Production of Butyric Acid from Hydrolysate of Rice Husk Treated by Alkali and Enzymes in Immobilized Fermentation by Clostridium tyrobutyricum CtΔpta
Abstract
1. Introduction
2. Materials and Methods
2.1. Materials
2.2. Single-Factor and Orthogonal Test of the Alkali Pretreatment for TRS Production
2.3. Optimization of Enzymatic Hydrolysis of Rice Husk for TRS Production
2.4. Strain Culture
2.5. Free-Cell Fermentations
2.6. Immobilized-Cell Fermentations in FBB
2.7. Analytical Methods
3. Results and Discussion
3.1. Alkali Pretreatment of Rice Husk
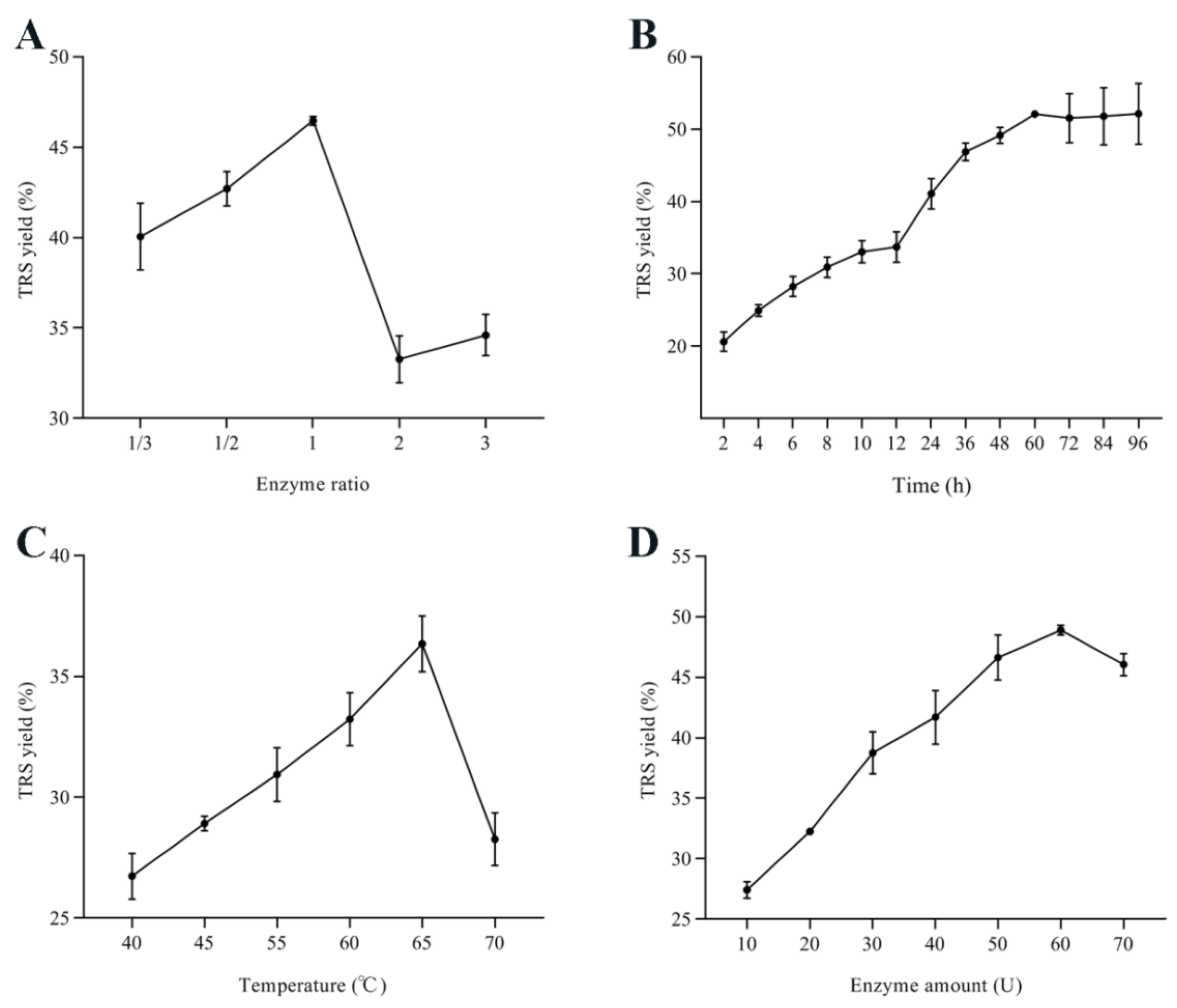
3.2. Enzymatic Hydrolysis of Rice Husk
0.00170275AC − 0.011676BC − 0.042714A2 − 0.16229B2 − 0.012947C2
3.3. Butyric Acid Fermentation with Glucose and Rice Husk Hydrolysate in Batch Mode
3.4. Butyric Acid Production from Rice Husk Hydrolysate in Repeated-Fed-Batch Mode
3.5. Comparison with Other Studies
4. Conclusions
Author Contributions
Funding
Institutional Review Board Statement
Informed Consent Statement
Data Availability Statement
Conflicts of Interest
References
- Jiang, L.; Fu, H.; Yang, H.K.; Xu, W.; Wang, J.; Yang, S.T. Butyric acid: Applications and recent advances in its bioproduction. Biotechnol. Adv. 2018, 36, 2101–2117. [Google Scholar] [CrossRef] [PubMed]
- Shen, F.; Xiong, X.; Fu, J.; Yang, J.; Qiu, M.; Qi, X.; Tsang, D.C.W. Biomass as a sustainable resource for value-added modern materials: A review. Renew. Sustain. Energy Rev. 2020, 14, 673–695. [Google Scholar]
- Fu, H.; Hu, J.L.; Guo, X.L.; Feng, J.; Zhang, Y.N.; Wang, J.F. High-selectivity butyric acid production from Saccharina japonica hydrolysate by Clostridium tyrobutyricum. Ind. Eng. Chem. Res. 2020, 59, 17147–17155. [Google Scholar] [CrossRef]
- He, F.; Qin, S.; Yang, Z.; Bai, X.; Suo, Y.; Wang, J. Butyric acid production from spent coffee grounds by engineered Clostridium tyrobutyricum overexpressing galactose catabolism genes. Bioresour. Technol. 2020, 304, 122977. [Google Scholar] [CrossRef] [PubMed]
- Huang, J.; Zhu, H.; Tang, W.; Wang, P.; Yang, S.T. Butyric acid production from oilseed rape straw by Clostridium tyrobutyricum immobilized in a fibrous bed bioreactor. Process. Biochem. 2016, 51, 1930–1934. [Google Scholar] [CrossRef]
- Wei, D.; Liu, X.G.; Yang, S.T. Butyric acid production from sugarcane bagasse hydrolysate by Clostridium tyrobutyricum immobilized in a fibrous-bed bioreactor. Bioresour. Technol. 2013, 129, 553–560. [Google Scholar] [CrossRef]
- Ufodike, C.O.; Eze, V.O.; Ahmed, M.F.; Oluwalowo, A.; Park, J.G.; Okoli, O.I.; Wang, H. Evaluation of the Inter-Particle Interference of Cellulose and Lignin in Lignocellulosic Materials. Int. J. Biol. Macromol. 2020, 147, 762–767. [Google Scholar] [CrossRef]
- Cheng, F.; Bayat, H.; Jena, U.; Brewer, C.E. Impact of feedstock composition on pyrolysis of low-cost, protein- and lignin-rich biomass: A Review. J. Anal. Appl. Pyrol. 2020, 147, 104780. [Google Scholar] [CrossRef]
- Zacharof, M.P.; Vouzelaud, C.; Mandale, S.J.; Lovitt, R.W. Valorization of spent anaerobic digester effluents through production of platform chemicals using Clostridium butyricum. Biomass. Bioenergy 2015, 81, 294–303. [Google Scholar] [CrossRef]
- Huang, J.; Tang, W.; Zhu, S.Q.; Du, M.N. Biosynthesis of butyric acid by Clostridium tyrobutyricum. Prep. Biochem. Biotechnol. 2018, 48, 427–434. [Google Scholar] [CrossRef] [PubMed]
- Jang, Y.S.; Im, J.A.; Choi, S.Y. Metabolic engineering of Clostridium acetobutylicum for butyric acid production with high butyric acid selectivity. Metab. Eng. 2014, 23, 165–174. [Google Scholar] [CrossRef] [PubMed]
- Liu, X.; Zhu, Y.; Yang, S.T. Construction and characterization of ack deleted mutant of Clostridium tyrobutyricum for enhanced butyric acid and hydrogen production. Biotechnol. Prog. 2006, 22, 1265–1275. [Google Scholar] [CrossRef] [PubMed]
- Sekoai, P.T.; Awosusi, A.A.; Yoro, K.O.; Sing, M.; Oloye, O.; OAyeni, A.; Bodunrin, M.; Daramola, M.O. Microbial cell immobilization in biohydrogen production: A short overview. Crit. Rev. Biotechnol. 2018, 38, 157–171. [Google Scholar] [CrossRef] [PubMed]
- Yang, S.Y.; Choi, T.R.; Jung, H.R.; Park, Y.L.; Han, Y.H.; Song, H.S.; Bhatia, S.K.; Park, K.; Ahn, J.O.; Jeon, W.Y.; et al. Production of glutaric acid from 5-aminovaleric acid by robust whole-cell immobilized with polyvinyl alcohol and polyethylene glycol. Enzym. Microb. Technol. 2019, 128, 72–78. [Google Scholar] [CrossRef]
- Dagher, S.F.; Ragout, A.L.; Siñeriz, F.; Bruno-Bárcena, J.M. Cell immobilization for production of lactic acid biofilms do it naturally. Adv. Appl. Microbiol. 2010, 71, 113–148. [Google Scholar]
- Zhang, Y.; Yu, M.; Yang, S.T. Effects of ptb knockout on butyric acid fermentation by Clostridium tyrobutyricum. Biotechnol. Prog. 2012, 28, 52–59. [Google Scholar] [CrossRef]
- Jiang, L.; Wang, J.F.; Liang, S.Z.; Wang, X.N.; Cen, P.L.; Xu, Z.N. Production of butyric acid from glucose and xylose with immobilized cells of Clostridium tyrobutyricum in a fibrous-bed bioreactor. Appl. Biochem. Biotechnol. 2010, 160, 350–359. [Google Scholar] [CrossRef]
- Kumari, D.; Singh, R. Pretreatment of lignocellulosic wastes for biofuel production: A critical review. Renew. Sustain. Energy Rev. 2018, 90, 877–891. [Google Scholar] [CrossRef]
- Lee, J.W.; Kim, J.Y.; Jang, H.M.; Lee, M.W.; Park, J.M. Sequential dilute acid and alkali pretreatment of corn stover: Sugar recovery efficiency and structural characterization. Bioresour. Technol. 2015, 182, 296–301. [Google Scholar] [CrossRef]
- Srivastava, N.; Mohammad, A.; Singh, R.; Srivastava, M.; Syed, A.; Pal, D.B.; Elgorban, A.M.; Mishra, P.K.; Gupta, V.K. Evaluation of enhanced production of cellulose deconstructing enzyme using natural and alkali pretreated sugar cane bagasse under the influence of graphene oxide. Bioresour. Technol. 2021, 342, 126015. [Google Scholar] [CrossRef]
- Wang, C.; Qi, W.; Liang, C.; Wang, Q.; Wang, W.; Wang, Z.; Yuan, Z. Impact of alkaline pretreatment condition on enzymatic hydrolysis of sugarcane bagasse and pretreatment cost. Appl. Biochem. Biotechnol. 2021, 193, 2087–2097. [Google Scholar] [CrossRef] [PubMed]
- Ebrahimi, M.; Villaflores, O.B.; Ordono, E.E.; Caparanga, A.R. Effects of acidified aqueous glycerol and glycerol carbonate pretreatment of rice husk on the enzymatic digestibility, structural characteristics, and bioethanol production. Bioresour. Technol. 2017, 228, 264–271. [Google Scholar] [CrossRef] [PubMed]
- Sun, S.; Sun, S.; Cao, X.; Sun, R. The role of pretreatment in improving the enzymatic hydrolysis of lignocellulosic materials. Bioresour. Technol. 2016, 199, 49–58. [Google Scholar] [CrossRef] [PubMed]
- Zhang, Y.; Xu, J.L.; Qi, W.; Yuan, Z.H.; Zhuang, X.S.; Liu, Y.; He, M.C. A fractal-like kinetic equation to investigate temperature effect on cellulose hydrolysis by free and immobilized cellulase. Appl. Biochem. Biotechnol. 2012, 168, 144–153. [Google Scholar] [CrossRef]
- Baroi, G.N.; Baumann, I.; Westermann, P.; Gavala, H.N. Butyric acid fermentation from pretreated and hydrolysed wheat straw by an adapted Clostridium tyrobutyricum strain. Microb. Biotechnol. 2015, 8, 874–882. [Google Scholar] [CrossRef]
- Yang, S.T.; Zhu, H.; Li, Y.; Hong, G. Continuous propionate production from whey permeate using a novel fibrous bed bioreactor. Biotechnol. Bioeng. 1994, 43, 1124–1130. [Google Scholar] [CrossRef]
- Xiao, Z.; Cheng, C.; Bao, T.; Liu, L.; Wang, B.; Tao, W.; Pei, X.; Yang, S.T.; Wang, M. Production of butyric acid from acid hydrolysate of corn husk in fermentation by Clostridium tyrobutyricum: Kinetics and process economic analysis. Biotechnol. Biofuels 2018, 11, 164. [Google Scholar] [CrossRef]
- Zhou, X.; Wang, S.Y.; Lu, X.; Liang, J.P. Comparison of the effects of high energy carbon heavy ion irradiation and Eucommia ulmoides Oliv. on biosynthesis butyric acid efficiency in Clostridium tyrobutyricum. Bioresour. Technol. 2014, 161, 221–229. [Google Scholar] [CrossRef]
- Jönsson, L.J.; Alriksson, B.; Nilvebrant, N.O. Bioconversion of lignocellulose: Inhibitors and detoxification. Biotechnol. Biofuels 2013, 6, 16. [Google Scholar] [CrossRef]
- Hasunuma, T.; Sung, K.M.; Sanda, T.; Yoshimura, K.; Matsuda, F.; Kondo, A. Efficient fermentation of xylose to ethanol at high formic acid concentrations by metabolically engineered Saccharomyces cerevisiae. Appl. Microbiol. Biotechnol. 2011, 90, 997–1004. [Google Scholar] [CrossRef]
- Hong, J.W.; Gam, D.H.; Kim, J.H.; Jeon, S.J.; Kim, H.S.; Kim, J.W. Process Development for the Detoxification of Fermentation Inhibitors from Acid Pretreated Microalgae Hydrolysate. Molecules 2021, 26, 2435. [Google Scholar] [CrossRef] [PubMed]
- Chi, X.; Li, J.; Wang, X.; Zhang, Y.; Leu, S.Y.; Wang, Y. Bioaugmentation with Clostridium tyrobutyricum to improve butyric acid production through direct rice straw bioconversion. Bioresour. Technol. 2018, 263, 562–568. [Google Scholar] [CrossRef] [PubMed]
- Huang, J.; Cai, J.; Wang, J.; Zhu, X.; Huang, L.; Yang, S.T.; Xu, Z. Efficient production of butyric acid from Jerusalem artichoke by immobilized Clostridium tyrobutyricum in a fibrous-bed bioreactor. Bioresour. Technol. 2011, 102, 3923–3926. [Google Scholar] [CrossRef] [PubMed]
- Stoklosa, R.J.; Moore, C.; Latona, R.J.; Nghiem, N.P. Butyric Acid Generation by Clostridium tyrobutyricum from Low-Moisture Anhydrous Ammonia (LMAA) Pretreated Sweet Sorghum Bagasse. Appl. Biochem. Biotechnol. 2021, 193, 761–776. [Google Scholar] [CrossRef] [PubMed]






| Levels | |||
|---|---|---|---|
| Independent Variables | Low | Medium | High |
| A = Time (h) | 2 | 3 | 4 |
| B = Alkaline concentration (wt%) | 2 | 3 | 4 |
| C = Temperature (°C) | 110 | 120 | 130 |
| Levels | |||
|---|---|---|---|
| Independent Variables | Low | Medium | High |
| A = Enzyme amount (U) | 40 | 50 | 60 |
| B = Temperature (°C ) | 50 | 60 | 70 |
| C = Time (h) | 36 | 48 | 60 |
| TRS yield (%) | maximize | ||
| Factor | TRS Yield (%) | |||
|---|---|---|---|---|
| A | B | C | ||
| 1 | 2 | 2 | 110 | 41.21 |
| 2 | 3 | 2 | 120 | 46.74 |
| 3 | 4 | 2 | 130 | 47.34 |
| 4 | 3 | 3 | 110 | 41.26 |
| 5 | 4 | 3 | 120 | 42.07 |
| 6 | 2 | 3 | 130 | 41.69 |
| 7 | 4 | 4 | 110 | 39.73 |
| 8 | 2 | 4 | 120 | 45.06 |
| 9 | 3 | 4 | 130 | 44.54 |
| K1 | 127.96 | 135.29 | 122.2 | |
| K2 | 132.54 | 125.02 | 133.87 | |
| K3 | 129.14 | 129.29 | 133.57 | |
| k1 | 42.65 | 45.1 | 40.73 | |
| k2 | 44.18 | 41.67 | 44.62 | |
| k3 | 43.05 | 43.1 | 44.52 | |
| R | 1.53 | 3.43 | 3.89 | |
| Independent Variables | TRS Yield (%) | ||||
|---|---|---|---|---|---|
| Batch | A | B | C | Experimental | Predicted |
| 1 | 50 | 50 | 36 | 61.53 | 59.57 |
| 2 | 60 | 60 | 60 | 78.79 | 76.15 |
| 3 | 50 | 50 | 48 | 55.09 | 64.08 |
| 4 | 50 | 70 | 60 | 53.74 | 55.43 |
| 5 | 50 | 60 | 48 | 79.73 | 77 |
| 6 | 40 | 50 | 48 | 55.09 | 54.26 |
| 7 | 50 | 70 | 36 | 57.29 | 55.77 |
| 8 | 50 | 60 | 48 | 76.27 | 77 |
| 9 | 50 | 60 | 48 | 76.05 | 77 |
| 10 | 40 | 60 | 36 | 62.79 | 65.17 |
| 11 | 40 | 70 | 48 | 51.47 | 50.23 |
| 12 | 60 | 50 | 48 | 64.36 | 65.34 |
| 13 | 50 | 60 | 48 | 77.66 | 77 |
| 14 | 40 | 60 | 60 | 68.89 | 68.05 |
| 15 | 50 | 60 | 48 | 75.93 | 77 |
| 16 | 60 | 70 | 48 | 55.59 | 56.16 |
| 17 | 60 | 60 | 36 | 73.50 | 74.08 |
| Source | Sum of Squares | df | Mean Square | F-Value | p-Value Prob > F |
|---|---|---|---|---|---|
| Model | 1801.89 | 9 | 168.58 | 31.05 | <0.0001 |
| A | 233.16 | 1 | 144.59 | 26.63 | 0.0004 |
| B | 242.42 | 1 | 87.62 | 16.14 | 0.0003 |
| C | 118.37 | 1 | 12.20 | 2.25 | 0.0027 |
| AB | 25.45 | 1 | 6.64 | 1.22 | 0.0745 |
| AC | 2.93 | 1 | 0.17 | 0.031 | 0.5000 |
| BC | 83.09 | 1 | 7.85 | 1.45 | 0.0069 |
| A2 | 80.49 | 1 | 76.82 | 14.15 | 0.0074 |
| B2 | 977.98 | 1 | 1109.02 | 204.24 | <0.0001 |
| C2 | 14.64 | 1 | 14.64 | 2.70 | 0.9722 |
| Residual | 38.01 | 7 | 5.43 | ||
| Lack of fit | 27.63 | 3 | 9.21 | 3.55 | 0.5341 |
| Pure error | 10.38 | 4 | 2.60 | ||
| Cor total | 1555.23 | 16 | |||
| R2 | 0.9756 | ||||
| Adj. R2 | 0.9441 | ||||
| Predicted R2 | 0.7053 |
| Strain | Substrate | Fermentation Mode | Concentration (g/L) | Yield (g/g) | Reactor Productivity (g/(L × h) | Reference |
|---|---|---|---|---|---|---|
| C.t 25755 | SCB | Fed-batch in FBB | 20.9 | 0.48 | 0.51 | [6] |
| C.t 25755 | Corn husk | Fed-batch in FBB | 20.8 | 0.39 | 0.42 | [27] |
| C.t 25755 | Rice straw | Fed-batch | 18.05 ± 0.03 | 0.36 ± 0.03 | _ | [32] |
| C.t 25755 | JA | Repeated-fed- batch in FBB | 27.5 | 0.44 | 2.75 | [33] |
| C.t 25755 | SSB | Batch | 11.3 | 0.29 | 0.25 | [34] |
| C.t Δpta | Glucose | Fed-batch | 40.8 | 0.32 | 0.34 | This study |
| RHH | Fed-batch | 27.49 | 0.2 | 0.21 | ||
| Glucose | Fed-batch in FBB | 53.01 | 0.36 | 0.39 | ||
| RHH | Fed-batch in FBB | 49.03 | 0.3 | 0.36 |
Publisher’s Note: MDPI stays neutral with regard to jurisdictional claims in published maps and institutional affiliations. |
© 2022 by the authors. Licensee MDPI, Basel, Switzerland. This article is an open access article distributed under the terms and conditions of the Creative Commons Attribution (CC BY) license (https://creativecommons.org/licenses/by/4.0/).
Share and Cite
Lin, Y.; Sun, W.; Wang, G.; Chen, H.; Pei, X.; Jin, Y.; Yang, S.-T.; Wang, M. Production of Butyric Acid from Hydrolysate of Rice Husk Treated by Alkali and Enzymes in Immobilized Fermentation by Clostridium tyrobutyricum CtΔpta. Fermentation 2022, 8, 531. https://doi.org/10.3390/fermentation8100531
Lin Y, Sun W, Wang G, Chen H, Pei X, Jin Y, Yang S-T, Wang M. Production of Butyric Acid from Hydrolysate of Rice Husk Treated by Alkali and Enzymes in Immobilized Fermentation by Clostridium tyrobutyricum CtΔpta. Fermentation. 2022; 8(10):531. https://doi.org/10.3390/fermentation8100531
Chicago/Turabian StyleLin, Yueying, Wanjing Sun, Geng Wang, Haohan Chen, Xun Pei, Yuyue Jin, Shang-Tian Yang, and Minqi Wang. 2022. "Production of Butyric Acid from Hydrolysate of Rice Husk Treated by Alkali and Enzymes in Immobilized Fermentation by Clostridium tyrobutyricum CtΔpta" Fermentation 8, no. 10: 531. https://doi.org/10.3390/fermentation8100531
APA StyleLin, Y., Sun, W., Wang, G., Chen, H., Pei, X., Jin, Y., Yang, S.-T., & Wang, M. (2022). Production of Butyric Acid from Hydrolysate of Rice Husk Treated by Alkali and Enzymes in Immobilized Fermentation by Clostridium tyrobutyricum CtΔpta. Fermentation, 8(10), 531. https://doi.org/10.3390/fermentation8100531
