Next Article in Journal
Genomic and Transcriptional Characteristics of Strain Rum-meliibacillus sp. TYF-LIM-RU47 with an Aptitude of Directly Producing Acetoin from Lignocellulose
Next Article in Special Issue
Application of Cool Fermentation Temperatures to Encourage Non-Saccharomyces Yeasts to Yield Lower Ethanol Concentrations in Wines
Previous Article in Journal
Effects of Adding Ethanol Extract of Propolis on the Fermentation Quality, Aerobic Stability, Fatty Acid Profile, and In Vitro Digestibility of Alfalfa Silages
Previous Article in Special Issue
Biodiversity and Oenological Property Analysis of Non-Saccharomyces Yeasts Isolated from Korla Fragrant Pears (Pyrus sinkiangensis Yu)
 
 
Font Type:
Arial Georgia Verdana
Font Size:
Aa Aa Aa
Line Spacing:
Column Width:
Background:
Article

The Impact of Indigenous Non-Saccharomyces Yeasts Inoculated Fermentations on ‘Semillon’ Icewine

1
College of Food Science and Engineering, Gansu Agricultural University, Lanzhou 730070, China
2
Gansu Key Lab of Viticulture and Enology, Lanzhou 730070, China
*
Author to whom correspondence should be addressed.
Fermentation 2022, 8(8), 413; https://doi.org/10.3390/fermentation8080413
Submission received: 27 July 2022 / Revised: 18 August 2022 / Accepted: 19 August 2022 / Published: 21 August 2022
(This article belongs to the Special Issue Enological Repercussions of Non-saccharomyces Species 4.0)

Abstract

The emerging low acidity in icewine grapes is becoming a major problem in producing quality icewine. Using non-Saccharomyces cerevisiae yeasts in fermentation can improve wine’s organoleptic characteristics and aromatic quality. This study evaluated two indigenous non-Saccharomyces cerevisiae yeasts, Lachancea thermotolerans (LT-2) and Torulaspora delbrueckii (TD-3), for their ability to improve the acidity and quality of ‘Semillon’ icewine. Five different inoculation schemes were implemented, including a single inoculation of S. cerevisiae (SC), L. thermotolerans (LT), and T. delbrueckii (TD); the sequential inoculation of L. thermotolerans, followed by S. cerevisiae after 6 days (L-S); and the sequential inoculation of L. thermotolerans, followed by T. delbrueckii after 6 days (L-D). The results showed that, during sequential fermentation (L-S and L-D), the presence of S. cerevisiae or T. delbrueckii slightly restrained the growth of L. thermotolerans. Single or sequential inoculation with L. thermotolerans and T. delbrueckii significantly reduced the amount of volatile acidity and increased the glycerol content. Furthermore, fermentations involving L. thermotolerans produced relevant amounts of lactic acid (2.04–2.2 g/L) without excessive deacidification of the icewines. Additionally, sequential fermentations increased the concentration of terpenes, C13-norisoprenoid compounds, and phenethyl compounds. A sensory analysis also revealed that sequentially fermented icewines (L-S and L-D) had more fruity and floral odors and aroma intensity. This study highlights the potential application of L. thermotolerans and T. delbrueckii in sequential fermentation to improve the icewine quality.

1. Introduction

Icewine is a type of dessert wine with a golden color and unique aroma similar to citrus fruit, floral, or honey and is very popular among consumers [1]. Icewine is made from naturally frozen grapes (<−8 °C). These grapes are picked, pressed, and fermented at low temperatures [2]. Generally, icewine has a high sugar content and requires high acidity to balance its taste to avoid cloying. Additionally, high-quality icewine needs a complex and typical aroma to support its sensory needs. Due to the harsh winemaking conditions of icewine, it can only be produced in a few regions, hence being known as “liquid gold” [3]. China has become an important icewine production country. Qi Lian is a typical icewine production region in Northwest China with a suitable climate for icewine making [3]. Vitis. Vinifera L. cv. Semillon is the typical cultivar used in making icewine, because its berries have relatively thick skins, and the vines are of cold resistance in the Qi Lian Region. However, the ‘Semillon’ grapes grown in the Qi Lian region have insufficient flavor compounds and natural acidity. This causes serious challenges during the making of ‘Semillon’ icewine.
In recent years, there has been an increasing interest in using indigenous non-Saccharomyces yeasts with organoleptic properties and flavor typicality [4,5]. Suitable icewine yeasts do not only generate more desired aromatic compounds but also withstand the harsh fermentation conditions, such as high sugar concentration (above 35 °Brix), low temperature (15–18 °C), and high SO2 and ethanol toxicity during alcoholic fermentation as compared to table wine yeasts [6].
Among the non-Saccharomyces yeasts, Torulaspora delbrueckii (TD) is the most popular example of these yeasts used in wine production due to its high purity of fermentation products and low production of acetaldehyde, acetic acid, acetoin, and ethyl acetate [7]. In addition, it can increase the content of volatile compounds with impact odorants [8], including esters [9], volatile fruity thiols, and monoterpenes [10]. Furthermore, its resistance to osmotic shock is high, making it suitable for high glucose environments, such as ice or botrytized grapes [11]. Lachancea thermotolerans (LT) is another important yeast with high lactic acid production [12], low volatile acidity, and low production of unpleasant odor active compounds [13,14]. It is often used to improve the organoleptic properties of wines with low acidity in warm regions to enhance the roundness and balanced acidity [15]. Li Feng et al. found that H. uvarum and L. thermotolerans were the dominant species in spontaneous fermentations of icewine produced in the Qilian Region of China [16].
So far, there have been several reports on mixed fermentations involving Saccharomyces cerevisiae and non-Saccharomyces yeasts in wine production, mainly to improve the sensory properties and aroma characteristics [17,18]. However, there is very little information about the production of ‘Semillon’ icewine using pure culture fermentation or mixture fermentation of indigenous non-Saccharomyces yeasts. Therefore, this study aimed to investigate the impact of non-Saccharomyces yeasts on the acidity, aroma composition, and sensory quality of ‘Semillon’ icewine. To that purpose, two non-Saccharomyces yeasts stains, Lachancea thermotolerans and Torulaspora delbrueckii, were chosen and vinified under pure culture and sequential inoculations. The aroma profile and sensory characteristics of the icewines produced using these strains were determined and compared to an icewine fermented with only one S. cerevisiae strain.

2. Materials and Methods

2.1. Yeast Strains and Culture Media

The stains of Lachancea thermotolerans (LT-2) and Torulaspora delbrueckii (TD-3) were isolated from spontaneously fermented must in the Gansu Qilian wine Region (China) by researchers from the Key Laboratory of Viticulture and Enology of Gansu Province and identified by sequencing of the D1/D2 domain of the 26S rRNA genes. Both strains were chosen based on their heterogeneity in phenotypic features, high resistance to wine stress, and good fermentation performance during fermentation. The commercial Saccharomyces cerevisiae (SC) strain (Aroma White) was purchased from Enartis, Italy.
The non-Saccharomyces yeast strains were routinely grown in YPD medium (10 g/L yeast extract, 20 g/L bacteriological peptone, and 20 g/L dextrose) with or without agar (20 g/L) at 27 °C for 48 h. They were then inoculated in sterilized grape juice medium (50% grape juice and 50% Milli-Q water) with 2% inoculum for subsequent inoculation tests. Wallerstein laboratory nutrient agar medium (WLN) was provided by Auboxing Biotechnology (Beijing, China) and used for viable cell counts. These non-Saccharomyces yeast strains were stored at −80 °C in YPD medium with glycerol (25% v/v final concentration).

2.2. Chemicals and Standards

Sodium hydroxide, hydrogen chloride, sodium acetate, and acetic acid, all in analytical purity, were purchased from Tianjin Komiou Chemical Reagent Co, Ltd. (Tianjin, China). L-lactic acid and L-malic acid (chromatographically pure) were provided by Shanghai Yuanye Biological Technology (Shanghai, China), while potassium metabisulfite was supplied by Beijing Chemical Works (Beijing, China). The internal standards used for volatile compound quantification were provided by Sigma-Aldrich (Shanghai, China), including ethyl acetate, octanol, isoamyl acetate, 2,3-butanediol, ethyl lactate, ethyl hexanoate, β-damascenone, ethyl octanoate, diethyl succinate, phenethyl acetate, ethyl decanoate, hexanol, phenyl ethanol, 3-methyl-1-butanol, isobutanol, linalool, cis-3-hexen-1-ol, heptanol, butyric acid, decanoic acid, octanoic acid, citronellol, geraniol, nerol, nerolidol, geranyl acetone, 2-octanol, and benzaldehyde.

2.3. Icewine Samples Fermentation Trials

Semillon (V. vinifera L.) grape juice was collected in January 2020 from Qilian Winery (Gaotai, Zhangye, Gansu, China). The juice had the following composition: 342.9 g/L of sugar (as reducing sugar), 6.75 g/L of titratable acidity (as tartaric acid), pH of 3.76, 42.0 mg/L of total sulfur dioxide, and 5.1 mg/L of free sulfur dioxide. These oenological parameters were determined based on the methods described by OIV-MA-AS313-01: R2015 [19]. The juice was clarified by adding 100 mg/L K2S2O5 and 20 mg/L pectinase at 4 °C for 72 h. The clarified juice was then transferred to 2.5 L brown glass fermenters (2 L per flask). The yeast strains were inoculated as follows: (i) a single inoculation of L. thermotolerans (final population of around 7 log CFU/mL after inoculation, (LT)); a single inoculation of T. delbrueckii (107 CFU/mL, (TD)); and a single inoculation of S. cerevisiae (107 CFU/mL, (SC)) employed as the control; (ii) a sequential inoculation of L. thermotolerans, followed by S. cerevisiae after 6 days (107 CFU/mL, L-S)); and a sequential inoculation of L. thermotolerans, followed by T. delbrueckii after 6 days (107 CFU/mL, (L-D)). The fermentation temperature was controlled at 14 to 15 °C (corresponding to the winery fermentation temperature), and the fermentations were performed in triplicate. When the alcohol content reached 10 to 11%, the temperature was reduced to less than 2 °C, and 120 mg/L of SO2 was added to terminate the fermentation. The icewine samples were centrifuged to remove the wine lees and bottled, and part of the samples was stored at −20 °C for analysis.

2.4. Oenological Parameters Analysis

The oenological parameters, including alcohol, volatile acidity, total sugar, and total acidity, were determined based on the methods described by OIV (OIV-MA-AS313-01: R2015, 2015). The glycerin content was determined using a glycerin test kit in a Y15 automatic wine analyzer. High-Performance Liquid Chromatography (HPLC) equipped with a 410 series autosampler, 210 series pump, diode array detector, and a BDS HYPERSILC18 column (250 mm × 4.6 mm, 5 µm) was used for the determination of lactic acid according to the method described by Pérez-Ruiz et al. [20] and Buglass and Lee [21], with slight modifications.

2.5. Fermentation Kinetics and Yeast Biomass

The progress of fermentation was monitored by residual sugar and ethanol measurements. Residual sugar and ethanol contents were measured using a Multi-Function Wine Analyzer (WineScan SO2 analyzer (FOSS Analytical A/S, Denmark). At a 2-day interval, the residual sugar content was measured until a concentration of 150–160 g/L was attained. The ethanol content of the fermenting must was also determined until 10 to 11% v/v was reached, and the fermentation was stopped by adding potassium metabisulfite.
Yeast populations were measured by plate counts after inoculation in Wallerstein Laboratory nutrient (WLN) agar (Sigma-Aldrich), which was mixed with 100 mg/L chloramphenicol (Merck, Darmstadt, Germany). After 48 h of incubation at 28 °C, the colonies were differentially counted based on the morphological color characteristics on the 3rd and 5th days of growth in the WLN culture medium [22,23]. The LT yeast was observed to have a progressive dark green color on the WLN agar, TD yeast with white color, and SC yeast with a creamy yellow color. The biomass was also calculated based on the color of the colony.

2.6. Volatile Aroma Compounds Analysis

Volatile compounds were identified and quantified as described by Gao et al. [24], with slight modifications. Wine aliquots were first subjected to solid-phase microextraction (SPME) to extract volatile compounds. The wine’s volatile compounds were then analyzed by gas chromatography–mass spectrometry (GC–MS). A DB-WAX (60 m × 2.5 mm × 0.25 μm) chromatographic column was used. The column heating temperature started at 40 °C for 7 min, then increased to 200 °C at 4 °C/min and kept for 8 min. Helium was used as the carrier gas and flowed at a rate of 1.2 mL/min. The GC oven temperature started at 40 °C for 5 min, then raised to 200 °C at 4 °C/min, and was maintained for 10 min. The mass spectrometer operated in electron ionization at 70 eV with an ion source temperature of 200 °C and quadrupole temperature of 150 °C, scanning within a mass range from 50 to 350 m/z.

2.7. Sensory Analysis

Sensory evaluation was performed 3 months after the end of the fermentations following the procedure described by Ma et al. [25]. The procedure consisted of a sorting task in which the panelists were first asked to smell each wine’s odor and then sort the wines into groups based on similar olfactory characteristics. The groups could be formed by as many wines as decided by each panelist, including one single wine, with no limits set for the number of groups. A total of 20 panelists (ten women and ten men) evaluated the wines (6 wine samples). The wine samples (20 mL each) were labeled with random three-digit codes and presented simultaneously to the panelists. The wine samples were served at room temperature in 215 mL ISO standard (ISO) tasting glasses.

2.8. Data Analysis

Excel 2016 (Microsoft, Redmond, WA, USA) and Origin 9.0 (OriginLab, Inc., Northampton, MA, USA) were used for data organization and processing. SPSS 23.0 software (SPSS, Inc., Chicago, IL, USA) was used to perform a one-way analysis of variance on the data. Duncan’s multiple comparisons was used to determine significant differences at a confidence interval of 0.05. Additionally, a principal component analysis (PCA) was carried out to determine the association between the detected aroma compounds and the wine samples.

3. Results and Discussion

3.1. Fermentation Process

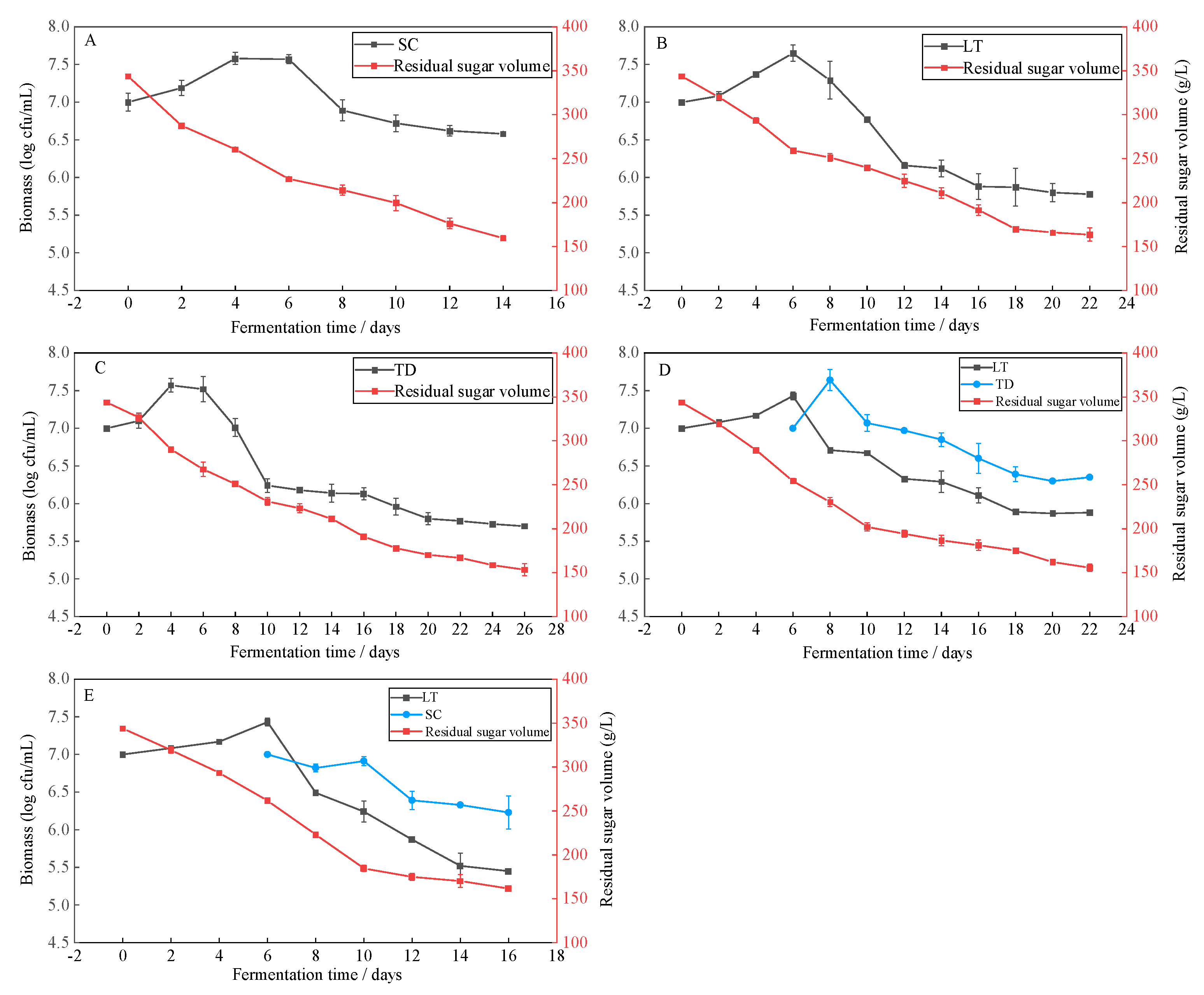
The icewine samples were fermented at 15 °C, and the fermentation was stopped when the alcohol content reached 10 to 11%. At these alcohol levels, each icewine sample took a different time to complete alcoholic fermentation. The progression of fermentation is shown in Figure 1. Fermentation of the icewine samples by a single inoculation with SC, LT, and TD took 14 d, 22 d, and 26 d, respectively, to reach the alcohol concentration of 10 to 11%. Fermentation of the icewine samples through sequential inoculation with L-S and L-D took 16 d and 22 d, respectively. Thus, the fermentation time of the SC and L-S wine samples was the fastest among all the samples. TD fermented wine was the slowest. The fermentations involving two strains of non-Saccharomyces yeasts significantly prolonged the time of alcoholic fermentation. Studies have shown that both T. delbrueckii and L. thermotolerans have a moderate alcohol fermentation ability [12,26,27]. In this experiment, the strain TD required a longer time to complete alcoholic fermentation. This is beneficial, because a long fermentation time and a slow fermentation rate favor the release of wine aroma compounds [28]. Furthermore, L. thermotolerans and T. delbrueckii used in single or sequential inoculation resulted in icewines with ethanol concentrations of 10 to 11% v/v, which is required for icewine. Nevertheless, both yeast strains required different times to complete alcoholic fermentation.

3.2. Yeast Population Dynamics and the Sugar Consumption Trend

The dynamics of yeast growth during alcoholic fermentation are shown in Figure 2A-E. Due to the high initial sugar content of the iced grape juice and the low fermentation temperature, fermentation would stagnate if the amount of yeast inoculated was low. Therefore, the initial cell concentration of ice must after inoculation was 107 CFU/mL. This high population level is considered adequate to contribute to the sensory profile of wine [29]. In the early stages (days 4–6) of fermentation, the highest number of yeast cells (7.00–7.58 log CFU/mL) was observed in fermentations with a single inoculation with S. cerevisiae (SC) (Figure 2A), while the highest number of cells (7.65 log CFU/mL) was recorded on days 6–8 in LT fermentations (Figure 2B). However, after that, the number of cells decreased slightly at both SC and LT single inoculations. The TD strain’s population growth trend was similar to that of LT. The cell population of TD reached the highest (7.56 log CFU/mL) on day 6 and decreased to a final population of 5.5 log CFU/mL. The persistence of yeasts associated with the yeast population during fermentation affects the development of the final aroma characteristics of the wine [30].
During fermentation with sequential inoculation, the population of LT increased rapidly during the first 6 days after inoculation, reaching a peak on day 6. The population of L. thermotolerans decreased slightly after inoculation with T. delbrueckii but did not disappear completely. At the end of fermentation, the population of both yeasts remained at 6.0–6.5 log CFU/mL. Lage et al. [31] attributed the loss of non-Saccharomyces activity in mixed fermentation to changes in the concentrations of major metabolites (especially ethanol) and reduction in the redox potential due to alcoholic fermentation under anaerobic conditions. In addition, T. delbrueckii had a good colonization ability, and its population increased rapidly during the initial phase of fermentation, maintaining a certain amount of biomass throughout the fermentation. Some studies have also reported a strong colonization ability of T. delbrueckii during fermentation, as it can inhibit the growth of other microorganisms to some extent, which is desirable to improve the wine quality [32]. A slight inhibition was also observed in the sequentially inoculated icewine sample L-S. The population of L. thermotolerans decreased after inoculation with S. cerevisiae on day 2 but did not disappear completely, while S. cerevisiae became the dominant yeast. At the end of the fermentation, the number of S. cerevisiae was about 106 CFU/mL, while the number of L. thermotolerans remained about 105 CFU/mL. This result differs from previous research findings [17] and could be attributed to the high sugar environment of icewine and the early termination of alcoholic fermentation. However, the explanation for the inhibitory effect needs further investigation.
The initial total sugar content of the must used in this experiment was 342.9 g/L. Single fermentation with S. cerevisiae (SC) resulted in a significant decrease in the total sugar content within the first 6 days from 342.9 g/L to 218.0 g/L, while a further reduction to 159.67 g/L was observed on day 14. In contrast, the trend of sugar content decrease was similar in LT and TD fermented icewines. In particular, a rapid decline was observed in LT and TD fermented icewines until the 22nd and 26th days, respectively, when a residual sugar content of 163.67 g/L and 153.33 was reached. Moreover, the decreasing trend of total sugar in L-S icewine was similar to that of LT during the first 6 days of fermentation. After inoculation with S. cerevisiae, the sugar content decreased rapidly on day 4 and then decreased steadily until day 16, when the residual sugar content of 161.67 g/L was reached. In contrast, the total sugar content in L-D decreased steadily until day 22, when a residual sugar content of 158.00 g/L was reached. Conclusively, S. cerevisiae consumed sugar more rapidly due to its higher ability to ferment sugar and absorb nitrogen than other non-Saccharomyces wine yeasts [33,34,35].

3.3. Oenological Parameters Analysis

The main physicochemical parameters of the ‘Semillon’ icewines produced by single and sequential fermentations are shown in Table 1. Due to the termination of alcoholic fermentation at 10 to 11% v/v, no significant differences were observed in the ethanol concentrations of the icewine samples. However, there were significant differences between the samples regarding residual sugars, ranging from 153.33 to 163.67 g/L. The icewines fermented with the T. delbrueckii strain in single inoculations (TD) and sequential inoculations (L-D) had lower residual sugar values (Table 1). This result is consistent with that of Du Plessis et al. [29] and Gobbi et al. [13] and suggests that T. delbrueckii consumes more sugar in single and sequential inoculations.
Glycerol is an important product of the alcoholic fermentation of yeasts. Higher glycerol levels generally improve the wine quality [36,37]. In this study, the glycerol levels in all icewine samples ranged from 6.40 to 13.00 g/L (Table 1). SC icewine had the lowest glycerol content (6.40 g/L), while the other four icewines had a much higher content (> 11 g/L) than SC. Similar results were reported by Benito et al. [17]. These results also show that L. thermotolerans and T. delbrueckii can produce a high glycerol content in icewine during fermentation.
Acetic acid is a crucial parameter of icewine, directly contributing to its quality. Due to the high sugar concentration of icewine grape juice, yeast must combat osmotic stress, and yeast cells can use carbon resources derived from sugar metabolism to produce the metabolites necessary for adaptation and survival, such as acetic acid [38]. The amount of acetic acid in all icewine samples ranged from 0.49 g/L to 1.88 g/L. The highest level was found in SC icewine (1.88 g/L), which was below the permissible upper limit for acetic acid (2.1 g/L) allowed in Canadian and Chinese (GB/T 25504-2010) icewines [6]. In contrast, lower levels were found in LT (0.49 g/L) and L-D (0.50 g/L) icewines. The acetic acid content of icewine samples produced with TD was also lower than SC. This result is consistent with the findings of Chen et al. [39], who found that T. delbrueckii produces low levels of volatile acidity.
The main objectives of L. thermotolerans in winemaking are to increase the acidity and lower the pH by producing L-lactic acid. L. thermotolerans strains vary widely in their ability to produce L-lactic acid, ranging from 1.0 g/L to 9.6 g/L, depending on the strain and fermentation conditions [40,41]. Semillon grape juice requires moderate but not too high acidity. Therefore, to moderately increase the acidity of icewine, the use of L. thermotolerans strains that produce moderate amounts of lactate is suitable. In our study, the strain LT was selected for its moderate ability to produce lactic acid. As expected, LT icewines had the highest lactic acid content (2.20 g/L), while the purely fermented icewines SC and TD had the lowest (< 1.00 g/L) compared to the other icewines (Table 1). As for malic acid, TD icewines had the highest content, followed by LT and L-S, while icewines from SC had the lowest content. In addition, icewines produced by single or sequential inoculations with non-Saccharomyces cerevisiae yeasts had significantly lower pH than icewines fermented with a single inoculation of S. cerevisiae, resulting in a significant increase in the total acidity. Specifically, the total acidity in LT, TD, L-D, and L-S icewines was 1.2 times, 1.1 times, 1.5 times, and 1.4 times higher than in SC. It was observed that acidification (increase in total acidity) by LT resulted in a decrease in pH close of 0.3–0.38 units (Table 1). This value was achieved by producing a maximum of 2–2.2 g/L of lactic acid. Winemakers believe that, at a residual sugar level of 150–160 g/L, the total acidity should be regulated to about 9.0 g/L, which is suitable for a balanced taste of sugar and acidity. Thus, if the residual sugar content of icewine is controlled to 150–160 g/L, fermentation with LT, L-D, and L-S could be a suitable alternative to S. cerevisiae in producing icewine with a lower pH and acceptable acidity.

3.4. Analysis of the Main Volatile Compounds in icewines

A total of 70 volatile compounds were detected in the ‘Semillon’ icewine samples, including 20 esters; 21 higher alcohols; 13 fatty acids; 9 terpenes; and 7 carbonyl compounds (aldehydes, ketones, and other phenylethyl compounds) (Table 2). Thirteen of them had an odor activity value (OAV) greater than one (underlined in Table 2). The threshold values and aroma descriptions of these volatile compounds were taken from the relevant literature [25,42,43,44]. Compared to the samples from SC, the categories and contents of the volatile aroma compounds differed significantly depending on the type of non-S. cerevisiae used and the inoculation method.

3.4.1. Esters

Esters are important wine components, because they can impart fruity and floral aromas to wines, increase the aroma complexity of wines, and contribute to the uniqueness of the wine body [45]. Depending on the yeast strains used in fermentation, the concentrations and types of esters can vary widely [46]. The total concentration of esters (947.51 µg/L) in LT fermented icewines was the lowest of all treatments, which may be related to the metabolism of L. thermotolerans. The ester concentrations in icewines produced by sequential fermentation ranged from 1105.07 to 1491.57 µg/L, which was significantly lower by 50.28%–63.16% compared with SC icewines (2999.69 µg/L). In all icewine samples, rose-flavored phenethyl acetate was significantly higher in TD than in other icewines [25].
As for the sequential fermentations, L-S had higher ester concentrations than L-D. Ethyl lactate, which is related to lactic acid metabolism and may positively contribute to wine sensory characteristics by improving the aroma complexity [39], was not found in the SC and TD samples. In addition, ethyl dodecanoate, known for its earthy, smoky, spicy, dried fruit, and roasted aroma [47], was found in L-S and SC fermented icewines, with SC fermented wines having a significantly higher amount (82.64 µg/L) compared to L-S icewines (1.76 µg/L).

3.4.2. Higher alcohols

Higher alcohols are formed as byproducts of alcoholic yeast fermentation. They are synthesized mainly by the Ehrlich pathway, in which amino acids are used as substrates for transamination and decarboxylation before being reduced by alcohol dehydrogenase. In addition, yeasts can also form higher alcohols from carbon fragments of sugar metabolism [30]. Studies have shown that higher alcohols of less than 300 mg/L can lead to pleasant aromas in wine [39], while higher concentrations (400 mg/L) can have a negative impact on the aroma [48]. The total concentration of higher alcohols in all icewine samples ranged from 2305.51 to 7347.04 µg/L and contributed positively to the wine aroma profile. The highest total concentration of higher alcohols was found in sample SC, followed by samples L-S, TD, LT, and L-D. The total higher alcohols in icewines fermented with non-S. cerevisiae ranged from 14.43% to 68.62%. Fermentation with L. thermotolerans was reported to reduce the production of higher alcohols compared to fermentation with S. cerevisiae [48]. Similarly, a significant decrease in the total concentration of higher alcohols was observed in white wines produced from sequential fermentations of Emir grape must with L. thermotolerans and S. cerevisiae [33]. Phenylethyl alcohol was reported to have the aroma characteristics of honey and roses [49]. It is worth noting that the phenylethyl alcohol content in TD wine samples was significantly higher than in other fermentations, suggesting that using T. delbrueckii in fermentation may enhance the aromatic notes of icewine such as honey and rose.

3.4.3. Acids

Acids are byproducts of yeast metabolism and are mainly produced during alcoholic and malolactic fermentations. The commonly perceived cheese and fat taste in wine are closely related to the acids in wine [50,51]. At low concentrations, acids can increase the complexity of wine aromas, while a high concentration can cause astringency and irritation [52]. In this experiment, the total acid content in all icewine samples ranged from 152.88 μg/L to 2091.24 μg/L, with the SC sample having the highest concentration and LT sample having the lowest. In addition, acetic acid, isobutyric acid, butyric acid, decanoic acid, and 9-decanoic acid were detected in varying concentrations, with none exceeding the aroma threshold. The fatty acid concentration of wine samples fermented with TD was significantly lower than SC in this study (Table 2). This was congruent with the findings of Azzolini et al. [9], who discovered a similar effect on fatty acid synthesis, with a two- to four-fold reduction. Additionally, their concentrations were significantly lower in icewines produced by non-S. cerevisiae yeasts compared to SC. Despite having lower concentrations compared to SC, these compounds, especially decanoic acid and octanoic acid, could contribute positively to improving the aroma and sensory quality of icewines, as they are associated with buttery and cheesy odors.

3.4.4. Terpenes

Terpenes can be formed during wine fermentation by yeast metabolism, where glucosidases readily bind to glycosylated precursors, generating terpenic compounds with floral and fruity notes that may contribute positively to the wine aroma [53]. A total of nine terpene aroma compounds were detected in this experiment, including geraniol, β-damascenone, linalool, α-terpineol, citronellol, nerol, and myrcene. These terpenes were significantly higher in LT, TD, L-T, and L-S icewines than in the SC wine samples. It has been reported that geraniol, β-damascenone, and linalool are the major terpenes in icewine [45]. The total concentration of terpenes in wines produced by sequential inoculations L-D and L-S were 123.76 µg/L and 102.93 µg/L, respectively, while that of single inoculations (SC, LT, and TD) ranged from 41.66 μg/L to 77.36 µg/L. The total concentration of terpenes in the sequential inoculation samples (L-D and L-S) was significantly higher than in SC icewine (Table 2). Among all icewine samples, the L-D sample had the highest amount of total terpenes (123.76 µg/L), which was about three times higher than the SC samples (41.66 μg/L). Geraniol, which has a pleasant floral and musky aroma, is an important terpene in wines with a low odor threshold (30 μg/L) and could directly stimulate human olfactory cells. In this experiment, the concentration of geraniol in icewines produced by single and sequential inoculations (LT and L-S) was significantly higher than SC. Nevertheless, the concentrations in all samples exceeded the odor threshold, which could contribute floral and fruity aromas to the icewines. In one study, geraniol production by L. thermotolerans was higher than that of other yeast species [53]. Citronellol, α-terpineol, and nerol have also been reported to contribute floral and fruity notes to wines [53]. Interestingly, these terpenes were not detected in SC icewines. β-damascenone in the L-S sample was similarly higher than in SC. C13-norisoprenoid compounds are derived from the degradation of carotenoids in grapes, with β-damascenone being the most important in non-aromatic grape varietals [54]. β-damascenone was the only C13-norisoprenoid compound detected in this study. Its concentration significantly increased in L-S wines (Table 2), which was enough to contribute its floral notes [52] to the overall aroma because of its high OAV.

3.4.5. Others

The total content of aldehydes, ketones, and other compounds in all icewine samples differed significantly (p < 0.05) and ranged from 25.06 μg/L to 45.54 µg/L. Benzaldehyde, which has the taste of bitter almonds, was found in all wines except L-D. Moreover, 3-hydroxy-2-butanone was found only in LT, L-S, and L-D but at low concentrations. In addition, very low concentrations of geranyl acetone and methylheptenone were detected in L-S icewine. Although the levels of these compounds were extremely low, they may contribute floral and plum aromas to the icewine.

3.5. Principal Component Analysis of Volatile Aroma Compounds

PCA was performed on aroma compounds with OVA > 0.1. The first two principal components, PC1 and PC2, accounted for 22.0% and 56.5% of the total variance, respectively. The loading of the aroma categories and the distribution of the wine samples among the first two principal components are shown in Figure 3. Icewines fermented with non-S. cerevisiae, such as L-S and LT, were on the positive side of PC2, while L-D and TD were on the negative side of PC2. In addition, 1-pentanol, ethyl hexanoate, ethyl decanoate, octanoic acid, heptanol, ethyl octanoate, 2-methylbutyric acid, ethyl propionate, and hexanoic acid were on the positive side of PC1 and mainly contributed to the aroma profile of SC icewine. Moreover, these compounds distinguished the wine fermented with a pure culture of S. cerevisiae (SC) from the pure and sequentially fermented icewines without S. cerevisiae (LT, TD, L-S, and L-D), which were mainly associated with geraniol, β-damascenone, citronellol, benzaldehyde, phenethyl alcohol, 2-phenethyl propanoate, and damastone on the negative side of PC1 (Figure 3). These compounds, particularly geraniol, β-damascenone, citronellol, damastone, and benzaldehyde, had odor activity values greater than 0.1 and may have imparted to LT, TD, L-S, and L-D icewines their floral and fruity notes [53].

3.6. Sensory Evaluation

In this experiment, the sensory analysis showed that some sensory characteristics differed significantly between the icewine samples (Figure 4). Non-Saccharomyces yeasts can improve the aroma complexity of icewines by producing more terpenes and phenethyl compounds during fermentation [55], which was evident in our sensory results. It was found that L-S icewine had the highest score for all sensory attributes (except fruity notes), while L-D icewine had a more intense fruity aroma than other samples. Regarding the aroma intensity, L-S wine had the highest score. In addition, there were no differences between samples L-D and TD, but significant differences were found when compared to samples SC and LT. This is related to the esters and aromatic alcohols with fruity aromas, such as ethyl lactate and phenethyl ethanol, released during sequential inoculation, as well as to the higher concentrations of terpenes, aldehydes, and ketones that confer a rich floral and fruity aroma and uniqueness to the wines (L-S, L-D, and TD). Morata et al. [55] and Benito et al. [17] also obtained similar results, in which L. thermotolerans and S. cerevisiae were inoculated sequentially. Furthermore, all icewine samples had similar colors, clarity, and peculiarity. Nevertheless, the perception of acidity was high in the L-S and L-D wines, which had higher values than the other treated wines. Thus, no difference was found in the balance of these two icewines.

4. Conclusions

In this study, the effects of different inoculation strategies, such as single inoculation and sequential inoculation with S. cerevisiae, L. thermotolerans, and T. delbrueckii, were investigated in the production of ‘Semillon’ icewine. In sequential inoculation, the growth of L. thermotolerans was slightly inhibited by the presence of the S. cerevisiae or T. delbrueckii strains. Single or sequential inoculations with L. thermotolerans and T. delbrueckii resulted in a significant decrease in volatile acidity, an increase in the glycerol content, and a significant decrease in the concentration of esters and terpenes. In addition, the fermentations with L. thermotolerans yielded relevant amounts of lactic acid. The sensory analysis also showed that the sequentially fermented icewines L-S and L-D exhibited more fruity notes, floral odor, and aroma intensity. Therefore, L. thermotolerans and T. delbrueckii could be used in sequential fermentations to improve the aroma quality of icewines.

Author Contributions

Conceptualization and methodology, J.W., P.G., M.L. and S.P.; validation, P.G., S.P., F.E.S., Y.M. and M.L.; formal analysis, L.L., P.G. and S.P.; investigation, P.G., J.W., S.P. and M.L.; resources, J.W. and S.P.; data curation, P.G. and F.E.S.; software and visualization, P.G., F.E.S., L.L. and Y.M., writing—original draft preparation, P.G. and S.P.; writing—review and editing, P.G., S.P., F.E.S., L.L., Y.M. and M.L.; supervision and project administration, J.W.; and funding acquisition, J.W. All authors have read and agreed to the published version of the manuscript.

Funding

This research was funded by the Key R&D Projects in Gansu Province (20YF8NA132).

Institutional Review Board Statement

Not applicable.

Informed Consent Statement

Not applicable.

Data Availability Statement

The data presented in this study are available on request from the corresponding author.

Acknowledgments

The authors would like to thank Ningxia Lilan Winery Co., Ltd. (Yinchuan, China) for providing the grapes used in this study.

Conflicts of Interest

The authors declare no conflict of interest.

References

  1. Ma, Y.; Xu, Y.; Tang, K. Aroma of icewine: A review on how environmental, viticultural, and oenological factors affect the aroma of icewine. J. Agric. Food Chem. 2021, 69, 6943–6957. [Google Scholar] [CrossRef] [PubMed]
  2. Ostapenko, V. Analysis on application of different grape varieties in the production of icewine. A review. Ukr. Food J. 2016, 5, 678–694. [Google Scholar] [CrossRef]
  3. Wang, J.; Li, M.; Li, J.; Ma, T.; Han, S.; Antonio, M.; Suárez Lepe, J.A. Biotechnology of Ice Wine Production. In Advances in Biotechnology for Food Industry; Elsevier: Amsterdam, The Netherlands, 2018; Volume 14, pp. 267–300. [Google Scholar]
  4. Borren, E.; Tian, B. The important contribution of non-Saccharomyces yeasts to the aroma complexity of wine: A review. Foods 2021, 10, 13. [Google Scholar] [CrossRef] [PubMed]
  5. Chen, Y.; Zhang, W.; Yi, H.; Wang, B.; Xiao, J.; Zhou, X.; Jiankun, X.; Jiang, L.; Shi, X. Microbial community composition and its role in volatile compound formation during the spontaneous fermentation of ice wine made from Vidal grapes. Process Biochem. 2020, 92, 365–377. [Google Scholar] [CrossRef]
  6. Pigeau, G.M.; Bozza, E.; Kaiser, K.; Inglis, D.L. Concentration effect of Riesling Icewine juice on yeast performance and wine acidity. J. Appl. Microbiol. 2007, 103, 1691–1698. [Google Scholar] [CrossRef]
  7. Canonico, L.; Agarbati, A.; Comitini, F.; Ciani, M. Torulaspora delbrueckii in the brewing process: A new approach to enhance bioflavour and to reduce ethanol content. Food Microbiol. 2016, 56, 45–51. [Google Scholar] [CrossRef]
  8. Jolly, N.P.; Varela, C.; Pretorius, I.S. Not your ordinary yeast: Non-Saccharomyces yeasts in wine production uncovered. FEMS Yeast Res. 2014, 14, 215–237. [Google Scholar] [CrossRef]
  9. Azzolini, M.; Tosi, E.; Lorenzini, M.; Finato, F.; Zapparoli, G. Contribution to the aroma of white wines by controlled Torulaspora delbrueckii cultures in association with Saccharomyces cerevisiae. World J. Microbiol. Biotechnol. 2015, 31, 277–293. [Google Scholar] [CrossRef]
  10. Belda, I.; Ruiz, J.; Beisert, B.; Navascués, E.; Marquina, D.; Calderón, F.; Rauhut, D.; Benito, S.; Santos, A. Influence of Torulaspora delbrueckii in varietal thiol (3-SH and 4-MSP) release in wine sequential fermentations. Int. J. Food Microbiol. 2017, 257, 183–191. [Google Scholar] [CrossRef]
  11. Bely, M.; Stoeckle, P.; Masneuf-Pomarède, I.; Dubourdieu, D. Impact of mixed Torulaspora delbrueckiiSaccharomyces cerevisiae culture on high-sugar fermentation. Int. J. Food Microbiol. 2008, 122, 312–320. [Google Scholar] [CrossRef]
  12. Benito, S. The impacts of Lachancea thermotolerans yeast strains on winemaking. Appl. Microbiol. Biotechnol. 2018, 102, 6775–6790. [Google Scholar] [CrossRef] [PubMed]
  13. Gobbi, M.; Comitini, F.; Domizio, P.; Romani, C.; Lencioni, L.; Mannazzu, I.; Ciani, M. Lachancea thermotolerans and Saccharomyces cerevisiae in simultaneous and sequential co-fermentation: A strategy to enhance acidity and improve the overall quality of wine. Food Microbiol. 2013, 33, 271–281. [Google Scholar] [CrossRef] [PubMed]
  14. Jiang, X.; Lu, Y.; Liu, S.Q. Effects of different yeasts on physicochemical and oenological properties of red dragon fruit wine fermented with Saccharomyces cerevisiae, Torulaspora delbrueckii and Lachancea thermotolerans. Microorganisms 2020, 8, 315. [Google Scholar] [CrossRef] [PubMed]
  15. Berbegal, C.; Fragasso, M.; Russo, P.; Bimbo, F.; Grieco, F.; Spano, G.; Capozzi, V. Climate changes and food quality: The potential of microbial activities as mitigating strategies in the wine sector. Fermentation 2019, 5, 85. [Google Scholar] [CrossRef]
  16. Li, F.; Jia, M.W.; Dong, Q.Y.; Yu, Y.S.; Yi, Q.; Yan, L.L. Yeast population dynamics during spontaneous fermentation of icewine and selection of indigenous Saccharomyces cerevisiae strains for the winemaking in Qilian, China. Food Agric. 2020, 100, 5385–5394. [Google Scholar]
  17. Benito, S.; Hofmann, T.; Laier, M.; Lochbühler, B.; Schüttler, A.; Ebert, K.; Fritsch, S.; Röcker, J.; Rauhut, D. Effect on quality and composition of Riesling wines fermented by sequential inoculation with non-Saccharomyces and Saccharomyces cerevisiae. Eur. Food Res. Technol. 2015, 241, 707–717. [Google Scholar] [CrossRef]
  18. Hu, K.; Jin, G.J.; Xu, Y.H.; Tao, Y.S. Wine aroma response to different participation of selected Hanseniaspora uvarum in mixed fermentation with Saccharomyces cerevisiae. Food Res. Int. 2018, 108, 119–127. [Google Scholar] [CrossRef]
  19. OIV-MA-AS313-01: R2015; Compendium of International Methods of Wine and Must Analysis. Chemical Analysis: Acids, Total Acidity (Oeno 551/2015). Organisation Internationale de la Vigne et du Vin: France, Paris, 2015.
  20. Pérez-Ruiz, T.; Martínez-Lozano, C.; Tomás, V.; Martín, J. High-performance liquid chromatographic separation and quantification of citric, lactic, malic, oxalic and tartaric acids using a post-column photochemical reaction and chemiluminescence detection. J. Chromatogr. A 2004, 1026, 57–64. [Google Scholar] [CrossRef]
  21. Buglass, A.J.; Lee, S.H. Sequential analysis of malic acid and both enantiomers of lactic acid in wine using a high-performance liquid chromatographic column-switching procedure. J. Chromatogr. Sci. 2001, 39, 453–458. [Google Scholar] [CrossRef][Green Version]
  22. Pallmann, C.L.; Brown, J.A.; Olineka, T.L.; Cocolin, L.; Mills, D.A.; Bisson, L.F. Use of WL medium to profile native flora fermentations. Am. J. Enol. Vitic. 2001, 52, 198–203. [Google Scholar]
  23. Polizzotto, G.; Barone, E.; Ponticello, G.; Fasciana, T.; Barbera, D.; Corona, O.; Amore, G.; Giammanco, A.; Oliva, D. Isolation, identification and oenological characterization of non-Saccharomyces yeasts in a Mediterranean island. Lett. Appl. Microbiol. 2016, 63, 131–138. [Google Scholar] [CrossRef] [PubMed]
  24. Gao, P.; Sam, F.E.; Zhang, B.; Peng, S.; Li, M.; Wang, J. Enzymatic characterization of purified β-glucosidase from non-Saccharomyces yeasts and application on chardonnay aging. Foods 2022, 11, 852. [Google Scholar] [CrossRef] [PubMed]
  25. Ma, T.Z.; Gong, P.F.; Lu, R.R.; Zhang, B.; Morata, A.; Han, S.Y. Effect of different clarification treatments on the volatile composition and aromatic attributes of “Italian riesling” icewine. Molecules 2020, 25, 2657. [Google Scholar] [CrossRef] [PubMed]
  26. Benito, S. The impact of Torulaspora delbrueckii yeast in winemaking. Appl. Microbiol. Biotechnol. 2018, 102, 3081–3094. [Google Scholar] [CrossRef] [PubMed]
  27. Binati, R.L.; Lemos Junior, W.J.F.; Luzzini, G.; Slaghenaufi, D.; Ugliano, M.; Torriani, S. Contribution of non-Saccharomyces yeasts to wine volatile and sensory diversity: A study on Lachancea thermotolerans, Metschnikowia spp. and Starmerella bacillaris strains isolated in Italy. Int. J. Food Microbiol. 2020, 318, 108470. [Google Scholar] [CrossRef] [PubMed]
  28. Câmara, J.S.; Herbert, P.; Marques, J.C.; Alves, M.A. Varietal flavour compounds of four grape varieties producing Madeira wines. Anal. Chim. Acta 2004, 513, 203–207. [Google Scholar] [CrossRef]
  29. Cai, J.; Zhu, B.Q.; Wang, Y.H.; Lu, L.; Lan, Y.B.; Reeves, M.J.; Duan, C.Q. Influence of pre-fermentation cold maceration treatment on aroma compounds of Cabernet Sauvignon wines fermented in different industrial scale fermenters. Food Chem. 2014, 154, 217–229. [Google Scholar] [CrossRef]
  30. Zhang, B.Q.; Luan, Y.; Duan, C.Q.; Yan, G.L. Use of Torulaspora delbrueckii co-fermentation with two Saccharomyces cerevisiae strains with different aromatic characteristic to improve the diversity of red wine aroma profile. Front. Microbiol. 2018, 9, 606. [Google Scholar] [CrossRef]
  31. Lage, P.; Barbosa, C.; Mateus, B.; Vasconcelos, I.; Mendes-Faia, A.; Mendes-Ferreira, A.H. guilliermondii impacts growth kinetics and metabolic activity of S. cerevisiae: The role of initial nitrogen concentration. Int. J. Food Microbiol. 2014, 172, 62–69. [Google Scholar] [CrossRef]
  32. Simonin, S.; Alexandre, H.; Nikolantonaki, M.; Coelho, C.; Tourdot-Maréchal, R. Inoculation of Torulaspora delbrueckii as a bio-protection agent in winemaking. Food Res. Int. 2018, 107, 451–461. [Google Scholar] [CrossRef]
  33. Balikci, E.K.; Tanguler, H.; Jolly, N.P.; Erten, H. Influence of Lachancea thermotolerans on cv. Emir wine fermentation. Yeast 2016, 33, 313–321. [Google Scholar] [CrossRef] [PubMed]
  34. Brice, C.; Cubillos, F.A.; Dequin, S.; Camarasa, C.; Martínez, C. Adaptability of the Saccharomyces cerevisiae yeasts to wine fermentation conditions relies on their strong ability to consume nitrogen. PLoS ONE 2018, 13, e0192383. [Google Scholar] [CrossRef] [PubMed]
  35. Inokuma, K.; Iwamoto, R.; Bamba, T.; Hasunuma, T.; Kondo, A. Improvement of xylose fermentation ability under heat and acid co-stress in Saccharomyces cerevisiae using genome shuffling technique. Front. Bioeng. Biotechol. 2017, 5, 81. [Google Scholar] [CrossRef] [PubMed]
  36. Augustyn, O.; Pretorius, I.; Jolly, N. The role and use of non-saccharomyces yeasts in wine production. S. Afr. J. Enol. Vitic. 2006, 27, 15–39. [Google Scholar]
  37. Comitini, F.; Gobbi, M.; Domizio, P.; Romani, C.; Lencioni, L.; Mannazzu, I.; Ciani, M. Selected non-Saccharomyces wine yeasts in controlled multistarter fermentations with Saccharomyces cerevisiae. Food Microbiol. 2011, 28, 873–882. [Google Scholar] [CrossRef]
  38. Heit, C.; Martin, S.J.; Yang, F.; Inglis, D.L. Osmoadaptation of wine yeast (Saccharomyces cerevisiae) during icewine fermentation leads to high levels of acetic acid. J. Appl. Microbiol. 2018, 124, 1506–1520. [Google Scholar] [CrossRef]
  39. Chen, K.; Escott, C.; Loira, I.; del Fresno, J.M.; Morata, A.; Tesfaye, W.; Calderon, F.; Suárez-Lepe, J.A.; Han, S.; Benito, S. Use of non-Saccharomyces yeasts and oenological tannin in red winemaking: Influence on colour, aroma and sensorial properties of young wines. Food Microbiol. 2018, 69, 51–63. [Google Scholar] [CrossRef]
  40. Kapsopoulou, K.; Kapaklis, A.; Spyropoulos, H. Growth and fermentation characteristics of a strain of the wine yeast Kluyveromyces thermotolerans isolated in Greece. World J. Microbiol. Biotechnol. 2005, 21, 1599–1602. [Google Scholar] [CrossRef]
  41. Banilas, G.; Sgouros, G.; Nisiotou, A. Development of microsatellite markers for Lachancea thermotolerans typing and population structure of wine-associated isolates. Microbiol. Res. 2016, 193, 1–10. [Google Scholar] [CrossRef]
  42. Gao, P.; Peng, S.; Sam, F.E.; Zhu, Y.; Liang, L.; Li, M.; Wang, J. Indigenous non-Saccharomyces yeasts with β-glucosidase activity in sequential fermentation with Saccharomyces cerevisiae: A strategy to improve the volatile composition and sensory characteristics of wines. Front. Microbiol. 2022, 13, 845837. [Google Scholar] [CrossRef]
  43. Du Plessis, H.; Du Toit, M.; Nieuwoudt, H.; Van Der Rijst, M.; Kidd, M.; Jolly, N. Effect of Saccharomyces, non-Saccharomyces yeasts and malolactic fermentation strategies on fermentation kinetics and flavor of Shiraz wines. Fermentation 2017, 3, 64. [Google Scholar] [CrossRef]
  44. Wang, X.C.; Li, A.H.; Dizy, M.; Ullah, N.; Sun, W.X.; Tao, Y.S. Evaluation of aroma enhancement for “Ecolly” dry white wines by mixed inoculation of selected Rhodotorula mucilaginosa and Saccharomyces cerevisiae. Food Chem. 2017, 228, 550–559. [Google Scholar] [CrossRef] [PubMed]
  45. Lan, Y.B.; Xiang, X.F.; Qian, X.; Wang, J.M.; Ling, M.Q.; Zhu, B.Q.; Liu, T.; Sun, L.B.; Shi, Y.; Reynolds, A.G.; et al. Characterization and differentiation of key odor-active compounds of ‘Beibinghong’ icewine and dry wine by gas chromatography-olfactometry and aroma reconstitution. Food Chem. 2019, 287, 186–196. [Google Scholar] [CrossRef] [PubMed]
  46. Miller, A.C.; Wolff, S.R.; Bisson, L.F.; Ebeler, S.E. Yeast strain and nitrogen supplementation: Dynamics of volatile ester production in chardonnay juice fermentations. Am. J. Enol. Vitic. 2007, 58, 470–483. [Google Scholar]
  47. Miranda-Lopez, R.; Libbey, L.M.; Watson, B.T.; Mcdaniel, M.R. Odor analysis of pinot noir wines from grapes of different maturities by a gas chromatography-olfactometry technique (Osme). J. Food Sci. 1992, 57, 985–993. [Google Scholar] [CrossRef]
  48. Padilla, B.; Gil, J.V.; Manzanares, P. Past and future of non-Saccharomyces yeasts: From spoilage microorganisms to biotechnological tools for improving wine aroma complexity. Front. Microbiol. 2016, 7, 411. [Google Scholar] [CrossRef]
  49. Andorrà, I.; Berradre, M.; Rozès, N.; Mas, A.; Guillamón, J.M.; Esteve-Zarzoso, B. Effect of pure and mixed cultures of the main wine yeast species on grape must fermentations. Eur. Food Res. Technol. 2010, 231, 215–224. [Google Scholar] [CrossRef]
  50. Molina, A.M.; Guadalupe, V.; Varela, C.; Swiegers, J.H.; Pretorius, I.S.; Agosin, E. Differential synthesis of fermentative aroma compounds of two related commercial wine yeast strains. Food Chem. 2009, 117, 189–195. [Google Scholar] [CrossRef]
  51. Saerens, S.M.G.; Delvaux, F.; Verstrepen, K.J.; Van Dijck, P.; Thevelein, J.M.; Delvaux, F.R. Parameters affecting ethyl ester production by Saccharomyces cerevisiae during fermentation. Appl. Environ. Microbiol. 2008, 74, 454–461. [Google Scholar] [CrossRef] [PubMed]
  52. Coetzee, C.; Du Toit, W.J. Sauvignon blanc wine: Contribution of ageing and oxygen on aromatic and non-aromatic compounds and sensory composition: A review. S. Afr. J. Enol. Vitic. 2015, 36, 347–365. [Google Scholar] [CrossRef][Green Version]
  53. Whitener, M.E.B.; Stanstrup, J.; Carlin, S.; Divol, B.; Du Toit, M.; Vrhovsek, U. Effect of non-Saccharomyces yeasts on the volatile chemical profile of Shiraz wine. Aust. J. Grape Wine Res. 2017, 23, 179–192. [Google Scholar] [CrossRef]
  54. Ristic, R.; Bindon, K.; Francis, L.I.; Herderich, M.J.; Iland, P.G. Flavonoids and C13-norisoprenoids in Vitis vinifera L. cv. Shiraz: Relationships between grape and wine composition, wine colour and wine sensory properties. Aust. J. Grape Wine Res. 2016, 16, 369–388. [Google Scholar] [CrossRef]
  55. Morata, A.; Bañuelos, M.A.; Vaquero, C.; Loira, I.; Cuerda, R.; Palomero, F.; González, C.; Suárez-Lepe, J.A.; Wang, J.; Han, S.; et al. Lachancea thermotolerans as a tool to improve pH in red wines from warm regions. Eur. Food Res. Technol. 2019, 245, 885–894. [Google Scholar]
Figure 1. Time used to complete alcoholic fermentation. SC: S. cerevisiae pure fermentation; TD: T. delbrueckii pure fermentation; LT: L. thermotolerans pure fermentation; L-D: sequential fermentation of L. thermotolerans and T. delbrueckii; L-S: sequential fermentation of L. thermotolerans and S. cerevisiae. Vertical bars represent standard deviation. Bars with different letters (a, b, c, and d) are significantly (p < 0.05) different.
Figure 1. Time used to complete alcoholic fermentation. SC: S. cerevisiae pure fermentation; TD: T. delbrueckii pure fermentation; LT: L. thermotolerans pure fermentation; L-D: sequential fermentation of L. thermotolerans and T. delbrueckii; L-S: sequential fermentation of L. thermotolerans and S. cerevisiae. Vertical bars represent standard deviation. Bars with different letters (a, b, c, and d) are significantly (p < 0.05) different.
Fermentation 08 00413 g001
Figure 2. (A) Fermentation kinetics and yeast population dynamics fermentations performed by a pure culture of commercial S. cerevisiae (SC), (B) pure culture of L. thermotolerans (LT), (C) pure culture of T. delbrueckii (TD), (D) sequential inoculation of L. thermotolerans and T. delbrueckii (L-D), and (E) sequential inoculation of L. thermotolerans and S. cerevisiae (L-S).
Figure 2. (A) Fermentation kinetics and yeast population dynamics fermentations performed by a pure culture of commercial S. cerevisiae (SC), (B) pure culture of L. thermotolerans (LT), (C) pure culture of T. delbrueckii (TD), (D) sequential inoculation of L. thermotolerans and T. delbrueckii (L-D), and (E) sequential inoculation of L. thermotolerans and S. cerevisiae (L-S).
Fermentation 08 00413 g002
Figure 3. Principal component analysis of volatile compounds (OAV > 0.1) in icewine samples with different inoculation treatments. SC, pure culture fermentation with commercial S. cerevisiae; LT, pure culture fermentation with L. thermotolerans; TD, pure culture fermentation with T. delbrueckii; L-D, sequential inoculation of L. thermotolerans and T. delbrueckii; and L-S, sequential inoculation of L. thermotolerans and commercial S. cerevisiae.
Figure 3. Principal component analysis of volatile compounds (OAV > 0.1) in icewine samples with different inoculation treatments. SC, pure culture fermentation with commercial S. cerevisiae; LT, pure culture fermentation with L. thermotolerans; TD, pure culture fermentation with T. delbrueckii; L-D, sequential inoculation of L. thermotolerans and T. delbrueckii; and L-S, sequential inoculation of L. thermotolerans and commercial S. cerevisiae.
Fermentation 08 00413 g003
Figure 4. Radar map of the sensory analysis of icewines produced with different fermentation strategies. SC, pure culture fermentation with commercial S. cerevisiae; LT, pure culture fermentation with L. thermotolerans; TD, pure culture fermentation with T. delbrueckii; L-D, sequential inoculation of L. thermotolerans and T. delbrueckii; and L-S, sequential inoculation of L. thermotolerans and commercial S. cerevisiae.
Figure 4. Radar map of the sensory analysis of icewines produced with different fermentation strategies. SC, pure culture fermentation with commercial S. cerevisiae; LT, pure culture fermentation with L. thermotolerans; TD, pure culture fermentation with T. delbrueckii; L-D, sequential inoculation of L. thermotolerans and T. delbrueckii; and L-S, sequential inoculation of L. thermotolerans and commercial S. cerevisiae.
Fermentation 08 00413 g004
Table 1. Basic physicochemical indexes of icewine samples under different inoculation strategies.
Table 1. Basic physicochemical indexes of icewine samples under different inoculation strategies.
ParameterSingle FermentationSequential Fermentation
SCLTTDL-DL-S
Residual sugar (g/L)159.67 ± 0.21b163.67 ± 1.86a153.33 ± 1.73d158.00 ± 0.08c161.67 ± 0.51b
Ethanol (% v/v)10.33 ± 0.15a10.07 ± 0.15a10.53 ± 0.45a10.77 ± 0.23a10.40 ± 0.53a
Glycerol (g/L)6.40 ± 0.3d11.05 ± 0.64c11.23 ± 1.89c13.00 ± 0.72a12.04 ± 0.20b
Acetic acid (g/L)1.88 ± 0.04a0.50 ± 0.08d0.84 ± 0.09b0.49 ± 0.11d0.68 ± 0.11c
Total acidity(g/L)6.57 ± 0.16e8.08 ± 0.41bc7.18 ± 0.66d9.89 ± 0.38a9.29 ± 0.92b
pH4.03 ± 0.02a3.73 ± 0.04c3.87 ± 0.12b3.67 ± 0.02c3.65 ± 0.04c
Lactic acid (g/L)0.08 ± 0.00d2.20 ± 0.04a0.67 ± 0.03c2.04 ± 0.11b2.06 ± 0.05b
Malic acid (g/L)0.46 ± 0.04d1.15 ± 0.087b1.41 ± 0.31a1.09 ± 0.01c1.15 ± 0.08b
Data are expressed as the means of three samples ± standard deviations. Different letters (a, b, and c) within each column are significantly different (Duncan tests; p < 0.05). SC, pure culture fermentation with commercial S. cerevisiae; LT, pure culture fermentation with L. thermotolerans; TD, pure culture fermentation with T. delbrueckii; L-D, sequential inoculation of L. thermotolerans and T. delbrueckii; and L-S, sequential inoculation of L. thermotolerans and commercial S. cerevisiae.
Table 2. The concentrations of volatile aroma compounds (μg/L) in ‘Semillon’ icewines.
Table 2. The concentrations of volatile aroma compounds (μg/L) in ‘Semillon’ icewines.
No.CompoundIcewinesOTV (μg/L)ODEReference
SCLTTDL-DL-S
Esters
A1Ethyl acetate798.96 ± 3.66a632.4 ± 12.35c585.24 ± 12.53d563.34 ± 3.62d710.41 ± 4.77b7500Pineapple, balsam[25]
A2Hexyl acetate72.59 ± 8.99a1.58 ± 0.84d5.16 ± 0.56c12.72 ± 10.76b13.08 ± 5.48b1500Apple, cherries[42]
A3Isoamyl acetate111.44 ± 3.56c94.23 ± 7.0d26.37 ± 2.33e156.90 ± 2.72b169.54 ± 8.19a30Sweet, banana[25]
A4Heptyl acetate3.25 ± 3.25NDNDNDND1400Rika, Apricot[25]
A5Phenethyl acetate313.65 ± 13.10b16.38 ± 4.94e492.66 ± 48.38a121.96 ± 1.37c31.26 ± 9.30d250Rose, jasmine[25]
A6Ethyl butyrate45.32 ± 37.68a13.13 ± 3.74c6.93 ± 4.30d5.65 ± 4.28e15.02 ± 7.42b20Banana, strawberry[25]
A7Ethyl hexanoate237.83 ± 49.59a54.14 ± 6.75c97.46 ± 19.10b28.76 ± 1.07d104.91 ± 0.53b5Strawberry, apple[25]
A8Ethyl heptanoate12.65 ± 2.35aND1.62 ± 0.43bNDND220Pineapple, fruity[25]
A9Ethyl octanoate908.02 ± 9.9a62.48 ± 4.18e193.85 ± 30.56c83.77 ± 3.01d250.29 ± 8.76b240Ripe fruits, pear,[25]
A10Ethyl Decanoate360.3 ± 9.04a32.74 ± 18.23d59.86 ± 26.00c53.03 ± 6.23c92.44 ± 30.95b200Pleasant fruity[25]
A11Diethyl succinate2.84 ± 1.51aND1.22 ± 2.18b0.76 ± 1.45d0.95 ± 0.41c200,000Fruity, cheese[25]
A12Ethyl trans-4-decenoate16.09 ± 2.97d23.30 ± 15.75c196.67 ± 57.50a24.06 ± 20.34c89.71 ± 1.23b//
A13Ethyl Myristate9.15 ± 0.94a2.38 ± 1.34c3.85 ± 1.52b4.10 ± 1.31b1.99 ± 0.45c500Mild waxy, soapy[25]
A14Ethyl hexadecanoate3.57 ± 0.63a1.07 ± 0.06b0.46 ± 0.92d0.74 ± 0.17c0.70 ± 0.02c1500Apple, pineapple[25]
A15Ethyl propionate12.79 ± 2.93aND7.02 ± 6.02b0.52 ± 0.21cND10Pineapple[44]
A16Ethyl dodecanoate82.64 ± 0.24aNDND32.51 ± 14.4b1.76 ± 0.71c1500Honey, sweety, fruity[44]
A17Ethyl lactateND8.25 ± 0.02bND13.45 ± 0.15a8.23 ± 2.21b1500Fruity[42]
A183-Methylbutyl decanoate6.21 ± 0.54a1.71 ± 0.26bND0.98 ± 0.21d1.28 ± 0.04c//[44]
A19Methyl salicylate2.39 ± 1.08b1.85 ± 0.72c3.11 ± 0.67a1.82 ± 0.15cND40/[44]
A202-Phenylethyl propanoateND1.87 ± 0.72b88.55 ± 10.78aNDND220Pineapple, fruity
Total2999.69947.511770.031105.071491.57
Higher alcohols
B1Propanol239.9 ± 5.88a107.98 ± 3.56d103.44 ± 49.83d134.02 ± 5.17b120.10 ± 6.05c50,000Fruity[43]
B2Isobutanol278.2 ± 2.79a140.14 ± 7.69b111.51 ± 14.95d120.18 ± 3.09c65.91 ± 8.54e75,000Fusel oil[42]
B31-Butanol16.50 ± 5.18d47.82 ± 15.26c21.93 ± 10.27b20.64 ± 13.35b15.29 ± 5.07c150,000Medicinal, resinous[42]
B41-Penten-3-ol4.91 ± 0.57a2.60 ± 0.41b2.62 ± 1.72b2.23 ± 1.69c2.18 ± 1.44c//
B51-Pentanol3209.74 ± 0.78b3773.13 ± 1.30a3392.15 ± 2.78b9.32 ± 1.09c3886.97 ± 5.54a8000Balsamic, bitter almond[25]
B6Isoamyl alcohol2091.88 ± 8.83aNDNDND666.80 ± 41.20b30,000Bitter almond[43]
B74-Methyl-1-pentanolND3.52 ± 0.15aNDND2.39 ± 0.84b50,000Almond, toasted[42]
B8Heptanol37.73 ± 6.85a11.76 ± 0.19c13.96 ± 0.92b8.14 ± 0.86d6.77 ± 1.40e200Grass, oily[25]
B92-Nonanol2.24 ± 0.67a1.68 ± 0.03cND1.59 ± 0.21c1.83 ± 0.67b58Unpleasant floral[43]
B102,3-Butanediol43.85 ± 20.5a8.89 ± 2.02c8.04 ± 1.93c15.56 ± 9.81b6.67 ± 4.39c120,000Aromatic plant[42]
B111-Octanol3.61 ± 0.56c3.50 ± 0.81c5.33 ± 0.35a3.88 ± 1.85b3.54 ± 0.35c900Jasmine, lemon[25]
B122-HeptanolND0.43 ± 0.29aND0.48 ± 0.12aND200Rubbery[44]
B133-Methyl-1-pentanol5.40 ± 1.18b10.30 ± 3.71a4.74 ± 2.86c5.30 ± 3.22b4.93 ± 1.71c50,000Herbaceous, cocoa[42]
B143-Ethoxypropanol10.65 ± 1.65b2.70 ± 1.38e16.71 ± 1.45a7.05 ± 1.43c3.98 ± 2.05d/Green, citrus
B15Cis-2-Hexen-1-ol1.08 ± 0.38b0.98 ± 0.01bND0.29 ± 0.34c3.80 ± 0.22a//
B164-Penten-1-ol2.71 ± 0.88b2.14 ± 0.04c1.92 ± 1.32c6.11 ± 4.33aND/Slight fruity aroma
B171-Decanol8.06 ± 2.89aNDNDND0.59 ± 0.54b400Waxy, fatty[25]
B181-Hexanol339.29 ± 53.56c514.16 ± 20.8a486.84 ± 76.71b363.40 ± 8.51c305.94 ± 21.50c8000Herbaceous, woody[25]
B193-Hexen-1-ol15.51 ± 3.56a11.75 ± 3.16b10.05 ± 4.05cND6.58 ± 1.08d400Orange, fruity[25]
B20Benzyl alcohol6.00 ± 0.94a4.53 ± 0.39c4.88 ± 2.36b4.72 ± 2.22b5.08 ± 3.37b620Almond, walnut[44]
B21Phenethyl alcohol1031.40 ± 1.84d1304.41 ± 2.20c1912.83 ± 1.85a1602.6 ± 1.61b1177.65 ± 1.08c86Floral, rose, honey[25]
Total7347.045952.426096.952305.516287
Acids
C1Acetic acid681.43 ± 7.87a42.07 ± 1.67c65.20 ± 2.90b24.41 ± 10.72d59.81 ± 11.17b200000Acetic[42]
C2Isobutyric acid13.28 ± 1.26a2.19 ± 0.33e6.01 ± 1.02b5.37 ± 1.76c4.29 ± 1.67d8100Acetic[42]
C3Butyric acid9.40 ± 1.73a3.79 ± 2.24cND5.68 ± 1.67b4.05 ± 1.22c173Sour, cheese, fatty[44]
C42-Methylbutyric acid35.64 ± 3.10a3.20 ± 0.42e5.21 ± 0.40d8.04 ± 4.10c10.77 ± 6.05b50Fatty, rancid, cheesy[44]
C5Decanoic acid134.08 ± 7.77a9.41 ± 1.39d69.03 ± 0.23c68.63 ± 1.67c82.61 ± 2.24b1400Butter, cheese[25]
C6Hexanoic acid322.52 ± 1.81a44.06 ± 4.27d77.41 ± 12.72c44.36 ± 4.12d110.57 ± 4.15b420Cheese, fatty[25]
C79-decenoic acid231.50 ± 7.4aND33.44 ± 4.38c67.35 ± 7.02b63.29 ± 6.00b/Acetic acid smell
C8Octanoic acid659.75 ± 8.49a21.03 ± 1.03d83.24 ± 38.38c33.08 ± 6.61d297.78 ± 6.59b500Rancid, cheese, fatty[25]
C93-Hydroxylauric acid1.43 ± 0.46a0.54 ± 0.02c0.76 ± 0.98b0.50 ± 0.48c0.58 ± 0.41c/Sour smell, fatty
C10Heptanoic acid2.21 ± 0.23aNDNDND1.48 ± 0.22b//
C1117-octadecynoic acidND1.22 ± 0.91a1.05 ± 0.72b0.82 ± 0.11c0.32 ± 0.06d//
C12Trans-3-decanoic acidND4.53 ± 2.02aNDNDND//
C13Pentanoic acidND20.84 ± 0.72aNDNDND//
Total2091.24152.88341.35258.24635.46
Terpenes
D1Linalool12.11 ± 2.7c15.57 ± 0.40b12.27 ± 1.95c18.72 ± 0.03a15.58 ± 2.16b615Floral, musk[25]
D2α-TerpineolND3.50 ± 0.58d5.98 ± 0.09c7.67 ± 2.87a6.74 ± 1.99b250Floral[25]
D3CitronellolND24.15 ± 3.66d28.56 ± 6.29c56.53 ± 9.45a38.17 ± 8.76b30Lemon, citrus, rose[25]
D4NerolND1.71 ± 0.60b1.02 ± 2.36c2.47 ± 2.36a2.69 ± 1.34a400Rose, lemon[42]
D5Geraniol9.29 ± 1.98c14.22 ± 0.64b5.40 ± 0.33d9.53 ± 5.40c15.51 ± 6.98a30Peach, floral, musk[42]
D6Nerolidol1.94 ± 1.94bc1.58 ± 0.93d2.93 ± 1.95b5.71 ± 1.95a2.09 ± 0.60c700Apple, rose[42]
D7cis-3-Hexen-1-ol15.11 ± 6.56c12.79 ± 1.10d17.96 ± 7.11b18.87 ± 5.26a8.48 ± 0.02e400Plant, fruity, aromatic[25]
D8β-damascenone2.03 ± 0.12c1.45 ± 0.3d2.67 ± 0.03b2.88 ± 5.90b11.15 ± 0.82a0.5Rose, floral[25]
D9Myrcene1.18 ± 0.45d1.94 ± 1.23b0.57 ± 0.09e1.38 ± 0.47c2.52 ± 0.45a//
Total41.6676.9177.36123.76102.93
Others
E1Benzaldehyde1.29 ± 0.21c3.27 ± 0.26a1.28 ± 0.20cND2.12 ± 0.14b0.35Bitter almond[43]
E2Decanal3.94 ± 0.35a2.27 ± 2.27bND2.28 ± 0.59bND1000Fruity, floral[43]
E3Methylheptenone4.05 ± 14.14a0.91 ± 0.27cND1.22 ± 3.99b0.86 ± 0.19c/Rose, plum
E4Damastone17.56 ± 4.43e22.38 ± 2.58c20.73 ± 2.37d34.27 ± 7.99b37.59 ± 3.22a0.05/[44]
E53-Hydroxy-2-butanoneND4.17 ± 1.41aND2.75 ± 1.59b1.37 ± 0.62c150,000Peach, plum[43]
E6Geranyl acetoneNDND1.03 ± 0.73b2.11 ± 0.89a1.10 ± 0.53b60Floral[44]
E7Styrene6.06 ± 0.54a1.79 ± 0.05d2.02 ± 0.77c2.91 ± 0.36bND/Pungent
Total32.934.7925.0645.5443.04
Data are the means ± standard deviation. Different letters (a, b, c, d, and e) within each row are significantly different (Duncan tests; p < 0.05). “ND” indicates not detected. “/” means not found. The references [25,42,43,44] represents relevant literature from which the threshold values and aroma descriptions of the volatile compounds were taken from. Twenty odor active compounds (OVA > 0.1) were underlined. ODE, odor descriptor; OTV, odor threshold value; SC, pure culture fermentation with commercial S. cerevisiae; LT, pure culture fermentation with L. thermotolerans; TD, pure culture fermentation with T. delbrueckii; L-D, sequential inoculation of L. thermotolerans and T. delbrueckii; and L-S, sequential inoculation of L. thermotolerans and commercial S. cerevisiae.
Publisher’s Note: MDPI stays neutral with regard to jurisdictional claims in published maps and institutional affiliations.

Share and Cite

MDPI and ACS Style

Wang, J.; Ma, Y.; Sam, F.E.; Gao, P.; Liang, L.; Peng, S.; Li, M. The Impact of Indigenous Non-Saccharomyces Yeasts Inoculated Fermentations on ‘Semillon’ Icewine. Fermentation 2022, 8, 413. https://doi.org/10.3390/fermentation8080413

AMA Style

Wang J, Ma Y, Sam FE, Gao P, Liang L, Peng S, Li M. The Impact of Indigenous Non-Saccharomyces Yeasts Inoculated Fermentations on ‘Semillon’ Icewine. Fermentation. 2022; 8(8):413. https://doi.org/10.3390/fermentation8080413

Chicago/Turabian Style

Wang, Jing, Yuwen Ma, Faisal Eudes Sam, Pingping Gao, Lihong Liang, Shuai Peng, and Min Li. 2022. "The Impact of Indigenous Non-Saccharomyces Yeasts Inoculated Fermentations on ‘Semillon’ Icewine" Fermentation 8, no. 8: 413. https://doi.org/10.3390/fermentation8080413

APA Style

Wang, J., Ma, Y., Sam, F. E., Gao, P., Liang, L., Peng, S., & Li, M. (2022). The Impact of Indigenous Non-Saccharomyces Yeasts Inoculated Fermentations on ‘Semillon’ Icewine. Fermentation, 8(8), 413. https://doi.org/10.3390/fermentation8080413

Note that from the first issue of 2016, this journal uses article numbers instead of page numbers. See further details here.

Article Metrics

Back to TopTop