Abstract
Sugarcane bagasse is a potential raw material for microbial lipid production by oleaginous yeasts. Due to the limited sugar concentrations in bagasse hydrolysate, increasing carbon the concentration is necessary in order to improve lipid production. We aimed to increase carbon concentration by incorporating glycerol as a co-substrate into unconcentrated bagasse hydrolysate in the cultivation of Rhodotorula glutinis TISTR 5159. Cultivation in hydrolysate without nitrogen supplementation (C/N = 42) resulted in 60.31% lipid accumulation with 11.45 ± 0.75 g/L biomass. Nitrogen source supplementation increased biomass to 26.29 ± 2.05 g/L without losing lipid accumulation at a C/N of 25. Yeast extract improved lipid production in the hydrolysate due to high growth without altering the lipid content of the cells. Mixing glycerol up to 10% v/v into the unconcentrated hydrolysate improved biomass and lipid production. A further increase in glycerol concentrations drastically decreased growth and lipid accumulation by the yeast. By maintaining C/N at 27 using yeast extract as the sole nitrogen source, hydrolysate mixed with 10% v/v glycerol resulted in the highest lipid yield, at 19.57 ± 0.53 g/L with 50.55% lipid content, which was a 2.8-fold increase compared to using the hydrolysate alone. In addition, yeast extracts were superior for promoting growth and lipid production compared to inorganic nitrogen sources.
Keywords:
sugarcane bagasse; microbial lipids; oleaginous yeast; C/N ratio; glycerol; Rhodotorula; biofuels; biorefinery 1. Introduction
Microbial oils can be used as an alternative feedstock for biodiesel production because they have similar fatty acid compositions to those of plant oils []. Microorganisms that can accumulate more than 20–25% w/w of their total cell weights are considered oleaginous []. The oil from these microorganisms is in triglyceride (TAG) form []. Oleaginous microorganisms can be bacteria, fungi, microalgae, and yeasts []. Many yeast genera possess lipid accumulation abilities, such as Candida spp., Cryptococcus spp., Rhodotorula spp., Trichosporon spp., Lipomyces spp., and Yarrowia spp. [,]. Microbial oil production by yeasts has been of interest due to its advantages, which include limited space requirements, short life cycles, high growth rate and lipid yield, lower effect by season and climate, and ability to use various carbon sources, including low-cost raw materials [,].
Lignocellulosic biomass has been a raw material of choice as a carbon source in microbial lipid production due to its low cost and abundant availability of agricultural waste from the agroindustry [,]. Agricultural wastes, including corn cobs, corn stover, and rice straw, have been studied as raw materials for microbial oil production [,]. Sugarcane bagasse is another agricultural waste that has been studied as a carbon source in microbial lipid production [,]. Oleaginous yeasts like Rhodosporidium toruloides [], Yarrowia lipolytica [], and Rhodotorula glutinis [] have been used to produce lipids from lignocellulosic biomass.
Increasing carbon concentration in cultivation is necessary to improve lipid production, since the sugar concentrations produced from hydrolyzing lignocellulosic waste are constrained, with combined glucose and xylose concentrations ranging from 60 to 115 g/L [,]. A direct approach to increasing the carbon concentration when using lignocellulosic hydrolysate is to increase the hydrolysate concentration. The extent of hydrolysate concentration varied in different studies, ranging from 2-fold concentrated to 7-fold concentrated []. Not only was sugar in the hydrolysate increased, but other components also increased, including inhibitors. A report on the concentration of corncob hydrolysate showed that glucose increased 7-fold, while acetic acid, an inhibitor, concurrently increased from 2.54 g/L to 8.82 g/L []. Likewise, 5-fold concentration of sugarcane bagasse hydrolysate increased the concentrations of acetic acid from 3.33 g/L to 6.47 g/L []. Apart from the increase in inhibitor concentration, which could potentially affect yeast cultivation, concentration by evaporation, which was the most used method, was an energy-intensive process.
Supplementing other carbon sources is another option for increasing carbon concentration in the lignocellulosic hydrolysate. This option is possible due to the ability of oleaginous yeasts to use various substrates, including cellobiose and glycerol []. Glycerol could be a good option, as it is a concentrated carbon source, and there is the possibility of using crude glycerol, which is a by-product of the biodiesel process []. Several oleaginous yeasts have shown the ability to use glycerol, including Rhodosporidiobolus fluvialis [], Candida viswanathii [], and Rhodotorula glutinis [].
Glycerol is high in carbon content without nitrogen. Using it with hydrolysate obtained from lignocellulosic biomass, especially agricultural wastes, enhances the C/N ratio of the media, as the wastes often contain high nitrogen content due to the fertilizers used in modern agriculture []. Several studies have shown that adding glycerol to the hydrolysate of agricultural wastes to increase the C/N ratio, and hence increase carbon source concentration, could improve lipid accumulation and growth of the cells [,]. A study on Cutaneotrichosporon oleaginosum showed that glycerol worked synergistically with glucose to improve lipid accumulation []. In Cryptococcus curvatus, synergistic work between the two substrates was not evident, but when xylose was present, the three substrates worked synergistically to improve lipid accumulation []. Therefore, the effect of mixing glycerol into sugar substrate seems to be dependent on yeast strain.
This study aimed to investigate lipid production by the previously selected strain of Rhodotorula glutinis by using sugarcane bagasse hydrolysate as the prime substrate. Glycerol was used in fermentation to increase the carbon source concentration. We attempted to clarify the effect of the C/N molar ratio on the lipid production of the yeast. The endogenous nitrogen of the hydrolysate was evaluated to determine whether it should be considered in the C/N ratio calculation for the media. As the hydrolysate already contained some nitrogen, with a C/N molar ratio of 42, a series of experiments was carried out, aiming to achieve high lipid accumulation and high yeast growth. The results of this study would suggest a primary cultivation medium for lipid production from lignocellulosic biomass. They would also provide helpful information for the further modification of the cultivation media, such as the use of crude glycerol or yeast autolysate in lipid production from yeast cells.
2. Materials and Methods
2.1. Oleaginous Yeast Strain and Its Propagation
Rhodotorula glutinis TISTR 5159, the oleaginous yeast used in this research, was obtained from Bangkok MIRCEN, Thailand Institute of Scientific and Technological Research. This strain was the most potent strain for lipid production reported in previous research []. The yeast stock was maintained in 30% glycerol at −20 °C. It was propagated to single colonies in YM agar media, which comprised 3.0 g/L of yeast extract, 3.0 g/L of malt extract, 5.0 g/L of peptone, 20 g/L of glucose, and 17 g/L of agar to prepare the yeast for cultivation. The incubation period was 72 h at 30 °C.
2.2. Preparation of Sugarcane Bagasse Hydrolysate
Sugarcane bagasse was from Kumphawapi Sugar Factory, Udonthani, Thailand, during the 2018/19 sugarcane harvesting season. The moisture content of the bagasse was 9.12 ± 0.13%. Sodium hydroxide (NaOH) pretreatment was employed to remove lignin. In a closed container, sugarcane bagasse at 15% (w/v) submerged in 2 M NaOH was heated in an autoclave at 96 °C for 116 min. The solid fraction was washed with tap water until the wash water was approximately pH 7.0. It was then oven-dried at 60 °C. The moisture content of the pretreated bagasse was 0.95 ± 0.22%.
In the hydrolysis step to obtain bagasse hydrolysate, 40 FPU/g of Cellic CTec2 (Novozymes, Copenhagen, Denmark) was used to hydrolyze 15% (w/v) of pretreated bagasse in 0.05 M sodium citrate buffer pH 4.8 []. The mixture was incubated in a water bath at 50 °C with constant mixing for 3 days. The slurry was placed in boiling water for 10 min to stop the reaction. It was filtered through Whatman No.1 filter paper to separate the liquid fraction (hydrolysate). The hydrolysate was stored at −20 °C until used.
Sugarcane bagasse hydrolysate prepared by this procedure consisted of 132.81 ± 2.73 g/L of reducing sugar, in which 93.05 ± 1.20 g/L was glucose and 25.88 ± 2.20 g/L was xylose. The hydrolysate was sent to Central Laboratory (Thailand) Co., Ltd. for its nitrogen content analysis. The company employed AOAC (2019) 981.10 method for the analysis.
2.3. Yeast Cultivation and Media Used for Lipid Production
The inoculum for all cultivations was prepared by inoculating single colonies (<2 weeks old) into 100 mL of YM broth, which consisted of the same composition as explained above but without agar. The culture was incubated at 30 °C with orbital shaking at 200 rpm for 24 h. In a 250-mL baffled Erlenmeyer flask, 10% of the inoculum was transferred into 100 mL of media. The culture was incubated under the same conditions (30 °C with orbital shaking at 200 rpm). The initial cell optical density of the cultures was in the range of 2.162 ± 0.237 to 2.801 ± 0.378.
Three types of cultivation media were used in this study: hydrolysate media, glycerol media, and mixed media. They were prepared by mixing the carbon source (hydrolysate, glycerol, or mixture of hydrolysate and glycerol) with a solution of supplementing ingredients at a volume ratio of 95:5. The supplementing components were NH4Cl, yeast extract, KH2PO4, and MgSO4∙7H2O. The pH of the medium was adjusted to pH 7.5 using NaOH and H2SO4. Cultivations were carried out at 30 °C with orbital shaking at 200 rpm.
2.3.1. Assessing Yeast’s Ability on Glycerol Use
R. glutinis TISTR 5159 was cultured in hydrolysate medium, pure glycerol medium, and hydrolysate mixed with glycerol (70:30 (% v/v)) medium. Glycerol used in this study was analytical grade with 99.5% purity (KA241, Kemaus, Cherrybrook, NSW, Australia). In all media, the C/N, C/P, and C/S molar ratios were adjusted to 42.4, 7854, and 1419, which were the value of non-supplemented hydrolysate. In addition, the concentration of carbon sources in all media was 3.93 molars. The concentration was the combined molar concentrations of glucose and xylose in the hydrolysate.
In the glycerol media and hydrolysate mixed with glycerol media, yeast extract was the primary nitrogen source, with no greater than 1.5 g/L being used. NH4Cl was used as an additional nitrogen source in order to meet the nitrogen requirements for a particular C/N molar ratio.
2.3.2. Varying C/N Molar Ratio in the Hydrolysate-Based Media
(1) Varying C/N molar ratio by considering endogenous nitrogen in the hydrolysate
The C/N molar ratios of the media varied at 17, 25, 42, 51, 81, and 116. The ratio of 42.4 was the C/N ratio of the bagasse hydrolysate without any supplementation. The C/P and C/S molar ratios were adjusted to 7854 and 1419, which were also the values in the non-supplemented hydrolysate. For C/N ratios higher than 42.4, glycerol was mixed with the hydrolysate and supplemented with 1.5 g/L of yeast extract as a nitrogen source. For C/N ratios lower than 42.4, the nitrogen source concentration was adjusted using 1.5 g/L of yeast extract with an appropriate amount of NH4Cl. This media preparation accounted for endogenous nitrogen in the hydrolysate.
(2) Varying the C/N molar ratio without considering endogenous nitrogen in the hydrolysate
This media preparation did not account for endogenous nitrogen in the hydrolysate. The C/N molar ratios of the hydrolysate varied at 8709, 348, 87, 58, and 27. These values corresponded to yeast extract supplemented with the hydrolysate at 0.01, 0.5, 1.0, 1.5, and 3.13 g/L.
2.3.3. Effect of Carbon Source Concentration on Growth and Lipid Production
In this experiment, glycerol was added to the bagasse hydrolysate to increase the carbon concentration in the media. Glycerol was added at 0, 5, 10, 15, 20, and 25% (v/v) of hydrolysate. The values of C/N, C/P, and C/S molar ratios were kept at 27, 7854, and 1419 by using yeast extract, KH2PO4, and MgSO4∙7H2O, respectively. The media were prepared by mixing hydrolysate, glycerol, and a solution of supplementing ingredients depending on the ratio of glycerol used. For example, in the medium with 25% (v/v) glycerol, the mixing volume ratios would be 70:25:5 for hydrolysate, glycerol, and solution of supplementary ingredients.
2.3.4. Varying Types of Nitrogen Sources
The nitrogen sources used in this experiment were analytical-grade yeast extract, urea, diammonium phosphate (DAP), and autolyzed yeast powder (YAP, generic, commercial grade). Hydrolysate and 10% (v/v) glycerol were combined to form a base medium. The nitrogen source was combined with the base medium in an amount that made a C/N ratio of 27. C/P and C/S ratios were adjusted to the values of 7854 and 1419 with KH2PO4, and MgSO4∙7H2O.
2.4. Analytical Methods
The samples were analyzed on the basis of carbon consumption and product formation. Carbon consumption included reducing sugar, glucose, xylose, and glycerol. The products of yeast cultivation included cell biomass and lipid.
The analysis of reducing sugar employed the 3,5-dinitrosalicylic acid method. Glucose, xylose, and glycerol concentrations were analyzed with HPLC (LC-20A, Shimadzu, Kyoto, Japan) equipped with an Aminex HPX-87H column (Bio-Rad, Hercules, CA, USA) and a refractive index detector (RID-6A, Shimadzu, Japan). The column temperature was set to 60 °C. The mobile phase was 5 mM sulfuric acid running at a flow rate of 0.70 mL/min.
Cell biomass was analyzed by drying cell pellets at 105 °C in an oven for at least 16 h until they reached a constant weight. The dried pellets were weighed on an analytical balance, and cell dry weight (g/L) was calculated based on the volume used to prepare the cell pellets.
The lipid content of the yeast cell was determined using the method of Lamers et al. [] with slight modification. Two mL of cell suspension containing 30 mg of dry cells were mixed with 0.5 mL of 50% NaOH. The mixture was incubated at 100 °C for 24 h. After cooling, 1.1 mL of 37% HCl was added to neutralize the content. The lipid was then extracted by adding 5 mL of ethyl acetate to the cell solution. After thorough mixing and phase separation, the top layer was transferred to a separate tube. The lower layer containing cell debris was re-extracted with ethyl acetate for another 2 rounds. The pooled fractions of the top layer were evaporated to remove ethyl acetate by heating at 70 °C in an oven for 24 h and weighed on an analytical balance. Total lipid concentration was the product of lipid content and cell dry weight.
Fatty acid profiles of the lipids were analyzed through FAME analysis by gas chromatography []. A sample was prepared by mixing 5 mg of extracted oil with 1 mL of 2.5% H2SO4 in methanol. The mixture was incubated at 90 °C for 45 min. Then, 1 mL of water and 2 mL of hexane were added and mixed using a vortex mixer for 5 min. After centrifugation at 2000 rpm for 15 min, the upper phase (n-hexane with FAMEs) was transferred to another tube for analysis. Analysis FAMEs in hexane was performed in GC (7890B GCGC-2014, Agilent Technologies Shimadzu, Japan) equipped with a flame ionization detector (FID). A capillary column (106273, Stabilwax Column, Restek, Bellefonte, PA, USA) was used in the analysis. The temperature of the detector and injector was 250 °C. The temperature cycle of the oven started at 150 °C, then raised to 240 °C at 5 °C/min, then held for 15 min. Helium was the carrier gas with constant pressure at 11 psi. The sample injection volume was 1 µL (split ratio 20:1). The FAME standard used was Marine Oil FAME Mix (Cat. No. 35066, Restek, USA).
3. Results and Discussion
3.1. Comparing Lipid Production by R. glutinis TISTR 5159 in Bagasse Hydrolysate and Glycerol
3.1.1. Growth, Substrate Consumption, and Lipid Production
Glycerol is a carbon source that oleaginous yeast can use in addition to sugars. This part of the study investigated the growth and lipid production performance of R. glutinis TISTR 5159 when cultured in hydrolysate, pure glycerol, and the mixture of hydrolysate and glycerol at 7:3 by volume (mixed medium). All media used had the fixed carbon (C) mole at 3.93 mol, which was equivalent to that in the bagasse hydrolysate. The C/N, C/P, and C/S molar ratios of glycerol and mixed media were adjusted to the same value at 42.4, 7854, and 1419. These values were equivalent to those in the hydrolysate.
The results in Table 1 show that R. glutinis TISTR 5159 has the potential to use glycerol for growth and lipid production. However, compared to hydrolysate, glycerol medium resulted in inferior growth and lipid production. When glycerol was used as the sole carbon source, the concentration of biomass and lipid content was reduced by half.
Table 1.
Cell dry weight, lipid content, and lipid concentration when culturing R. glutinis TISTR 5159 in hydrolysate (HDL), glycerol (GLY) and hydrolysate mix with glycerol (HDL + GLY) at 30 °C with orbital shaking at 200 rpm for 144 h.
In the medium where hydrolysate and glycerol were mixed, the final biomass concentration was 60% higher when compared to that using the hydrolysate alone. Lipid content also increased by 26.7%, leading to higher lipid production. Enhanced growth and lipid production in mixed medium were also reported in Rhodosporidiobolus fluvialis DMKU-SP314 [].
By monitoring changes in carbon sources (sugars in hydrolysate and glycerol), it was evident that the fermentation did not complete after 144 h (Figure 1). Regardless of the incomplete use of carbon sources, the obtained data indicate some key fermentation characteristics. Consumption of glucose, xylose, and glycerol occurred simultaneously. Without the addition of any nitrogen source, R. glutinis TISTR 5159 used more than half of the sugars in the hydrolysate within 144 h (Table 2). In glycerol medium and mixed medium, in which the C/N, C/P, and C/S ratios were adjusted to the desired values, the carbon source consumption rates (as indicated by the slopes in Figure 1 had similar patterns and were not much different. Low growth and lipid production in glycerol medium was due to low glycerol consumption, as specified in Table 2. In a mixed hydrolysate–glycerol medium, the yeast benefited from better consumption of sugars and glycerol, resulting in higher growth and lipid production, as mentioned earlier.
Figure 1.
Sugars and glycerol profiles in cultivation of R. glutinis 5159 in hydrolysate (HDL), glycerol (GLY) and hydrolysate mixed with glycerol (HDL + GLY).
Table 2.
Carbon use, yield of lipid and cell when cultivation of R. glutinis 5159 in hydrolysate (HDL), glycerol (GLY) and hydrolysate mix with glycerol (HDL+GLY) at 30 °C with orbital shaking at 200 rpm for 144 h.
Although similar carbon source use was evident in the hydrolysate and mixed media, growth and lipid yield based on carbon source concentrations was highest in mixed media. Distinctly higher lipid yield in the mediums containing hydrolysate sugars and glycerol could be the synergistic results of the two substrates. According to the lipid synthesis pathway, triglyceride synthesis requires Acyl-CoA and glycerol 3-phosphate (G-3-P), synthesized from sugars [,]. If glycerol is present as a substrate, it can directly enter the pathway to form G-3-P. Direct glycerol assimilation can leave the G-3-P in the glycolysis pathway to form pyruvate and Acyl-CoA in the subsequent stage. These results reveal a positive effect of glycerol as a supplement to the hydrolysate media that could be helpful in upcoming experiments aimed at increasing the carbon sources in sugarcane bagasse hydrolysate medium in order to increase microbial lipid production.
This experiment was designed such that the medium’s C/N ratio was the same, at 42, by considering the nitrogen content in the hydrolysate (In + Ex in Table 2). We expected the lipid accumulation to be the same, as a result of the similar C/N ratio. Due to these unanticipated results, we recalculated the C/N ratio based only on the external nitrogen source supplied (Ex in Table 2). The results were as expected: lipid accumulation (content) increased with increasing C/N ratio [,,]. In addition to high lipid accumulation, high cell growth was another requirement in producing lipids at high concentrations. Enough nitrogen sources were essential for growth []. Separate experiments in the next section investigate the effects of the C/N ratio, both accounting for and not accounting for nitrogen in the hydrolysate.
3.1.2. Lipid Profiles from Different Carbon Sources
The fatty acid compositions obtained from the fermentation of R. glutinis 5159 in media with different carbon sources showed that palmitic acid (C16:0) and 18-atom carbon fatty acids accounted for the majority of fatty acids (Table 3). Oleic acid (C18:1) was the main fatty acid found in the cultivation of sugar-based substrate (bagasse hydrolysate), followed by palmitic acid (C16:0). Both fatty acids constituted over 80% of the fatty acids in the lipid product. These results were similar to those reported in Rhodotorula paludigena CM33 and Rhodotorula glutinis R4 [,].
Table 3.
Fatty acid composition of lipids when cultivated from R. glutinis 5159 in hydrolysate, glycerol, and hydrolysate mixed with glycerol at 30 °C with orbital shaking at 200 rpm for 144 h.
The distribution of fatty acids in the yeast changed when cultivated in glycerol media. While the palmitic acid (C16:0) content remained similar to that in the sugar-based medium, the distribution of fatty acids with 18-atom carbon was different. Approximately half of the oleic acid (C18:1) shifted into linoleic acid (C18:2). More alpha-linolenic acid (C18:3) was produced, while stearic acid (C18:0) decreased by half. The increasing and decreasing values of the C18:3 and C18:0 seemed to be related. An increase in the linoleic acid fraction in the lipid when cultivated in glycerol media has also been reported in other Rhodotorula spp. [].
In the mixed hydrolysate–glycerol medium, the distribution of the fatty acids was between those of both sugars and glycerol substrates. Lower fractions of oleic acid (C18:1) with higher fractions of linoleic acid (C18:2) and alpha-linolenic acid (C18:3) were evident when compared with those of the sugar-based medium. The percentages of the three fatty acids were closer to those of the hydrolysate medium and could occur as a result of higher sugar use compared with the glycerol used (Table 2). It is important to note that the lipid for biodiesel production should ideally contain a high proportion of palmitic acid (C16:0), stearic acid (C18:0), oleic acid (C18:1), and linoleic acid (C18:2) with suitable amounts of polyunsaturated fatty acids [].
The fatty acid profiles in Table 3 were used to estimate the main physicochemical fuel properties of biodiesels from microbial lipids produced from different substrates using the online program BiodieselAnalyzer© (http://brteam.org/biodieselanalyzer accessed on 12 May 2022). The estimated properties presented in Table 4 are given alongside a comparison with the EN14212 standard for FAME used in Europe.
Table 4.
Biodiesel properties estimated by BiodieselAnalyzer© program using fatty acid profiles of the lipid from R. glutinis 5159 cultivated in hydrolysate, glycerol, and hydrolysate mixed with glycerol media.
The fatty acid types in FAME followed the fatty acid profiles reported in Table 3, where SFA was similar regardless of the media used in lipid production. FAME from lipids produced when the culture media contained glycerol tended to result in a higher fraction of PUFA. For the regulated properties, FAME from the microbial lipids produced from all media met the standard required, except that derived from glycerol medium, where the oxidation stability (OS) was lower than the specification, regardless of the iodine value (IV) within the standard. Iodine value is a measure of unsaturated oils and fats. Although it could have some relation to oxidative stability, no direct relationship was confirmed []. Another point of note is the cetane number (CN). Although the estimated values of CN from all lipid origins complied with the standard, the value derived from lipids from glycerol medium just passed the lower value of 51. It has been claimed that high SFA in FAME results in high CN []. However, the difference in this study seemed to be the different fraction of unsaturated fatty acids, causing lower CN values in FAME obtained from glycerol-derived lipids.
3.2. Effect of C/N Molar Ratio on Growth and Overall Lipid Production by R. glutinis TISTR 5159
This part of the study investigated the varying C/N molar ratio in the media using two approaches. In the first approach, the C/N molar ratio calculation included endogenous nitrogen in the hydrolysate. The C/N molar ratio varied at values higher and lower than 42, which was the value of the non-supplemented hydrolysate, by adding nitrogen sources (to decrease C/N) and/or glycerol (to increase C/N). In the second approach, the C/N molar ratio calculation excluded the endogenous nitrogen of the hydrolysate. The ratios were calculated based on the addition of yeast extract to the hydrolysate.
3.2.1. Varying C/N Molar Ratio by Adding Nitrogen Sources or Glycerol (Accounting for Endogenous Nitrogen in the Hydrolysate)
In this experiment, the C/N molar ratio calculation included the endogenous nitrogen in the hydrolysate. The hydrolysate was the base medium with its C/N ratio of 42 as the base (central) value. The results in Figure 2 show the importance of the amount of nitrogen in lipid production. By adding nitrogen sources (lower C/N ratios), higher cell concentrations of 30.77 ± 0.27 g/L and 26.29 ± 2.05 g/L resulted (Figure 2a). While too much nitrogen diminished the lipid accumulation (Figure 2b), a suitable amount balanced cell growth and lipid accumulation, resulting in a high overall lipid production of 14.83 ± 1.94 g/L (Figure 2c).
Figure 2.
Cell dry weight (a), lipid content (b) and lipid concentration (c) when culturing R. glutinis TISTR 5159 in hydrolysate with different C/N molar ratios adjusted by addition of nitrogen sources (YE/NH4Cl) or glycerol (G), where C/N of 42 represents the hydrolysate (H). Numbers in front of the letters indicate the mixing volume ratio of hydrolysate and glycerol in the media. Different letters above the bars indicated significant differences in mean values at 95% confidence level.
Increasing C/N ratios by adding glycerol decreased the lipid production of the yeast (Figure 2c). The decrease was the result of lower lipid accumulation and cell growth (Figure 2a,b). The carbon source use results in Table 5 showed that poor carbon source use could inevitably cause the low cell dry weight and lipid production. Increasing in volume fraction of glycerol markedly increased the carbon source concentration. While overall glycerol use was similar at around 58 g/L, lesser glucose and xylose were used during the 10-day fermentation period. The smaller use of glucose and xylose at high carbon source concentrations due to glycerol was an indication of substrate inhibition on substrate uptake, which was also reported in Cryptococcus curvatus, Rhodotorula minuta, R. glutinis and Trichosporon oleaginosus [,,]. Although studies on glycerol uptake in non-Saccharomyces yeast strains have not been well established [], the glycerol uptake in R. glutinis TISTR 5159 could be constitutive through an active-transport system to ensure that the cells maintain their integrity by balancing the intracellular osmolarity against the environment [].
Table 5.
Carbon source use, lipid yield and cell yield when cultivating R. glutinis TISTR 5159 for a maximum of 10 days in the bagasse hydrolysate with C/N molar ratio adjusted by adding yeast extract and NH4Cl or glycerol.
The lipid yields shown in Table 5 follow the same trends as the lipid content (Figure 2b). The values were the highest when C/N molar ratios were between 25 and 51, the values accounting for nitrogen in the hydrolysate (In + Ex). The biomass yields clearly showed higher values when higher fractions of nitrogen than carbon sources were supplied or present in the media. For the hydrolysate, although the lipid content, lipid yield, and cell yield were comparable to those with added nitrogen sources, low cell growth resulted in low lipid production. These results emphasize the need for the addition of a nitrogen source to achieve high lipid production.
Based on the above conclusion, C/N molar ratios were re-calculated to use only the nitrogen from the added sources in the calculation. The revised values ranged from 28 to 232 (Ex in Table 5). According to these newly calculated values, suitable C/N molar ratios for lipid production by R. glutinis TISTR 5159 are between 61 and 118. However, the degree of carbon source use should be determined carefully, as worse carbon use occurs at higher C/N ratios.
The fatty acid content of the lipid produced in different media (Figure 3) showed similar profiles when hydrolysate was the sole carbon source, with oleic acid (C18:1) being the major fatty acid. With added glycerol, more stearic acid (C18:0) was produced, with a lesser fraction of oleic acid present. Linoleic acid (C18:2) increased slightly as glycerol fraction increased.
Figure 3.
Fatty acid profiles when culturing R. glutinis TISTR 5159 in media with different C/N molar ratios based on addition of nitrogen sources (YE/NH4Cl) or glycerol (G), where the central value (42) represents C/N in the hydrolysate (H). Numbers in front of the letters indicate the mixing volume ratio of the hydrolysate and glycerol in the media.
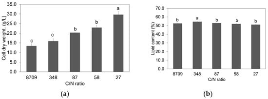
3.2.2. Vary C/N Ratio of Hydrolysate Medium by Adding Yeast Extract
In this experiment, the calculations for the C/N molar ratios of hydrolysate did not include the nitrogen already present in the hydrolysate. Since the results in Section 3.2.1 suggested that adding a nitrogen source was necessary to support good growth for better lipid production, the C/N molar ratio of the hydrolysate media was varied by adding different amounts of yeast extract (yeast extract contained 0.043 mol/g of nitrogen).
The results in Figure 4a show increases in cell growth with decreasing C/N molar ratio (more nitrogen added). The highest biomass of 29.64 ± 1.61 g/L resulted in a medium with a C/N ratio of 27. The lipid contents remained relatively unchanged over the range of the C/N ratios used in this study, where the values were between 51.62 ± 0.87%–54.61 ± 0.71% (Figure 4b). As a result of high biomass and lipid content, the highest lipid production was at a C/N ratio of 27, where the lipid obtained was 15.17 ± 0.60 g/L (Figure 4c).

Figure 4.
Cell dry weight (a), lipid content (b), and lipid concentration (c) when culturing R. glutinis TISTR 5159 in bagasse hydrolysate with different C/N molar ratios obtained by adding yeast extract. Different letters above the bars indicated significant differences in mean values at 95% confidence level.
The high cell and lipid concentrations obtained from the C/N molar ratio of 27 were clearly due to the complete use of carbon sources (glucose and xylose) in the hydrolysate (Table 6). In addition, lipid and biomass yields also increased with an increasing amount of yeast extract used.
Table 6.
Carbon source use, lipid yield and cell yield when cultivating R. glutinis TISTR 5159 for a maximum of 10 days in the bagasse hydrolysate with C/N molar ratio adjusted by adding yeast extract.
The results of this part of the study contradict those reported by many studies. High lipid accumulation generally occurs in media with high C/N ratios for many oleaginous yeasts, including Trichosporon dermatis 32903, Rhodosporidium toruloides DSMZ 4444, Lipomyces starkeyi where the values of the ratios ranged between 72 and 140 [,,]. Regardless of the general suggestion of high lipid accumulation under high-C/N conditions, our results concurred with another report using R. glutinis BCRC 22360 cultivated under a C/N of 30, where 58.5% lipid accumulation occurred [].
As we were interested in obtaining a high lipid concentration in this study, high lipid content had to be achieved alongside a high cell concentration. The yeast required a high enough nitrogen source to achieve better growth. We speculated that high lipid accumulation at low C/N ratios (high nitrogen) was due to the significant requirement of a nitrogen source for cell growth. Ammonia is the end-product of all of the nitrogen sources available to the yeast cells, and acts as an intermediate between degradative and biosynthetic pathways []. Higher cell growth in media with a high nitrogen source could cause the nitrogen supplied in the media to plummet to the point where the cells need to produce ammonia through the lipid accumulation pathway. In this pathway, citrate was relocated to outside the mitochondria and produced malate, which was transported back into the mitochondria to complete the TCA cycle [].
In terms of fatty acid composition, since hydrolysate was the sole carbon source in the cultivation, the fatty acid profiles from all conditions followed the same pattern (Figure 5). Oleic acid (C18:1) was the major fatty acid contributing 40.4–45.0%, followed by palmitic acid (C16:0) at 20.0–30.9%. Smaller but distinct fractions of other fatty acids included stearic acid (C18:0) at 10.9–14.9% and linoleic acid (C18:2) at 8.7–11.4%.
Figure 5.
Fatty acid profiles of lipids obtained from culturing R. glutinis TISTR 5159 in bagasse hydrolysate with different C/N molar ratios obtained from varying amount of yeast extract in the media.
3.3. Effect of Increasing Carbon Source Concentration by Addition of Glycerol on Lipid Production
As we were interested in using sugarcane bagasse hydrolysate in its original form, i.e., with no concentration, glycerol was investigated as a potential co-substrate for increasing lipid production by R. glutinis TISTR 5159. The results in Table 5 indicate that glycerol could be a potential substrate with a suitable amount of nitrogen and culture conditions. For the cultivation, the base medium was bagasse hydrolysate, with up to 25% v/v glycerol added to increase the carbon source concentration. The C/N molar ratio was adjusted using yeast extract to obtain a value of 27, which was the value that resulted in high growth and lipid production according to the previous section.
The results in Figure 6 demonstrated that adding glycerol to increase the carbon source concentration improved the growth and lipid production by the yeast. The lipid concentration increased from 11.35 ± 1.27 g/L with no glycerol to 16.65 ± 0.00 g/L and 19.57 ± 0.53 g/L when the hydrolysate was mixed with 5% and 10% v/v of glycerol. However, the hydrolysate mixed with over 10% v/v of glycerol worsened lipid production (Figure 6c). The decrease in lipid production was the combined result of lower cell growth and lipid content in the cell, as demonstrated in Figure 6a,b.
Figure 6.
Cell dry weight (a), lipid content (b) and lipid concentration (c) when culturing of R. glutinis TISTR 5159 in hydrolysate at a C/N molar ratio of 27 while varying the carbon concentration using glycerol at 30 °C with orbital shaking at 200 rpm. Different letters above the bars indicated significant differences in mean values at 95% confidence level.
In this part of the study, the amount of the nitrogen source (yeast extract) was proportional to the increased carbon source. Reduced growth at high glycerol, as indicated by a decrease in cell yield (Table 7), was most likely due to an inhibition effect caused by high osmotic pressure resulting from high substrate concentrations in the media. The carbon source profiles in Figure 7 also reflect this point. Faster sugar use was evident in the media with a lower mix of glycerol. Although glucose was exhausted in all media, xylose remained in the medium with the highest glycerol. The inhibition effect was also reported in Trichosporon fermentans and Rhodosporidium paludigenum [,]. In addition, mixing the hydrolysate with glycerol also diluted any possible inhibitors present in the hydrolysate and reduced their effect on the yeast growth. Lower lipid accumulation (lipid content) in the cells could indicate that the cells needed carbon sources for cell maintenance, since the cell and lipid yields decreased as the percentage of glycerol in the media increased (Table 7 and Figure 7).
Table 7.
Carbon source use, lipid yield and cell yield when cultivating R. glutinis TISTR 5159 for 8 days in the bagasse hydrolysate mixed with glycerol at C/N molar ratio of 27.
Figure 7.
Profiles of carbon sources used in cultivation of R. glutinis TISTR 5159 in bagasse hydrolysate mixed with various amount of glycerol.
Glycerol use notably appeared unaffected by high substrate concentration, except at a very high concentration, with 25% glycerol mixed with the hydrolysate. The profiles in Figure 7c showed an almost identical trend in glycerol use. Although simultaneous glycerol use to sugar use was evident, the use rate (as indicated by the slopes) was faster when sugars were depleted or near depletion.
Following the results on lipid production, mixing 10% v/v of glycerol with the bagasse hydrolysate was the most appropriate mixture, as it resulted in the highest lipid production. Although glycerol use was not complete, there was the possibility of enhancing the glycerol use, and hence lipid production, when upscaling with an appropriate aeration instrument.
The fatty acid composition of lipids produced by R. glutinis TISTR 5159 from hydrolysate mixed with glycerol under the C/N molar ratio of 27 is reported in Figure 8. Increasing the amount of glycerol in the media resulted in a decrease in oleic acid (C18:1) with a proportional increase in linoleic acid (C18:2).
Figure 8.
Fatty acid profiles when culturing R. glutinis TISTR 5159 in sugarcane bagasse hydrolysate mixed with various amount of glycerol.
3.4. Growth and Lipid Production of R. glutinis TISTR 5159 in Different Nitrogen Sources
This part of the study aimed to evaluate common nitrogen sources for lipid production by the yeast R. glutinis TISTR 5159. Nitrogen sources investigated included AR-grade yeast extract (YE (AR), RM027, Himedia, Maharashtra, India), urea (U6006-1-0500, QReC, New Zealand), diammonium phosphate (DAP, U3008-1-0500, QreC, New Zealand), ammonium chloride (NH4Cl, KA32, Kemaus, Cherrybrook, NSW, Australia), and commercial grade autolyzed yeast powder (AYP). The carbon sources in the media were sugarcane bagasse hydrolysate mixed with 10% v/v of glycerol. A medium had the C/N molar ratio adjusted to 27 by adding an appropriate among of each nitrogen source.
The results shown in Figure 9 demonstrate that nitrogen sources in the media affected the growth and lipid production of R. glutinis TISTR 5159. Organic nitrogen sources, i.e., YE (AR) and AYP, resulted in significantly higher growth, lipid accumulation, and overall lipid production when compared with inorganic nitrogen sources in the study. When using AYP and YE (AR), the highest cell concentrations of 41.98 ± 0.17 g/L and 38.03 ± 0.35 g/L resulted. Organic nitrogen sources were more suitable for growth under nitrogen limitation conditions as they contained some amino acids and vitamins that helped support cell growth [,].
Figure 9.
Cell dry weight (a), lipid content (b) and lipid concentration (c) when culturing R. glutinis TISTR 5159 in bagasse hydrolysate mixed with 10% glycerol at C/N molar ratio of 27 in different nitrogen sources for 192 h. Different letters above the bars indicated significant differences in mean values at 95% confidence level.
Nitrogen sources also affected lipid content (Figure 9b). Using yeast extract (AR) resulted in the highest lipid content of 45.90 ± 2.29% (w/w). The lipid content from using AYP was close and insignificantly different from its organic counterpart at 44.72 ± 0.58% (w/w). However, when using urea and inorganic nitrogen sources, the lipid contents were significantly lower, ranging from 36.02% to 39.62%.
Lipid production followed the trend of cell dry weight, where using YE (AR) and AYP resulted in the highest lipid production of 17.45 ± 0.71 g/L and 18.77 ± 0.32 g/L (Figure 9c). Significantly lower lipid was evident when using urea and inorganic nitrogen sources with concentrations of 15.00 ± 0.92 g/L and lower.
In addition to the fermentation performance, the cost of nitrogen sources required for the fermentation was also evaluated. The estimation was based on the retail price of the nitrogen sources purchased for use in this study, the amount used, and the resulting lipid obtained from the fermentation. The results in Table 8 reveal that DAP was the most expensive nitrogen source, while urea was the cheapest per gram of lipid produced.
Table 8.
Comparing the cost of nitrogen sources for lipid production.
The higher cost with AYP as the nitrogen source was due to the much higher amount used to obtain the desired nitrogen level in the media. AYP used in this experiment was the autolyzed yeast with cell debris. A much higher amount was required to obtain the same nitrogen content as the AR-grade yeast extract.
Regardless of the lower cost per gram of lipid when using urea as the nitrogen source, we selected the AR-grade yeast extract as the promising nitrogen source. The reason for choosing AR-grade yeast extract was that there could be a future replacement of this nitrogen source. With the promotion of a bio- and circular economy, waste yeast from breweries or bioethanol plants could be reused or even made into yeast extract to replace AR-grade yeast extract.
4. Conclusions
Glycerol addition was a promising way of improving microbial lipid production from unconcentrated sugarcane bagasse hydrolysate by oleaginous yeast. The endogenous nitrogen content of the hydrolysate was able to support cell growth and lipid production, but to a limited extent. For R. glutinis TISTR 5159, high lipid accumulation (content) was achieved over a wide range of C/N ratios. Therefore, high growth was essential to achieving high lipid production, which was possible by cultivation in a medium with a high concentration of organic nitrogen (low C/N ratio). Glycerol addition at 10% v/v of the unconcentrated hydrolysate supplemented with yeast extract increased lipid production by 2.8-fold.
Author Contributions
Conceptualization, M.B.K. and A.R.; Formal analysis, M.N. and M.B.K.; Funding acquisition, M.B.K., S.A. and A.R.; Investigation, M.N.; Methodology, M.N. and M.B.K.; Resources, A.R.; Supervision, M.B.K.; Writing—original draft, M.N.; Writing—review and editing, M.B.K. All authors have read and agreed to the published version of the manuscript.
Funding
This research work is financially supported by Research and Graduate Studies, Khon Kaen University (grant number RP64-8-001). Ngamsirisomsakul received her educational financial support from the Graduate School, Khon Kaen University (grant number 612T227). Additional support from the Thailand Science Research and Innovation (TISRI) Senior Research Scholar (grant number RTA6280001) is appreciated.
Institutional Review Board Statement
Not applicable.
Informed Consent Statement
Not applicable.
Data Availability Statement
The data presented in this study are available on request from the corresponding author.
Conflicts of Interest
The authors declare no conflict of interest.
References
- Xu, Y.; Wang, X.; Li, Z.; Cheng, S.; Jiang, J. Potential of food waste hydrolysate as an alternative carbon source for microbial oil synthesis. Bioresour. Technol. 2022, 344, 126312. [Google Scholar] [CrossRef] [PubMed]
- Ratledge, C. Microorganisms for lipids. Acta Biotechnol. 1991, 11, 429–438. [Google Scholar] [CrossRef]
- Vicente, G.; Bautista, L.F.; Rodríguez, R.; Gutiérrez, F.J.; Sádaba, I.; Ruiz-Vázquez, R.M.; Torres-Martínez, S.; Garre, V. Biodiesel production from biomass of an oleaginous fungus. Biochem. Eng. J. 2009, 48, 22–27. [Google Scholar] [CrossRef]
- Tomás-Pejó, E.; Morales-Palomo, S.; González-Fernández, C. Microbial lipids from organic wastes: Outlook and challenges. Bioresour. Technol. 2021, 323, 124612. [Google Scholar] [CrossRef] [PubMed]
- Kamineni, A.; Shaw, J. Engineering triacylglycerol production from sugars in oleaginous yeasts. Curr. Opin. Biotechnol. 2020, 62, 239–247. [Google Scholar] [CrossRef] [PubMed]
- Ali, S.S.; Al-Tohamy, R.; Mahmoud, Y.A.G.; Kornaros, M.; Sun, S.; Sun, J. Recent advances in the life cycle assessment of biodiesel production linked to azo dye degradation using yeast symbionts of termite guts: A critical review. Energy Rep. 2022, 8, 7557–7581. [Google Scholar] [CrossRef]
- Zhang, L.; Lee, J.T.E.; Ok, Y.S.; Dai, Y.; Tong, Y.W. Enhancing microbial lipids yield for biodiesel production by oleaginous yeast Lipomyces starkeyi fermentation: A review. Bioresour. Technol. 2022, 344, 126294. [Google Scholar] [CrossRef] [PubMed]
- Ryu, B.-G.; Kim, J.; Kim, K.; Choi, Y.-E.; Han, J.-I.; Yang, J.-W. High-cell-density cultivation of oleaginous yeast Cryptococcus curvatus for biodiesel production using organic waste from the brewery industry. Bioresour. Technol. 2013, 135, 357–364. [Google Scholar] [CrossRef]
- Sun, F.; Gu, Z.; Zhou, Q.; Sun, H.; Luo, J.; Liu, Z.; Guo, S.; Ren, H.; Zhang, Z.; Strong, P.J. Highly efficient microbial lipid synthesis from co-fermentation of enzymatic hydrolysate of sugarcane bagasse by a Trichosporon dermatis mutant. Ind. Crops Prod. 2021, 171, 113975. [Google Scholar] [CrossRef]
- Ivančić Šantek, M.; Grubišić, M.; Galić Perečinec, M.; Beluhan, S.; Šantek, B. Lipid production by Mortierella isabellina from pretreated corn cobs and effect of lignocellulose derived inhibitors on growth and lipid synthesis. Process Biochem. 2021, 109, 46–58. [Google Scholar] [CrossRef]
- Yu, Y.; Yu, J.; Wang, Z.; Yuan, X.; Chen, X.; Zhai, R.; Xu, Z.; Jin, M. Development of DLC and DLCA pretreatments with alkalis on rice straw for high titer microbial lipid production. Ind. Crops Prod. 2021, 72, 114086. [Google Scholar] [CrossRef]
- Vasaki, M.; Sithan, M.; Ravindran, G.; Paramasivan, B.; Ekambaram, G.; Karri, R.R. Biodiesel production from lignocellulosic biomass using Yarrowia lipolytica. Energy Convers. Manag. X 2022, 13, 100167. [Google Scholar] [CrossRef]
- Liu, Z.; Fels, M.; Dragone, G.; Mussatto, S.I. Effects of inhibitory compounds derived from lignocellulosic biomass on the growth of the wild-type and evolved oleaginous yeast Rhodosporidium toruloides. Ind. Crops Prod. 2021, 170, 113799. [Google Scholar] [CrossRef]
- Deeba, F.; Kiran Kumar, K.; Ali Wani, S.; Kumar Singh, A.; Sharma, J.; Gaur, N.A. Enhanced biodiesel and β-carotene production in Rhodotorula pacifica INDKK using sugarcane bagasse and molasses by an integrated biorefinery framework. Bioresour. Technol. 2022, 351, 127067. [Google Scholar] [CrossRef]
- Yook, S.D.; Kim, J.; Gong, G.; Ko, J.K.; Um, Y.; Han, S.O.; Lee, S. High-yield lipid production from lignocellulosic biomass using engineered xylose-utilizing Yarrowia lipolytica. GCB Bioenergy 2020, 12, 670–679. [Google Scholar] [CrossRef]
- Yu, Y.; Xu, Z.; Chen, S.; Jin, M. Microbial lipid production from dilute acid and dilute alkali pretreated corn stover via Trichosporon dermatis. Bioresour. Technol. 2020, 295, 122253. [Google Scholar] [CrossRef] [PubMed]
- Dai, L.; Jiang, W.; Zhou, X.; Xu, Y. Enhancement in xylonate production from hemicellulose pre-hydrolysate by powdered activated carbon treatment. Bioresour. Technol. 2020, 316, 123944. [Google Scholar] [CrossRef] [PubMed]
- Bansal, N.; Dasgupta, D.; Hazra, S.; Bhaskar, T.; Ray, A.; Ghosh, D. Effect of utilization of crude glycerol as substrate on fatty acid composition of an oleaginous yeast Rhodotorula mucilagenosa IIPL32: Assessment of nutritional indices. Bioresour. Technol. 2020, 309, 123330. [Google Scholar] [CrossRef]
- Polburee, P.; Limtong, S. Economical lipid production from crude glycerol using Rhodosporidiobolus fluvialis DMKU-RK253 in a two-stage cultivation under non-sterile conditions. Biomass Bioenergy 2019, 138, 105597. [Google Scholar] [CrossRef]
- Guerfali, M.; Ayadi, I.; Sassi, H.-E.; Belhassen, A.; Gargouri, A.; Belghith, H. Biodiesel-derived crude glycerol as alternative feedstock for single cell oil production by the oleaginous yeast Candida viswanathii Y-E4. Ind. Crops Prod. 2020, 145, 112103. [Google Scholar] [CrossRef]
- Aristya, G.R.; Lin, Y.J.; Chang, J.S.; Chang, J.J.; Yen, H.W. Polyhydroxybutyrate (PHB) production from crude glycerol by genetic engineering of Rhodotorula glutinis. Bioresour. Technol. Rep. 2022, 18, 101048. [Google Scholar] [CrossRef]
- Huang, X.; Wang, Y.; Liu, W.; Bao, J. Biological removal of inhibitors leads to the improved lipid production in the lipid fermentation of corn stover hydrolysate by Trichosporon cutaneum. Bioresour. Technol. 2011, 102, 9705–9709. [Google Scholar] [CrossRef] [PubMed]
- Poontawee, R.; Yongmanitchai, W.; Limtong, S. Lipid production from a mixture of sugarcane top hydrolysate and biodiesel-derived crude glycerol by the oleaginous red yeast, Rhodosporidiobolus fluvialis. Process Biochem. 2018, 66, 150–161. [Google Scholar] [CrossRef]
- Gong, Z.; Zhou, W.; Shen, H.; Zhao, Z.K.; Yang, Z.; Yan, J.; Zhao, M. Co-utilization of corn stover hydrolysates and biodiesel-derived glycerol by Cryptococcus curvatus for lipid production. Bioresour. Technol. 2016, 219, 552–558. [Google Scholar] [CrossRef] [PubMed]
- Gong, Z.; Zhao, M.; He, Q.; Zhou, W.; Tang, M.; Zhou, W. Synergistic effect of glucose and glycerol accelerates microbial lipid production from low-cost substrates by Cutaneotrichosporon oleaginosum. Biomass Convers. Biorefinery 2022. [Google Scholar] [CrossRef]
- Ngamsirisomsakul, M.; Reungsang, A.; Kongkeitkajorn, M.B. Assessing oleaginous yeasts for their potentials on microbial lipid production from sugarcane bagasse and the effects of physical changes on lipid production. Bioresour. Technol. Rep. 2020, 14, 100650. [Google Scholar] [CrossRef]
- Kongkeitkajorn, M.B.; Sae-Kuay, C.; Reungsang, A. Evaluation of Napier Grass for Bioethanol Production through a Fermentation Process. Processes 2020, 8, 567. [Google Scholar] [CrossRef]
- Lamers, D.; Van Biezen, N.; Martens, D.; Peters, L.; van de Zilver, E.; Dreumel, N.J.-V.; Wijffels, R.H.; Lokman, C. Selection of oleaginous yeasts for fatty acid production. BMC Biotechnol. 2016, 16, 45. [Google Scholar] [CrossRef]
- Do Yook, S.; Kim, J.; Woo, H.M.; Um, Y.; Lee, S. Efficient lipid extraction from the oleaginous yeast Yarrowia lipolytica using switchable solvents. Renew. Energy 2019, 132, 61–67. [Google Scholar] [CrossRef]
- Jin, M.; Slininger, P.J.; Dien, B.S.; Waghmode, S.; Moser, B.R.; Orjuela, A.; da Costa Sousa, L.; Balan, V. Microbial lipid-based lignocellulosic biorefinery: Feasibility and challenges. Trends Biotechnol. 2015, 33, 43–54. [Google Scholar] [CrossRef]
- Patel, A.; Sindhu, D.K.; Arora, N.; Singh, R.P.; Pruthi, V.; Pruthi, P.A. Bioresource Technology Biodiesel production from non-edible lignocellulosic biomass of Cassia fistula L. fruit pulp using oleaginous yeast Rhodosporidium kratochvilovae. Bioresour. Technol. 2015, 197, 91–98. [Google Scholar] [CrossRef] [PubMed]
- Gosalawit, C.; Imsoonthornruksa, S.; Gilroyed, B.H.; Mcnea, L.; Boontawan, A.; Ketudat-Cairns, M. The potential of the oleaginous yeast Rhodotorula paludigena CM33 to produce biolipids. J. Biotechnol. 2021, 329, 56–64. [Google Scholar] [CrossRef]
- da Cunha Abreu Xavier, M.; Teixeira Franco, T. Obtaining hemicellulosic hydrolysate from sugarcane bagasse for microbial oil production by Lipomyces starkeyi. Biotechnol. Lett. 2021, 43, 967–979. [Google Scholar] [CrossRef] [PubMed]
- Martínez-Moreno, R.; Morales, P.; Gonzalez, R.; Mas, A.; Beltran, G. Biomass production and alcoholic fermentation performance of Saccharomyces cerevisiae as a function of nitrogen source. FEMS Yeast Res. 2012, 12, 477–485. [Google Scholar] [CrossRef] [PubMed]
- Maza, D.D.; Viñarta, S.C.; Su, Y.; Guillamón, J.M.; Aybar, M.J. Growth and lipid production of Rhodotorula glutinis R4, in comparison to other oleaginous yeasts. J. Biotechnol. 2020, 310, 21–31. [Google Scholar] [CrossRef]
- Bessadok, B.; Santulli, A.; Brück, T.; Sadok, S. Species disparity response to mutagenesis of marine yeasts for the potential production of biodiesel. Biotechnol. Biofuels 2019, 12, 129. [Google Scholar] [CrossRef]
- Bart, J.C.J.; Palmeri, N.; Cavallaro, S. Emerging new energy crops for biodiesel production. In Biodiesel Science and Technology; Woodhead Publishing: Sawston, UK, 2010; pp. 226–284. [Google Scholar] [CrossRef]
- Siwina, S.; Leesing, R. Bioconversion of durian (Durio zibethinus Murr.) peel hydrolysate into biodiesel by newly isolated oleaginous yeast Rhodotorula mucilaginosa. Renew. Energy 2021, 163, 237–245. [Google Scholar] [CrossRef]
- Chebbi, H.; Leiva-Candia, D.; Carmona-Cabello, M.; Jaouani, A.; Dorado, M.P. Biodiesel production from microbial oil provided by oleaginous yeasts from olive oil mill wastewater growing on industrial glycerol. Ind. Crops Prod. 2019, 139, 111535. [Google Scholar] [CrossRef]
- Chen, J.; Yan, S.; Zhang, X.; Tyagi, R.D.; Surampalli, R.Y.; Valéro, J.R. Chemical and biological conversion of crude glycerol derived from waste cooking oil to biodiesel. Waste Manag. 2018, 71, 164–175. [Google Scholar] [CrossRef]
- Klein, M.; Swinnen, S.; Thevelein, J.M.; Nevoigt, E. Glycerol metabolism and transport in yeast and fungi: Established knowledge and ambiguities. Environ. Microbiol. 2017, 19, 878–893. [Google Scholar] [CrossRef]
- Aslankoohi, E.; Rezaei, M.N.; Vervoort, Y.; Courtin, C.M.; Verstrepen, K.J. Glycerol Production by Fermenting Yeast Cells Is Essential for Optimal Bread Dough Fermentation. PLoS ONE 2015, 10, 0119364. [Google Scholar] [CrossRef] [PubMed]
- Fei, Q.; O’Brien, M.; Nelson, R.; Chen, X.; Lowell, A.; Dowe, N. Enhanced lipid production by Rhodosporidium toruloides using different fed-batch feeding strategies with lignocellulosic hydrolysate as the sole carbon source. Biotechnol. Biofuels 2016, 9, 130. [Google Scholar] [CrossRef] [PubMed]
- Calvey, C.H.; Su, Y.K.; Willis, L.B.; McGee, M.; Jeffries, T.W. Nitrogen limitation, oxygen limitation, and lipid accumulation in Lipomyces starkeyi. Bioresour. Technol. 2016, 200, 780–788. [Google Scholar] [CrossRef] [PubMed]
- Yen, H.W.; Chang, J.T.; Chang, J.S. The growth of oleaginous Rhodotorula glutinis in an internal-loop airlift bioreactor by using mixture substrates of rice straw hydrolysate and crude glycerol. Biomass Bioenergy 2015, 80, 38–43. [Google Scholar] [CrossRef]
- ter Schure, E.G.; van Riel, N.A.W.; Verrips, C.T. The role of ammonia metabolism in nitrogen catabolite repression in Saccharomyces cerevisiae. FEMS Microbiol. Rev. 2000, 24, 67–83. [Google Scholar] [CrossRef]
- Zhu, L.Y.; Zong, M.H.; Wu, H. Efficient lipid production with Trichosporonfermentans and its use for biodiesel preparation. Bioresour. Technol. 2008, 99, 7881–7885. [Google Scholar] [CrossRef]
- Chaiyaso, T.; Manowattana, A.; Techapun, C.; Watanabe, M. Efficient bioconversion of enzymatic corncob hydrolysate into biomass and lipids by oleaginous yeast Rhodosporidium paludigenum KM281510. Prep. Biochem. Biotechnol. 2019, 49, 545–556. [Google Scholar] [CrossRef]
- Matsakas, L.; Giannakou, M.; Vörös, D. Effect of synthetic and natural media on lipid production from Fusarium oxysporum. Electron. J. Biotechnol. 2017, 30, 95–102. [Google Scholar] [CrossRef]
Publisher’s Note: MDPI stays neutral with regard to jurisdictional claims in published maps and institutional affiliations. |
© 2022 by the authors. Licensee MDPI, Basel, Switzerland. This article is an open access article distributed under the terms and conditions of the Creative Commons Attribution (CC BY) license (https://creativecommons.org/licenses/by/4.0/).