Impact of Cationic Polyelectrolyte Addition on Mesophilic Anaerobic Digestion and Hydrocarbon Content of Sewage Sludge
Abstract
1. Introduction
- (a)
- in the WWTP, there is an AD phase before sludge conditioning and no polyelectrolytes are added before AD. In this case, the order of sludge treatments is:
- (b)
disposal method)
- (c)
or outside the WWTP) -> conditioning (if needed) -> dewatering -> disposal.
2. Materials and Methods
2.1. Origin, Characteristics, and AD of Raw and Conditioned Sludge
2.2. Determination of TS and VS
2.3. Hydrocarbon Analysis in Sludge
2.3.1. Gravimetric Determination of TH Concentration
Sample Pretreatment for the TH Extraction
Soxhlet Extraction with Dichloromethane
Clean-Up and Filtration of the Enriched Solvent
Sample Concentration
Gravimetric Measurement
2.3.2. Chromatographic-Spectrometric Evaluation of C10-C40 Hydrocarbons
2.4. Calculations
- CIN and COUT are the hydrocarbons (THs or C10-C40) concentrations, respectively, before and after AD expressed as mg per kg of TS;
- TSIN and TSOUT represent the TS concentrations expressed as g/L.
3. Results and Discussion
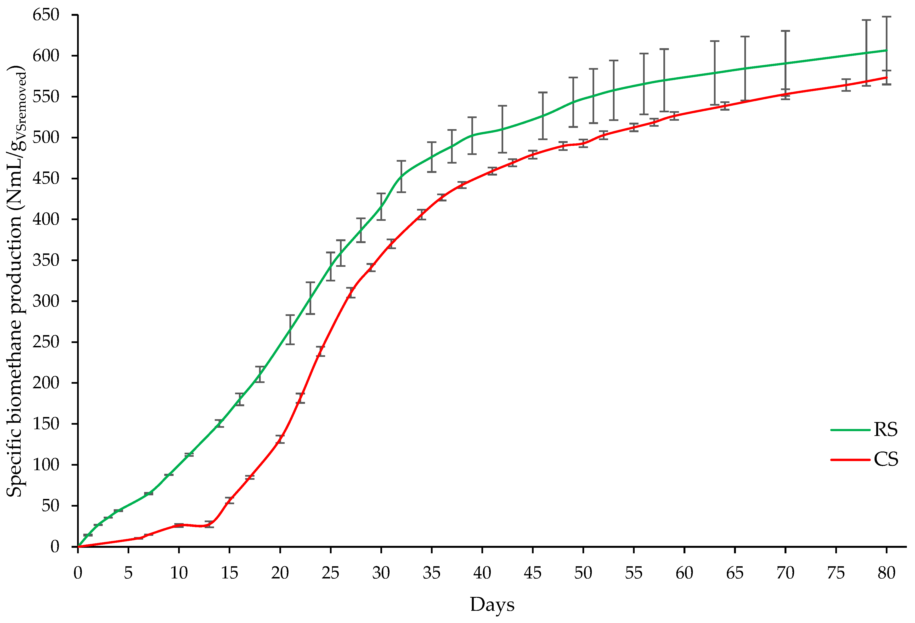
3.1. Methane Productivity of Raw and Conditioned Sewage Sludge
3.2. Effect of Sludge Conditioning on Hydrocarbon Degradation and Extractability during AD
3.3. Impact of AD on Hydrocarbon Fractionation and Contaminant Degradation in Raw and Conditioned Sewage Sludge
4. Conclusions
Author Contributions
Funding
Institutional Review Board Statement
Informed Consent Statement
Data Availability Statement
Acknowledgments
Conflicts of Interest
References
- Di Capua, F.; Spasiano, D.; Giordano, A.; Adani, F.; Fratino, U.; Pirozzi, F.; Esposito, G. High-Solid Anaerobic Digestion of Sewage Sludge: Challenges and Opportunities. Appl. Energy 2020, 278, 115608. [Google Scholar] [CrossRef]
- Zhang, Q.; Hu, J.; Lee, D.J.; Chang, Y.; Lee, Y.J. Sludge Treatment: Current Research Trends. Bioresour. Technol. 2017, 243, 1159–1172. [Google Scholar] [CrossRef] [PubMed]
- Di Costanzo, N.; Cesaro, A.; Di Capua, F.; Esposito, G. Exploiting the Nutrient Potential of Anaerobically Digested Sewage Sludge: A Review. Energies 2021, 14, 8149. [Google Scholar] [CrossRef]
- Pigoli, A.; Zilio, M.; Tambone, F.; Mazzini, S.; Schepis, M.; Meers, E.; Schoumans, O.; Giordano, A.; Adani, F. Thermophilic Anaerobic Digestion as Suitable Bioprocess Producing Organic and Chemical Renewable Fertilizers : A Full-Scale Approach. Waste Manag. 2022, 124, 356–367. [Google Scholar] [CrossRef]
- Melo, W.; Delarica, D.; Guedes, A.; Lavezzo, L.; Donha, R.; de Araújo, A.; de Melo, G.; Macedo, F. Ten Years of Application of Sewage Sludge on Tropical Soil. A Balance Sheet on Agricultural Crops and Environmental Quality. Sci. Total Environ. 2018, 643, 1493–1501. [Google Scholar] [CrossRef]
- Lama, G.F.C.; Errico, A.; Pasquino, V.; Mirzaei, S.; Preti, F.; Chirico, G.B. Velocity Uncertainty Quantification Based on Riparian Vegetation Indices in Open Channels Colonized by Phragmites Australis. J. Ecohydraulics 2022, 7, 71–76. [Google Scholar] [CrossRef]
- Khan, M.A.; Sharma, N.; Lama, G.F.C.; Hasan, M.; Garg, R.; Busico, G.; Alharbi, R.S. Three-Dimensional Hole Size (3DHS) Approach for Water Flow Turbulence Analysis over Emerging Sand Bars: Flume-Scale Experiments. Water 2022, 14, 1889. [Google Scholar] [CrossRef]
- Sharma, B.; Sarkar, A.; Singh, P.; Singh, R.P. Agricultural Utilization of Biosolids: A Review on Potential Effects on Soil and Plant Grown. Waste Manag. 2017, 64, 117–132. [Google Scholar] [CrossRef]
- Jing, R.; Fusi, S.; Chan, A.; Capozzi, S.; Kjellerup, B.V. Distribution of Polychlorinated Biphenyls in Effluent from a Large Municipal Wastewater Treatment Plant: Potential for Bioremediation? J. Environ. Sci. 2019, 78, 42–52. [Google Scholar] [CrossRef]
- Khan, M.B.; Cui, X.; Jilani, G.; Lazzat, U.; Zehra, A.; Hamid, Y.; Hussain, B.; Tang, L.; Yang, X.; He, Z. Eisenia Fetida and Biochar Synergistically Alleviate the Heavy Metals Content during Valorization of Biosolids via Enhancing Vermicompost Quality. Sci. Total Environ. 2019, 684, 597–609. [Google Scholar] [CrossRef]
- Yao, S.; Fabbricino, M.; Pontoni, L.; Race, M.; Parrino, F.; Savignano, L.; D’Errico, G.; Chen, Y. Characterization of Anthropogenic Organic Matter and Its Interaction with Direct Yellow 27 in Wastewater: Experimental Results and Perspectives of Resource Recovery. Chemosphere 2022, 286, 131528. [Google Scholar] [CrossRef] [PubMed]
- Huynh, L.H.; Do, Q.D.; Kasim, N.S.; Ju, Y.H. Isolation and Analysis of Wax Esters from Activated Sludge. Bioresour. Technol. 2011, 102, 9518–9523. [Google Scholar] [CrossRef] [PubMed]
- Dove, H.; Mayes, R.W. Using N-Alkanes and Other Plant Wax Components to Estimate Intake, Digestibility and Diet Composition of Grazing/Browsing Sheep and Goats. Small Rumin. Res. 2005, 59, 123–139. [Google Scholar] [CrossRef]
- Badowska, E.; Bąk, A. The Determination of Petroleum Hydrocarbons in Sewer Sediment. E3S Web Conf. 2017, 17, 1–8. [Google Scholar] [CrossRef]
- Gulieva, N.K.; Mustafaev, I.I.; Sabzaliev, A.A.; Garibov, R.G. Composition and Properties of Deposits Formed on the Internal Surface of Oil Pipelines. J. Appl. Spectrosc. 2018, 85, 103–108. [Google Scholar] [CrossRef]
- Varjani, S.J.; Upasani, V.N. A New Look on Factors Affecting Microbial Degradation of Petroleum Hydrocarbon Pollutants. Int. Biodeterior. Biodegrad. 2017, 120, 71–83. [Google Scholar] [CrossRef]
- Moreda, J.M.; Arranz, A.; Fdez De Betoño, S.; Cid, A.; Arranz, J.F. Chromatographic Determination of Aliphatic Hydrocarbons and Polyaromatic Hydrocarbons (PAHs) in a Sewage Sludge. Sci. Total Environ. 1998, 220, 33–43. [Google Scholar] [CrossRef]
- Pavlova, A.; Ivanova, R. Determination of Petroleum Hydrocarbons and Polycyclic Aromatic Hydrocarbons in Sludge from Wastewater Treatment Basins. J. Environ. Monit. 2003, 5, 319–323. [Google Scholar] [CrossRef]
- Collivignarelli, M.C.; Abbà, A.; Frattarola, A.; Miino, M.C.; Padovani, S.; Katsoyiannis, I.; Torretta, V. Legislation for the Reuse of Biosolids on Agricultural Land in Europe: Overview. Sustainability 2019, 11, 6015. [Google Scholar] [CrossRef]
- Boll, M.; Timmis, K.N.; Geiger, O.; Goldfine, H.; Krell, T.; Yup, S.; Terry, L.; Fernando, J.M.; Sousa, D.Z.; Stams, A.J.M.; et al. Anaerobic Utilization of Hydrocarbons, Oils, and Lipids; Boll, M., Ed.; Springer International Publishing: Cham, Switzerland, 2020; ISBN 978-3-319-50390-5. [Google Scholar]
- Tahhan, R.A.; Ammari, T.G.; Goussous, S.J.; Al-Shdaifat, H.I. Enhancing the Biodegradation of Total Petroleum Hydrocarbons in Oily Sludge by a Modified Bioaugmentation Strategy. Int. Biodeterior. Biodegrad. 2011, 65, 130–134. [Google Scholar] [CrossRef]
- Srinivasarao Naik, B.; Mishra, I.M.; Bhattacharya, S.D. Biodegradation of Total Petroleum Hydrocarbons from Oily Sludge. Bioremediat. J. 2011, 15, 140–147. [Google Scholar] [CrossRef]
- Mohammadi, L.; Rahdar, A.; Bazrafshan, E.; Dahmardeh, H.; Susan, M.A.B.H.; Kyzas, G.Z. Petroleum Hydrocarbon Removal from Wastewaters: A Review. Processes 2020, 8, 447. [Google Scholar] [CrossRef]
- Gielnik, A.; Pechaud, Y.; Huguenot, D.; Cébron, A.; Esposito, G.; van Hullebusch, E.D. Functional Potential of Sewage Sludge Digestate Microbes to Degrade Aliphatic Hydrocarbons during Bioremediation of a Petroleum Hydrocarbons Contaminated Soil. J. Environ. Manag. 2021, 280, 111648. [Google Scholar] [CrossRef] [PubMed]
- Morello, R.; Di Capua, F.; Pontoni, L.; Papirio, S.; Spasiano, D.; Fratino, U.; Pirozzi, F.; Esposito, G. Microaerobic Digestion of Low-Biodegradable Sewage Sludge: Effect of Air Dosing in Batch Reactors. Sustainability 2021, 13, 9869. [Google Scholar] [CrossRef]
- Aemig, Q.; Chéron, C.; Delgenès, N.; Jimenez, J.; Houot, S.; Steyer, J.P.; Patureau, D. Distribution of Polycyclic Aromatic Hydrocarbons (PAHs) in Sludge Organic Matter Pools as a Driving Force of Their Fate during Anaerobic Digestion. Waste Manag. 2016, 48, 389–396. [Google Scholar] [CrossRef]
- Scherr, K.E.; Lundaa, T.; Klose, V.; Bochmann, G.; Loibner, A.P. Changes in Bacterial Communities from Anaerobic Digesters during Petroleum Hydrocarbon Degradation. J. Biotechnol. 2012, 157, 564–572. [Google Scholar] [CrossRef]
- Grishchenkov, V.G.; Townsend, R.T.; McDonald, T.J.; Autenrieth, R.L.; Bonner, J.S.; Boronin, A.M. Degradation of Petroleum Hydrocarbons by Facultative Anaerobic Bacteria under Aerobic and Anaerobic Conditions. Process Biochem. 2000, 35, 889–896. [Google Scholar] [CrossRef]
- Li, H.; Si, D.; Liu, C.; Feng, K.; Liu, C. Performance of Direct Anaerobic Digestion of Dewatered Sludge in Long-Term Operation. Bioresour. Technol. 2018, 250, 355–364. [Google Scholar] [CrossRef]
- Tian, H.; Wang, X.; Lim, E.Y.; Lee, J.T.E.; Ee, A.W.L.; Zhang, J.; Tong, Y.W. Life Cycle Assessment of Food Waste to Energy and Resources: Centralized and Decentralized Anaerobic Digestion with Different Downstream Biogas Utilization. Renew. Sustain. Energy Rev. 2021, 150, 111489. [Google Scholar] [CrossRef]
- Lavergne, C.; Bovio-Winkler, P.; Etchebehere, C.; García-Gen, S. Towards Centralized Biogas Plants: Co-Digestion of Sewage Sludge and Pig Manure Maintains Process Performance and Active Microbiome Diversity. Bioresour. Technol. 2020, 297, 122442. [Google Scholar] [CrossRef]
- Zhu, C.; Zhang, P.; Wang, H.; Ye, J. Conditioning of Sewage Sludge via Combined Ultrasonication-Flocculation-Skeleton Building to Improve Sludge Dewaterability. Ultrason. Sonochem. 2018, 40, 353–360. [Google Scholar] [CrossRef] [PubMed]
- Shewa, W.A.; Dagnew, M. Revisiting Chemically Enhanced Primary Treatment of Wastewater: A Review. Sustainability 2020, 12, 5928. [Google Scholar] [CrossRef]
- Gong, W.; Luo, L.; Li, W.; Luo, X.; Liang, H.; Ngo, H.H.; Guo, W. Using Chemically Enhanced Primary Treatment (CEPT) as a Pretreatment Option for Anaerobic Digestate from Cattle Manure Digestion System. Water 2017, 9, 487. [Google Scholar] [CrossRef]
- He, Q.; Wang, H.; Xu, C.; Zhang, J.; Zhang, W.; Zou, Z.; Yang, K. Feasibility and Optimization of Wastewater Treatment by Chemically Enhanced Primary Treatment (CEPT): A Case Study of Huangshi. Chem. Speciat. Bioavailab. 2016, 28, 209–215. [Google Scholar] [CrossRef]
- Wang, H.; Li, F.; Keller, A.A.; Xu, R. Chemically Enhanced Primary Treatment (CEPT) for Removal of Carbon and Nutrients from Municipal Wastewater Treatment Plants: A Case Study of Shanghai. Water Sci. Technol. 2009, 60, 1803–1809. [Google Scholar] [CrossRef]
- Haydar, S.; Aziz, J.A. Characterization and Treatability Studies of Tannery Wastewater Using Chemically Enhanced Primary Treatment (CEPT)-A Case Study of Saddiq Leather Works. J. Hazard. Mater. 2009, 163, 1076–1083. [Google Scholar] [CrossRef]
- Ju, F.; Wang, Y.; Lau, F.T.K.; Fung, W.C.; Huang, D.; Xia, Y.; Zhang, T. Anaerobic Digestion of Chemically Enhanced Primary Treatment (CEPT) Sludge and the Microbial Community Structure. Appl. Microbiol. Biotechnol. 2016, 100, 8975–8982. [Google Scholar] [CrossRef]
- Al-Jasser, A.O. Enhancement of Sludge Settling with Chemical Additives. Water Environ. Res. 2009, 81, 849–857. [Google Scholar] [CrossRef]
- Vanderhasselt, A.; Verstraete, W. Short-Term Effects of Additives on Sludge Sedimentation Characteristics. Water Res. 1999, 33, 381–390. [Google Scholar] [CrossRef]
- Hyrycz, M.; Ochowiak, M.; Krupińska, A.; Włodarczak, S.; Matuszak, M. A Review of Flocculants as an Efficient Method for Increasing the Efficiency of Municipal Sludge Dewatering: Mechanisms, Performances, Influencing Factors and Perspectives. Sci. Total Environ. 2022, 820. [Google Scholar] [CrossRef]
- Novak, J.T.; Sadler, M.E.; Murthy, S.N. Mechanisms of Floc Destruction during Anaerobic and Aerobic Digestion and the Effect on Conditioning and Dewatering of Biosolids. Water Res. 2003, 37, 3136–3144. [Google Scholar] [CrossRef]
- Rabiee, A. Acrylamide-Based Anionic Polyelectrolytes and Their Applications: A Survey. J. Vinyl Addit. Technol. 2010, 16, 111–119. [Google Scholar] [CrossRef]
- Rabiee, A.; Ershad-Langroudi, A.; Zeynali, M.E. A Survey on Cationic Polyelectrolytes and Their Applications: Acrylamide Derivatives. Rev. Chem. Eng. 2015, 31, 239–261. [Google Scholar] [CrossRef]
- Eurostat Sewage Sludge Production and Disposal. Available online: http://appsso.eurostat.ec.europa.eu/nui/show.do?lang=en&dataset=env_ww_spd (accessed on 8 September 2022).
- BS ISO 14507:2003 BS ISO 14507:2003; Soil Quality—Pretreatment of Samples for Determination of Organic Contaminants. ISO: Geneva, Switzerland, 2003; Volumn 3.
- ISO EN ISO 16703:2011; Soil Quality—Determination of Content of Hydrocarbon in the Range C10 to C40 by Gas Chromatography. ISO: Geneva, Switzerland, 2011; Volumn 3, p. 26.
- Sutton, P.A.; Lewis, C.A.; Rowland, S.J. Isolation of Individual Hydrocarbons from the Unresolved Complex Hydrocarbon Mixture of a Biodegraded Crude Oil Using Preparative Capillary Gas Chromatography. Org. Geochem. 2005, 36, 963–970. [Google Scholar] [CrossRef]
- Bruckberger, M.C.; Bastow, T.P.; Morgan, M.J.; Gleeson, D.; Banning, N.; Davis, G.; Puzon, G.J. Biodegradability of Polar Compounds Formed from Weathered Diesel. Biodegradation 2018, 29, 443–461. [Google Scholar] [CrossRef]
- Jeon, S.K.; Kwon, D.; Lee, S. Identification of Weathered Multiple Petroleum Products in Contaminated Soils by Characterizing Unresolved Complex Mixture Hump in Gas Chromatograph Data. Sci. Total Environ. 2017, 607–608, 42–52. [Google Scholar] [CrossRef]
- Ispra. Manuali e Linee Guida 75/2011; Ispra: Lombardy, Italy, 2011; ISBN 9788844805234.
- APHA; AWWA. WEF: Standard Methods for the Examination of Water and Wastewater Standard Methods for the Examination of Water and Wastewater; APHA: Washington, DC, USA; AWWA: Denver, CO, USA, 1999; p. 541. [Google Scholar]
- CNR-IRSA. Metodi Analitici Per i Fanghi-Vol. 2 Parametri Tecnologici; CNR-IRSA: Brugherio MB, Italy, 1983. [Google Scholar]
- Massachusetts, D.E.P. Method for the Determination of Extractable Petroleum Hydrocarbons (EPH); Massachusetts Department of Environmental Protection: Boston, MA, USA, 2004; 62.
- Koch, K. Calculating the Degree of Degradation of the Volatile Solids in Continuously Operated Bioreactors. Biomass Bioenerg. 2015, 74, 79–83. [Google Scholar] [CrossRef]
- Bachmann, N. Sustainable Biogas Production in Municipal Wastewater Treatment Plants. IEA Bioenerg. 2015, 20. [Google Scholar]
- Chen, Z.; Zhang, W.; Wang, D.; Ma, T.; Bai, R. Enhancement of Activated Sludge Dewatering Performance by Combined Composite Enzymatic Lysis and Chemical Re-Flocculation with Inorganic Coagulants: Kinetics of Enzymatic Reaction and Re-Flocculation Morphology. Water Res. 2015, 83, 367–376. [Google Scholar] [CrossRef]
- Wei, H.; Gao, B.; Ren, J.; Li, A.; Yang, H. Coagulation/Flocculation in Dewatering of Sludge: A Review. Water Res. 2018, 143, 608–631. [Google Scholar] [CrossRef]
- Li, Q.; Qiao, W.; Wang, X.; Takayanagi, K.; Shofie, M.; Li, Y.Y. Kinetic Characterization of Thermophilic and Mesophilic Anaerobic Digestion for Coffee Grounds and Waste Activated Sludge. Waste Manag. 2015, 36, 77–85. [Google Scholar] [CrossRef] [PubMed]
- Zhou, W.; Lu, Y.; Jiang, S.; Xiao, Y.; Zheng, G.; Zhou, L. Impact of Sludge Conditioning Treatment on the Bioavailability of Pyrene in Sewage Sludge. Ecotoxicol. Environ. Saf. 2018, 163, 196–204. [Google Scholar] [CrossRef] [PubMed]
- Chu, C.P.; Lee, D.J.; Chang, B.V.; You, C.H.; Liao, C.S.; Tay, J.H. Anaerobic Digestion of Polyelectrolyte Flocculated Waste Activated Sludge. Chemosphere 2003, 53, 757–764. [Google Scholar] [CrossRef]
- Pontoni, L.; Roviello, V.; Race, M.; Savignano, L.; van Hullebusch, E.D.; Esposito, G.; Pirozzi, F.; Fabbricino, M. Supramolecular Aggregation of Colloidal Natural Organic Matter Masks Priority Pollutants Released in Water from Peat Soil. Environ. Res. 2021, 195, 110761. [Google Scholar] [CrossRef]
- Ji, Y.; Mao, G.; Wang, Y.; Bartlam, M. Structural Insights into Diversity and N-Alkane Biodegradation Mechanisms of Alkane Hydroxylases. Front. Microbiol. 2013, 4. [Google Scholar] [CrossRef]
- Sieber, J.R.; McInerney, M.J.; Gunsalus, R.P. Genomic Insights into Syntrophy: The Paradigm for Anaerobic Metabolic Cooperation. Annu. Rev. Microbiol. 2012, 66, 429–452. [Google Scholar] [CrossRef]
- Pirozzi, C.; Pontoni, L.; Fabbricino, M.; Bogush, A.; Campos, L.C. Effect of Organic Matter Release from Natural Cork Used on Bisphenol a Removal from Aqueous Solution. J. Clean. Prod. 2020, 244, 118675. [Google Scholar] [CrossRef]
- Liu, S.; Zhou, Q.; Chen, C. Antioxidant Enzyme Activities and Lipid Peroxidation in Earthworm Eisenia Fetida Exposed to 1,3,4,6,7,8-Hexahydro-4,6,6,7,8,8- Hexamethyl-Cyclopenta-c-2-Benzopyran. Environ. Toxicol. 2012, 27, 472–479. [Google Scholar] [CrossRef]




| Parameter | Unit of Measure | RS | CS |
|---|---|---|---|
| TS IN | g/L | 38.65 ± 1.52 | 44.71 ± 0.89 |
| TS OUT | g/L | 24.14 ± 0.24 | 32.97 ± 1.87 |
| VS IN | g/L | 23.72 ± 0.76 | 22.89 ± 0.46 |
| VS OUT | g/L | 11.23 ± 0.23 | 13.95 ± 0.12 |
| VS IN | %TS | 61.41 ± 0.43 | 51.20 ± 0.09 |
| VS OUT | %TS | 46.51 ± 0.48 | 44.00 ± 0.65 |
| SBP80 | NmLCH4/gVSremoved | 607 ± 41 | 573 ± 9 |
| TH IN | mg/kgTS | 22,235 ± 1087 | 11,533 ± 549 |
| TH OUT | mg/kgTS | 15,579 ± 292 | 13,029 ± 138 |
| TH IN | mg a | 541.36 ± 26.46 | 324.82 ± 15.47 |
| TH OUT | mg a | 236.87 ± 2.09 | 270.74 ± 17.84 |
| C10-C40 IN | mg/kgTS | 11,706 ± 1432 | 5918 ± 430 |
| C10-C40 OUT | mg/kgTS | 6417 ± 955 | 6715 ± 489 |
| C10-C40 IN | mg a | 285.01 ± 34.87 | 166.66 ± 12.11 |
| C10-C40 OUT | mg a | 97.72 ± 15.49 | 139.00 ± 4.46 |
| C10-C40/TH IN | % | 52.65 ± 6.96 | 51.31 ± 4.47 |
| C10-C40/TH OUT | % | 41.19 ± 6.18 | 51.55 ± 3.79 |
| (a) | LEPH/HEPH | (b) | RS | CS | (c) | LEPH | HEPH |
|---|---|---|---|---|---|---|---|
| RS IN | 0.38 | LEPH OUT/IN | 1.67 | 0.99 | RS/CS IN | 0.63 | 1.91 |
| RS OUT | 0.71 | HEPH OUT/IN | 0.89 | 0.85 | RS/CS OUT | 0.86 | 1.63 |
| CS IN | 1.14 | ||||||
| CS OUT | 1.34 |
| Peak | Sample | MW | Substance |
|---|---|---|---|
| 1 | CS OUT | 202 | methane, benzo, decahydro, cyclodecene |
| 2 | CS OUT | 258 | cyclopenta, hexahydro, hexamethyl, benzopyran |
| 3 | RS OUT | 228 | penta decanol |
| 4 | RS OUT | 256 | hexadecanoic acid |
| 5 | RS OUT | 284 | octadecanoic acid |
| 6 | RS, CS IN | 355 | dihydro, methyl papaverine |
| 7 | RS, CS IN | 398 | octadecanoic acid, dimethyl, dioxolanyl, methyl ester |
| 8 | RS IN | 424 | dodecanoic acid, hexadecyl ester |
| 9 | RS, CS IN | 452 | tetradecanoic acid, hexadecyl ester |
| 10 | RS, CS IN | 480 | hexadecanoic acid, hexadecyl ester |
| 11 | CS IN | 514 | propanoic acid, thio-bis, dodecyl ester |
| 12 | CS IN | 553 | hexadecanoic acid, pentadecyl, dioxanyl ester (trans-) |
Publisher’s Note: MDPI stays neutral with regard to jurisdictional claims in published maps and institutional affiliations. |
© 2022 by the authors. Licensee MDPI, Basel, Switzerland. This article is an open access article distributed under the terms and conditions of the Creative Commons Attribution (CC BY) license (https://creativecommons.org/licenses/by/4.0/).
Share and Cite
De Simone, S.; Di Capua, F.; Pontoni, L.; Giordano, A.; Esposito, G. Impact of Cationic Polyelectrolyte Addition on Mesophilic Anaerobic Digestion and Hydrocarbon Content of Sewage Sludge. Fermentation 2022, 8, 548. https://doi.org/10.3390/fermentation8100548
De Simone S, Di Capua F, Pontoni L, Giordano A, Esposito G. Impact of Cationic Polyelectrolyte Addition on Mesophilic Anaerobic Digestion and Hydrocarbon Content of Sewage Sludge. Fermentation. 2022; 8(10):548. https://doi.org/10.3390/fermentation8100548
Chicago/Turabian StyleDe Simone, Simeone, Francesco Di Capua, Ludovico Pontoni, Andrea Giordano, and Giovanni Esposito. 2022. "Impact of Cationic Polyelectrolyte Addition on Mesophilic Anaerobic Digestion and Hydrocarbon Content of Sewage Sludge" Fermentation 8, no. 10: 548. https://doi.org/10.3390/fermentation8100548
APA StyleDe Simone, S., Di Capua, F., Pontoni, L., Giordano, A., & Esposito, G. (2022). Impact of Cationic Polyelectrolyte Addition on Mesophilic Anaerobic Digestion and Hydrocarbon Content of Sewage Sludge. Fermentation, 8(10), 548. https://doi.org/10.3390/fermentation8100548

