Abstract
The process by which beer is brewed has not changed significantly since its discovery thousands of years ago. Grain is malted, dried, crushed and mixed with hot water to produce wort. Yeast is added to the sweet, viscous wort, after which fermentation occurs. The biochemical events that occur during fermentation reflect the genotype of the yeast strain used, and its phenotypic expression is influenced by the composition of the wort and the conditions established in the fermenting vessel. Although wort is complex and not completely characterized, its content in amino acids indubitably affects the production of some minor metabolic products of fermentation which contribute to the flavour of beer. These metabolic products include higher alcohols, esters, carbonyls and sulfur-containing compounds. The formation of these products is comprehensively reviewed in this paper. Furthermore, the role of amino acids in the beer flavour, in particular their relationships with flavour active compounds, is discussed in light of recent data.
Keywords:
amino acids; beer; flavour; higher alcohols; esters; Vicinal Diketones (VDK); sulfur compounds 1. Introduction
The process by which beer has been brewed has not changed significantly since its discovery over 2000 years ago. Although industrial equipment is used for modern commercial brewing, the principles are the same. A grain such as barley is transformed into a flavorsome beer containing ethanol, through several key steps. First, the grain is allowed to germinate and dry, then it is crushed and mixed with hot water to produce a sweet and viscous wort. The conversion of the fermentable carbohydrates present in the wort into ethanol and carbon dioxide is achieved by pitching the yeast. However, other by-yeast metabolism products are also excreted into the fermenting wort and can affect the organoleptic properties (i.e., taste, colour, odour and feel) of the beer. These by-products include esters, aldehydes, vicinal diketones, higher alcohols and acids, as well as sulfur compounds. The flavour of different beers is attributed to the specific ratios of range of different compounds.
A factor of great importance in beer flavour is the composition of the wort. Small differences in wort composition can therefore exert significant effects on the flavour of the resulting beer. Amino acids are among the wort components that may influence beer flavour.
2. Wort Amino Acid Composition
Wort is a growth medium that includes fermentable sugars (fructose, sucrose, maltose and maltotriose), nitrogenous materials (amino acids, peptides, proteins), vitamins, ions, mineral slat, trace elements and other constituents [1].
The composition of wort is considered to be an important part of beer flavour. The nitrogenous compounds are diverse, and they include amino acids, peptides, polypeptides, proteins, nucleic acids, and their degradation products, constituting 3–5% of the wort extract. In that percentage, about 30% are α-amino nitrogen, about 20% are high molecular weight proteins and about 40% are polypeptides. The other 10% represent the nitrogen in purines and other nitrogenous compounds [2]. The amino acids that are found in beer, as well as their respective concentrations (mg.100 cm−3), are presented in Table 1.
Table 1.
Amino acids in wort composition and their respective concentration (mg.100 cm−3).
Fermenting wort is a complex medium whose nutrients are utilized by brewing yeast for living and growth; brewing yeast also places its metabolic by-products in this medium. Hence, changes in wort composition will indubitably influence the beer aroma. Changes in the concentrations of amino acids in wort will influence the nitrogen metabolism because the yeast amino acid is principally derived from the wort amino acid [5]. The concentration of the amino acids isoleucine, valine, phenylalanine, glycine, alanine, tyrosine, lysine, histidine, arginine and leucine, are considered important, as these are an important part of the complex system regulating the biosynthesis of flavour-active compounds formed by yeast [6].
The selection of an appropriate brewers’ yeast strain with individual aroma profiles is crucial to fulfil the consumer’s demand for flavour diversity. However, it is not sufficient, as the command of the overall flavour character of beer is also dependent on wort composition.
3. Amino Acid Degradation during Mashing
3.1. Maillard Reaction
Malt types can influence the flavour and colour of beer. Dark malts are important to the production of certain beer types. These characteristics in dark malt are the result of a Maillard reaction (MR) that is initiated due to the killing temperatures used in the production of such malts [7]. The MR, also called non-enzymatic browning, is a network of chemical reactions that are initiated by the addition of reducing sugar to proteins, peptides, amino acids or amines, to form an Amadori rearrangement product (ARP) [8,9]. The formation of flavour compounds in the MRs depends on the type of sugars and amino acids involved, as well as on the reaction temperature, time, pH and water content. The composition in amino acids and sugars is the most important factor in the type of flavour compounds formed [10]. Proline, alanine, arginine and tyrosine are the dominating free amino acids, but the more reactive amino acids are lysine and glycine [11]. The reduction sugars can react with α-amino groups of free amino acids and peptides, at the imino group of proline, as well as the ε-amino group of lysine.
Maillard reactions are usually divided into three stages:
- The first starts with a condensation between the amino group and the reducing sugar, leading to an N-glycosamine in the case of an aldose sugar that rearranges into the so called Amadori product—that is degraded to 1,2-dicarbonyl compounds in the second stage of this complex reaction. These compounds are responsible for the formation and stability of off-flavours in beer.
- The second or intermediate stage starts with the Amadori product, leading to sugar fragmentation products and the release of the amino group.
In the final stage, dehydration, fragmentation, cyclization and polymerisation reactions occur, which amino group participate in again [8,10].
It is possible that some Maillard reaction products (MRPs) show a negative effect on the growth of some microorganisms. Melanoidins, the most studied MRPs, have been reported to inhibit the growth of bacteria due to the chelation of important metal ions such as magnesium [7]. The wort may darken too much on boiling, due to the formation of melanoidins resulting from the excessive levels of reducing sugars and amino acids in the presence of finely divided material that is hard to remove by filtration [12]. Other MRPs have been studied, such as furfural (2-furaldehyde) and 5-hydroxymethyl furfural (5-HMF), which are formed simultaneously to intermediates produced respectively from pentoses and hexoses. Although furanic aldehyde levels may correlate with the development of stale flavours, it is not generally thought that these compounds are responsible for the stale flavours themselves, as the flavour threshold of 2-furaldehyde in beer is of the order of 25 mg.L−1 [13]. However, recent studies from De Clippeleer et al. report that the presence of furfural in fresh pale large beers results in a sharper, harsher, more lingering bitterness and increases astringency [14].
These two compounds were shown to have a negative effect on yeast growth, inhibiting glycolytic enzymes and inducing DNA damage [15,16,17]. The flavour thresholds and aroma impressions of both compounds are presented in Table 2.
Table 2.
Threshold values and aroma impressions of most important Maillard Reaction products present in beers.
3.2. Strecker Degradation of Amino Acids
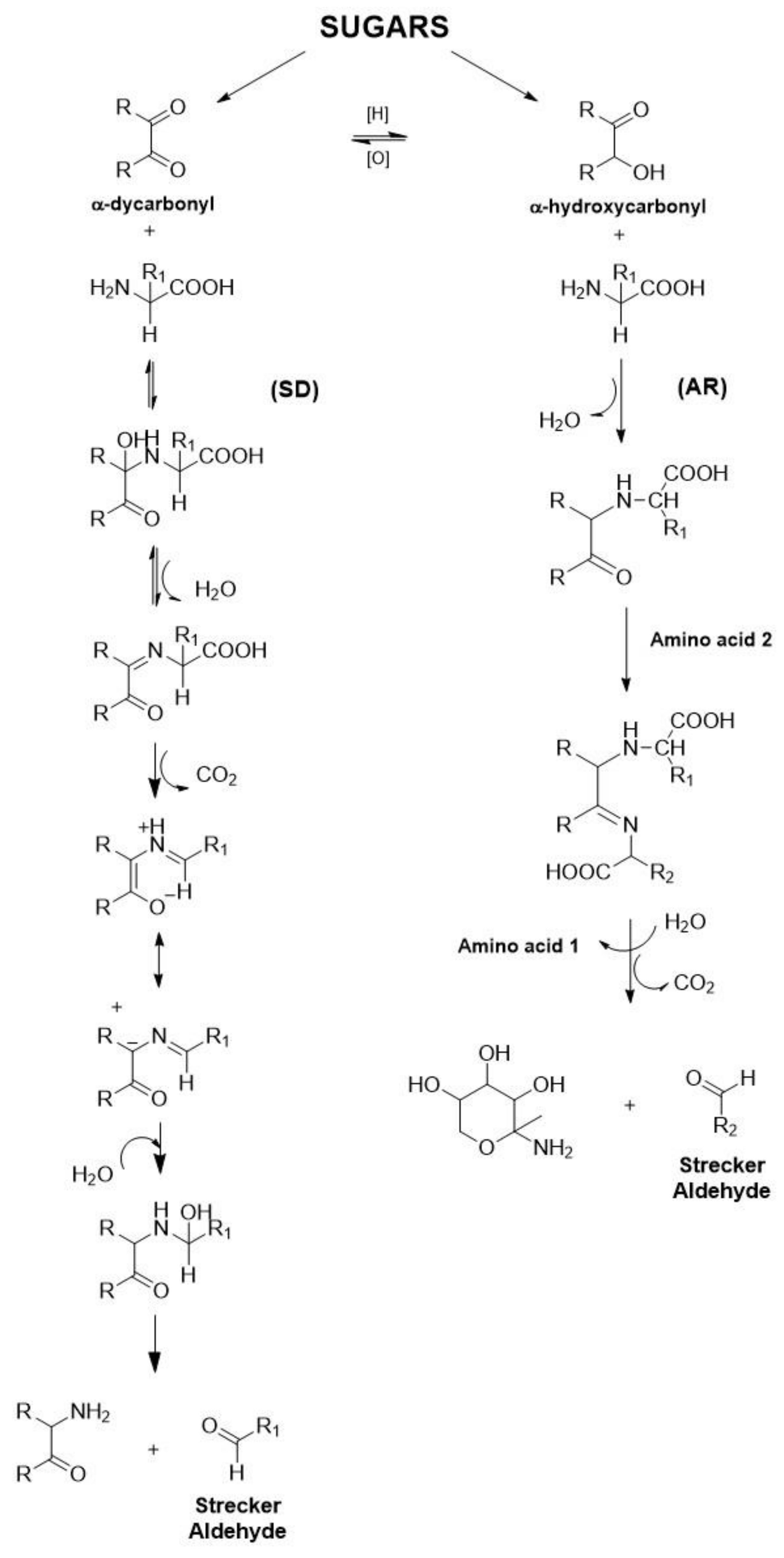
The Strecker degradation (SD) of amino acids into their structurally related volatile counterparts is a frequently cited source of important volatile constituents of food flavours. The SD is a pathway that is responsible for the production of many volatile compounds, the “Strecker Aldehydes” [20].
SD is based in a transamination that takes place between an amino acid and an α-dicarbonyl, represented in Figure 1. Amino acids are degraded by dicarbonyls formed in the Maillard reactions, leading to deamination and decarboxylation of the amino acids.
Figure 1.
Strecker degradation (SD) reaction of α-dicarbonyl and Amadori rearrangement (AR) of α-hydroxycarbonyl forming Strecker aldehydes.
The reaction starts with a nucleophilic addition of the unprotonated amino group to the carbonyl group. The addition of water results in an unstable amino alcohol that is decomposed into an α-ketoamine and a Strecker aldehyde that contains one carbon atom less than the amino acid from which it is derived [21,22,23]. Strecker aldehydes can be produced from compounds by direct reaction with amino acids or via transition metal ion-catalysed oxidation of the Amadori compound. In the presence of oxygen, more Strecker Aldehydes are produced during beer aging, supporting the second hypothesis [21].
Few Strecker degradation reactions have been of interest to investigators: 2-methylpropanal (derived from valine), 2-methylbutanal (derived from isoleucine), 3-methylbutanal (derived from leucine), methional (derived from methionine), and phenylacetaldehyde (derived from phenylalanine). Benzaldehyde is formed indirectly from phenylalanine with phenylacetaldehyde but is considered a Strecker Aldehyde [21].
The flavor thresholds and aroma impressions of most Strecker Aldehydes formed in beer are shown in Table 3.
Table 3.
Threshold values and aroma impression of most important Strecker Degradation products present in beers.
4. Amino Acids Metabolism during Fermentation
The yeast fermentation performance depends on the concentration and nature of usable nitrogen. About 10% of the dry weight of yeast is comprised of nitrogen. Amino acids are the major source of nitrogen for brewing yeast [25]. The yeast cells have nitrogenous compounds available for consumption, such as assimilable nitrogen or free amino acids (FAN), which can be defined as the sum of the individual wort amino acids, ammonium ions and low molecular weight peptides [6]. Brewers’ yeast can assimilate some 50% of the amino nitrogen in wort. In general, bottom yeasts use the amino acids less completely than top yeasts do [5]. Usually, brewing yeasts need more than one nutrient [26]. Hiralal et al. studied the effect of adding complements on the behavior of yeast, concluding that ZnSO4 and l-leucine are essential to the growth and metabolism of yeast [27].The initial values of amino acids may vary with the yeast strains, due to the fact that the different strains’ cell count varied [28].
Some amino acids are required when the only source of nitrogen is ammonium ions [3]. In wort, the concentration of some amino acids, like isoleucine, valine, phenylalanine, glycine, alanine, tyrosine, lysine, histidine, arginine and leucine, are considered important. Any changes in the concentrations of these amino acids in wort will undoubtedly influence the nitrogen metabolism because yeast amino acids are predominantly derived from wort amino acids.
Detailed studies on the uptake of amino acid during brewing fermentation have been carried out by some authors. These authors reported that in fermentation most of the amino acids except proline were exhausted from the wort. This occurs in a sequential manner, which is largely independent of the conditions of fermentation and strains of yeast used. Boekhout and Robert [29] reported that the uptake of amino acids depends on the timing of the synthesis of the permeases, the turnover, their affinity for the transported amino acids and the competitive binding between different amino acids. According to Reed and Nagodawithana, the absorption of amino acids by brewer´s yeast and the rate at which different amino acids are assimilated vary somewhat with the strain of yeast or the amino acid composition of the wort. Based on yeast assimilation, amino acids have been categorized into four groups, as illustrated in Table 4.
Table 4.
Classification of amino acids based on absorption rates from wort.
It is possible to add supplements called “yeast foods” that contain yeast extracts and metal ions like Zn2+. The mixture of amino acids is more favourable to growth than when ammonium ions are the source of nitrogen.
Meier-Domberg et al. [32], who evaluated free amino nitrogen utilization (FAN) and amino acid utilization (AS), conclude that the yeast strain that utilized a higher percentage of free amino nitrogen originated a spicy (clove) flavour in beer. On the other hand, the yeast strain that utilizes a lower percentage of free amino nitrogen produced sweet (malty) and sulfuric flavours in the final product. Relative to AS the same was observed, and the strains of yeast that utilized a higher and lower quantity of amino acids were the same for the utilization of FAN [32].
The metabolism of amino acids is essential for the synthesis of beer flavour compounds. The major part (80%) of all aroma-active compounds are originated by yeast metabolism during fermentation. During fermentation, yeast produces a broad range of volatile metabolites that confer characteristic aromas on the beer, including higher alcohols and esters (Table 5), vicinal ketones (VDKs) and sulfur compounds, which are discussed in detail below.
Table 5.
Threshold values and aroma impressions of the most important esters and higher alcohols present in beers.
4.1. Higher Alcohols
The major higher alcohols found in alcoholic beverages are aliphatic alcohols (propanol, isobutanol, isoamyl alcohol, amyl alcohol) and aromatic alcohols (2-phenyletanol, tyrosol and tryptophol). These alcohols (with a longer chain length than ethanol) are directly involved in the formation of off-flavour and in the beer quality [26]. Aliphatic higher alcohols contribute to the alcoholic or solvent-like aroma of beer and produce a warm feeling in the mouth. The aromatic alcohol 2-phenylethanol has a sweet smell and makes a positive contribution to the aroma of beer, whereas the aromas of tyrosol and tryptophol are unpleasant [41]. Higher alcohols not only impact beer flavour but are also responsible for the formation of esters, which constitute the main group of flavour-active compounds in beer [7].
Higher alcohols are produced by yeast, during fermentation, via the catabolic (Ehrlich) and the anabolic (amino acid metabolism) pathways [42,43]. 2-oxo acids are first produced via transamination reaction, in the catabolic pathway, from the amino acids in the wort. The excess oxo acids are converted into aldehydes and then to alcohols by decarboxylases and alcohol dehydrogenases, respectively (Figure 2). In the anabolic or biosynthetic pathway, the higher alcohols are synthesized from 2-oxo acids during the synthesis of amino acids from the carbohydrate source. The choice of pathway depends on the individual higher alcohol and the concentration of amino acids available [41].
Figure 2.
Scheme of higher alcohol synthesis according to the catabolic (Ehrlich) pathway.
The addition of valine, leucine and isoleucine, branched-chain amino acids, increases the formation of their respective higher alcohols (i.e., isobutanol, isoamyl alcohol and amyl alcohol) [6]. Histidine was reported by Lie et al. (2003) as a key amino acid for large strains during brewing, contributing to high levels of higher alcohols and esters [44].
Dickinson et al. investigated the genes and enzymes used by Saccharomyces cerevisiae in the catabolism of leucine to isoamyl alcohol (alcoholic, banana aroma), valine to isobutanol (alcoholic, solvent-like aroma) and isoleucine to active amyl alcohol (alcoholic, solvent-like aroma). For these three cases, the sequence of biochemical reactions is analogous, but the details regarding the formation of the individual alcohols are different [45].
The location of enzymes catalysing the synthesis of higher alcohols has been studied in the past, and has been focused on recently by Avalos et al. Isobutanol is produced by yeast originally in the cytoplasm via the Ehrlich pathway or by anabolic synthesis inside the mitochondria. The environmental conditions in the mitochondria matrix are more favourable to the production of isobutanol, which increases to 260% via the Ehrlich pathway [46].
Different brewing techniques and yeast strains lead to the production of different levels of higher alcohols. Amino acid composition affects the formation of higher alcohols: the growth medium supplemented with valine, isoleucine and leucine induces the formation of isobutanol, amyl alcohol and isoamyl alcohol, respectively [47].
The higher alcohols are important as the intermediate precursors of the more flavour-active esters, so that the control of higher alcohols formation needs regulation in order to ensure that the ester production is in turn controlled.
4.2. Esters
Esters are the largest group of flavour-active compounds, which impart fruity flavours to beer. They are desirable in beer when dosed in appropriate amounts, but can be unpleasant when present in excess [47]. Esters have a very low odour threshold in beer, which may define its final aroma [48]. The most important esters are ethyl acetate (fruity, solvent-like aroma) and isoamyl acetate (banana, pear aroma). These esters have relatively low taste thresholds (20–30 and 0.6–1.2 mg L−1, respectively) and often occur in beers in sufficient concentrations to affect the flavour [26]. Many factors affect the production of esters, particularly the yeast strain, because each strain produces individual ester and alcohol profiles.
Esters are produced intracellularly in the cytoplasm of the brewing yeast, largely as the result of the condensation of CoA esters of fatty acids with alcohols. Once formed, and being lipid-soluble, esters diffuse from yeast cells into the fermenting beer [26,48].
These substances are produced in the vigorous phase of primary fermentation by the enzymatic chemical condensation of organic acids and alcohols [48]. The production of esters is influenced by the production extent of alcohols, the production extent of acids and the conjugation of alcohols and acids. The reaction of the production of esters is catalysed by enzymes called alcohol acyl transferases (AAT).
Some studies that evaluate the effect of amino acids in wort composition showed that about half of the leucine concentration was converted to iso-amyl alcohol, producing a “banana” flavour in beer [49]. The formation of volatile esters can be reduced by increased wort oxygenation prior to or during fermentation. It was suggested, by some authors, that oxygen excess drives acetyl-CoA consumption for yeast cell growth and lipid synthesis [47].
4.3. Vicinal Diketones (VDKs)
Vicinal diketones (VDKs) are produced during the amino acid metabolism in fermentation but, unlike alcohols, they are produced only through the anabolic pathway. They are derived from the nonenzymatic, oxidative decarboxylation of excess α-acetohydroxy acids leaked from the isoleucine-valine biosynthetic pathway in yeast. Vicinal diketones are characterised by strong “butterscotch” and “toffee” aromas and tastes. The presence of VDKs in lagers in concentrations above the flavour thresholds results in an unpleasant taste. Diacetyl (2,3-butanedione) has a greater effect on the taste of beer than 2,3-pentanedione, as it has a flavour threshold around 0.15 mg L−1 in lager, which is approximately 10 times lower than that of pentanedione [47]. 2,3-pentanedione is produced by yeast from intermediates of isoleucine synthesis, whereas diacetyl is produced from α-acetolactate, an intermediate in valine and leucine biosynthesis. The acetohydroxy acid precursors of VDKs, α-acetolactic acid and α-acetohydroxybutyric acid, produced as part of the yeast amino acid biosynthetic pathway, are excreted in the wort during fermentation. The precursors then spontaneously decarboxylate in the wort, forming diacetyl and 2,3-pentanedione, as can be seen in Figure 3. These chemical reactions are accelerated by a higher temperature and lower pH [50]. Yeast cells possess the enzymes required to reduce diacetyl to acetoin and then to 2,3-butanediol, as well as to those required to reduce 2,3-pentanedione to 2,3-pentanediol. This elimination of diacetyl and 2,3-pentanedione occurs at the end of the conventional main fermentation period and during the maturation of beer. These reduced compounds have much higher flavour thresholds and their presence is acceptable at the concentrations usually found in beer.
Figure 3.
Formation of diacetyl and 2,3-pentanedione.
4.4. Sulfur Compounds
Many sulfur-containing compounds found in beer derive directly from raw materials, malt and hops, but some are produced through yeast metabolism. Sulfur compounds are synthetized in a very different way to those of higher alcohols and vicinal diketones [26]. There are many sulfur compounds that make different contributions to beer flavour, and they are presented in Table 6. The most important are sulfite (pungent: threshold, 10 mg L−1), hydrogen sulfide (rotten egg: threshold, 8 μg L−1) and dimethyl sulfide (cooked cabbage: threshold, 30 μg L−1) [29].
Table 6.
Volatile sulfur compounds commonly found in beer.
Sulfur compounds are essential to yeasts in the formation of amino acids, proteins and Coenzyme A. These compounds are produced from sulfate, sulfite and sulfide ions that are present in the wort [51]. Hydrogen sulfide and sulfur dioxide are produced by yeast during fermentation. S. cerevisiae produces sulfite as an intermediate product during the reduction of sulfate to sulfide, which is important for the biosynthesis of sulfur-containing amino acids like methionine and cysteine. These amino acids are important as they are responsible for the aromatic structure in beer [51,52].
The yeast strain and the brewing conditions produce different amounts of sulfite compounds. Brewers can produce a beer with a sulfite content under 10 mg L−1, the level at which the declaration of sulfites has been mandated for the labelling of alcoholic beverages by EU and US legislation [53]. The flavour threshold of SO2 in beer is high (25 ppm), and binding to carbonyls groups generally keeps the free SO2 well under the sensory threshold.
Under some circumstances appreciable levels of hydrogen sulfide accumulate in beer. Normally, most of the hydrogen sulfide formed during fermentation is purged from beer via the evolution of carbon dioxide. Poor-quality yeast can lead to less-vigorous fermentations and can result in beer containing residual hydrogen sulfide [26]. Recent research into H2S formation found that it is produced in greater quantities if brewer’s yeast is grown in the presence of increasing concentrations of cysteine [54]. Methionine inhibits the cysteine-induced increase in H2S, and high nitrogen levels reduce H2S production [54]. As the sensory threshold of H2S is very low, even trace amounts of this compound can alter the organoleptic characteristics of beer. Although a sulfidic taste is an essential part of the flavour of some ales, in most cases hydrogen sulfide must be eliminated during beer maturation or, alternatively, by using brewing yeasts with reduced hydrogen sulfide formation.
The other important compound in beer responsible for sulfur flavours is dimethyl sulfide (DMS). At moderate concentrations (30–100 ppb) it is considered to be an essential component of lager beers [12]. However, at high concentrations, it has a relatively unpleasant taste and the aroma of cooked sweet corn. The two main routes leading to the formation of DMS in beer are first the thermal degradation of S-methylmethionine (SMM) during the kiln drying of the malt and the hot stages of the brewing process (wort boiling and wort clarification) and, secondly, the reduction of dimethylsulfoxide (DMSO) by yeast during fermentation [29]. DMS is volatile and some is lost during mashing and wort boiling. However, DMSO is heat stable and persists unchanged through these stages [12]. There is evidence suggesting that the enzymatic conversion of DMSO to DMS by the brewing yeast is important and that, under some circumstances, it may be the major source of DMS in beer. When the concentration of DMSO in the wort at pitching is high, the level of DMS in the beer will also be high [5].
5. Conclusions
Beer flavour is the result of intricate and dynamic interactions in metabolic pathways, which take place both during the brewing process and in the packaged beer. Amino acids are involved in most of these pathways, as they are precursors of higher alcohols and aldehydes, two classes of compounds that are very important to the development of off-flavours in beer (Figure 4). In particular, staling aldehydes have attracted attention as the main contributors of beer off-flavours in view of their extremely low taste threshold. However, the overall quality of beer flavour is also dependent on the formation of esters, diacetyl and sulfur compounds. These are produced as metabolic by-products of amino acid synthesis, as shown in Figure 4. Yeast′s physiological state exerts an impact on the fermentation performance, and the wort′s amino acid content plays a central role in the regulation of the metabolism during fermentation. Therefore, further investigation is required in order to elucidate the mechanisms lying behind this regulation.
Figure 4.
Schematic diagram illustrating the influence of amino acids on the development of flavour active compounds (SD: Strecker degradation, AC: Aldol condensation, AR: Amadori rearrangement).
Acknowledgments
The authors are grateful to the Fundação para a Ciência e a Tecnologia (FCT) as well as to the European Union (FEDER funds through Project NORTE-07-0124-FEDER-000069). Inês M. Ferreira is recipient of a grant from FCT (PD/BD/135091/2017).
Author Contributions
Inês M. Ferreira contributed to the writing and editing of the manuscript. Luís F. Guido coordinated the study and contributed to the writing, editing, and correction of the manuscript. He is also the corresponding author of this article.
Conflicts of Interest
The authors declare no conflicts of interest.
References
- Lekkas, C.; Stewart, G.G.; Hill, A.; Taidi, B.; Hodgson, J. The Importance of Free Amino Nitrogen in Wort and Beer. Master Brew. Assoc. Am. Tech. Q. 2005, 42, 113–116. [Google Scholar]
- Reed, G.; Nagodawithana, T.W. Brewers Yeast. In Yeast Technology; Avi Publishing: New York, NY, USA, 1991; pp. 89–105. [Google Scholar]
- Hough, J.S.; Briggs, D.E.; Stevens, R.; Young, T.W. Malting and Brewing Science—Hopped Wort and Beer, 2nd ed.; Chapman & Hall: London, UK, 1982; Volume 2. [Google Scholar]
- Garza-Ulloa, H.; Cantú, R.H.; Gajá, A.M.C. Determination of Amino Acids in Wort and Beer by Reverse-Phase High-Performance Liquid Chromatography. Am. Soc. Brew. Chem. 1985, 44, 47–51. [Google Scholar]
- Hough, J.S.; Briggs, D.E.; Stevens, R.; Young, T.W. Metabolism of wort by yeast. In Malting and Brewing Science: Hopped Wort and Beer; Chapman & Hall: London, UK, 1982; pp. 566–612. [Google Scholar]
- He, Y.; Dong, J.; Yin, H.; Zhao, Y.; Chen, R.; Wan, X.; Chen, P.; Hou, X.; Liu, J.; Chen, L. Wort composition and its impact on theflavour-active higher alcohol and esterformation of beer—A review. J. Inst. Brew. 2014, 120, 157–163. [Google Scholar] [CrossRef]
- Dack, R.E.; Black, G.W.; Koutsidis, G.; Usher, S.J. The effect of Maillard reaction products and yeast strain on the synthesis of key higher alcohols and esters in beer fermentations. Food Chem. 2017, 232, 595–601. [Google Scholar] [CrossRef] [PubMed]
- Hellwig, M.; Witte, S.; Henle, T. Free and Protein-Bound Maillard Reaction Products in Beer: Method Development and a Survey of Different Beer Types. J. Agric. Food Chem. 2016, 64, 7234–7243. [Google Scholar] [CrossRef] [PubMed]
- Vanderhaegen, B.; Neven, H.; Verachtert, H.; Derdelinckx, G. The chemistry of beer aging—A critical review. Food Chem. 2006, 9, 357–381. [Google Scholar] [CrossRef]
- Van Boekel, M.A. Formation of flavour compounds in the Maillard reaction. Biotechnol. Adv. 2006, 24, 230–233. [Google Scholar] [CrossRef] [PubMed]
- Oliver, G. The Oxford Companion to Beer; Oxford University Press: New, York, NY, USA, 2012. [Google Scholar]
- Briggs, D.E.; Boulton, C.A.; Brookes, P.A. Malts, adjuncts and supplementary enzymes. In Brewing Science and Practice; CRC Press: Boca Raton, FL, USA, 2004. [Google Scholar]
- Cameiro, J.R.; Guido, L.F.; Almeida, P.J.; Rodrigues, J.A.; Barros, A.A. The impact of sulphur dioxide and oxygen on the behaviour of 2-furaldehyde in beer: An industrial approach. Int. J. Food Sci. Technol. 2006, 41, 545–552. [Google Scholar]
- De Clippeleer, J.; Van Opstaele, F.; De Cooman, L.; Aerts, G. The contribution of aldehyed to the staling taste and odour of pale large beer. In Proceedings of the 33rd International Congress of the European Brewery Convention, Glasgow, UK, 22–26 May 2011. [Google Scholar]
- De la Cueva, S.P.; Álvarez, J.; Végvári, Á.; Montilla-Gómez, J.; Cruz-López, O.; Delgado-Andrade, C.; Rufián-Henares, J.A. Relationship between HMF intake and SMF formation in vivo: An animal and human study. Mol. Nutr. Food Res. 2017, 61. [Google Scholar] [CrossRef]
- Modig, T.; Liden, G.; Taherzadeh, M.J. Inhibition effects of furfural on alcohol dehydrogenase, aldehyde dehydrogenase and pyruvate dehydrogenase. Biochem. J. 2002, 363, 769–776. [Google Scholar] [CrossRef] [PubMed]
- Liu, Z.L.; Slininger, P.J.; Dien, B.S.; Berhow, M.A.; Kurtzman, C.P.; Gorsich, S.W. Adaptive response of Yeasts to furfural and 5-hydroxymethylfurfural and new chemical evidence for HMF conversion to 2,5-bis-hydroxymethylfuran. J. Ind. Microbiol. Biotechnol. 2004, 31, 345–352. [Google Scholar] [CrossRef] [PubMed]
- Palamand, S.R.; Hardwick, W.A. Studies on the relative flavour importance of some beer constituents. Master Brew. Assoc. Am. Tech. Q. 1969, 6, 117–127. [Google Scholar]
- Saison, D.; De Schutter, D.P.; Uyttenhove, B.; Delvaux, F.; Delvaux, F.R. Contribution of staling compounds to the aged flavour of lager beer by studying their flavour thresholds. Food Chem. 2009, 114, 1206–1215. [Google Scholar] [CrossRef]
- De Pinho, M.P.G.; Silva Ferreira, A.C. Role of Strecker aldehydes on beer flavour stability. Dev. Food Sci. 2006, 43, 529–532. [Google Scholar]
- Baert, J.J.; De Clippeleer, J.; Hughes, P.S.; De Cooman, L.; Aerts, G. On the origin of free and bound staling aldehydes in beer. J. Agric. Food Chem. 2012, 60, 11449–11472. [Google Scholar] [CrossRef] [PubMed]
- Yaylayan, V.A. Recent Advances in the Chemistry of Strecker Degradation and Amadori Rearrangement Implications to Aroma and Color Formation. Food Sci. Technol. Res. 2003, 9, 1–6. [Google Scholar] [CrossRef]
- Rizzi, G.P. The Strecker Degradation of Amino Acids: Newer Avenues for Flavor Formation. Food Rev. Int. 2008, 24, 416–435. [Google Scholar] [CrossRef]
- Thum, B.; Miedaner, H.; Narziss, L.; Back, W. Bildung von “Alterungscarbonylen”—Mogliche Mechanismen un Bedeutung bei der Bierlagerung. In Proceedings of the 25th European Brewery Convention Congress, Brussels, Belgium, 14–18 May 1995; pp. 491–498. [Google Scholar]
- Heggart, H.M.; Margaritis, A.; Pilkington, H.; Stewart, R.J.; Dowhanick, T.M.; Russell, I. Factores Affecting Yeast Viability and Vitality Characteristics: A Review. Master Brew. Assoc. Am. Tech. Q. 1999, 36, 383–406. [Google Scholar]
- Hammond, J.R.M. Brewer’s Yeasts. In The Yeasts; Academic Press: London, UK, 1993; pp. 7–67. [Google Scholar]
- Hiralal, L.; Olaniran, A.O.; Pillay, B. Aroma-active ester profile of ale beer produced under different fermentation and nutritional conditions. J. Biosci. Bioeng. 2014, 117, 57–64. [Google Scholar] [CrossRef] [PubMed]
- Michel, M.; Kopecká, J.; Meier-Dörnberg, T.; Zarnkow, M.; Jacob, F.; Hutzler, M. Screening for new brewing yeasts in the non-Saccharomyces sector with Torulaspora delbrueckii as model. Yeast 2016, 33, 129–144. [Google Scholar] [CrossRef] [PubMed]
- Boekhout, T.; Robert, V. Yeasts in Food—Beneficial and Detrimental Aspects; Woodhead Publishing: Sawston, UK, 2003; pp. 363–370. [Google Scholar]
- Jones, M.; Pierce, J.S. Absorption of Amino Acids from Worst by Yeasts. J. Inst. Brew. 1964, 70, 307–315. [Google Scholar] [CrossRef]
- Enari, T.-M. Amino acids, peptides and proteins. European Brewery Convention. Wort Symposium Zeit, Monograph 1. 1974; 73–88. [Google Scholar]
- Meier-Dörnberg, T.; Hutzler, M.; Michel, M.; Methner, F.-J.; Jacob, F. The Importance of a Comparative Characterization of Saccharomyces Cerevisiae and Saccharomyces Pastorianus Strains for Brewing. Fermentation 2017, 3, 41. [Google Scholar] [CrossRef]
- Dufour, J.P.; Malcorps, P. Ester synthesis during fermentation: Enzymes characterization and modulation mechanism. In Proceedings of the 4th Aviemore Conference on Malting, Brewing and Distilling, Aviemore, UK, 23–26 May 1994; Campbell, I., Priest, F.G., Eds.; The Institute of Brewing: London, UK, 1994; pp. 137–151. [Google Scholar]
- Engan, S. Beer composition: Volatile substances. In Brewing Science; Pollock, J.R.A., Ed.; Academic Press: London, UK, 1981; pp. 93–165. [Google Scholar]
- Meilgaard, M.C. Flavour chemistry of beer. Part II: Flavour and threshold of 239 aroma volatiles. Master Brew. Assoc. Am. Tech. Q. 1975, 28, 132–141. [Google Scholar]
- Engan, S. Organoleptic threshold values of some alcohols and esters inbeer. J. Inst. Brew. 1972, 78, 33–36. [Google Scholar] [CrossRef]
- Reed, G. Brewer’s Yeast—Biochemistry of Brewing. In Yeast Technology; Nagodawithana, T.W., Ed.; Avi Publishing: New York, NY, USA, 1991; pp. 130–131. [Google Scholar]
- Renger, R.S.; van Hateren, S.H.; Luyben, K.C.A.M. The formation of esters and higher alcohols during brewery fermentation. The effect of carbon dioxide pressure. J. Inst. Brew. 1992, 98, 509–513. [Google Scholar] [CrossRef]
- Olaniran, A.O.; Hiralal, L.; Mokoena, M.P.; Pillay, B. Flavour-active volatile compounds in beer: Production, regulation and control. J. Inst. Brew. 2017, 123, 13–23. [Google Scholar] [CrossRef]
- Hughes, P.S.; Baxter, E.D. Flavour Determinants of Beer Quality. In Beer: Quality, Safety and Nutritional Aspects; RSC Publishing: Cambridge, UK, 2001; pp. 48–64. [Google Scholar]
- Willaert, R.; Nedovic, V.A. Primary beer fermentation by immobilised yeast—A review on flavour formation and control strategies. J. Chem. Technol. Biotechnol. 2006, 81, 1353–1367. [Google Scholar] [CrossRef]
- Ehrlich, F. Uber die Bedingungen der Fuselolbildung und uber ihren Zusammenhang mit dem Eiweissaufbau der Hefe. Ber. Dtch. Chem. Ges. 1907, 40, 1027–1047. [Google Scholar] [CrossRef]
- Chen, E.C.H. The Relative Contribution of Ehrlich and Biosynthetic Pathways to the Formation of Fusel Alcohols. J. Am. Soc. Brew. Chem. 1978, 36, 39. [Google Scholar] [CrossRef]
- Lei, H.; Li, H.; Mo, F.; Zheng, L.; Zhao, H.; Zhao, M. Effects of Lys and His supplementations on the regulation of nitrogen metabolism in lager yeast. Appl. Microbiol. Biotechnol. 2013, 97, 8913–8921. [Google Scholar] [CrossRef] [PubMed]
- Dickinson, J.R.; Salgado, L.E.; Hewlins, M.J. The catabolism of amino acids to long chain and complex alcohols in Saccharomyces cerevisiae. J. Biol. Chem. 2003, 278, 8028–8034. [Google Scholar] [CrossRef] [PubMed]
- Avalos, J.L.; Fink, G.R.; Stephanopoulos, G. Compartmentalization of metabolic pathways in yeast mitochondria improves the production of branched-chain alcohols. Nat. Biotechnol. 2013, 31, 335–341. [Google Scholar] [CrossRef] [PubMed]
- Guido, L.; Rajendram, R.; Barros, A.A. Pitching Yeast and Beer Flavour. In Beer in Health and Disease Prevention; Preedy, V.R., Ed.; Elsevier: Amsterdam, The Netherlands, 2009; pp. 23–32. [Google Scholar]
- Pires, E.J.; Teixeira, J.A.; Brányik, T.; Vicente, A.A. Yeast: The soul of beer’s aroma—A review of flavour-active esters and higher alcohols produced by the brewing yeast. Appl. Microbiol. Biotechnol. 2014, 98, 1937–1949. [Google Scholar] [CrossRef] [PubMed]
- Engan, S. Wort composition and beer flavour. I. The influence of some amino acids on the formation of higher aliphatic alcohols and esters. J. Inst. Brew. 1969, 76, 254–261. [Google Scholar] [CrossRef]
- Pavsier, A.; Bulatti, S. Lager Beer. In Beer in Health and Disease Prevention; Preedy, V., Ed.; Elsevier: Amsterdam, The Netherlands, 2009; p. 35. [Google Scholar]
- James, N.; Stahl, U. Amino Acid Permeases and their Influence on Flavour Compounds in Beer. Brew. Sci. 2014, 67, 120–127. [Google Scholar]
- Donalies, U.E.; Stahl, U. Increasing sulphite formation in Saccharomyces cerevisiae by overexpression of MET14 and SSU1. Yeast 2002, 1, 475–484. [Google Scholar] [CrossRef] [PubMed]
- Guido, L.F. Sulfites in beer: Reviewing regulation, analysis and role. Sci. Agric. 2016, 73, 189–197. [Google Scholar] [CrossRef]
- Duan, W.; Roddick, F.A.; Higgins, V.J.; Rogers, P.J. A parallel analysis of H2S and SO2 formation by brewing yeast in response to sulfur-containing amino acids and ammonium ions. J. Am. Soc. Brew. Chem. 2004, 62, 35–41. [Google Scholar]
© 2018 by the authors. Licensee MDPI, Basel, Switzerland. This article is an open access article distributed under the terms and conditions of the Creative Commons Attribution (CC BY) license (http://creativecommons.org/licenses/by/4.0/).



