to a urea concentration of 0.64 g/L. All fermentation profiles (Figure 4) were similar to those of the P2 medium (Figure 2). At the end of the fermentation, the total sugars remaining equaled 26 g/L, suggesting that product inhibition might have occurred. Under these conditions, the YB/S (0.23 g/g) and QB (0.21 g/L·h) values were similar to those of the P2 medium (Table 4 and Table 5). A negative effect on the butanol and ABE production was observed at higher urea concentrations (5-fold increase in the nitrogen content of 1 g/L of YE in the P2 medium). This might have been due to the anti-bacterial effects (bacteriostatic and bactericidal) of the urea on many of the microorganisms [47]. It was clearly demonstrated that urea could be used as a nitrogen supplement for butanol production from SSJ, and it did not affect the butanol metabolic pathway of C. beijerinckii TISTR 1461 (Table 5).
The pH value of the fermentation medium is very important for butanol production. In the acidogenesis phase, acetic and butyric acids are produced, causing the pH to decrease, whereas a solventogenesis phase actively occurs when the pH values reach a pH break point or critical point. Normally, the optimal pH break point for butanol fermentation is in the range of 5.0–6.0 [48]. Hence, the buffer addition may promote the butanol production. However, when three buffers, buffer A (KH2PO4, K2HPO4, and ammonium acetate), buffer B (KH2PO4 and K2HPO4), and buffer C (ammonium acetate), were added into the SSJ medium supplemented with the optimal urea concentration (0.64 g/L), the PB (9.70–10.15 g/L) and YB/S (0.22–0.23 g/g) values at 48 h of all buffers tested and with no buffer addition were not significantly different. This suggests that the buffering agents did not affect the metabolic pathway of the butanol production (Figure 5). The PABE values (14.39–15.68 g/L) under all conditions tested were slightly different, suggesting that the buffering agents insignificantly affected the metabolic pathways of the ABE fermentation (Figure 5). Nevertheless, when the pH profiles in all SSJ media were monitored during butanol fermentation (Figure 6), a pH break point at 4.89 was observed in the SSJ with no buffer. This value was lower than for the other fermentations. The results also indicated that the pH break point of the SSJs supplemented with buffers B (4.97) and C (5.11) were lower than when using a cocktail buffer A (5.16). Moreover, most of the cell morphology of C. beijerinckii TISTR 1461 under cocktail buffer A conditions was observed to be in the clostridial form or cigar-shaped. Under other conditions, most of the cell morphology presented forespores and spores, implying that the environmental conditions for ABE fermentation were not appropriate when using buffer B or C. Hence, these results suggested that cocktail buffer A was more suitable for use in butanol fermentation. The pH break point using cocktail buffer A was similar to that (pH 5.10) reported by Capilla et al. [49]. Under this condition, the highest PB (10.13 g/L) and PABE (15.02 g/L) values were gained, with 71.81% sugar consumption, a QB of 0.21 g/L·h, and a YB/S of 0.23 g/g.

3.3. Butanol Fermentation from SSJ Medium by Immobilized Cells on Cigarette Filter Tips and Bamboo Chopstick Pieces

The SEM images of cigarette filter tips and bamboo chopsticks showed highly porous surfaces (Figure 7A,B). This indicates that they are suitable for use as supporter materials for cell immobilization.
Butanol fermentation using SSJ supplemented with 0.64 g/L of urea and a cocktail buffer (buffer A) by immobilized C. beijerinckii TISTR 1461 cells on cigarette filter tips and bamboo chopstick pieces was investigated (Figure 8). The butanol fermentation profiles using free cells and immobilized cells were similar (Figure 4 and Figure 8), implying that the activity levels of the free cells and immobilized cells were not different. The C. beijerinckii TISTR 1461 cells were immobilized on the cell carriers for 12 h before beginning the fermentation. The results showed that the PB (9.20 g/L) and PABE (12.62 g/L) values using the immobilized cells on bamboo chopstick pieces were approximately 9–13% higher than those on cigarette filter tips (PB, 8.18 g/L, PABE, 11.39 g/L). At the end of the fermentation, the residual total sugar concentration using bamboo chopstick pieces was 23 g/L. The sugar was not completely consumed, indicating that butanol toxicity may have occurred [14]. Under this condition, a YB/S of 0.24 g/g and QB of 0.19 g/L·h were obtained (Table 6). Under both conditions, the YB/S values were not significantly different (0.22–0.24 g/g), suggesting that the supporters did not affect the butanol production pathway. Nevertheless, the physical characteristics of the cigarette filter tips and bamboo chopstick pieces before and after butanol fermentation showed that the cigarette filter tips were destroyed by the butanol fermentation (Figure 7C), whereas the bamboo chopstick pieces remained intact (Figure 7D). This is because the structure of bamboo is robust under the shear force of agitation during butanol fermentation. Thus, bamboo chopstick pieces are a more appropriate carrier for cell immobilization to produce butanol from SSJ. However, the PB (9.20 g/L) value produced by the immobilized cells on bamboo chopstick pieces (Table 6) was lower than that (PB, 10.13 g/L) produced by the free cells. This might have been due to the inappropriate carrier size and the amount of carrier that was loaded.

3.4. Appropriate Immobilization Medium and Immobilization Time for Butanol Fermentation from SSJ Medium by Immobilized Cells

When the SSJ supplemented with urea, SSJ supplemented with urea and buffers, and TGY medium were used as the immobilization media, the results showed that the PB values for the SSJ supplemented with urea and SSJ supplemented with urea and buffers (9.04–9.20 g/L) were not significantly different. However, they were significantly higher than when using TGY (7.53 g/L) (Table 7). The YB/S values under all conditions tested were not significantly different. According to these results, SSJ supplemented with only urea was chosen as the immobilization medium in the next experiments because of its lower cost and ease of preparation. Under this condition, the PB, YB/S, and QB values were 9.04 g/L, 0.24 g/g, and 0.18 g/L·h, respectively, after 48 h of fermentation.
When the times for cell immobilization on bamboo chopstick pieces before fermentation varied from 6 to 12, 18, and 24 h, it was found that the butanol production efficiency significantly increased (p < 0.05) with the immobilization time from 6 to 24 h (Figure 9). This might have been due to the increased number of Clostridium cells immobilized on the carriers, as well as the growth. An immobilization time of 24 h gave the highest PB (10.27 g/L), PABE (15.38 g/L), and sugar consumption (73.84%) values (Table 8). Therefore, an immobilization time of 24 h was used in the subsequent experiments.

3.5. Optimization of Carriers for Butanol Production

In this study, butanol fermentation from SSJ by immobilized C. beijerinckii TISTR 1461 using various support carrier sizes of 0.30–2.70 cm and carrier loading rates of 1:17–1:53 (w/v) for bamboo chopstick pieces was performed. Table 9 shows the experimental designs for these two variables and the results of the 13 runs. The PB values were in the range of 8.65–11.36 g/L (Table 9). These values were used to produce a quadratic polynomial equation to predict the butanol concentration resulting from ABE fermentations as the input parameters were varied. The regression model is shown as Equation (2):
Y = 5.26 + 4.38x1 + 0.12x2 − 0.02x1x2 − 0.97x12 − 0.0013x22
where Y is the predicted butanol concentration, while x1 and x2 represent the size and loading of the bamboo chopstick pieces, respectively. An analysis of variance (ANOVA) was performed and the adequacy of the regression model was assessed. The results are shown in Table 10. A p-value of 0.05 was used in the analysis as the criterion for significant results. Fisher’s F-test value was 8.26 with a low p-value (0.0075), indicating that the model was accurate. The results also indicated that the linear coefficient (x1) and the quadratic coefficient (x12) of the carrier size were highly significant (p < 0.05), whereas x2, x1x2, and x22 were not significant (p > 0.05). Additionally, the x1 term had a positive effect on the butanol concentration, whereas x12 had a negative effect. Thus, the linear and quadratic effects of the carrier size were the most influential factors. The results also showed that the loading of the carriers had little impact on the response. The coefficient of determination (R2) in this study was 0.8551, which was higher than 0.80 and indicative of a good fit [50].
Figure 10 shows the relative effects of the two variables (carrier size and carrier loading) on the butanol concentration. The butanol production significantly increased to a peak value with the increased carrier size. It was slightly affected by the increased carrier loading to an optimal point. However, a further increase in the carrier size resulted in a slight decrease in the PB values. According to the regression model, the optimal conditions for the butanol concentration produced from SSJ using immobilized C. beijerinckii TISTR 1461 on bamboo chopstick pieces was a carrier size of 1.90 cm and a carrier loading of 1:32 (w/v) with a maximum predicted PB of 11.38 g/L.
The reliability of the CCD results was confirmed by performing additional treatments under the predicted optimum conditions. A verification fermentation was carried out in a 2 L STR with a working volume of 1.2 L using a carrier size and carrier loading of 1.9 cm and 1:32 (w/v), respectively. The confirmation results revealed a maximal PB of 11.62 g/L after 48 h (Figure 11). This value was very close to the predicted value, suggesting that the model is reliable. At this time, the PABE and QB were 16.23 g/L and 0.24 g/L·h, respectively.
Table 11 compares the butanol production rates from a glucose medium and SSJ medium by immobilized cells on various low-cost agricultural materials. The PB from the SSJ medium was slightly lower than from the glucose medium, which might have been due to the enriched nutrient supplementation of the glucose medium. However, the YB/S and QB values using the SSJ medium were comparable to those using the glucose medium. The PB values in all studies were in the range of 11.62–14.20 g/L. Additionally, the butanol concentrations by immobilized cells in all studies improved approximately 2 to 19% compared with those using free cells. This might have been due to the cell immobilization technique providing better process stability and leading to higher biological activity. The limiting factors of the ABE fermentation were to a degree overcome, which improved the fermentation efficiency compared with the free cells [25,26,27]. The YB/S values of the immobilized cells were not significantly different from those of the free cells, indicating that the carrier or supporter used for the cell immobilization did not affect the butanol metabolic pathway of C. beijerinckii TISTR 1461.
Additionally, YB/S was 0.26 g/g, which was only 63.4% of the theoretical yield (0.41 g/g) [51]. This was due to co-product formation (acetone and ethanol) during the ABE fermentation. However, the YB/S in this study was higher than reported by earlier research studies (Table 11).
Our study also showed that the immobilized cells on bamboo chopstick pieces enhanced the butanol titer by approximately 15% compared with free cells (PB, 10.13 g/L). Therefore, bamboo chopstick pieces potentially can be used as carriers for butanol production by immobilized C. beijerinckii TISTR 1461 cells from SSJ.

3.6. Improvement of Butanol Fermentation Using an In Situ Gas Stripping System (GS)

The fermentation was operated under the optimal conditions found in Section 3.5 in a 2 L STR integrated with a GS system (Figure 1). The results showed that the substrate consumption in the fermentation with GS was approximately 12% higher than that with no GS (Figure 12 and Table 12), with correspondingly higher PABE and PB values. The residual total sugar level was 10.58 g/L in the broth under GS after the fermentation was complete. The HPLC results revealed that they consisted of glucose (0.65 g/L), fructose (3.41 g/L), sucrose (5.20 g/L), and non-fermentable sugars (1.32 g/L), indicating that the fermentable sugars were not completely consumed. This might have been due to a lower removal rate of butanol from the broth with GS than the butanol production rate in the fermentation medium, resulting in eventual butanol toxicity in the system. The PB (14.02 g/L) using GS was approximately 21% higher than that with no GS (11.62 g/L). Furthermore, using GS enhanced the QB by around 21% compared with no GS. Additionally, the YB/S values with and without GS were not significantly different, suggesting that the GS did not alter the metabolic pathway of the butanol production. Hence, the experiments clearly demonstrated that GS can improve the butanol production from SSJ with immobilized C. beijerinckii TISTR 1461 cells on bamboo chopstick pieces.

4. Conclusions

An adequate nitrogen source and a buffer are key parameters to achieve successful butanol production from sweet sorghum stem juice. Using immobilized cells under appropriate conditions significantly improves the butanol production compared to fermentation with free cells. Low-cost, highly porous, and robust materials, e.g., bamboo chopstick pieces, are suitable cell immobilization carriers for butanol production. The butanol removal during ABE fermentation by immobilized cells using a gas stripping system can prevent solvent toxicity and promote butanol production.

Author Contributions

Conceptualization, L.L. and P.L.; methodology and formal analysis, T.T.; investigation and writing—original draft preparation, T.T.; writing—review and editing, P.L. and L.L.; supervision, L.L. and P.L. All authors have read and agreed to the published version of the manuscript.

Funding

This research was funded by the National Research Council of Thailand (NRCT); the Royal Golden Jubilee Ph.D. Program (Grant No. NRCT5-RGJ63003-056); the Center for Alternative Energy Research and Development, Khon Kaen University, Khon Kaen, Thailand; and the Fermentation Research Center for Value-Added Agricultural Products (FerVAAP), Khon Kaen University, Khon Kaen, Thailand.

Institutional Review Board Statement

Not applicable.

Informed Consent Statement

Not applicable.

Data Availability Statement

Not applicable.

Acknowledgments

Beer Thip Brewery (1991) Co., Ltd., Phra Nakhon Si Ayutthaya, Thailand, for providing the dried spent yeast.

Conflicts of Interest

The authors declare no conflict of interest.

References

  1. Yu, L.; Wu, H.; Zhao, W.; Qian, Y.; Zhu, L.; Lu, X. Experimental study on the application of n-butanol and n-butanol/kerosene blends as fuel for spark ignition aviation piston engine. Fuel 2021, 304, 121362. [Google Scholar] [CrossRef]
  2. Obergruber, M.; Hönig, V.; Procházka, P.; Kučerová, V.; Kotek, V.; Bouček, J.; Mařík, J. Physicochemical Properties of Biobutanol as an Advanced Biofuel. Materials 2021, 14, 914. [Google Scholar] [CrossRef] [PubMed]
  3. Lépiz-Aguilar, L.; Rodríguez-Rodríguez, C.E.; Arias, M.L.; Lutz, G. Acetone-butanol-ethanol (ABE) production in fermentation of enzymatically hydrolyzed cassava flour by Clostridium beijerinckii BA 101 and solvent separation. J. Microbiol. Biotechnol. 2013, 23, 1092–1098. [Google Scholar] [CrossRef] [PubMed]
  4. Li, S.; Zhou, Y.; Luo, Z.; Cai, Y.; Xu, Y.; Lin, L.; Zhao, M.; Guo, Y.; Pang, Z. Dual function of ammonium acetate in acetone-butanol-ethanol fermentation by Clostridium acetobutulicum. Bioresour. Technol. 2018, 267, 319–325. [Google Scholar] [CrossRef]
  5. Dahman, Y.; Syed, K.; Begum, S.; Roy, P.; Mohtasebi, B. 14-Biofuels: Their characteristics and analysis. In Biomass, Biopolymer-Based Materials, and Bioenergy; Verma, D., Fortunati, E., Jain, S., Zhang, X., Eds.; Woodhead Publishing: Cambridge, UK, 2019; pp. 277–325. ISBN 978-0-08-1024263. [Google Scholar]
  6. Patakova, P.; Linhova, M.; Rychtera, M.; Paulova, L.; Melzoch, K. Novel and neglected issues of acetone-butanol-ethanol (ABE) fermentation by clostridia: Clostridium metabolic diversity, tools for process mapping and continuous fermentation systems. Biotechnol. Adv. 2013, 31, 58–67. [Google Scholar] [CrossRef]
  7. Ezeji, T.C.; Liu, S.; Qureshi, N. Mixed sugar fermentation by Clostridia and metabolic engineering for butanol production. In Biorefineries: Integrated Biochemical Processes for Liquid Biofuels; Qureshi, N., Hodge, D., Vertes, A., Eds.; Elsevier: Amsterdam, The Netherlands, 2014; Volume 1, pp. 191–204. ISBN 978-0-444-59498-3. [Google Scholar]
  8. Wang, Y.; Ho, S.-H.; Yen, H.-W.; Nagarajan, D.; Ren, N.-Q.; Li, Z.; Lee, D.-J.; Kondo, A.; Chang, J.-S. Current advances on fermentative biobutanol production using third generation feedstock. Biotechnol. Adv. 2017, 35, 1049–1059. [Google Scholar] [CrossRef]
  9. Cai, D.; Zhang, T.; Zheng, J.; Chang, Z.; Wang, Z.; Qin, P.Y.; Tan, T.W. Biobutanol from sweet sorghum bagasse hydrolysate by a hybrid pervaporation process. Bioresour. Technol. 2013, 145, 97–102. [Google Scholar] [CrossRef]
  10. Appiah-Nkansah, N.B.; Li, J.; Rooney, W.; Wang, D. A review of sweet sorghum as a viable renewable bioenergy crop and its technoeconomic analysis. Renew. Energy 2019, 143, 1121–1132. [Google Scholar] [CrossRef]
  11. Khongsay, N.; Laopaiboon, L.; Laopaiboon, P. Improvement of continuous ethanol fermentation from sweet sorghum juice by Saccharomyces cerevisiae using stirred tank bioreactor coupling with plug flow bioreactor. Chiang Mai J. Sci. 2015, 42, 282–293. [Google Scholar]
  12. Ratnavathi, C.V.; Komala, V.V.; Lavanya, U. Sorghum Uses-Ethanol. In Sorghum Biochemistry; Ratnavathi, C.V., Patil, J.V., Chavan, U.D., Eds.; Academic Press: San Diego, CA, USA, 2016; pp. 181–252. ISBN 978-0-12-803157-5. [Google Scholar]
  13. Phukoetphim, N.; Salakkam, A.; Laopaiboon, P.; Laopaiboon, L. Improvement of ethanol production from sweet sorghum juice under batch and fed-batch fermentation: Effects of sugar levels, nitrogen supplementation, and feeding regims. Electron. J. Biotechnol. 2017, 26, 84–92. [Google Scholar] [CrossRef]
  14. Rochón, E.; Ferrari, M.D.; Lareo, C. Integrated ABE fermentation-gas striping process for enhanced butanol production from sugarcane-sweet sorghum juices. Biomass Bioenergy 2017, 98, 153–160. [Google Scholar] [CrossRef]
  15. Sirisantimethakom, L.; Thanapornsin, T.; Laopaiboon, L.; Laopaiboon, P. Enhancement of butanol production efficiency from sweet sorghum stem juice by Clostridium beijerinckii using statistical experimental design. Chiang Mai J. Sci. 2018, 45, 287–294. [Google Scholar]
  16. Daengbussadee, C.; Laopaiboon, L.; Kaewmaneewat, A.; Sirisantimethakom, L.; Laopaiboon, L. Novel methods using an Arthrobactor sp. to create anaerobic conditions for biobutanol production from sweet sorghum juice by Clostridium beijerinckii. Processes 2021, 9, 178. [Google Scholar] [CrossRef]
  17. Zheng, J.; Tashiro, Y.; Wang, Q.; Sonomoto, K. Recent advances to improve fermentative butanol production: Genetic engineering and fermentation technology. J. Biosci. Bioeng. 2015, 119, 1–9. [Google Scholar] [CrossRef]
  18. Wechgama, K.; Laopaiboon, L.; Laopaiboon, P. Enhancement of batch butanol production from sugarcane molasses using nitrogen supplementation integrated with gas stripping for product recovery. Ind. Crops. Prod. 2017, 95, 216–226. [Google Scholar] [CrossRef]
  19. Thanapornsin, T.; Sirisantimethakom, L.; Laopaiboon, L.; Laopaiboon, P. Effectiveness of low-cost bioreactors integrated with a gas stripping system for butanol fermentation from sugarcane molasses by Clostridium beijerinckii. Fermentation 2022, 8, 214. [Google Scholar] [CrossRef]
  20. Khalifa, K.K.; Al-Tabib, A.I.; Kalil, M.S. High yield of butanol production in repeated batch culture fermentation by Clostridium acetobutylicum YM1. J. Teknol. 2018, 1, 7–14. [Google Scholar] [CrossRef]
  21. Cai, D.; Chang, Z.; Gao, L.; Chen, C.; Niu, Y.; Qin, P.; Wang, Z.; Tan, T. Acetone– butanol–ethanol (ABE) fermentation integrated with simplified gas stripping using sweet sorghum bagasse as immobilized carrier. Chem. Eng. J. 2015, 277, 176–185. [Google Scholar] [CrossRef]
  22. Lu, C.; Zhao, J.; Yang, S.T.; Wei, D. Fed-batch fermentation for n-butanol production from cassava bagasse hydrolysate in a fibrous bed bioreactor with continuous gas stripping. Bioresour. Technol. 2012, 104, 380–387. [Google Scholar] [CrossRef] [PubMed]
  23. Narueworanon, P.; Laopaiboon, L.; Phukoetphim, N.; Laopaiboon, P. Impacts of Initial sugar, nitrogen and calcium carbonate on butanol fermentation from sugarcane molasses by Clostridium beijerinckii. Energies 2020, 13, 694. [Google Scholar] [CrossRef]
  24. Xue, C.; Du, G.Q.; Sun, J.X.; Chen, L.J.; Gao, S.S.; Yu, M.L.; Yang, S.T.; Bai, F.W. Characterization of gas stripping and its integration with acetone–butanol–ethanol fermentation for high-efficient butanol production and recovery. Biochem. Eng. J. 2014, 83, 55–61. [Google Scholar] [CrossRef]
  25. Qureshi, N.; Schripsema, J.; Lienhardt, J.; Blaschek, H.P. Continuous solvent production by Clostridium beijerinckii BA101 immobilized by adsorption onto brick. World J. Microbiol. Biotechnol. 2000, 16, 377–382. [Google Scholar] [CrossRef]
  26. Chen, Y.; Zhou, T.; Liu, D.; Li, A.; Xu, S.B.; Liu, Q.G.; Li, B.B.; Ying, H.J. Production of butanol from glucose and xylose with immobilized cells of Clostridium acetobutylicum. Biotechnol. Bioprocess Eng. 2013, 18, 234–241. [Google Scholar] [CrossRef]
  27. Chang, Z.; Cai, D.; Wang, Y.; Chen, C.J.; Fu, C.H.; Wang, G.Q.; Qin, P.Y.; Wang, Z.; Tan, T.W. Effective multiple stages continuous acetone-butanol-ethanol fermentation by immobilized bioreactors: Making full use of fresh corn stalk. Bioresour. Technol. 2016, 205, 82–89. [Google Scholar] [CrossRef] [PubMed]
  28. Narueworanon, P.; Laopaiboon, L.; Laopaiboon, P. Capability of immobilized Clostridium beijerinckii TISTR 1461 on lotus stalk pieces to produce butanol from sugarcane molasses. Processes 2021, 9, 573. [Google Scholar] [CrossRef]
  29. Lui, J.; Zhou, W.; Fan, S.; Qiu, B.; Wang, Y.; Xiao, Z.; Tang, X.; Wang, W.; Jian, S.; Qin, Y. Coproduction of hydrogen and butanol by Clostridium acetobutylicum with the biofilm immobilized on porous particulate carriers. Int. J. Hydrogen Energy 2019, 44, 11617–11624. [Google Scholar] [CrossRef]
  30. Yen, H.-W.; Li, R.-J.; Ma, T.-W. The development process for a continuous acetone– butanol–ethanol (ABE) fermentation by immobilized Clostridium acetobutylicum. J. Taiwan Inst. Chem. Eng. 2011, 42, 902–907. [Google Scholar] [CrossRef]
  31. Vichuviwat, R.; Boonsombuti, A.; Luengnaruemitchai, A.; Wongkasemjit, S. Enhanced butanol production by immobilized Clostridium beijerinckii TISTR 1461 using zeolite 13X as a carrier. Bioresour. Technol. 2014, 172, 76–82. [Google Scholar] [CrossRef]
  32. He, C.R.; Lee, M.C.; Kuo, Y.Y.; Wu, T.M.; Li, S.Y. The influence of support structures on cell immobilization and acetone-butanol-ethanol (ABE) fermentation performance. J. Taiwan Inst. Chem. Eng. 2017, 78, 27–31. [Google Scholar] [CrossRef]
  33. Worldnoashtray (n.d.). Cigarette Butt Littering Information. Available online: https://www.worldnoashtray.com/en/cigarette-butt-littering-information/ (accessed on 12 August 2022).
  34. Department of Marine and Coastal Resources. The Status of Waste in the Sea in Thailand. 2019. Available online: https://www.dmcr.go.th/document (accessed on 14 March 2020).
  35. Bangkokbiznews. Effects of bamboo chopsticks waste. 2019. Available online: https://www.bangkokbiznews.com/pr-news/biz2u/268129 (accessed on 15 March 2020).
  36. Areesirisuk, A.; Laopaiboon, L.; Khongsay, N.; Laopaiboon, P. Improvement of gas chromatographic analysis for organic acids and solvents in acetone-butanol-ethanol fermentation from sweet sorghum juice. Afr. J. Biotechnol. 2010, 9, 6422–6429. [Google Scholar] [CrossRef]
  37. Qureshi, N.; Blaschek, H.P. Butanol recovery from model solution/fermentation broth by pervaporation: Evaluation of membrane performance. Biomass Bioenergy 1999, 17, 175–184. [Google Scholar] [CrossRef]
  38. Laopaiboon, L.; Nuanpeng, S.; Srinophakun, P.; Klanrit, P.; Laopaiboon, P. Ethanol production from sweet sorghum juice using very high gravity technology: Effects of carbon and nitrogen supplementations. Bioresour. Technol. 2009, 100, 4176–4182. [Google Scholar] [CrossRef] [PubMed]
  39. AOAC. Official Methods of Analysis of AOAC. In Association of Officiating Analytical Chemists, 18th ed.; Horwitz, W., Latimer, G.W., Eds.; AOAC International: Washington, DC, USA, 2005; Method 935.14 and 922.24; ISBN 9780935584820. [Google Scholar]
  40. Chang, Z.; Cai, D.; Wang, Y.; Chen, C.J.; Fu, C.H.; Wang, G.Q.; Qin, P.Y.; Wang, Z. Sweet sorghum bagasse as an immobilized carrier for ABE fermentation by using Clostridium acetobutylicum ABE 1201. RSC Adv. 2014, 4, 21819–21825. [Google Scholar] [CrossRef]
  41. Thanapornsin, T.; Sanchanda, P.; Laopaiboon, L.; Laopaiboon, P. Batch butanol fermentation from sugarcane molasses integrated with a gas stripping system: Effects of sparger types and gas flow rates. Asia Pac. J. Sci. Technol. 2018, 23, APST-23. [Google Scholar] [CrossRef]
  42. Mecozzi, M. Estimation of total carbohydrate amount in environmental samples by the phenol-sulphuric acid method assisted by multivariate calibration. Chemom. Intell. Lab. Syst. 2005, 79, 84–90. [Google Scholar] [CrossRef]
  43. Lee, S.Y.; Park, J.H.; Jang, S.H.; Nielsen, L.K.; Kim, J. Fermentation butanol production by Clostridia. Biotechnol. Bioeng. 2008, 101, 209–228. [Google Scholar] [CrossRef]
  44. Zhang, C.; Li, T.; He, J. Characterization and genome analysis of a butanol-isopropanol-production Clostridium beijerinckii strain BGS1. Biotechnol. Biofuels 2018, 11, 280. [Google Scholar] [CrossRef]
  45. Cheng, C.; Liu, F.; Yang, H.K.; Xiao, K.; Xue, C.; Yang, S.T. High-performance n-butanol recovery from aqueous solution by pervaporation with a PDMS mixed matrix membrane filled with zeolite. Ind. Eng. Chem. Res. 2020, 59, 7777–7786. [Google Scholar] [CrossRef]
  46. Li, H.-G.; Zhang, Q.-H.; Yu, X.-B.; Wei, L.; Wang, Q. Enhancement of butanol production in Clostridium acetobutylicum SE25 through accelerating phase shift by different phases pH regulation from cassava flour. Bioresour. Technol. 2016, 201, 148–155. [Google Scholar] [CrossRef]
  47. Weinstein, L.; Alice, M. The effect of urea, urethane and other carbamates on bacterial growth. Science 1945, 101, 44–45. [Google Scholar] [CrossRef]
  48. Al-Shorgani, N.K.N.; Kalil, M.S.; Yusoff, W.M.W.; Hamid, A.A. Impact of pH and butyric acid on butanol production during batch fermentation using a new local isolate of Clostridium acetobutylicum YM1. Saudi J. Biol. Sci. 2018, 25, 339–348. [Google Scholar] [CrossRef] [PubMed]
  49. Capilla, M.; San-Valero, P.; Izquierdo, M.; Penya-roja, J.M.; Gabaldón, C. The combined effect on initial glucose concentration and pH control strategies for acetone-butanol-ethanol (ABE) fermentation by Clostridium acetobutylicum DSM 792. Biochem. Eng. J. 2021, 167, 107910. [Google Scholar] [CrossRef]
  50. Joglekar, A.M.; May, A.T. Product excellence through design of experiment. CFW 1987, 32, 857–868. [Google Scholar]
  51. Shen, C.R.; Lan, E.I.; Dekishima, Y.; Baez, A.; Cho, K.M.; Liao, J.C. Driving forces enable high-titer anaerobic 1-butanol synthesis in Escherichia coli. Appl. Environ. Microbiol. 2011, 77, 2905–2915. [Google Scholar] [CrossRef]
  52. Kong, X.; He, A.; Zhao, J.; Wu, H.; Jiang, M. Efficient acetone–butanol–ethanol production (ABE) by Clostridium acetobutylicum XY16 immobilized on chemically modified sugarcane bagasse. Bioprocess Biosyst. Eng. 2015, 38, 1365–1372. [Google Scholar] [CrossRef]
  53. Cai, D.; Li, P.; Chen, C.; Wang, Y.; Hu, S.; Cui, C.; Qin, P.; Tan, T. Effect of chemical pretreatments on corn stalk bagasse as immobilizing carrier of Clostridium acetobutylicum in the performance of a fermentation-pervaporation coupled system. Bioresour. Technol. 2016, 220, 68–75. [Google Scholar] [CrossRef]
Figure 1. Diagram of butanol production in a stirred tank bioreactor integrated with a gas stripping system.
Figure 1. Diagram of butanol production in a stirred tank bioreactor integrated with a gas stripping system.
Fermentation 08 00464 g001
Figure 2. Batch butanol fermentation profiles from the P2 medium (A) and SSJ medium with no nutrient supplementation (B) using free cells of C. beijerinckii TISTR 1461: acetone (♦), butanol (■), ethanol (×), ABE (▲), acetic acid (◊), butyric acid (□), total acid (Δ), pH (○), and total sugars (●).
Figure 2. Batch butanol fermentation profiles from the P2 medium (A) and SSJ medium with no nutrient supplementation (B) using free cells of C. beijerinckii TISTR 1461: acetone (♦), butanol (■), ethanol (×), ABE (▲), acetic acid (◊), butyric acid (□), total acid (Δ), pH (○), and total sugars (●).
Fermentation 08 00464 g002
Figure 3. Butanol (black bars) and ABE (gray bars) contents of butanol fermentation from SSJ medium supplemented with various urea concentrations by free cells (1X = 0.16 g/L of urea) at the fermentation time of 48 h. The error bars represent the standard deviation of the mean values. Bars associated with the same letter have no significant differences assessed by Duncan’s multiple range test with a critical value of 0.05.
Figure 3. Butanol (black bars) and ABE (gray bars) contents of butanol fermentation from SSJ medium supplemented with various urea concentrations by free cells (1X = 0.16 g/L of urea) at the fermentation time of 48 h. The error bars represent the standard deviation of the mean values. Bars associated with the same letter have no significant differences assessed by Duncan’s multiple range test with a critical value of 0.05.
Fermentation 08 00464 g003
Figure 4. Butanol fermentation profiles from SSJ medium supplemented with urea 4X (0.64 g/L) by free cells of C. beijerinckii TISTR 1461: acetone (♦), butanol (■), ethanol (×), ABE (▲), acetic acid (◊), butyric acid (□), total acid (Δ), pH (○), total sugars (●).
Figure 4. Butanol fermentation profiles from SSJ medium supplemented with urea 4X (0.64 g/L) by free cells of C. beijerinckii TISTR 1461: acetone (♦), butanol (■), ethanol (×), ABE (▲), acetic acid (◊), butyric acid (□), total acid (Δ), pH (○), total sugars (●).
Fermentation 08 00464 g004
Figure 5. Butanol concentration (black bars), ABE concentration (gray bars), and butanol yield (black dots) values of butanol fermentations from SSJ medium containing 0.64 g/L urea and various buffers with C. beijerinckii TISTR 1461 at 48 h. Buffer A: KH2PO4, K2HPO4, and ammonium acetate; buffer B: KH2PO4 and K2HPO4; buffer C: ammonium acetate and no buffer. The error bars represent the standard deviation of the mean values. Bars associated with the same letter have no significant differences assessed by Duncan’s multiple range test with a critical value of 0.05.
Figure 5. Butanol concentration (black bars), ABE concentration (gray bars), and butanol yield (black dots) values of butanol fermentations from SSJ medium containing 0.64 g/L urea and various buffers with C. beijerinckii TISTR 1461 at 48 h. Buffer A: KH2PO4, K2HPO4, and ammonium acetate; buffer B: KH2PO4 and K2HPO4; buffer C: ammonium acetate and no buffer. The error bars represent the standard deviation of the mean values. Bars associated with the same letter have no significant differences assessed by Duncan’s multiple range test with a critical value of 0.05.
Fermentation 08 00464 g005
Figure 6. The pH profiles during butanol fermentations from SSJ medium containing 0.64 g/L of urea and various buffers with C. beijerinckii TISTR 1461. Buffer A (○): KH2PO4, K2HPO4, and ammonium acetate; buffer B (□): KH2PO4 and K2HPO4; buffer C (∆): ammonium acetate; no buffer (◊).
Figure 6. The pH profiles during butanol fermentations from SSJ medium containing 0.64 g/L of urea and various buffers with C. beijerinckii TISTR 1461. Buffer A (○): KH2PO4, K2HPO4, and ammonium acetate; buffer B (□): KH2PO4 and K2HPO4; buffer C (∆): ammonium acetate; no buffer (◊).
Fermentation 08 00464 g006
Figure 7. Scanning electron microscope (SEM) images of cigarette filter tips (A) and bamboo chopsticks (B) at 100× magnification, as well as the physical characteristics of the cigarette filter tips (C) and bamboo chopstick pieces (D) before and after butanol fermentation in SSJ medium.
Figure 7. Scanning electron microscope (SEM) images of cigarette filter tips (A) and bamboo chopsticks (B) at 100× magnification, as well as the physical characteristics of the cigarette filter tips (C) and bamboo chopstick pieces (D) before and after butanol fermentation in SSJ medium.
Fermentation 08 00464 g007
Figure 8. Batch butanol fermentation profiles from SSJ medium supplemented with 0.64 g/L of urea and cocktail buffers with immobilized C. beijerinckii TISTR 1461 cells on cigarette filter tips (A) and bamboo chopstick pieces (B): acetone (♦), butanol (■), ethanol (×), ABE (▲), acetic acid (◊), butyric acid (□), total acid (Δ), pH (○), total sugars (●).
Figure 8. Batch butanol fermentation profiles from SSJ medium supplemented with 0.64 g/L of urea and cocktail buffers with immobilized C. beijerinckii TISTR 1461 cells on cigarette filter tips (A) and bamboo chopstick pieces (B): acetone (♦), butanol (■), ethanol (×), ABE (▲), acetic acid (◊), butyric acid (□), total acid (Δ), pH (○), total sugars (●).
Fermentation 08 00464 g008
Figure 9. Butanol (black bars) and ABE (gray bars) concentrations of butanol fermentation from SSJ by immobilized cells under various immobilization times. The error bars represent the standard deviation of the mean values. Bars associated with the same letter have no significant differences assessed by Duncan’s multiple range test with a critical value of 0.05.
Figure 9. Butanol (black bars) and ABE (gray bars) concentrations of butanol fermentation from SSJ by immobilized cells under various immobilization times. The error bars represent the standard deviation of the mean values. Bars associated with the same letter have no significant differences assessed by Duncan’s multiple range test with a critical value of 0.05.
Fermentation 08 00464 g009
Figure 10. Three-dimensional response surface plots for butanol production—effects of the carrier size and carrier loading.
Figure 10. Three-dimensional response surface plots for butanol production—effects of the carrier size and carrier loading.
Fermentation 08 00464 g010
Figure 11. Batch butanol fermentation profiles from the SSJ medium by immobilized C. beijerinckii TISTR 1461 cells on cigarette filter tips (carrier size, 1.9 cm and carrier loading, 1:32 (w/v)) in a 2 L STR: acetone (♦), butanol (■), ethanol (×), ABE (▲), acetic acid (◊), butyric acid (□), total acid (Δ), pH (○), total sugars (●).
Figure 11. Batch butanol fermentation profiles from the SSJ medium by immobilized C. beijerinckii TISTR 1461 cells on cigarette filter tips (carrier size, 1.9 cm and carrier loading, 1:32 (w/v)) in a 2 L STR: acetone (♦), butanol (■), ethanol (×), ABE (▲), acetic acid (◊), butyric acid (□), total acid (Δ), pH (○), total sugars (●).
Fermentation 08 00464 g011
Figure 12. Batch butanol fermentations from SSJ medium with immobilized C. beijerinckii TISTR 1461 with (○, □, ∆) and without (●, ■, ▲) a gas stripping system: total sugar (○, ●), butanol (□, ■) and ABE (∆, ▲) concentrations.
Figure 12. Batch butanol fermentations from SSJ medium with immobilized C. beijerinckii TISTR 1461 with (○, □, ∆) and without (●, ■, ▲) a gas stripping system: total sugar (○, ●), butanol (□, ■) and ABE (∆, ▲) concentrations.
Fermentation 08 00464 g012
Table 1. The composition of the sweet sorghum stem juice (cv. KKU 40).
Table 1. The composition of the sweet sorghum stem juice (cv. KKU 40).
CompositionConcentration
Total soluble solids (°Bx)18.0
Sucrose (g/L) a71.32
Glucose (g/L) a45.85
Fructose (g/L) a51.42
Total protein b,* (g/100 mL)0.82
Total nitrogen * (g/L)1.31
Sulfur c,* (mg/L)2.41
Potassium d,* (mg/L)4800.50
Phosphorus d,* (mg/L)380.40
Calcium d,* (mg/L)888.95
Magnesium d,* (mg/L)290.50
Sodium d,* (mg/L)59.59
Iron d,* (mg/L)0.351
Manganese d,* (mg/L)0.167
Zinc d,* (mg/L)0.078
Copper d,* (mg/L)0.025
Molybdenum d,* (mg/L)0.055
Nickel d,* (mg/L)0.007
Boron d,* (mg/L)0.060
a HPLC, b Association of Official Analytical Chemists (AOAC, 2005), c the turbidimetric method, and d ICP-MS. * Taken from [16].
Table 2. The compositions of the dried spent yeast (DSY) and yeast extract (YE).
Table 2. The compositions of the dried spent yeast (DSY) and yeast extract (YE).
Composition aConcentration (%, Dry Weight)
DSYYE
Total carbohydrate17.2526.86
Protein65.8446.11
Total fat1.793.27
Crude fiber0.060.02
Ash6.0113.24
Moisture9.1110.52
a Analyses performed by Central Laboratory (Thailand) Co., Ltd., Khon Kaen, Thailand.
Table 3. Experimental design of a 5-level and 2-variable central composition design.
Table 3. Experimental design of a 5-level and 2-variable central composition design.
RunCoded ValueActual Value
x1x2x1x2
1+1+12.501:50
2001.501:35
3−1+10.501:50
402.701:35
5001.501:35
6−1−10.501:20
701.501:53
8+1−12.501:20
9001.501:35
10001.501:35
110−α1.501:17
12−α00.301:35
13001.501:35
Note: x1: carrier size (cm); x2: carrier loading (w/v); (−1) = the lowest level; (0) = the middle level; (+1) = the highest level; α = 1.20.
Table 4. Batch butanol fermentation efficiency profiles for the P2 medium and SSJ medium containing various nitrogen sources.
Table 4. Batch butanol fermentation efficiency profiles for the P2 medium and SSJ medium containing various nitrogen sources.
MediumNitrogen SupplementProduct (g/L)SC (%)t (h)YB/S (g/g)QB (g/L·h)
AcetoneButanolEthanolABETotal Acids
P2YE4.96 ± 0.17 a11.06 ± 0.24 a0.37 ± 0.04 a16.39 ± 0.45 a1.96 ± 0.21 a,b74.46 ± 1.11 a480.25 ± 0.01 a0.23 ± 0.01 a
SSJ-2.36 ± 0.20 d,e4.19 ± 0.18 e0.32 ± 0.03 a,b6.82 ± 0.21 d2.13 ± 0.18 b31.45 ± 1.11 c,d360.22 ± 0.01 c0.08 ± 0.01 d
DSY3.01 ± 0.16 b6.60 ± 0.22 b0.35 ± 0.04 a9.96 ± 0.42 b2.46 ± 0.22 a37.02 ± 1.84 b480.23 ± 0.01 b,c0.14 ± 0.01 b
Urea2.63 ± 0.16 c6.91 ± 0.24 b0.31 ± 0.04 a9.86 ± 0.36 b1.94 ± 0.16 a,b39.65 ± 1.89 b480.24 ± 0.01 a,b0.14 ± 0.01 b
Ammonium acetate2.09 ± 0.13 e4.84 ± 0.18 d0.27 ± 0.05 b7.20 ± 0.26 d1.63 ± 0.11 c28.82 ± 1.56 d480.22 ± 0.01 c0.10 ± 0.01 c
Ammonium sulfate2.48 ± 0.19 c5.43 ± 0.15 c0.35 ± 0.02 a8.23 ± 0.23 c1.92 ± 0.19 a,b32.97 ± 1.42 c480.25 ± 0.01 a0.15 ± 0.01 b
ABE: acetone, butanol, and ethanol concentrations. Total acids consisted of acetic and butyric acids. The experiments were performed in triplicate and the results are shown as means ± SD. a, b, c, d, e Mean values followed by the same letter within the same column were not significantly different as assessed by Duncan’s multiple range test with a critical value of 0.05. SC = sugar consumption; t = fermentation time; YB/S = butanol yield; QB = butanol productivity.
Table 5. Batch butanol fermentation efficiency levels from SSJ medium supplemented with urea at various concentrations at 48 h of fermentation.
Table 5. Batch butanol fermentation efficiency levels from SSJ medium supplemented with urea at various concentrations at 48 h of fermentation.
Urea
Concentration
Product (g/L)SC (%)YB/S (g/g)QB (g/L·h)
AcetoneButanolEthanolABETotal Acids
0.5X1.84 ± 0.17 e5.42 ± 0.20 e0.36 ± 0.03 a7.65 ± 0.31 f1.90 ± 0.18 d41.00 ± 1.46 e0.22 ± 0.01 a0.17 ± 0.01 c
1X2.63 ± 0.15 d6.91 ± 0.24 d0.31 ± 0.04 a9.86 ± 0.35 e1.94 ± 0.16 d39.65 ± 1.89 e0.24 ± 0.01 a0.14 ± 0.01 d
2X3.24 ± 0.17 c8.27 ± 0.17 c0.30 ± 0.05 a,b11.15 ± 0.23 d2.95 ± 0.21 b59.89 ± 1.37 d0.22 ± 0.01 a0.14 ± 0.01 d
3X4.01 ± 0.19 b9.47 ± 0.23 b0.33 ± 0.05 a13.82 ± 0.26 b3.95 ± 0.15 a68.69 ± 1.68 b0.23 ± 0.01 a0.20 ± 0.01 a
4X3.98 ± 0.18 b10.15 ± 0.24 a0.29 ± 0.04 a,b14.43 ± 0.27 a2.47 ± 0.23 c72.31 ± 1.42 a0.23 ± 0.01 a0.21 ± 0.01 a
5X4.44 ± 0.13 a8.47 ± 0.19 c0.24 ± 0.03 b13.16 ± 0.23 c2.36 ± 0.25 c63.63 ± 1.56 c0.22 ± 0.01 a0.18 ± 0.01 b
Note: 1X = 0.16 g/L. ABE: acetone, butanol, and ethanol concentrations. Total acids consisted of acetic and butyric acids. The experiments were performed in triplicate and the results are shown as means ± SD. a, b, c, d, e, f Means followed by the same letter within the same column were not significantly different as assessed using Duncan’s multiple range test with a critical value of 0.05. SC = sugar consumption; YB/S = butanol yield; QB = butanol productivity.
Table 6. Batch butanol fermentation efficiency levels with immobilized C. beijerinckii TISTR 1461 on cigarette filter tips and bamboo chopstick pieces at 48 h of fermentation.
Table 6. Batch butanol fermentation efficiency levels with immobilized C. beijerinckii TISTR 1461 on cigarette filter tips and bamboo chopstick pieces at 48 h of fermentation.
CarrierProduct (g/L)SC (%)YB/S (g/g)QB (g/L·h)
AcetoneButanolEthanolABETotal Acids
Cigarette filter tips2.93 ± 0.17 a8.18 ± 0.19 b0.28 ± 0.03 a11.39 ± 0.28 b5.00 ± 0.16 b60.09 ± 1.32 a0.22 ± 0.01 a0.17 ± 0.00 b
Bamboo chopstick pieces3.13 ± 0.16 a9.20 ± 0.08 a0.29 ± 0.03 a12.62 ± 0.27 a5.80 ± 0.12 a61.59 ± 1.01 a0.24 ± 0.01 a0.19 ± 0.00 a
ABE: acetone, butanol, and ethanol concentrations. Total acids comprised acetic and butyric acids. The experiments were performed in triplicate and the results are shown as means ± SD. a, b Means followed by the same letter within the same column were not significantly different as assessed using Duncan’s multiple range test at a critical value of 0.05. SC = sugar consumption; YB/S = the butanol yield; QB = butanol productivity.
Table 7. Butanol fermentation efficiencies from SSJ medium by immobilized C. beijerinckii TISTR 1461 using different immobilization media at 48 h of fermentation.
Table 7. Butanol fermentation efficiencies from SSJ medium by immobilized C. beijerinckii TISTR 1461 using different immobilization media at 48 h of fermentation.
Immobilization MediumProduct (g/L)SC (%)YB/S (g/g)QB (g/L·h)
AcetoneButanolEthanolABETotal Acids
SSJ supplemented with urea2.62 ± 0.17 b9.04 ± 0.19 a0.26 ± 0.05 a11.93 ± 0.41 b3.21 ± 0.19 b60.30 ± 1.25 a0.24 ± 0.01 a0.18 ± 0.01 a
SSJ supplemented with urea and buffers3.13 ± 0.16 a9.20 ± 0.08 a0.29 ± 0.03 a12.62 ± 0.27 a5.80 ± 0.04 a61.59 ± 1.01 a0.24 ± 0.01 a0.19 ± 0.00 a
TGY2.34 ± 0.20 b7.53 ± 0.16 b0.27 ± 0.02 a10.14 ± 0.38 c2.83 ± 0.27 b52.02 ± 1.72 b0.24 ± 0.01 a0.16 ± 0.01 b
ABE: acetone, butanol, and ethanol concentrations. Total acids comprised acetic and butyric acids. The experiments were performed in triplicate and the results are shown as means ± SD. a, b, c Means followed by the same letter within the same column were not significantly different as assessed using Duncan’s multiple range test at a critical value of 0.05. SC = sugar consumption; YB/S = the butanol yield; QB = butanol productivity.
Table 8. Butanol fermentation efficiency levels at 48 h with the immobilized cells under different immobilization times.
Table 8. Butanol fermentation efficiency levels at 48 h with the immobilized cells under different immobilization times.
Immobilization Time (h)Products (g/L)SC (%)YB/S (g/g)QB (g/L·h)
AcetoneButanolEthanolABETotal Acids
63.61 ± 0.21 c8.40 ± 0.08 c0.28 ± 0.02 a12.29 ± 0.31 c1.80 ± 0.45 b61.05 ± 1.62 c0.23 ± 0.00 a0.18 ± 0.01 c
122.62 ± 0.17 d9.04 ± 0.19 b0.26 ± 0.05 a11.93 ± 0.41 c3.21 ± 0.19 a60.30 ± 1.25 c0.24 ± 0.01 a0.19 ± 0.01 b,c
184.24 ± 0.20 b9.44 ± 0.37 b0.28 ± 0.01 a13.92 ± 0.58 b1.88 ± 0.88 b66.03 ± 4.60 b0.24 ± 0.01 a0.20 ± 0.01 a,b
244.81 ± 0.08 a10.27 ± 0.13 a0.30 ± 0.02 a15.38 ± 0.39 a3.03 ± 0.44 a73.84 ± 2.85 a0.23 ± 0.01 a0.21 ± 0.00 a
ABE: acetone, butanol, and ethanol concentrations. Total acids comprised acetic and butyric acids. The experiments were performed in triplicate and the results are shown as means ± SD. a, b, c, d Means followed by the same letter within the same column were not significantly different as assessed using Duncan’s multiple range test at a critical value of 0.05. SC = sugar consumption; YB/S = the butanol yield; QB = butanol productivity.
Table 9. Response values (butanol concentration) of 13 experimental runs.
Table 9. Response values (butanol concentration) of 13 experimental runs.
RunActual ValueResponse (Butanol Concentration, PB)
x1x2Experimental Value (g/L)Predicted Value (g/L)
12.501:5011.01 ± 0.1310.40
21.501:3511.28 ± 0.3511.20
30.501:509.94 ± 0.499.46
42.701:3510.18 ± 0.3210.73
51.501:3511.28 ± 0.3511.20
60.501:208.89 ± 0.408.89
71.501:5310.06 ± 0.2710.76
82.501:2011.18 ± 0.4611.03
91.501:3511.28 ± 0.2811.20
101.501:3511.36 ± 0.2711.20
111.501:1710.75 ± 0.3310.80
120.301:358.65 ± 0.158.88
131.501:3511.36 ± 0.2711.20
Note: x1: size of carriers (cm); x2: carrier loading (w/v).
Table 10. The analysis of variance (ANOVA) for the parameters of the RSM based on a CCD fitted to a quadratic response surface model.
Table 10. The analysis of variance (ANOVA) for the parameters of the RSM based on a CCD fitted to a quadratic response surface model.
SourcesSum SquaresDfMean SquareF-Value p-Value
Model9.1351.838.260.0075
x13.9213.9217.760.0040
x20.000410.00040.00180.9675
x1x20.3710.371.680.2355
x124.2414.2419.170.0032
x220.3610.361.650.2400
Lack of fit1.5430.51267.23<0.0001
Residual1.5570.22
Pure error0.007740.0019
Total10.6712
R-squared = 0.8551
Table 11. Comparison of batch butanol fermentation efficiency levels with immobilized Clostridium cells.
Table 11. Comparison of batch butanol fermentation efficiency levels with immobilized Clostridium cells.
SubstrateStrainCarrierPB (g/L)Improved PB Compared with Free Cells (%)YB/S
(g/g)
QB
(g/L·h)
Reference
Glucose (60 g/L)C. acetobutylicum ABE 1201Sweet sorghum bagasse14.0217.620.250.22[40]
Glucose (60 g/L)C. acetobutylicum XY 16Sugarcane bagasse12.9119.310.210.13[52]
Glucose (70 g/L)C. acetobutylicum ABE 1201Corn stalk bagasse14.282.290.230.25[53]
SSJ
(60 g/L)
C. beijerinckii TISTR 1461Bamboo chopstick pieces11.6214.710.260.24This study
Note: PB = butanol concentration; YB/S = butanol yield; QB = butanol productivity; SSJ = sweet sorghum stem juice.
Table 12. Batch butanol fermentation efficiency levels from SSJ medium with immobilized C. beijerinckii TISTR 1461 in 2 L STRs with and without a gas stripping system (GS) at 48 h of fermentation.
Table 12. Batch butanol fermentation efficiency levels from SSJ medium with immobilized C. beijerinckii TISTR 1461 in 2 L STRs with and without a gas stripping system (GS) at 48 h of fermentation.
SystemPB (g/L)SC (%)YB/S (g/g)QB (g/L·h)
No GS11.62 ± 0.15 b70.75 ± 3.50 b0.26 ± 0.01 a0.24 ± 0.01 b
With GS14.02 ± 0.19 a82.53 ± 1.18 a0.27 ± 0.01 a0.29 ± 0.00 a
Note: PB = butanol concentration; SC = sugar concentration; YB/S = butanol yield; QB = butanol productivity. a, b Means followed by the same letter within the same column were not significantly different as assessed using Duncan’s multiple range test at a critical value of 0.05.
Publisher’s Note: MDPI stays neutral with regard to jurisdictional claims in published maps and institutional affiliations.

Share and Cite

MDPI and ACS Style

Thanapornsin, T.; Laopaiboon, P.; Laopaiboon, L. An Alternative Approach to Improve the Butanol Production Efficiency from Sweet Sorghum Stem Juice Using Immobilized Cells Combined with an In Situ Gas Stripping System. Fermentation 2022, 8, 464. https://doi.org/10.3390/fermentation8090464

AMA Style

Thanapornsin T, Laopaiboon P, Laopaiboon L. An Alternative Approach to Improve the Butanol Production Efficiency from Sweet Sorghum Stem Juice Using Immobilized Cells Combined with an In Situ Gas Stripping System. Fermentation. 2022; 8(9):464. https://doi.org/10.3390/fermentation8090464

Chicago/Turabian Style

Thanapornsin, Thanawat, Pattana Laopaiboon, and Lakkana Laopaiboon. 2022. "An Alternative Approach to Improve the Butanol Production Efficiency from Sweet Sorghum Stem Juice Using Immobilized Cells Combined with an In Situ Gas Stripping System" Fermentation 8, no. 9: 464. https://doi.org/10.3390/fermentation8090464

APA Style

Thanapornsin, T., Laopaiboon, P., & Laopaiboon, L. (2022). An Alternative Approach to Improve the Butanol Production Efficiency from Sweet Sorghum Stem Juice Using Immobilized Cells Combined with an In Situ Gas Stripping System. Fermentation, 8(9), 464. https://doi.org/10.3390/fermentation8090464

Note that from the first issue of 2016, this journal uses article numbers instead of page numbers. See further details here.

Article Metrics

Back to TopTop