Targeted Redesign and Optimization of Culture Media for Ethylene Glycol Biosynthesis in Komagataella phaffii
Abstract
1. Introduction
2. Materials and Methods
2.1. Organism and Inoculum Preparation
2.2. Cultivation Parameters
2.3. Comparative Evaluation of Culture Media
2.4. The Effects of Individual Vitamins, Non-Essential Amino Acids, and Trace Elements on EG Production
2.5. Optimization of Salt Composition in Culture Media
2.6. Validation of Model Predictions and Feasibility of Optimized Media Conditions
2.7. Analytical Methods
2.8. Statistical Analysis
3. Results and Discussion
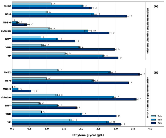
3.1. Comparative Evaluation of Culture Media
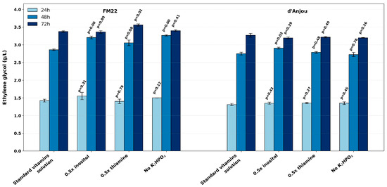
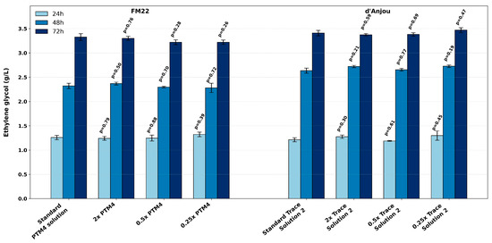
3.2. Effect of Individual Vitamins, Non-Essential Amino Acids, and Trace Elements on EG Production
3.3. Optimization of Salt Composition in Culture Media
3.4. Validation of Model Predictions and Feasibility of Optimized Media Conditions
4. Conclusions
Author Contributions
Funding
Data Availability Statement
Conflicts of Interest
References
- Wong, M.K.; Lock, S.S.M.; Chan, Y.H.; Yeoh, S.J.; Tan, I.S. Towards Sustainable Production of Bio-Based Ethylene Glycol: Progress, Perspective and Challenges in Catalytic Conversion and Purification. Chem. Eng. J. 2023, 468, 143699. [Google Scholar] [CrossRef]
- Zhang, Z.; Yang, Y.; Wang, Y.; Gu, J.; Lu, X.; Liao, X.; Shi, J.; Kim, C.H.; Lye, G.; Baganz, F.; et al. Ethylene Glycol and Glycolic Acid Production from Xylonic Acid by Enterobacter Cloacae. Microb. Cell Fact. 2020, 19, 89. [Google Scholar] [CrossRef] [PubMed]
- Jong, E.d.; Stichnothe, H.; Bell, G.; Jørgensen, H. Task 42-Bio-Based Chemicals: A 2020 Update; IEA Bioenergy: Vienna, Austria.
- Ding, L.; Tang, J.; Qiao, X.; Liu, C.; Xue, Y.; Wu, G. Design and Analysis of an Intensified Column with Side Reactor Configuration for Ethylene Glycol Production from Ethylene Oxide. Chem. Eng. Process. Process Intensif. 2020, 147, 107744. [Google Scholar] [CrossRef]
- Carneiro, C.V.G.C.; Trichez, D.; Bergmann, J.C.; Reis, V.C.B.; Wagner, N.; Walther, T.; Almeida, J.R.M.D. Engineering Komagataella Phaffii for Ethylene Glycol Production from Xylose. AMB Expr. 2024, 14, 131. [Google Scholar] [CrossRef] [PubMed]
- Safder, I.; Khan, S.; Islam, I.-U.; Ali, M.K.; Bibi, Z.; Waqas, M. Pichia pastoris Expression System: A Potential Candidate to Express Protein in Industrial and Biopharmaceutical Domains. Biomed. Lett. 2018, 4, 1–14. [Google Scholar]
- Karbalaei, M.; Rezaee, S.A.; Farsiani, H. Pichia pastoris: A Highly Successful Expression System for Optimal Synthesis of Heterologous Proteins. J. Cell Physiol. 2020, 235, 5867–5881. [Google Scholar] [CrossRef] [PubMed]
- Looser, V.; Bruhlmann, B.; Bumbak, F.; Stenger, C.; Costa, M.; Camattari, A.; Fotiadis, D.; Kovar, K. Cultivation Strategies to Enhance Productivity of Pichia pastoris: A Review. Biotechnol. Adv. 2015, 33, 1177–1193. [Google Scholar] [CrossRef] [PubMed]
- Cankorur-Cetinkaya, A.; Narraidoo, N.; Kasavi, C.; Slater, N.K.H.; Archer, D.B.; Oliver, S.G. Process Development for the Continuous Production of Heterologous Proteins by the Industrial Yeast, Komagataella phaffii. Biotechnol. Bioeng. 2018, 115, 2962–2973. [Google Scholar] [CrossRef] [PubMed]
- Lee, J.A.; Kim, H.U.; Na, J.-G.; Ko, Y.-S.; Cho, J.S.; Lee, S.Y. Factors Affecting the Competitiveness of Bacterial Fermentation. Trends Biotechnol. 2023, 41, 798–816. [Google Scholar] [CrossRef] [PubMed]
- Ozawa, Y.; Hashizume, T.; Ying, B.-W. A Data-Driven Approach for Cell Culture Medium Optimization. Biochem. Eng. J. 2025, 214, 109591. [Google Scholar] [CrossRef]
- Hahn-Hägerdal, B.; Karhumaa, K.; Larsson, C.U.; Gorwa-Grauslund, M.; Görgens, J.; van Zyl, W.H. Role of Cultivation Media in the Development of Yeast Strains for Large Scale Industrial Use. Microb. Cell Fact. 2005, 4, 31. [Google Scholar] [CrossRef] [PubMed]
- Burghardt, J.P.; Oestreich, A.M.; Weidner, T.; Gerlach, D.; Czermak, P. Development of a Chemically Defined Fermentation Medium for the Production of a New Recombinant Fructosyltransferase. IJPMBS 2018, 7, 71–77. [Google Scholar] [CrossRef]
- Joseph, J.A.; Akkermans, S.; Van Impe, J.F. Macroscopic Modeling of the Growth and Substrate Consumption of Wild Type and Genetically Modified Pichia pastoris. Biotechnol. J. 2023, 18, 2300164. [Google Scholar] [CrossRef] [PubMed]
- Zhou, Z.; Zhou, H.; Zhang, J. Development of Wheat Bran Hydrolysate as Komagataella Phaffii Medium for Heterologous Protein Production. Bioprocess. Biosyst. Eng. 2021, 44, 2645–2654. [Google Scholar] [CrossRef] [PubMed]
- Higgins, D.R.; Cregg, J.M. (Eds.) Pichia Protocols; Methods in Molecular Biology; Humana Press: Totowa, NJ, USA, 1998; ISBN 978-0-89603-421-1. [Google Scholar]
- Charoenrat, T.; Khumruaengsri, N.; Promdonkoy, P.; Rattanaphan, N.; Eurwilaichitr, L.; Tanapongpipat, S.; Roongsawang, N. Improvement of Recombinant Endoglucanase Produced in Pichia pastoris KM71 through the Use of Synthetic Medium for Inoculum and pH Control of Proteolysis. J. Biosci. Bioeng. 2013, 116, 193–198. [Google Scholar] [CrossRef] [PubMed]
- Carneiro, C.V.G.C.; Serra, L.A.; Pacheco, T.F.; Ferreira, L.M.M.; Brandão, L.T.D.; Freitas, M.N.D.M.; Trichez, D.; Almeida, J.R.M.D. Advances in Komagataella Phaffii Engineering for the Production of Renewable Chemicals and Proteins. Fermentation 2022, 8, 575. [Google Scholar] [CrossRef]
- Ghosalkar, A.; Sahai, V.; Srivastava, A. Optimization of Chemically Defined Medium for Recombinant Pichia pastoris for Biomass Production. Bioresour. Technol. 2008, 99, 7906–7910. [Google Scholar] [CrossRef] [PubMed]
- Matthews, C.B.; Kuo, A.; Love, K.R.; Love, J.C. Development of a General Defined Medium for Pichia pastoris. Biotechnol. Bioeng. 2018, 115, 103–113. [Google Scholar] [CrossRef] [PubMed]
- Stratton, J.; Chiruvolu, V.; Meagher, M. High Cell-Density Fermentation. In Pichia Protocols; Higgins, D.R., Cregg, J.M., Eds.; Methods in Molecular Biology; Humana Press: Totowa, NJ, USA, 1998; Volume 103, pp. 107–120. ISBN 978-0-89603-421-1. [Google Scholar]
- Pais-Chanfrau, J.M.; Trujillo-Toledo, L.E. Optimization of Culture Medium for Large-Scale Production of Heterologous Proteins in Pichia pastoris to Be Used in Nanoscience and Other Biotechnological Fields. Biol. Med. 2016, 8, 279–282. [Google Scholar] [CrossRef]
- D’anjou, M.C.; Daugulis, A.J. A Rational Approach to Improving Productivity in recombinant Pichia pastoris Fermentation. Biotechnol. Bioeng. 2001, 72, 1–11. [Google Scholar] [CrossRef] [PubMed]
- Makeeva, A.S.; Sidorin, A.V.; Ishtuganova, V.V.; Padkina, M.V.; Rumyantsev, A.M. Effect of Biotin Starvation on Gene Expression in Komagataella Phaffii Cells. Biochemistry 2023, 88, 1368–1377. [Google Scholar] [CrossRef] [PubMed]
- Nieto-Taype, M.A.; Garcia-Ortega, X.; Albiol, J.; Montesinos-Seguí, J.L.; Valero, F. Continuous Cultivation as a Tool Toward the Rational Bioprocess Development With Pichia pastoris Cell Factory. Front. Bioeng. Biotechnol. 2020, 8, 632. [Google Scholar] [CrossRef] [PubMed]
- Ianshina, T.; Sidorin, A.; Petrova, K.; Shubert, M.; Makeeva, A.; Sambuk, E.; Govdi, A.; Rumyantsev, A.; Padkina, M. Effect of Methionine on Gene Expression in Komagataella Phaffii Cells. Microorganisms 2023, 11, 877. [Google Scholar] [CrossRef] [PubMed]
- Rajak, N.; Dey, T.; Sharma, Y.; Bellad, V.; Rangarajan, P.N. Unlocking Nature’s Toolbox: Glutamate-Inducible Recombinant Protein Production from the Komagatella Phaffii PEPCK Promoter. Microb. Cell Fact. 2024, 23, 66. [Google Scholar] [CrossRef] [PubMed]
- Wu, Z.; Song, L.; Liu, S.Q.; Huang, D. Independent and Additive Effects of Glutamic Acid and Methionine on Yeast Longevity. PLoS ONE 2013, 8, e79319. [Google Scholar] [CrossRef] [PubMed]
- Murakami, C.J.; Wall, V.; Basisty, N.; Kaeberlein, M. Composition and Acidification of the Culture Medium Influences Chronological Aging Similarly in Vineyard and Laboratory Yeast. PLoS ONE 2011, 6, e24530. [Google Scholar] [CrossRef] [PubMed]
- Koc, A.; Gasch, A.P.; Rutherford, J.C.; Kim, H.-Y.; Gladyshev, V.N. Methionine Sulfoxide Reductase Regulation of Yeast Lifespan Reveals Reactive Oxygen Species-Dependent and -Independent Components of Aging. Proc. Natl. Acad. Sci. USA 2004, 101, 7999–8004. [Google Scholar] [CrossRef] [PubMed]
- Wegner, E.H. Biochemical Conversions by Yeast Fermentation at High Cell Densities. U.S. Patent 4,414,329, 8 November 1983. [Google Scholar]
- Perli, T.; Wronska, A.K.; Ortiz-Merino, R.A.; Pronk, J.T.; Daran, J. Vitamin Requirements and Biosynthesis in Saccharomyces Cerevisiae. Yeast 2020, 37, 283–304. [Google Scholar] [CrossRef] [PubMed]
- Henry, S.A.; Gaspar, M.L.; Jesch, S.A. The Response to Inositol: Regulation of Glycerolipid Metabolism and Stress Response Signaling in Yeast. Chem. Phys. Lipids 2014, 180, 23–43. [Google Scholar] [CrossRef] [PubMed]
- Orlandi, I.; Alberghina, L.; Vai, M. Nicotinamide, Nicotinamide Riboside and Nicotinic Acid—Emerging Roles in Replicative and Chronological Aging in Yeast. Biomolecules 2020, 10, 604. [Google Scholar] [CrossRef] [PubMed]
- Miller, J.W.; Rucker, R.B. Pantothenic Acid. In Present Knowledge in Nutrition; Erdman, J.W., Macdonald, I.A., Zeisel, S.H., Eds.; Wiley: Hoboken, NJ, USA, 2012; pp. 375–390. ISBN 978-0-470-95917-6. [Google Scholar]
- Heyland, J.; Fu, J.; Blank, L.M.; Schmid, A. Carbon Metabolism Limits Recombinant Protein Production in Pichia pastoris. Biotechnol. Bioeng. 2011, 108, 1942–1953. [Google Scholar] [CrossRef] [PubMed]
- Plantz, B.A.; Nickerson, K.; Kachman, S.D.; Schlegel, V.L. Evaluation of Metals in a Defined Medium for Pichia pastoris Expressing Recombinant β-Galactosidase. Biotechnol. Prog. 2008, 23, 687–692. [Google Scholar] [CrossRef] [PubMed]
- Brady, C.P.; Shimp, R.L.; Miles, A.P.; Whitmore, M.; Stowers, A.W. High-Level Production and Purification of P30P2MSP119, an Important Vaccine Antigen for Malaria, Expressed in the Methylotropic Yeast Pichia pastoris. Protein Expr. Purif. 2001, 23, 468–475. [Google Scholar] [CrossRef] [PubMed]
- Duman, Z.E.; Duraksoy, B.B.; Aktaş, F.; Woodley, J.M.; Binay, B. High-Level Heterologous Expression of Active Chaetomium Thermophilum FDH in Pichia pastoris. Enzyme Microb. Technol. 2020, 137, 109552. [Google Scholar] [CrossRef] [PubMed]
- Krahulec, J.; Šafránek, M. Impact of Media Components from Different Suppliers on Enterokinase Productivity in Pichia pastoris. BMC Biotechnol. 2021, 21, 19. [Google Scholar] [CrossRef] [PubMed]
- Wang, J.; Nguyen, V.; Glen, J.; Henderson, B.; Saul, A.; Miller, L.H. Improved Yield of Recombinant Merozoite Surface Protein 3 (MSP3) from Pichia pastoris Using Chemically Defined Media. Biotechnol. Bioeng. 2005, 90, 838–847. [Google Scholar] [CrossRef] [PubMed]
- Zhang, W.; Sinha, J.; Meagher, M.M. Glycerophosphate as a Phosphorus Source in a Defined Medium for Pichia pastoris Fermentation. Appl. Microbiol. Biotechnol. 2006, 72, 139–144. [Google Scholar] [CrossRef] [PubMed]






| Component (g/L) | FM22 | BSM | MBSM | d’Anjou | BMY | YNB | YP |
|---|---|---|---|---|---|---|---|
| KH2PO4 (Sigma-Aldrich, St. Louis, MO, USA) | 42.9 | - | 10.0 | 12.0 | - | - | - |
| (NH4)2SO4 (Sigma-Aldrich) | 5.0 | - | - | 20.0 | - | - | - |
| CaSO4·2H2O (Sigma-Aldrich) | 1.0 | 0.93 | - | - | - | - | - |
| K2SO4 (Sigma-Aldrich) | 14.3 | 18.2 | - | - | - | - | - |
| MgSO4·7H2O (Sigma-Aldrich) | 11.7 | 14.9 | 3.2 | 4.7 | - | - | - |
| KOH (Sigma-Aldrich) | - | 4.13 | - | - | - | - | - |
| H3PO4 85% (Sigma-Aldrich) | - | 26.7 mL | - | - | - | - | - |
| CaCl2.2H2O (Sigma-Aldrich) | - | - | 0.35 | 0.36 | - | - | - |
| Yeast Extract (Kasvi, Curitiba, PR, Brazil) | - | - | - | - | 10.0 | - | 10.0 |
| Bacteriological peptone (Kasvi) | - | - | - | - | 20.0 | - | 20.0 |
| Yeast nitrogen base (Kasvi) | - | - | - | - | 13.4 | 13.4 | - |
| Phosphate buffer pH 6.0 | - | - | - | - | 1.0 M | 1.0 M | - |
| PTM4 salts | 4.0 mL | - | - | - | - | - | - |
| PTM1 salts | - | 4.0 mL | - | - | - | - | - |
| Trace Solution 1 | - | - | 4.3 mL | - | - | - | - |
| Trace Solution 2 | - | - | - | 1.0 mL | - | - | - |
| Component (g/L) | PTM4 | PTM1 | Trace Solution 1 | Trace Solution 2 |
|---|---|---|---|---|
| CuSO4.5H2O (Sigma-Aldrich, St. Louis, MO, USA) | 2.00 | 6.00 | 6.00 | - |
| NaI (Sigma-Aldrich) | 0.08 | 0.08 | - | - |
| MnSO4 (Sigma-Aldrich) | 3.00 | 3.0 | 3.00 | 0.159 |
| Na2MoO4.2H2O (Sigma-Aldrich) | 0.20 | 0.20 | 1.00 | 0.071 |
| H3BO3 (PanReac, Barcelona, Spain) | 0.02 | 0.02 | 0.01 | 0.026 |
| CaSO4·2H2O (Sigma-Aldrich) | 0.50 | - | - | 0.007 |
| CoCl2 (Sigma-Aldrich) | 0.50 | 0.50 | - | - |
| ZnCl2 (Sigma-Aldrich) | 7.00 | 20.00 | - | - |
| FeSO4.7H2O (Dinâmica, Indaiatuba, SP, Brazil) | 22.00 | 65.00 | 65.00 | - |
| Biotin (Sigma-Aldrich) | 0.0125 | 0.0125 | 0.012 | 0.05 |
| H2SO4 (J.T. Baker, Phillipsburg, NJ, USA) | 1.0 mL | 5.0 mL | 98.0 mL | - |
| ZnSO4.7H2O (Sigma-Aldrich) | - | - | 20.00 | 0.621 |
| KI (Amresco, Solon, OH, USA) | - | - | 0.42 | 0.044 |
| FeCl3.6H2O (Sigma-Aldrich) | - | - | - | 1.579 |
| Component | g/L |
|---|---|
| Pantothenic acid (Sigma-Aldrich, St. Louis, MO, USA) | 0.8 |
| Inositol (ACS Científica, Sumaré, SP, Brazil) | 8.0 |
| Thiamine dichloride (ACS Científica) | 0.8 |
| Pyridoxine hydrochloride (ACS Científica) | 0.8 |
| Nicotinic acid (Sigma-Aldrich) | 0.2 |
| Biotin (Sigma-Aldrich) | 0.8 |
| K2HPO4 (Sigma-Aldrich) | 4.0 |
| Concentration (g/L) (Coded VALUE) | ||||||||
|---|---|---|---|---|---|---|---|---|
| Run | KH2PO4 (X1) | (NH4)2SO4 (X2) | CaSO4·2H2O (X3) | K2SO4 (X4) | MgSO4·7H2O (X5) | Observed EG (g/L) | Predict EG (g/L) | Relative Error (%) |
| 1 | 17.46 (−1) | 3.49 (−1) | 0.55 (−1) | 6.98 (−1) | 6.98 (−1) | 3.49 | 3.47 | 0.64 |
| 2 | 17.46 (−1) | 3.49 (−1) | 0.55 (−1) | 6.98 (−1) | 15.02 (+1) | 3.51 | 3.45 | 1.46 |
| 3 | 17.46 (−1) | 3.49 (−1) | 0.55 (−1) | 15.02 (+1) | 6.98 (−1) | 3.51 | 3.47 | 1.21 |
| 4 | 17.46 (−1) | 3.49 (−1) | 0.55 (−1) | 15.02 (+1) | 15.02 (+1) | 3.52 | 3.45 | 1.88 |
| 5 | 17.46 (−1) | 3.49 (−1) | 1.45 (+1) | 6.98 (−1) | 6.98 (−1) | 3.56 | 3.57 | 0.56 |
| 6 | 17.46 (−1) | 3.49 (−1) | 1.45 (+1) | 6.98 (−1) | 15.02 (+1) | 3.55 | 3.49 | 1.69 |
| 7 | 17.46 (−1) | 3.49 (−1) | 1.45 (+1) | 15.02 (+1) | 6.98 (−1) | 3.58 | 3.50 | 2.28 |
| 8 | 17.46 (−1) | 3.49 (−1) | 1.45 (+1) | 15.02 (+1) | 15.02 (+1) | 3.35 | 3.41 | 2.04 |
| 9 | 17.46 (−1) | 7.51 (+1) | 0.55 (−1) | 6.98 (−1) | 6.98 (−1) | 3.48 | 3.42 | 1.63 |
| 10 | 17.46 (−1) | 7.51 (+1) | 0.55 (−1) | 6.98 (−1) | 15.02 (+1) | 3.56 | 3.50 | 1.45 |
| 11 | 17.46 (−1) | 7.51 (+1) | 0.55 (−1) | 15.02 (+1) | 6.98 (−1) | 3.44 | 3.42 | 0.49 |
| 12 | 17.46 (−1) | 7.51 (+1) | 0.55 (−1) | 15.02 (+1) | 15.02 (+1) | 3.54 | 3.50 | 1.04 |
| 13 | 17.46 (−1) | 7.51 (+1) | 1.45 (+1) | 6.98 (−1) | 6.98 (−1) | 3.51 | 3.53 | 0.58 |
| 14 | 17.46 (−1) | 7.51 (+1) | 1.45 (+1) | 6.98 (−1) | 15.02 (+1) | 3.50 | 3.54 | 1.12 |
| 15 | 17.46 (−1) | 7.51 (+1) | 1.45 (+1) | 15.02 (+1) | 6.98 (−1) | 3.47 | 3.45 | 0.46 |
| 16 | 17.46 (−1) | 7.51 (+1) | 1.45 (+1) | 15.02 (+1) | 15.02 (+1) | 3.45 | 3.46 | 0.51 |
| 17 | 37.54 (+1) | 3.49 (−1) | 0.55 (−1) | 6.98 (−1) | 6.98 (−1) | 3.35 | 3.32 | 0.86 |
| 18 | 37.54 (+1) | 3.49 (−1) | 0.55 (−1) | 6.98 (−1) | 15.02 (+1) | 3.29 | 3.31 | 0.53 |
| 19 | 37.54 (+1) | 3.49 (−1) | 0.55 (−1) | 15.02 (+1) | 6.98 (−1) | 3.28 | 3.25 | 0.89 |
| 20 | 37.54 (+1) | 3.49 (−1) | 0.55 (−1) | 15.02 (+1) | 15.02 (+1) | 3.23 | 3.23 | 0.22 |
| 21 | 37.54 (+1) | 3.49 (−1) | 1.45 (+1) | 6.98 (−1) | 6.98 (−1) | 3.46 | 3.43 | 0.77 |
| 22 | 37.54 (+1) | 3.49 (−1) | 1.45 (+1) | 6.98 (−1) | 15.02 (+1) | 3.35 | 3.34 | 0.19 |
| 23 | 37.54 (+1) | 3.49 (−1) | 1.45 (+1) | 15.02 (+1) | 6.98 (−1) | 3.29 | 3.28 | 0.40 |
| 24 | 37.54 (+1) | 3.49 (−1) | 1.45 (+1) | 15.02 (+1) | 15.02 (+1) | 3.29 | 3.19 | 2.99 |
| 25 | 37.54 (+1) | 7.51 (+1) | 0.55 (−1) | 6.98 (−1) | 6.98 (−1) | 3.34 | 3.27 | 2.04 |
| 26 | 37.54 (+1) | 7.51 (+1) | 0.55 (−1) | 6.98 (−1) | 15.02 (+1) | 3.36 | 3.36 | 0.06 |
| 27 | 37.54 (+1) | 7.51 (+1) | 0.55 (−1) | 15.02 (+1) | 6.98 (−1) | 3.22 | 3.20 | 0.58 |
| 28 | 37.54 (+1) | 7.51 (+1) | 0.55 (−1) | 15.02 (+1) | 15.02 (+1) | 3.25 | 3.28 | 0.97 |
| 29 | 37.54 (+1) | 7.51 (+1) | 1.45 (+1) | 6.98 (−1) | 6.98 (−1) | 3.38 | 3.38 | 0.12 |
| 30 | 37.54 (+1) | 7.51 (+1) | 1.45 (+1) | 6.98 (−1) | 15.02 (+1) | 3.43 | 3.39 | 0.94 |
| 31 | 37.54 (+1) | 7.51 (+1) | 1.45 (+1) | 15.02 (+1) | 6.98 (−1) | 3.20 | 3.23 | 0.85 |
| 32 | 37.54 (+1) | 7.51 (+1) | 1.45 (+1) | 15.02 (+1) | 15.02 (+1) | 3.20 | 3.24 | 1.28 |
| 33 | 5 (−α) | 5.5 (0) | 1 (0) | 11 (0) | 11 (0) | 3.39 | 3.48 | 2.94 |
| 34 | 50 (+α) | 5.5 (0) | 1 (0) | 11 (0) | 11 (0) | 3.09 | 3.07 | 0.57 |
| 35 | 27.5 (0) | 1 (−α) | 1 (0) | 11 (0) | 11 (0) | 3.34 | 3.41 | 2.31 |
| 36 | 27.5 (0) | 10 (+α) | 1 (0) | 11 (0) | 11 (0) | 3.36 | 3.41 | 1.70 |
| 37 | 27.5 (0) | 5.5 (0) | 0 (−α) | 11 (0) | 11 (0) | 3.25 | 3.37 | 3.83 |
| 38 | 27.5 (0) | 5.5 (0) | 2 (+α) | 11 (0) | 11 (0) | 3.43 | 3.45 | 0.57 |
| 39 | 27.5 (0) | 5.5 (0) | 1 (0) | 2 (−α) | 11 (0) | 3.50 | 3.50 | 0.08 |
| 40 | 27.5 (0) | 5.5 (0) | 1 (0) | 20 (+α) | 11 (0) | 3.31 | 3.33 | 0.51 |
| 41 | 27.5 (0) | 5.5 (0) | 1 (0) | 11 (0) | 2 (−α) | 3.31 | 3.41 | 3.08 |
| 42 | 27.5 (0) | 5.5 (0) | 1 (0) | 11 (0) | 20 (+α) | 3.39 | 3.41 | 0.80 |
| 43 | 27.5 (0) | 5.5 (0) | 1 (0) | 11 (0) | 11 (0) | 3.45 | 3.41 | 0.96 |
| 44 | 27.5 (0) | 5.5 (0) | 1 (0) | 11 (0) | 11 (0) | 3.46 | 3.41 | 1.24 |
| 45 | 27.5 (0) | 5.5 (0) | 1 (0) | 11 (0) | 11 (0) | 3.43 | 3.41 | 0.52 |
| Concentration (g/L) (Coded Value) | |||||||
|---|---|---|---|---|---|---|---|
| Run | KH2PO4 (X1) | CaCl2 (X2) | (NH4)2SO4 (X3) | MgSO4·7H2O (X4) | Observed EG (g/L) | Predict EG (g/L) | Relative Error (%) |
| 1 | 6.5 (−1) | 0.25 (−1) | 11.25 (−1) | 4 (−1) | 3.07 | 3.09 | 0.70 |
| 2 | 15.5 (+1) | 0.25 (−1) | 11.25 (−1) | 4 (−1) | 3.49 | 3.53 | 1.08 |
| 3 | 6.5 (−1) | 0.75 (+1) | 11.25 (−1) | 4 (−1) | 3.20 | 3.09 | 3.39 |
| 4 | 15.5 (+1) | 0.75 (+1) | 11.25 (−1) | 4 (−1) | 3.53 | 3.53 | 0.06 |
| 5 | 6.5 (−1) | 0.25 (−1) | 23.75 (+1) | 4 (−1) | 3.23 | 3.21 | 0.60 |
| 6 | 15.5 (+1) | 0.25 (−1) | 23.75 (+1) | 4 (−1) | 3.37 | 3.41 | 1.29 |
| 7 | 6.5 (−1) | 0.75 (+1) | 23.75 (+1) | 4 (−1) | 3.20 | 3.21 | 0.34 |
| 8 | 15.5 (+1) | 0.75 (+1) | 23.75 (+1) | 4 (−1) | 3.38 | 3.41 | 0.99 |
| 9 | 6.5 (−1) | 0.25 (−1) | 11.25 (−1) | 8 (+1) | 3.08 | 2.99 | 2.97 |
| 10 | 15.5 (+1) | 0.25 (−1) | 11.25 (−1) | 8 (+1) | 3.50 | 3.43 | 2.00 |
| 11 | 6.5 (−1) | 0.75 (+1) | 11.25 (−1) | 8 (+1) | 3.17 | 2.99 | 5.72 |
| 12 | 15.5 (+1) | 0.75 (+1) | 11.25 (−1) | 8 (+1) | 3.49 | 3.43 | 1.86 |
| 13 | 6.5 (−1) | 0.25 (−1) | 23.75 (+1) | 8 (+1) | 3.27 | 3.10 | 4.96 |
| 14 | 15.5 (+1) | 0.25 (−1) | 23.75 (+1) | 8 (+1) | 3.30 | 3.31 | 0.47 |
| 15 | 6.5 (−1) | 0.75 (+1) | 23.75 (+1) | 8 (+1) | 3.23 | 3.10 | 3.78 |
| 16 | 15.5 (+1) | 0.75 (+1) | 23.75 (+1) | 8 (+1) | 3.44 | 3.31 | 3.62 |
| 17 | 2 (−α) | 0.5 (0) | 17.5 (0) | 6 (0) | 2.47 | 2.69 | 9.27 |
| 18 | 20 (+α) | 0.5 (0) | 17.5 (0) | 6 (0) | 3.37 | 3.34 | 0.97 |
| 19 | 11 (0) | 0 (−α) | 17.5 (0) | 6 (0) | 3.28 | 3.42 | 4.30 |
| 20 | 11 (0) | 1 (+α) | 17.5 (0) | 6 (0) | 3.50 | 3.42 | 2.26 |
| 21 | 11 (0) | 0.5 (0) | 5 (−α) | 6 (0) | 3.36 | 3.42 | 1.97 |
| 22 | 11 (0) | 0.5 (0) | 30 (+α) | 6 (0) | 3.33 | 3.42 | 2.73 |
| 23 | 11 (0) | 0.5 (0) | 17.5 (0) | 2 (−α) | 3.39 | 3.28 | 3.16 |
| 24 | 11 (0) | 0.5 (0) | 17.5 (0) | 10 (+α) | 2.77 | 3.07 | 10.92 |
| 25 | 11 (0) | 0.5 (0) | 17.5 (0) | 6 (0) | 3.35 | 3.42 | 2.27 |
| 26 | 11 (0) | 0.5 (0) | 17.5 (0) | 6 (0) | 3.28 | 3.42 | 4.30 |
| 27 | 11 (0) | 0.5 (0) | 17.5 (0) | 6 (0) | 3.47 | 3.42 | 1.27 |
Disclaimer/Publisher’s Note: The statements, opinions and data contained in all publications are solely those of the individual author(s) and contributor(s) and not of MDPI and/or the editor(s). MDPI and/or the editor(s) disclaim responsibility for any injury to people or property resulting from any ideas, methods, instructions or products referred to in the content. |
© 2025 by the authors. Licensee MDPI, Basel, Switzerland. This article is an open access article distributed under the terms and conditions of the Creative Commons Attribution (CC BY) license (https://creativecommons.org/licenses/by/4.0/).
Share and Cite
Pacheco, T.F.; Almeida, J.R.M.d. Targeted Redesign and Optimization of Culture Media for Ethylene Glycol Biosynthesis in Komagataella phaffii. Fermentation 2025, 11, 424. https://doi.org/10.3390/fermentation11080424
Pacheco TF, Almeida JRMd. Targeted Redesign and Optimization of Culture Media for Ethylene Glycol Biosynthesis in Komagataella phaffii. Fermentation. 2025; 11(8):424. https://doi.org/10.3390/fermentation11080424
Chicago/Turabian StylePacheco, Thályta Fraga, and João Ricardo Moreira de Almeida. 2025. "Targeted Redesign and Optimization of Culture Media for Ethylene Glycol Biosynthesis in Komagataella phaffii" Fermentation 11, no. 8: 424. https://doi.org/10.3390/fermentation11080424
APA StylePacheco, T. F., & Almeida, J. R. M. d. (2025). Targeted Redesign and Optimization of Culture Media for Ethylene Glycol Biosynthesis in Komagataella phaffii. Fermentation, 11(8), 424. https://doi.org/10.3390/fermentation11080424

