Deterministic Drivers of Microbial Community Succession in Nongxiang Daqu Fermentation: Fungi Exhibit Stronger Environmental Selection Imprints than Bacteria
Abstract
1. Introduction
2. Materials and Methods
2.1. Daqu Sample Collection
2.2. Monitoring of Environmental Parameters
2.3. DNA Extraction and PCR Amplification
2.4. Illumina MiSeq Sequencing
2.5. Data Processing
2.6. Statistical Analysis
3. Results and Discussion
3.1. Composition and Dynamics of Microbial Community Structure During Daqu Fermentation
3.2. Differential Analysis of Microbial Community Structure During Daqu Fermentation
3.3. Random Forest Algorithm Identifies Succession and Assembly of Daqu Microbial Community Structure
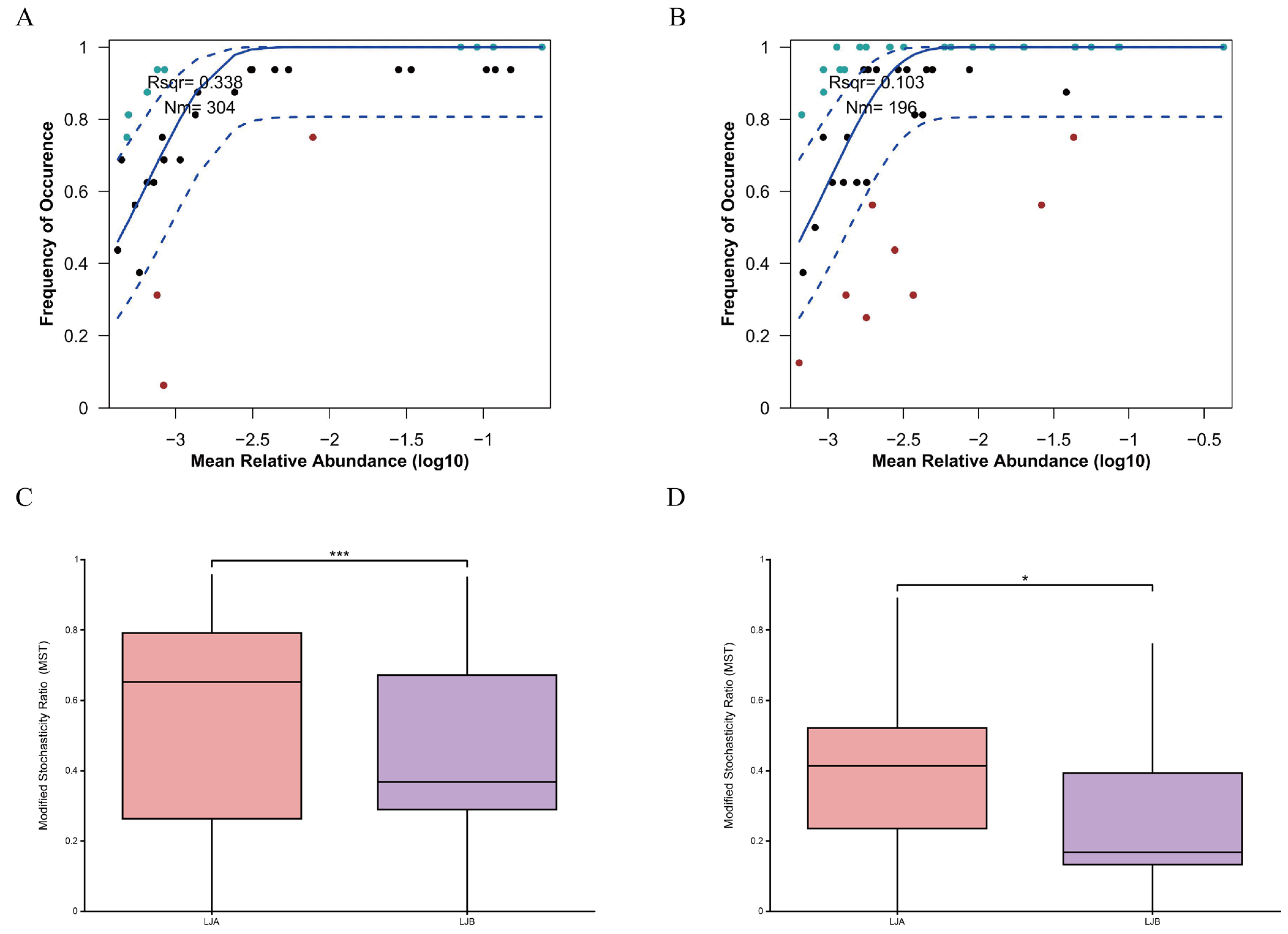
3.4. Determining the Mechanisms of Microbial Community Assembly and Succession in Daqu
3.5. Deterministic Influences on Microbial Community Succession and Assembly During Daqu Fermentation
3.5.1. Influence of Microbial Interactions During Daqu Fermentation
3.5.2. Impact of Environmental Factors on Microbial Community Structure During Daqu Fermentation
3.5.3. Contribution of Environmental Factors to Microbial Community Succession and the Impact of Their Change Rates
3.6. Time-Series-Based Prediction of Microbial Community Structure Succession
4. Conclusions
Supplementary Materials
Author Contributions
Funding
Institutional Review Board Statement
Informed Consent Statement
Data Availability Statement
Conflicts of Interest
References
- Yan, Q.; Zhang, K.Z.; Zou, W.; Hou, Y.C. Three main flavour types of Chinese Baijiu: Characteristics, research, and perspectives. J. Inst. Brew. 2021, 127, 317–326. [Google Scholar] [CrossRef]
- Wei, Y.; Zou, W.; Shen, C.H.; Yang, J.G. Basic flavor types and component characteristics of Chinese traditional liquors: A review. J. Food Sci. 2020, 85, 4096–4107. [Google Scholar] [CrossRef] [PubMed]
- Huang, X.; Zheng, J.; Zhang, K.Z.; Qiao, Z.W.; Luo, H.B.; Zou, W. Short-chain fatty acids and their producing microorganisms in the Nongxiangxing baijiu ecosystem: Status and perspectives. Food Biosci. 2024, 61, 104701. [Google Scholar] [CrossRef]
- Liu, H.; Sun, B. Effect of Fermentation Processing on the Flavor of Baijiu. J. Agric. Food Chem. 2018, 66, 5425–5432. [Google Scholar] [CrossRef]
- Hu, Y.L.; Lei, X.Y.; Zhang, X.M.; Guan, T.W.; Wang, L.Y.; Zhang, Z.J.; Yu, X.; Tu, J.M.; Peng, N.; Liang, Y.X.; et al. Characteristics of the Microbial Community in the Production of Chinese Rice-Flavor Baijiu and Comparisons with the Microflora of Other Flavors of Baijiu. Front. Microbiol. 2021, 12, 673670. [Google Scholar] [CrossRef]
- Zhu, H.; Li, Q.; El-Sappah, A.H.; Sun, Y.; Liu, Y.; Pan, S.J.; Zhu, K.; Sun, X.K.; Xiong, T.; Luo, H.B.; et al. Influence of two sorghum varieties on metabolic factors, microbial community, and flavor component precursors of strong-flavor Baijiu Zaopei. Food Chem. 2025, 474, 143079. [Google Scholar] [CrossRef]
- Du, H.; Wang, X.S.; Zhang, Y.H.; Xu, Y. Exploring the impacts of raw materials and environments on the microbiota in Chinese Daqu starter. Int. J. Food Microbiol. 2019, 297, 32–40. [Google Scholar] [CrossRef]
- Xiao, C.; Yang, Y.; Lu, Z.M.; Chai, L.J.; Zhang, X.J.; Wang, S.T.; Shen, C.H.; Shi, J.S.; Xu, Z.H. Daqu microbiota exhibits species-specific and periodic succession features in Chinese baijiu fermentation process. Food Microbiol. 2021, 98, 103766. [Google Scholar] [CrossRef]
- Zhao, J.Z.; Yang, Y.; Chen, L.Q.; Zheng, J.X.J.; Lv, X.B.; Li, D.D.; Fang, Z.Y.; Shen, C.P.; Mallawaarachchi, V.; Lin, Y.; et al. Quantitative metaproteomics reveals composition and metabolism characteristics of microbial communities in Chinese liquor fermentation starters. Front. Microbiol. 2023, 13, 1098268. [Google Scholar] [CrossRef] [PubMed]
- Sun, Y.Y.; Yin, Y.G.; Wu, Y.M.; Tan, H.G.; Bai, J.N.; Li, J.Q.; Li, A.; Ma, L.J.; Yuan, L.; Wei, C.H.; et al. Decoding the aroma characterization and influencing factor in the core brewing process of China’s northern Sauce-Flavored Baijiu. J. Food Compos. Anal. 2025, 144, 107666. [Google Scholar] [CrossRef]
- Li, H.D.; Liu, S.Y.; Liu, Y.B.; Hui, M.; Pan, C.M. Functional microorganisms in Baijiu Daqu: Research progress and fortification strategy for application. Front. Microbiol. 2023, 14, 1119675. [Google Scholar] [CrossRef]
- Chen, L.H.; Peng, Q.H.; Chen, Y.H.; Che, F.H.; Chen, Z.X.; Feng, S.B. Analysis of dominant microorganisms and core enzymes in Qingke Baijiu Daqu by high-throughput sequencing and proteomics. Food Res. Int. 2025, 204, 115941. [Google Scholar] [CrossRef]
- Fan, G.S.; Du, Y.H.; Fu, Z.L.; Chen, M.; Wang, Z.; Liu, P.X.; Li, X.T. Characterisation of physicochemical properties, flavour components and microbial community in Chinese Guojing roasted sesame-like flavour Daqu. J. Inst. Brew. 2020, 126, 105–115. [Google Scholar] [CrossRef]
- Yang, Y.; Wang, S.T.; Lu, Z.M.; Zhang, X.J.; Chai, L.J.; Shen, C.H.; Shi, J.S.; Xu, Z.H. Metagenomics unveils microbial roles involved in metabolic network of flavor development in medium-temperature daqu starter. Food Res. Int. 2021, 140, 110037. [Google Scholar] [CrossRef] [PubMed]
- Gan, S.H.; Yang, F.; Sahu, S.K.; Luo, R.Y.; Liao, S.L.; Wang, H.Y.; Jin, T.; Wang, L.; Zhang, P.F.; Liu, X.; et al. Deciphering the Composition and Functional Profile of the Microbial Communities in Chinese Moutai Liquor Starters. Front. Microbiol. 2019, 10, 1540. [Google Scholar] [CrossRef] [PubMed]
- Guan, T.W.; Yang, H.; Ou, M.Y.; Zhang, J.X. Storage period affecting dynamic succession of microbiota and quality changes of strong-flavor Baijiu Daqu. LWT-Food Sci. Technol. 2021, 139, 110544. [Google Scholar] [CrossRef]
- Fan, G.S.; Fu, Z.L.; Teng, C.; Liu, P.X.; Wu, Q.H.; Rahman, M.K.R.; Li, X.T. Effects of aging on the quality of roasted sesame-like flavor Daqu. BMC Microbiol. 2020, 20, 67. [Google Scholar] [CrossRef]
- Tang, J.; Wei, J.L.; Yang, Y.; Ge, X.Y.; Zuo, Q.C.; Zhao, C.; Huang, Y.G. Spatio-temporal scales of the Chinese Daqu microbiome: Heterogeneity, niche differentiation, and assembly mechanisms. Trends Food Sci. Technol. 2025, 156, 104832. [Google Scholar] [CrossRef]
- Ma, S.; Luo, H.; Zhao, D.; Qiao, Z.; Zheng, J.; An, M.; Huang, D. Environmental factors and interactions among microorganisms drive microbial community succession during fermentation of Nongxiangxing daqu. Bioresour. Technol. 2022, 345, 126549. [Google Scholar] [CrossRef]
- He, M.W.; Jin, Y.; Liu, M.M.; Yang, G.R.; Zhou, R.Q.; Zhao, J.S.; Wu, C.D. Metaproteomic investigation of enzyme profile in daqu used for the production of Nongxiangxing baijiu. Int. J. Food Microbiol. 2023, 400, 110250. [Google Scholar] [CrossRef]
- Shi, W.; Chai, L.J.; Fang, G.Y.; Mei, J.L.; Lu, Z.M.; Zhang, X.J.; Xiao, C.; Wang, S.T.; Shen, C.H.; Shi, J.S.; et al. Spatial heterogeneity of the microbiome and metabolome profiles of high-temperature Daqu in the same workshop. Food Res. Int. 2022, 156, 111298. [Google Scholar] [CrossRef]
- He, G.Q.; Huang, J.; Wu, C.D.; Jin, Y.; Zhou, R.Q. Bioturbation effect of fortified Daqu on microbial community and flavor metabolite in Chinese strong-flavor liquor brewing microecosystem. Food Res. Int. 2020, 129, 108851. [Google Scholar] [CrossRef]
- Mu, Y.; Huang, J.; Zhou, R.Q.; Zhang, S.Y.; Qin, H.; Tang, H.L.; Pan, Q.L.; Tang, H.F. Bioaugmented Daqu-induced variation in community succession rate strengthens the interaction and metabolic function of microbiota during strong-flavor Baijiu fermentation. LWT-Food Sci. Technol. 2023, 182, 114806. [Google Scholar] [CrossRef]
- Li, X.M.; Meng, Z.H.; Chen, K.; Hu, F.F.; Liu, L.; Zhu, T.B.; Yang, D.G. Comparing diversity patterns and processes of microbial community assembly in water column and sediment in Lake Wuchang, China. PeerJ 2023, 11, e14592. [Google Scholar] [CrossRef]
- Tang, X.M.; Xie, G.J.; Shao, K.Q.; Hu, Y.; Cai, J.; Bai, C.R.; Gong, Y.; Gao, G. Contrast diversity patterns and processes of microbial community assembly in a river-lake continuum across a catchment scale in northwestern China. Environ. Microbiome 2020, 15, 10. [Google Scholar] [CrossRef] [PubMed]
- Yang, L.; Chen, J.; Li, Z.J.; Gong, L.J.; Huang, D.; Luo, H.B. Effect of lactic acid bacteria on the structure and potential function of the microbial community of Nongxiangxing Daqu. Biotechnol. Lett. 2023, 45, 1183–1197. [Google Scholar] [CrossRef] [PubMed]
- Tan, Y.W.; Du, H.; Zhang, H.X.; Fang, C.; Jin, G.Y.; Chen, S.; Wu, Q.; Zhang, Y.; Zhang, M.H.; Xu, Y. Geographically Associated Fungus-Bacterium Interactions Contribute to the Formation of Geography-Dependent Flavor during High-Complexity Spontaneous Fermentation. Microbiol. Spectr. 2022, 10, e0184422. [Google Scholar] [CrossRef] [PubMed]
- Xu, M.; Huang, Q.Y.; Xiong, Z.Q.; Liao, H.; Lv, Z.G.; Chen, W.L.; Luo, X.S.; Hao, X.L. Distinct Responses of Rare and Abundant Microbial Taxa to In Situ Chemical Stabilization of Cadmium-Contaminated Soil. Msystems 2021, 6, e0104021. [Google Scholar] [CrossRef]
- Ning, D.L.; Wang, Y.J.; Fan, Y.P.; Wang, J.J.; Van Nostrand, J.D.; Wu, L.Y.; Zhang, P.; Curtis, D.J.; Tian, R.M.; Lui, L.R.; et al. Environmental stress mediates groundwater microbial community assembly. Nat. Microbiol. 2024, 9, 490–501. [Google Scholar] [CrossRef]
- Zhu, M.; Zheng, J.; Xie, J.; Zhao, D.; Qiao, Z.-W.; Huang, D.; Luo, H.-B. Effects of environmental factors on the microbial community changes during medium-high temperature Daqu manufacturing. Food Res. Int. 2022, 153, 110955. [Google Scholar] [CrossRef]
- Huang, X.; Liu, J.; Luo, H.B.; Zou, W. Research progress on the diversity, physiological and functional characteristics of lactic acid bacteria in the Nongxiangxing baijiu microbiome. J. Food Sci. 2025, 90, e70082. [Google Scholar] [CrossRef]
- Zhou, Y.Y.; Li, Y.; Dong, Y.; Ma, S.Y.; Zhang, L.Q.; Huang, P.; Wu, C.D. Microbial community of Nongxiangxing daqu during storage: Microbial succession, assembly mechanisms and metabolic functions. J. Sci. Food Agric. 2025, 105, 3665–3678. [Google Scholar] [CrossRef]
- Li, Z.G.; Yan, X.; Zou, S.B.; Ji, C.F.; Dong, L.; Zhang, S.F.; Liang, H.P.; Lin, X.P. Analysis of Fungal Diversity, Physicochemical Properties and Volatile Organic Compounds of Strong-Flavor Daqu from Seven Different Areas. Foods 2024, 13, 1263. [Google Scholar] [CrossRef] [PubMed]
- Tang, J.; Chen, J.; Chen, D.; Li, Z.; Huang, D.; Luo, H. Structural Characteristics and Formation Mechanism of Microbiota Related to Fermentation Ability and Alcohol Production Ability in Nongxiang Daqu. Foods 2022, 11, 2602. [Google Scholar] [CrossRef]
- Zhang, Y.; Shen, Y.; Niu, J.; Ding, F.; Ren, Y.; Chen, X.; Han, B.Z. Bacteria-induced amino acid metabolism involved in appearance characteristics of high-temperature Daqu. J. Sci. Food Agric. 2023, 103, 243–254. [Google Scholar] [CrossRef]
- Zheng, X.W.; Yan, Z.; Nout, M.J.; Smid, E.J.; Zwietering, M.H.; Boekhout, T.; Han, J.S.; Han, B.Z. Microbiota dynamics related to environmental conditions during the fermentative production of Fen-Daqu, a Chinese industrial fermentation starter. Int. J. Food Microbiol. 2014, 182–183, 57–62. [Google Scholar] [CrossRef] [PubMed]
- Li, X.Y.; Du, C.Y.; Zhao, Y.F.; Li, J.S.; Hu, Y.M.; Dong, W.W.; Peng, N.; Zhao, S.M. Differences in microbial communities among different types of zaopei and their effects on quality and flavor of baijiu. Food Res. Int. 2024, 197, 115224. [Google Scholar] [CrossRef]
- Zhu, Q.; Chen, L.Q.; Peng, Z.; Zhang, Q.L.; Huang, W.Q.; Yang, F.; Du, G.C.; Zhang, J.; Wang, L. Analysis of environmental driving factors on Core Functional Community during Daqu fermentation. Food Res. Int. 2022, 157, 111286. [Google Scholar] [CrossRef] [PubMed]
- Zhang, Y.D.; Xu, J.G.; Ding, F.; Deng, W.Y.; Wang, X.; Xue, Y.S.; Chen, X.X.; Han, B.Z. Multidimensional profiling indicates the shifts and functionality of wheat-origin microbiota during high-temperature Daqu incubation. Food Res. Int. 2022, 156, 111191. [Google Scholar] [CrossRef]
- Morrow, K.H. Neutral and niche theory in community ecology: A framework for comparing model realism. Biol. Philos. 2024, 39, 4. [Google Scholar] [CrossRef]
- Zhang, X.; Dong, B.; Huang, Y.T.; Dai, H.D.; Yang, Z.; Fu, S.L.; Li, Q.; Yuan, Y.D.; Tan, Y.H.; Li, H.; et al. Disentangling mechanisms that mediate soil fungal α and β diversity during forest secondary succession. Ecography 2024, Early view. [Google Scholar] [CrossRef]
- Liu, J.; Jia, X.Y.; Yan, W.N.; Zho, Y.Q.W.; Shangguan, Z.P. Changes in soil microbial community structure during long-term secondary succession. Land Degrad. Dev. 2020, 31, 1151–1166. [Google Scholar] [CrossRef]
- Krishna, M.; Gupta, S.; Delgado-Baquerizo, M.; Morriën, E.; Garkoti, S.C.; Chaturvedi, R.; Ahmad, S. Successional trajectory of bacterial communities in soil are shaped by plant-driven changes during secondary succession. Sci. Rep. 2020, 10, 9864. [Google Scholar] [CrossRef]
- Li, H.Z.; Zhou, H.Y.; Yang, S.S.; Dai, X. Stochastic and Deterministic Assembly Processes in Seamount Microbial Communities. Appl. Environ. Microbiol. 2023, 89, e0070123. [Google Scholar] [CrossRef]
- Tang, J.; Rao, J.Q.; Zou, Y.F.; Liao, L.; Huang, D.; Luo, H.B. The community assembly patterns determined differences between the surface and the core microbial communities of Nongxiangxing Daqu. LWT-Food Sci. Technol. 2023, 183, 114936. [Google Scholar] [CrossRef]
- Aguilar, P.; Sommaruga, R. The balance between deterministic and stochastic processes in structuring lake bacterioplankton community over time. Mol. Ecol. 2020, 29, 3117–3130. [Google Scholar] [CrossRef]
- Menéndez-Serra, M.; Ontiveros, V.J.; Cáliz, J.; Alonso, D.; Casamayor, E.O. Understanding stochastic and deterministic assembly processes in microbial communities along temporal, spatial and environmental scales. Mol. Ecol. 2023, 32, 1629–1638. [Google Scholar] [CrossRef]
- Yuan, H.Y.; Mei, R.; Liao, J.H.; Liu, W.T. Nexus of Stochastic and Deterministic Processes on Microbial Community Assembly in Biological Systems. Front. Microbiol. 2019, 10, 1536. [Google Scholar] [CrossRef] [PubMed]
- Liu, W.J.; Graham, E.B.; Dong, Y.; Zhong, L.H.; Zhang, J.W.; Qiu, C.W.; Chen, R.R.; Lin, X.G.; Feng, Y.Z. Balanced stochastic versus deterministic assembly processes benefit diverse yet uneven ecosystem functions in representative agroecosystems. Environ. Microbiol. 2021, 23, 391–404. [Google Scholar] [CrossRef]
- Kong, Z.Y.; Wu, Z.J.; Glick, B.R.; He, S.Y.; Huang, C.; Wu, L. Co-occurrence patterns of microbial communities affected by inoculants of plant growth-promoting bacteria during phytoremediation of heavy metal contaminated soils. Ecotoxicol. Environ. Saf. 2019, 183, 109504. [Google Scholar] [CrossRef]
- Wang, X.; Wang, B.; Sun, Z.; Tan, W.; Zheng, J.; Zhu, W. Effects of modernized fermentation on the microbial community succession and ethyl lactate metabolism in Chinese baijiu fermentation. Food Res. Int. 2022, 159, 111566. [Google Scholar] [CrossRef]
- Yang, Y.; Zou, Y.; Zeng, K.; Chen, D.; Li, Z.; Guo, H.; Huang, D.; Wang, X.; Luo, H. Effect of Bacillus subtilis fortified inoculation on the microbial communities in different niches of Daqu. J. Biosci. Bioeng. 2022, 134, 407–415. [Google Scholar] [CrossRef] [PubMed]
- Zhang, Y.; Shen, Y.; Cheng, W.; Wang, X.; Xue, Y.; Chen, X.; Han, B.Z. Understanding the Shifts of Microbial Community and Metabolite Profile from Wheat to Mature Daqu. Front. Microbiol. 2021, 12, 714726. [Google Scholar] [CrossRef]
- Samaddar, S.; Chatterjee, P.; Truu, J.; Anandham, R.; Kim, S.; Sa, T. Long-term phosphorus limitation changes the bacterial community structure and functioning in paddy soils. Appl. Soil Ecol. 2019, 134, 111–115. [Google Scholar] [CrossRef]
- Xu, M.; Liao, H.; Qin, F.; Gao, S.H.; Ma, S.L.; Chen, W.L.; Huang, Q.Y.; Hao, X.L. Deciphering the role of biotic factors in community assembly and diversity patterns of soil bacterial communities under different land use. Ecol. Indic. 2023, 157, 111273. [Google Scholar] [CrossRef]
- Xun, W.B.; Liu, Y.P.; Li, W.; Ren, Y.; Xiong, W.; Xu, Z.H.; Zhang, N.; Miao, Y.Z.; Shen, Q.R.; Zhang, R.F. Specialized metabolic functions of keystone taxa sustain soil microbiome stability. Microbiome 2021, 9, 35. [Google Scholar] [CrossRef]
- Deng, J.; Zheng, J.; Huang, D.; Huang, Z.G.; Ye, G.B.; Luo, H.B. Characterization of physicochemical properties, volatile compounds and microbial community structure in four types of Daqu. LWT-Food Sci. Technol. 2023, 184, 115064. [Google Scholar] [CrossRef]
- Zhou, Y.; Liu, N.; Li, Z.; Peng, K.; Wang, C.; Xia, Y.; Huang, D.; Luo, H. The rate of change in temperature and humidity during the temperature increase period determines the microbial community structure and function of Medium-high temperature Daqu. Food Biosci. 2025, 70, 106990. [Google Scholar] [CrossRef]
- Hou, X.G.; Hui, M.; Sun, Z.K.; Li, X.S.; Shi, X.; Xiao, R.; Wang, J.F.; Pan, C.M.; Li, R.F. Comparative analysis of the microbiotas and physicochemical properties inside and outside medium-temperature Daqu during the fermentation and storage. Front. Microbiol. 2022, 13, 934696. [Google Scholar] [CrossRef] [PubMed]
- Ren, H.W.; Sun, Y.F.; Yang, Y.F.; Li, Y.F.; Guo, X.P.; Zhang, B.Y.; Zhao, H.Y.; Ma, D.L.; Zhang, Z.L. Unraveling the correlations between microbial communities and metabolic profiles of strong-flavor Jinhui Daqu with different storage periods. Food Microbiol. 2024, 121, 104497. [Google Scholar] [CrossRef]
- Ma, S.; Li, Y.; Chen, C.; Dong, Y.; Huang, P.; Tu, R.; Liu, X.; Zhou, R.; Wu, C. Metabolic interactions drive microbial community succession and functional expression of Nongxiangxing (Strong-flavor) daqu. J. Adv. Res. 2025. Online ahead of print.








| Bacterial Genus | Time Series Model | p-Value (≤0.05) |
|---|---|---|
| Weissella | ARIMA | <0.001 |
| Lactobacillus | ARIMA | <0.001 |
| Bacillus | Exponential Smoothing | <0.001 |
| Pediococcus | Exponential Smoothing | 0.042 |
| Thermoactinomyces | ARIMA | <0.001 |
| Lactococcus | Exponential Smoothing | 0.043 |
| Fungal Genus | Time Series Model | p-Value (≤0.05) |
|---|---|---|
| Wickerhamomyces | Exponential Smoothing | 0.020 |
| Thermoascus | Exponential Smoothing | 0.007 |
| Saccharomycopsis | Exponential Smoothing | 0.003 |
| Saccharomyces | Exponential Smoothing | 0.031 |
| Pichia | Exponential Smoothing | <0.001 |
| Thermomyces | Exponential Smoothing | 0.014 |
Disclaimer/Publisher’s Note: The statements, opinions and data contained in all publications are solely those of the individual author(s) and contributor(s) and not of MDPI and/or the editor(s). MDPI and/or the editor(s) disclaim responsibility for any injury to people or property resulting from any ideas, methods, instructions or products referred to in the content. |
© 2026 by the authors. Licensee MDPI, Basel, Switzerland. This article is an open access article distributed under the terms and conditions of the Creative Commons Attribution (CC BY) license.
Share and Cite
Wang, D.; Wang, F.; Tang, P.; Wang, L.; Xie, Y.; Xiong, M.; Luo, Q.; Luo, Y.; Huang, D.; Yang, L. Deterministic Drivers of Microbial Community Succession in Nongxiang Daqu Fermentation: Fungi Exhibit Stronger Environmental Selection Imprints than Bacteria. Fermentation 2026, 12, 193. https://doi.org/10.3390/fermentation12040193
Wang D, Wang F, Tang P, Wang L, Xie Y, Xiong M, Luo Q, Luo Y, Huang D, Yang L. Deterministic Drivers of Microbial Community Succession in Nongxiang Daqu Fermentation: Fungi Exhibit Stronger Environmental Selection Imprints than Bacteria. Fermentation. 2026; 12(4):193. https://doi.org/10.3390/fermentation12040193
Chicago/Turabian StyleWang, Dongmei, Fei Wang, Ping Tang, Lei Wang, Yusheng Xie, Maosen Xiong, Qian Luo, Yanping Luo, Dan Huang, and Lei Yang. 2026. "Deterministic Drivers of Microbial Community Succession in Nongxiang Daqu Fermentation: Fungi Exhibit Stronger Environmental Selection Imprints than Bacteria" Fermentation 12, no. 4: 193. https://doi.org/10.3390/fermentation12040193
APA StyleWang, D., Wang, F., Tang, P., Wang, L., Xie, Y., Xiong, M., Luo, Q., Luo, Y., Huang, D., & Yang, L. (2026). Deterministic Drivers of Microbial Community Succession in Nongxiang Daqu Fermentation: Fungi Exhibit Stronger Environmental Selection Imprints than Bacteria. Fermentation, 12(4), 193. https://doi.org/10.3390/fermentation12040193

