Next Article in Journal
Optimization of Time-Varying Temperature Profiles for Enhanced Beer Fermentation by Evolutive Algorithms
Previous Article in Journal
Isolation and Identification of Novel Non-Dairy Starter Culture Candidates from Plant Matrix Using Backslopping Propagation
 
 
Font Type:
Arial Georgia Verdana
Font Size:
Aa Aa Aa
Line Spacing:
Column Width:
Background:
Communication

Microbial Community, Fatty Acid Composition, and Health Potential of Horse Oil Fermented with Barley Nuruk

1
Department of Chemistry and Cosmetics, Jeju Inside Agency and Cosmetic Science Center, Jeju National University, Jeju 63243, Republic of Korea
2
Department of Beauty and Cosmetology, Jeju National University, Jeju 63243, Republic of Korea
*
Author to whom correspondence should be addressed.
Fermentation 2025, 11(1), 1; https://doi.org/10.3390/fermentation11010001
Submission received: 5 December 2024 / Revised: 20 December 2024 / Accepted: 23 December 2024 / Published: 24 December 2024
(This article belongs to the Section Microbial Metabolism, Physiology & Genetics)

Abstract

This study investigates the multifunctional potential of horse oil fermented with barley nuruk, a traditional fermentation starter, focusing on its α-glucosidase inhibitory activity and bioactive applicability. Gas chromatography–tandem mass spectrometry (GC-MS/MS) revealed significant changes in fatty acid composition during fermentation, with oleic acid amide and palmitic acid amide remaining stable and stearic acid amide forming prominently by day 10. Molecular docking demonstrated that the amide structures play a key role in α-glucosidase inhibition through essential hydrogen bonding interactions. Next-generation sequencing (NGS) analysis showed a notable reduction in pathogenic bacteria, such as Salmonella enterica, and a dominance of Lactobacillus acidophilus (95.2%) by day 10. The α-glucosidase inhibitory activity increased progressively with fermentation, with the day 10 extract surpassing the synthetic inhibitor acarbose, highlighting its potential for diabetes management. A human skin primary irritation test confirmed the hypoallergenic nature of both hexane-extracted and fermented horse oil products, ensuring their safety for topical applications. In conclusion, fermented horse oil demonstrates significant α-glucosidase inhibitory activity and proven safety, positioning it as a promising natural resource for therapeutic and functional product development. Further studies are needed for clinical validation and commercialization in diabetes management and related applications.

1. Introduction

In recent years, fermentation technology has emerged as a significant research topic across various industries, extending beyond traditional food processing to encompass pharmaceuticals, functional foods, and cosmetic material development. Fermentation is a powerful process that enhances the bioactivity of raw materials by breaking down existing components or generating new functional metabolites through microbial metabolic activity. Notably, secondary metabolites produced during fermentation exhibit diverse bioactivities, including antioxidant, anti-inflammatory, and antidiabetic effects, playing a crucial role in promoting health and preventing diseases [1].
Diabetes is one of the most rapidly increasing metabolic disorders worldwide, with the prevalence of type 2 diabetes mellitus (T2DM) rising sharply. The World Health Organization (WHO) identifies diabetes as a leading cause of mortality and underscores the importance of postprandial blood glucose control. α-Glucosidase is an enzyme located in the intestinal epithelium that breaks down polysaccharides into monosaccharides. Inhibiting this enzyme delays carbohydrate digestion and absorption, thereby suppressing postprandial blood glucose levels. Consequently, α-glucosidase inhibitors have been widely utilized as therapeutic agents for T2DM [2,3].
While synthetic α-glucosidase inhibitors, such as acarbose and miglitol, are effective in blood glucose regulation, they are associated with adverse effects like indigestion and abdominal bloating in some patients. To overcome these limitations, considerable research has focused on discovering natural α-glucosidase inhibitors. Fermentation, in particular, shows great potential for enhancing the bioactivity of natural materials or producing novel functional compounds through microbial metabolic processes [4,5].
Horse oil, an animal-derived oil extracted primarily from horse adipose tissue, has been traditionally used as a topical remedy to promote skin health and hydration. Its fatty acid composition closely resembles human sebum, making it effective in strengthening the skin barrier, providing moisturization, and exhibiting anti-inflammatory effects. Horse oil has also been shown to facilitate wound healing, promote skin regeneration, and aid in the recovery of burns or irritated skin. Recent studies further highlight its multifunctional properties, including the suppression of skin inflammation and the mitigation of oxidative stress, positioning horse oil as a promising bioactive compound with diverse therapeutic applications.
Nuruk, a traditional fermentation starter developed in ancient East Asia, has its origins dating back to the second century BCE, as documented in the Rites of Zhou. The discovery of nuruk represents a pivotal milestone in East Asian culinary history, serving as the foundation for the production of various fermented foods, including makgeolli, vinegar, soy sauce, soju, and sake. Nuruk facilitates fermentation by producing saccharification enzymes, such as amylase, through the activity of complex microbial communities. The form and raw materials of nuruk vary depending on regional characteristics and environmental factors [6,7,8]. Notably, Jeju Island, characterized by its volcanic terrain and limited arable land, relied heavily on barley as a primary crop due to the challenges of cultivating rice and wheat. Consequently, barley-based nuruk became a cornerstone of Jeju’s distinctive fermentation culture, which developed unique traits that set it apart from the fermentation practices of mainland Korea [9,10].
Fermentation processes break down macromolecules into smaller molecules, thereby enhancing the digestibility and bioavailability of plant extracts. Furthermore, fermentation that utilizes natural microbial processes, as opposed to chemical treatments, improves the functional properties of raw materials while maintaining an environmentally friendly and sustainable approach. Notably, the unique microbial ecosystem and enzymatic systems of nuruk provide a distinct advantage in enhancing the functionality of fermented plant extracts. Previous studies have shown that barley nuruk-fermented extracts exhibit significantly improved functional properties compared to their non-fermented counterparts [6,11,12].
This study aims to investigate the functional mechanisms and enhanced bioactivity of fermented horse oil by utilizing Jeju barley nuruk, a traditional fermentation starter, focusing on changes in α-glucosidase inhibitory activity, microbial communities, and metabolites during the fermentation process. Through this approach, we aim to demonstrate its novel functionalities, such as blood glucose-lowering and anti-obesity properties, while evaluating its safety for human application via a human skin primary irritation test conducted in accordance with the ethical principles outlined in the Declaration of Helsinki, thereby contributing to the development of materials for diabetes prevention and management and exploring its potential applications in the functional food industry and related fields.

2. Materials and Methods

2.1. Chemicals and Reagents

The horse oil utilized for barley nuruk fermentation was sourced from Daebong LS (Jeju, Republic of Korea), while the fermentation starter, barley nuruk, was obtained from Dongmun Traditional Market, located on Jeju Island, Korea. The α-glucosidase enzyme derived from Saccharomyces cerevisiae, sodium phosphate, p-nitrophenyl-alpha-D-glucopyranoside (pNPG), Na2CO3, and acarbose, which were required for the anti-obesity assays, were procured from Sigma-Aldrich Co., Ltd. (St. Louis, MO, USA). All the chemicals and reagents used in this study were of top-grade analytical quality. The equipment employed included an ELISA reader (Epoch, BioTek Instruments, Vermont, IL, USA), a freeze-dryer (Ilshin, Republic of Korea), a rotary vacuum evaporator (EYELA N-1210B, Sunil Eyela Co., Ltd., Sungnam, Republic of Korea), a digital reciprocating shaker (Daihan Scientific Co., Ltd., Gangwon, Republic of Korea), and a humidified incubator (NB-203XL, N-BIOTEK, Inc., Bucheon, Republic of Korea).

2.2. Fatty Acid Analysis of Horse Oil Hexane Extracts and Fermentation Samples

The horse oil hexane extracts and fermentation samples were prepared by dissolving them in chloroform. Ultrasonic extraction was performed for 30 min to ensure complete dissolution. The extracted solutions were then filtered using a 0.2 μm PVDF filter to remove any particulates, and the filtrates were used directly for GC-MS/MS analysis. The analysis was conducted using a Shimadzu TQ-8050NX GC-MS/MS system (Kyoto, Japan). The separation of compounds was achieved using an SH-Rxi™-5Sil MS column (Shimadzu, Kyoto, Japan), measuring 30 m in length, with an inner diameter of 0.25 mm and a film thickness of 0.25 μm. Helium was employed as the carrier gas, with a flow rate maintained at 1.56 mL/min to ensure optimal performance. The injector temperature was set to 280 °C, while the ion source and interface temperatures were maintained at 250 °C and 300 °C, respectively. The samples were introduced into the system using a split injection mode with a split ratio of 10:1.
Following the analysis, the chromatograms were examined to calculate the peak area ratios. The identification of compounds was performed by comparing the mass spectral data of the detected peaks with entries in a spectral library. Peaks with significant area values were selected, and their corresponding mass spectra were subjected to library searches to identify compounds with high similarity scores. The identified compounds were reported as major constituents based on their chromatographic prominence and the reliability of the spectral matches.

2.3. Preparation of Horse Oil Ferments and Extracts

Barley nuruk, traditionally prepared by grinding barley into powder, kneading it into a dough, shaping it, and fermenting it at controlled temperatures with straw placed between the nuruk pieces, was utilized as the fermentation starter in this study. The fermentation process for barley nuruk typically spans one week to over 40 days, depending on the desired level of maturation. For this research, barley nuruk was procured from Dongmun Traditional Market. The fermentation materials for horse oil included barley nuruk, horse oil, distilled water, and sugar as the carbon source. Initially, 500 mL of distilled water and 50 g of sugar were added to an Erlenmeyer flask and sterilized at 121 °C for 15 min using an autoclave. Following sterilization, 50 g of barley nuruk and 50 g of horse oil were introduced into the flask. The prepared mixture was incubated in a shaking incubator set at 150 rpm and 28 °C for a duration of 10 days, ensuring fermentation under well-controlled conditions. During the fermentation process, aliquots of 135 mL were withdrawn on days 3, 5, and 10 to obtain samples representing different stages of fermentation. Each of the fermentation samples (3, 5, and 10 days), along with an unfermented control, underwent identical extraction procedures. In a clean bench, 135 mL of the fermentation sample was transferred to an Erlenmeyer flask, to which an equal volume of n-hexane (135 mL) was added. A magnetic stirrer coated with 3DW was placed in the mixture, and the flask was sealed with aluminum foil. The contents were stirred at 200 rpm for 30 min using a magnetic stirrer. The resulting solution was filtered twice using No. 2 filter paper (300 mm) under gravity to collect the extracted solution. The filtered extract (500 mL) was then concentrated using a rotary evaporator under reduced pressure. During concentration, the water bath was maintained at 45 °C, the condenser at −10 °C, and the initial pressure was set to 100 mbar, which was gradually reduced. The concentrated samples were subsequently collected. The final samples consisted of unfermented horse oil n-hexane extract (HO), fermented horse oil n-hexane extract from day 3 (HOF3), fermented horse oil n-hexane extract from day 5 (HOF5), and fermented horse oil n-hexane extract from day 10 (HOF10).

2.4. Amplification and Sequencing

To prepare 16S rRNA gene amplicons for sequencing, the Herculase II Fusion DNA Polymerase Nextera XT Index Kit V2 was used with the MiSeq System (Illumina, San Diego, CA, USA). First, DNA was extracted from the horse oil ferment, followed by quality control (QC) to ensure sample validation. Sequencing libraries were created by randomly fragmenting DNA samples, ligating 5′ and 3′ adapters, amplifying the adapter-ligated fragments via PCR, and purifying them using gel electrophoresis. Finally, microbial community analysis was conducted using Illumina SBS technology, generating distinct clone clusters for accurate sequencing of the templates.

2.5. Antidiabetic Capacity

The antidiabetic potential of the horse oil ferment was assessed through an α-glucosidase inhibition assay using the following protocol: The reaction was conducted in 100 mM sodium phosphate buffer (pH 6.8) by incubating 750 mU/mL α-glucosidase with 100 μL of 1.5 mM pNPG, either in the presence or absence of the horse oil ferment, at 37 °C in a total reaction volume of 200 μL. Acarbose was included as a positive control to validate the assay. The reaction was initiated by adding pNPG, and after 10 min, it was terminated by adding 60 μL of 1 M Na2CO3. The release of pNP was quantified by measuring the absorbance at 405 nm using a spectrophotometer. To ensure precise measurements, background absorbance from α-glucosidase-free controls was subtracted from the readings. All experiments were conducted in triplicate to ensure reliability and reproducibility.

2.6. Molecular Docking Simulations Analysis

We previously detailed the molecular docking approach for the receptor protein maltase-glucoamylase (MGAM) (PDB ID: 2QMJ) [13], obtained from the Protein Data Bank (PDB). The protein’s 3D structure was prepared using PyMOL 3.0.3 [14] for docking simulations. Ligands were sourced from the PubChem, and their 3D structures were downloaded for optimization. Ligands were optimized using the MMFF94 force field in OpenBabel 3.1.1 [15], involving 3D coordinate generation and energy minimization to achieve the most stable conformation. AutoDock Tools 1.5.6 [16] was used to add hydrogen atoms to both the protein and ligand, as well as to identify rotatable bonds in the ligand. The docking grid was defined based on the co-crystal ligand position in the MGAM structure, centered at (X, Y, Z) = (−20.4, −6.2, −2.6) with a grid box size of 28.0 × 28.0 × 28.0. Docking was performed with a semiflexible approach and an exhaustive search value of 25 to improve result accuracy and reliability, utilizing the Lamarckian genetic algorithm. Molecular docking simulations were carried out with AutoDock Vina 1.2.0 [17].

2.7. Human Skin Irritation Test

The human skin primary irritation test for horse oil hexane extract (HO) and fermented extracts at day 3 (HOF3), day 5 (HOF5), and day 10 (HOF10) was conducted in accordance with the guidelines provided by the Ministry of Food and Drug Safety (MFDS) of Korea, the Personal Care Products Council (PCPC), and the Standard Operating Procedures (SOP) of Dermapro, Inc (Seoul, Republic of Korea).
The test utilized a sample concentration of 12.5 μg/mL prepared in a squalane-based formulation. The test products were applied to participants’ backs using the Van der Bend patch method and left in place for 24 h. After patch removal, skin conditions were observed at two time points: 20 min and 24 h post-application. All evaluations strictly adhered to the assessment criteria outlined in the PCPC guidelines. Skin response results at each test stage were calculated using the following formula:
Response = ( G r a d e × N o .   o f   R e s p o n d e r s ) 4   ( M a x i m u m   G r a d e ) × n   ( T o t a l   S u b j e c t s ) × 100 × 1 / 2

2.8. Data Analysis

All experimental results are expressed as the mean ± standard deviation (SD) of at least three independent experiments. The standard deviation was calculated using the latest version of Microsoft Excel (Microsoft 365) by employing the STDEV.S function to determine the sample standard deviation.

3. Results and Discussion

3.1. Fatty Acid Composition of Horse Oil and Related Extracts

Plant- and animal-derived oils are widely utilized as functional ingredients in food and cosmetic applications due to their unique flavors, nutritional values, and functional properties, which are closely tied to their fatty acid compositions. Systematic investigation of the functionality of oils requires precise analysis of their fatty acid profiles as an essential prerequisite. In this regard, gas chromatography–tandem mass spectrometry (GC-MS/MS) has emerged as a powerful tool for fatty acid analysis, providing higher sensitivity and precision compared to conventional methods. It has become a critical initial step in research focused on the functional properties of oils [18,19,20].
GC-MS/MS enables the accurate detection of various fatty acids, including saturated fatty acids (SFAs), monounsaturated fatty acids (MUFAs), and polyunsaturated fatty acids (PUFAs). This method facilitates the precise separation and quantification of complex fatty acid compositions, offering critical data for identifying bioactive compounds in oils that contribute to their functionality. Furthermore, GC-MS/MS provides detailed structural information, such as the position and configuration of double bonds, which is essential for understanding why oils with similar fatty acid compositions may exhibit different functional and physiological effects [21,22,23].
In this study, GC-MS/MS was employed to analyze the fatty acid composition of horse oil hexane extract and barley nuruk-fermented products to evaluate and compare their functionality and bioactive properties. Table 1 presents the GC-MS/MS analysis results for raw horse oil. The saturated fatty acids identified included palmitic acid (22.5%), stearic acid (1.8%), and myristic acid (1.4%). Among the unsaturated fatty acids, oleic acid and linoleic acid were detected at concentrations of 19.5% and 1.6%, respectively (Table 1). Next, to compare and evaluate the α-glucosidase inhibitory activity of horse oil during the barley nuruk fermentation process, we prepared the samples by extracting horse oil using hexane. The analysis of the fatty acid composition of the hexane extract revealed the presence of palmitic acid and oleic acid at proportions of 20.4% and 11.9%, respectively. Additionally, their amide derivatives, namely palmitic amide and oleic acid amide, were also identified at proportions of 10.0% and 43.8%, respectively (Table 2).
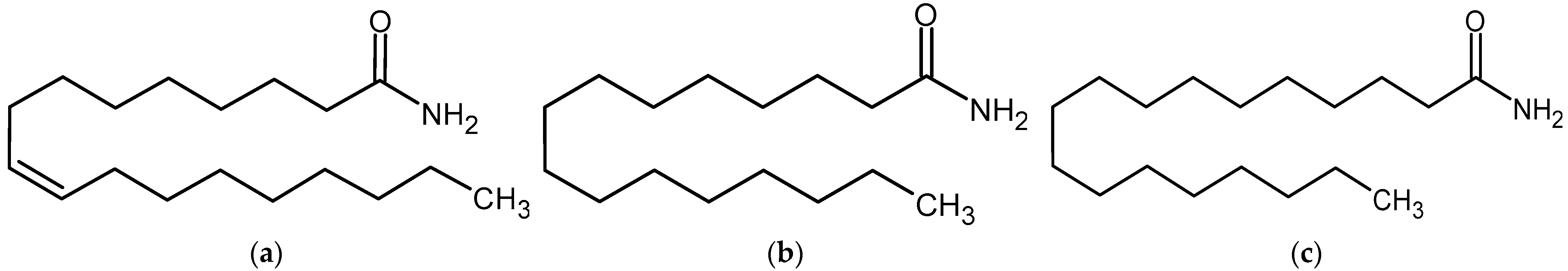
During the barley nuruk fermentation process, the fatty acid composition underwent significant changes. Oleic acid amide showed a marked increase, peaking at 84.9% on day 5, up from 72.3% on day 3. In contrast, palmitic amide exhibited a consistent upward trend throughout the fermentation period, reaching 14.6% on day 3, 15.1% on day 5, and 24.0% on day 10. Meanwhile, the levels of palmitic acid and oleic acid decreased significantly as fermentation progressed. By day 5, only oleic acid amide and palmitic amide were detected in the hexane extract, constituting 84.9% and 15.1%, respectively. Interestingly, by day 10, oleic acid amide levels decreased to 73.9%, while a new fatty acid amide, stearic acid amide, appeared at a concentration of 2.1% (Figure 1). These findings underscore the dynamic changes in fatty acid amide composition during fermentation and suggest the potential roles of microbial activity and enzymatic transformations in shaping the chemical profile of the fermented products.

3.2. Microbial Community Dynamics During Fermentation of Horse Oil Using Barley Nuruks

Next-generation sequencing (NGS) is a transformative technology capable of producing large volumes of sequence data at unparalleled speeds. Amplicon analysis, commonly applied to investigate microbial communities, has been implemented in extensive projects such as the Human Microbiome Project [24,25,26]. The 16S rRNA gene, a widely utilized marker in microbial community studies, is highly conserved among bacteria and serves as an effective tool for differentiating bacterial taxa across various taxonomic levels [27,28,29]. Advances in NGS technology have greatly improved the capacity to explore and understand microbial ecosystems, with diverse applications in examining the microbiomes of fermented foods, including cheese, kimchi, and sausages [30,31,32].
In this study, we employed NGS targeting the 16S rRNA gene to track changes in microbial communities during the fermentation of horse oil with barley nuruk. The microbial composition changes observed throughout the fermentation process are summarized in Table 3. On day 3 of fermentation, the microbial community in the horse oil hexane extract culture was predominantly composed of pathogenic and opportunistic bacteria, including Salmonella enterica (19.4%), Enterobacter quasihormaechei (24.0%), Atlantibacter hermanni (6.6%), and Enterococcus faecalis (32.9%). However, by day 10, these pathogenic and opportunistic bacteria were either significantly reduced or entirely absent. Specifically, S. enterica and A. hermanni became undetectable, while E. quasihormaechei and E. faecalis decreased to 1.4% and 0.3%, respectively. Notably, Lactobacillus acidophilus, which was absent on days 3 and 5 of fermentation, emerged as the dominant species by day 10, constituting 95.2% of the microbial community. L. acidophilus is a well-known beneficial bacterium commonly found in the human and animal gut, oral cavity, and vagina. It is widely utilized as a probiotic due to its ability to ferment lactose into lactic acid, which is essential in dairy production. Additionally, it plays a crucial role in improving digestion, maintaining gut microbial balance, inhibiting specific pathogens, and modulating the immune system [33,34].
This transition in the microbial community suggests that fermentation with barley nuruk significantly enhances the functional microbiota of the horse oil extract, potentially contributing to its overall bioactive properties.

3.3. Evaluation of α-Glucosidase Inhibitory Activity in Fermented Extracts

α-Glucosidase inhibitors are an effective strategy for managing postprandial hyperglycemia by preventing the breakdown of disaccharides into glucose, thereby reducing glucose absorption. These inhibitors are crucial therapeutic agents in the management of type 2 diabetes. However, existing synthetic α-glucosidase inhibitors are often associated with gastrointestinal side effects, such as bloating, abdominal pain, and diarrhea, emphasizing the need for safer alternatives with fewer adverse effects [35,36]. In addition to their role in diabetes management, α-glucosidase inhibitors show significant potential for application in slimming cosmetics, targeting body shape management and skin health improvement through the regulation of lipid metabolism and enhancement of dermal properties [37,38,39]. Thus, α-glucosidase inhibitors represent a promising class of multifunctional agents for diabetes treatment, body shaping, and cosmetic applications.
In this study, we evaluated the α-glucosidase inhibitory activity of the hexane extracts (HO) from horse oil itself and horse oil fermented with barley nuruk. As shown in Figure 2, treatments with HO and fermented samples from day 3 (HOF3), day 5 (HOF5), and day 10 (HOF10) at a concentration of 12.5 μg/mL demonstrated inhibition rates of 7.8%, 21.0%, 21.3%, and 37.5%, respectively. The inhibitory activity progressively increased with the fermentation period, with the day 10 fermented sample (HOF10) exhibiting the highest inhibitory effect. Notably, the inhibitory activity of the HOF10 sample surpassed that of the positive control, acarbose, indicating that the horse oil-derived barley nuruk ferment has significant potential as an α-glucosidase inhibitor. These findings suggest that fermented horse oil extracts could serve as a promising natural material for diabetes management and the development of functional foods or therapeutic agents aimed at regulating blood glucose levels and improving metabolic health.

3.4. Molecular Docking Simulations

The hexane extracts (HO) exhibited α-glucosidase inhibitory activity, which led to the selection of three major compounds, including oleic acid amide, palmitic acid amide, and stearic acid amide, from the extracts for molecular docking simulations to explore their mechanisms of action.
The target protein was human maltase-glucoamylase (MGAM) (PDB ID: 2QMJ). The binding affinities of oleic acid amide, palmitic acid amide, and stearic acid amide to MGAM were −5.2 kcal/mol, −5.1 kcal/mol, and −5.1 kcal/mol, respectively. In the MGAM–oleic acid amide complex, the amino group of oleic acid amide formed hydrogen bonds with ASP-542 (2.3 Å) and HIS-600 (2.5 Å), while the carbonyl group of the amide moiety interacted with ARG526 via a hydrogen bond (3.4 Å). For the MGAM–palmitic acid amide complex, the amino group of palmitic acid amide formed hydrogen bonds with ASP-542 (2.7 Å) and ASP-443 (2.5 Å). Similarly, in the MGAM–stearic acid amide complex, the amino group of stearic acid amide also formed hydrogen bonds with ASP-542 (2.7 Å) and ASP-443 (2.5 Å).
In conclusion, all three compounds form two hydrogen bonds through their amino groups. Oleic acid amide shows slightly stronger binding due to an additional hydrogen bond formed by its carbonyl group (Figure 3). These docking results provide insights into the molecular interactions between these fatty acid amides and MGAM, which may contribute to the α-glucosidase inhibitory activity of hexane extracts.

3.5. Human Skin Primary Irritation Test for Safety Evaluation of Functional Ingredients

The human skin primary irritation test is a critical step in the development of safe and functional ingredients for skin applications. First, this test evaluates whether an ingredient causes irritation or adverse effects on the skin, ensuring product safety. Second, it provides direct interaction data with human skin, delivering more reliable results compared to animal testing. Third, it supports compliance with international safety standards, including the ethical principles outlined in the Declaration of Helsinki. Finally, it establishes essential scientific evidence to build consumer trust and facilitate the commercialization of functional ingredients [40,41,42].
In this study, the human skin primary irritation test was conducted by Dermapro, Inc., a clinical testing organization specializing in dermatological evaluations, to assess the irritation potential of horse oil hexane extract (HO) and three fermented horse oil barley nuruk extracts (HOF3, HOF5, and HOF10). The test involved 31 female volunteers aged 20 to 60 years (mean age: 48.87 ± 5.60 years, range: 24–55 years) with no history of irritant or allergic contact dermatitis. The study was approved by the Institutional Review Board (IRB) of Dermapro, Inc. (IRB number: 1-220777-A-N-01-B-DICN24265) and conducted in accordance with the ethical principles of medical research outlined in the Declaration of Helsinki. Written informed consent was obtained from all participants prior to the study.
The results, presented in Table 4, indicate that all tested samples—HO and HOF3, HOF5, and HOF10 applied at a concentration of 12.5 μg/mL—were evaluated as hypoallergenic concerning primary irritation on human skin. These findings demonstrate that both horse oil and its fermented products exhibit excellent safety profiles for skin applications.

4. Conclusions

This study demonstrated the potential of horse oil fermented with barley nuruk as a novel functional material with enhanced bioactivity. The fermentation process improved the value and applicability of horse oil by modifying its composition and functional properties. GC-MS/MS analysis revealed significant changes in the fatty acid composition during fermentation, including the stable retention of oleic acid amide and palmitic acid amide, along with the emergence of stearic acid amide by day 10. Additionally, the fermentation process effectively reduced pathogenic and opportunistic microorganisms while promoting the proliferation of beneficial bacteria, particularly Lactobacillus acidophilus.
The α-glucosidase inhibitory activity of both the horse oil hexane extract and its fermented products increased progressively with fermentation time. The fermented sample at day 10 exhibited superior inhibitory effects compared to the synthetic inhibitor acarbose, highlighting its potential for diabetes management. Molecular docking studies confirmed that the amide structures of major fatty acid components (oleic acid amide, palmitic acid amide, and stearic acid amide) play a critical role in enzyme inhibition through hydrogen bonding interactions, further supporting their use as functional bioactive compounds.
In conclusion, this study establishes the significant multifunctional potential of horse oil and its fermentation products as natural bio-resources for diabetes management and other metabolic applications. Their unique bioactive properties position them as promising candidates for further development. Future studies focusing on detailed mechanisms of action and clinical validation will be essential for advancing their commercial potential.

Author Contributions

Conceptualization, C.-G.H.; methodology, J.-H.L., S.-E.B., H.-M.K. and Y.-J.H.; software, J.-H.L.; validation, J.-H.L.; formal analysis, J.-H.L., S.-E.B., H.-M.K. and Y.-J.H.; investigation, J.-H.L. and S.-E.B.; writing—original draft preparation, C.-G.H.; writing—review and editing, C.-G.H.; supervision, C.-G.H.; project administration, C.-G.H.; funding acquisition, C.-G.H. All authors have read and agreed to the published version of the manuscript.

Funding

This research was financially supported by the Ministry of Trade, Industry and Energy, Korea, under the “Regional Innovation Cluster Development Program (R&D, P0025332)” supervised by the Korea Institute for Advancement of Technology (KIAT).

Institutional Review Board Statement

This study was conducted in accordance with the Declaration of Helsinki and was approved by the ethics committee of Dermapro Co., Ltd., for studies involving humans (IRB no. 1-220777-A-N-01-B-DICN24265).

Informed Consent Statement

All participants involved in the study provided written informed consent.

Data Availability Statement

All data generated or analyzed during this study are fully available within this published article.

Conflicts of Interest

The authors declare no conflicts of interest.

References

  1. Luo, X.; Dong, M.; Liu, J.; Guo, N.; Li, J.; Shi, Y.; Yang, Y. Fermentation: Improvement of pharmacological effects and applications of botanical drugs. Front. Pharmacol. 2024, 15, 1430238. [Google Scholar] [CrossRef] [PubMed]
  2. Sun, H.; Saeedi, P.; Karuranga, S.; Pinkepank, M.; Ogurtsova, K.; Duncan, B.B.; Stein, C.; Basit, A.; Chan, J.C.; Mbanya, J.C.; et al. IDF Diabetes Atlas: Global, regional and country-level diabetes prevalence estimates for 2021 and projections for 2045. Diabetes Res. Clin. Pract. 2022, 183, 109119. [Google Scholar] [CrossRef] [PubMed]
  3. Kumar, A.; Mazumder, R.; Rani, A.; Pandey, P.; Khurana, N. Novel Approaches for the Management of Type 2 Diabetes Mellitus: An Update. Curr. Diabetes Rev. 2024, 20, e051023221768. [Google Scholar] [CrossRef] [PubMed]
  4. Agrawal, N.; Sharma, M.; Singh, S.; Goyal, A. Recent Advances of α-Glucosidase Inhibitors: A Comprehensive Review. Curr. Top. Med. Chem. 2022, 22, 2069–2086. [Google Scholar] [CrossRef]
  5. Kumar, S.; Narwal, S.; Kumar, V.; Prakash, O. α-glucosidase inhibitors from plants: A natural approach to treat diabetes. Pharmacogn. Rev. 2011, 5, 19–29. [Google Scholar] [CrossRef] [PubMed]
  6. Chung, Y.C.; Ko, J.H.; Kang, H.-K.; Kim, S.; Kang, C.I.; Lee, J.N.; Park, S.M.; Hyun, C.G. Antimelanogenic Effects of Polygonum tinctorium Flower Extract from Traditional Jeju Fermentation via Upregulation of Extracellular Signal-Regulated Kinase and Protein Kinase B Activation. Int. J. Mol. Sci. 2018, 19, 2895. [Google Scholar] [CrossRef] [PubMed]
  7. Lee, N.; Hyun, S.B.; Yun, S.H.; Chung, Y.C.; Hyun, C.G. Anti-oxidant and Anti-inflammatory Effects of the Fermented Rhododendron weyrichii Flower Extracts in Shindari, a Traditional Jeju Fermented Drink. Microbiol. Biotechnol. Lett. 2020, 48, 471–479. [Google Scholar] [CrossRef]
  8. Lee, J.C.; Park, G.R.; Choi, B.S.; Lee, Y.; Han, C.H. Restoration of the inflammatory gene expression by horse oil in DNCB-treated mice skin. J. Vet. Sci. 2020, 21, e15. [Google Scholar] [CrossRef]
  9. Kim, I.W.; Jeong, H.S.; Yun, H.Y.; Baek, K.J.; Kwon, N.S.; Kim, D.S. Efficacy of horse oil on lipopolysaccharide-induced inflammation in human keratinocyte. J. Tradit. Chin. Med. 2021, 41, 355–359. [Google Scholar] [CrossRef] [PubMed]
  10. Yang, H.; Kim, S.; Jang, M.; Kim, H.; Lee, S.; Kim, Y.; Eom, Y.A.; Kang, G.; Chiang, L.; Baek, J.H.; et al. Two-phase delivery using a horse oil and adenosine-loaded dissolving microneedle patch for skin barrier restoration, moisturization, and wrinkle improvement. J. Cosmet. Dermatol. 2019, 18, 936–943. [Google Scholar] [CrossRef] [PubMed]
  11. Maeng, Y.; Kim, K.T.; Zhou, X.; Jin, L.; Kim, K.S.; Kim, Y.H.; Lee, S.; Park, J.H.; Chen, X.; Kong, M.; et al. A novel microbial technique for producing high-quality sophorolipids from horse oil suitable for cosmetic applications. Microb. Biotechnol. 2018, 11, 917–929. [Google Scholar] [CrossRef]
  12. Park, Y.H.; Kim, H.J. Formulation and stability of horse oil-in-water emulsion by HLB system. Food Sci. Biotechnol. 2021, 16, 931–938. [Google Scholar] [CrossRef] [PubMed]
  13. Hyun, K.A.; Liang, X.; Xu, Y. Analysis of the Setomimycin Biosynthetic Gene Cluster from Streptomyces nojiriensis JCM3382 and Evaluation of Its α-Glucosidase Inhibitory Activity Using Molecular Docking and Molecular Dynamics Simulations. Int. J. Mol. Sci. 2024, 25, 10758. [Google Scholar] [CrossRef]
  14. Seeliger, D.; de Groot, B.L. Ligand docking and binding site analysis with PyMOL and Autodock/Vina. J. Comput. Aided Mol. Des. 2010, 24, 417–422. [Google Scholar] [CrossRef] [PubMed]
  15. O’Boyle, N.M.; Banck, M.; James, C.A. Open Babel: An open chemical toolbox. J. Cheminform. 2011, 3, 33. [Google Scholar] [CrossRef]
  16. Forli, S.; Huey, R.; Pique, M.E. Computational protein–ligand docking and virtual drug screening with the AutoDock suite. Nat. Protoc. 2016, 11, 905–919. [Google Scholar] [CrossRef] [PubMed]
  17. Eberhardt, J.; Santos-Martins, D.; Tillack, A.F. AutoDock Vina 1.2. 0: New docking methods, expanded force field, and python bindings. J. Chem. Inf. Model. 2021, 61, 3891–3898. [Google Scholar] [CrossRef] [PubMed]
  18. Dvořáková, M.; Svobodová, L.; Rucki, M.; Ševčík, V.; Hošíková, B.; Chrz, J.; Bendová, H.; Kejlová, K.; Očadlíková, D.; Malý, M.; et al. The Safety Assessment of Cosmetic Perfumes by Using in Chemico and In Vitro Methods in Combination with GC-MS/MS Analysis. Altern. Lab. Anim. 2023, 51, 224–248. [Google Scholar] [CrossRef]
  19. Ali, S.; Ekbbal, R.; Salar, S.; Yasheshwar, A.S.A.; Jaiswal, A.K.; Singh, M.; Yadav, D.K.; Kumar, S. Gaurav Quality Standards and Pharmacological Interventions of Natural Oils: Current Scenario and Future Perspectives. ACS Omega 2023, 8, 39945–39963. [Google Scholar] [CrossRef] [PubMed]
  20. Duchateau, C.; Canfyn, M.; Desmedt, B.; Kauffmann, J.M.; Stévigny, C.; De Braekeleer, K.; Deconinck, E. CBD oils on the Belgian market: A validated MRM GC-MS/MS method for routine quality control using QuEChERS sample clean up. J. Pharm. Biomed. Anal. 2021, 205, 114344. [Google Scholar] [CrossRef] [PubMed]
  21. Czarnowski, P.; Mikula, M.; Ostrowski, J.; Żeber-Lubecka, N. Gas Chromatography-Mass Spectrometry-Based Analyses of Fecal Short-Chain Fatty Acids (SCFAs): A Summary Review and Own Experience. Biomedicines 2024, 12, 1904. [Google Scholar] [CrossRef] [PubMed]
  22. Chiu, H.H.; Kuo, C.H. Gas chromatography-mass spectrometry-based analytical strategies for fatty acid analysis in biological samples. J. Food Drug Anal. 2020, 28, 60–73. [Google Scholar] [CrossRef] [PubMed]
  23. Wang, M.; Yu, P.; Chittiboyina, A.G.; Chen, D.; Zhao, J.; Avula, B.; Wang, Y.H.; Khan, I.A. Characterization, Quantification and Quality Assessment of Avocado (Persea americana Mill.) Oils. Molecules 2020, 25, 1453. [Google Scholar] [CrossRef] [PubMed]
  24. Franceschetti, L.; Lodetti, G.; Blandino, A.; Amadasi, A.; Bugelli, V. Exploring the role of the human microbiome in forensic identification: Opportunities and challenges. Int. J. Leg. Med. 2024, 138, 1891–1905. [Google Scholar] [CrossRef] [PubMed]
  25. Hoisington, A.J.; Stamper, C.E.; Ellis, J.C.; Lowry, C.A.; Brenner, L.A. Quantifying variation across 16S rRNA gene sequencing runs in human microbiome studies. Appl. Microbiol. Biotechnol. 2024, 108, 367. [Google Scholar] [CrossRef] [PubMed]
  26. Yi, X.; Lu, H.; Liu, X.; He, J.; Li, B.; Wang, Z.; Zhao, Y.; Zhang, X.; Yu, X. Unravelling the enigma of the human microbiome: Evolution and selection of sequencing technologies. Microb. Biotechnol. 2024, 17, e14364. [Google Scholar] [CrossRef] [PubMed]
  27. Bertolo, A.; Valido, E.; Stoyanov, J. Optimized bacterial community characterization through full-length 16S rRNA gene sequencing utilizing MinION nanopore technology. BMC Microbiol. 2024, 24, 58. [Google Scholar] [CrossRef] [PubMed]
  28. Curry, K.D.; Soriano, S.; Nute, M.G.; Villapol, S.; Dilthey, A.; Treangen, T.J. Microbial Community Profiling Protocol with Full-length 16S rRNA Sequences and Emu. Curr. Protoc. 2024, 4, e978. [Google Scholar] [CrossRef]
  29. Buetas, E.; Jordán-López, M.; López-Roldán, A.; D’Auria, G.; Martínez-Priego, L.; De Marco, G.; Carda-Diéguez, M.; Mira, A. Full-length 16S rRNA gene sequencing by PacBio improves taxonomic resolution in human microbiome samples. BMC Genom. 2024, 25, 310. [Google Scholar] [CrossRef] [PubMed]
  30. Jin, R.; Song, J.; Liu, C.; Lin, R.; Liang, D.; Aweya, J.J.; Weng, W.; Zhu, L.; Shang, J.; Yang, S. Synthetic microbial communities: Novel strategies to enhance the quality of traditional fermented foods. Compr. Rev. Food Sci. Food Saf. 2024, 23, e13388. [Google Scholar] [CrossRef] [PubMed]
  31. Bae, S.E.; Bae, S.; Park, S.J.; Lee, P.; Hyun, C.G. Microbial Consortium of Jeju Traditional Fermented Foods and Their Cosmetic Ingredient Potential. Fermentation 2024, 10, 345. [Google Scholar] [CrossRef]
  32. Valentino, V.; Magliulo, R.; Farsi, D.; Cotter, P.D.; O’Sullivan, O.; Ercolini, D.; De Filippis, F. Fermented foods, their microbiome and its potential in boosting human health. Microb. Biotechnol. 2024, 17, e14428. [Google Scholar] [CrossRef] [PubMed]
  33. Liu, Y.; Nawazish, H.; Farid, M.S.; Abdul Qadoos, K.; Habiba, U.E.; Muzamil, M.; Tanveer, M.; Sienkiewicz, M.; Lichota, A.; Łopusiewicz, Ł. Health-Promoting Effects of Lactobacillus acidophilus and Its Technological Applications in Fermented Food Products and Beverages. Fermentation 2024, 10, 380. [Google Scholar] [CrossRef]
  34. Gao, H.; Li, X.; Chen, X.; Hai, D.; Wei, C.; Zhang, L.; Li, P. The Functional Roles of Lactobacillus acidophilus in Different Physiological and Pathological Processes. J. Microbiol. Biotechnol. 2022, 32, 1226–1233. [Google Scholar] [CrossRef]
  35. Hossain, U.; Das, A.K.; Ghosh, S.; Sil, P.C. An overview on the role of bioactive α-glucosidase inhibitors in ameliorating diabetic complications. Food Chem. Toxicol. 2020, 145, 111738. [Google Scholar] [CrossRef] [PubMed]
  36. Dirir, A.M.; Daou, M.; Yousef, A.F.; Yousef, L.F. A review of alpha-glucosidase inhibitors from plants as potential candidates for the treatment of type-2 diabetes. Phytochem. Rev. 2022, 21, 1049–1079. [Google Scholar] [CrossRef]
  37. Zhang, K.Q.; Lin, L.L.; Xu, H.J. Research on antioxidant performance of diglucosyl gallic acid and its application in emulsion cosmetics. Int. J. Cosmet. Sci. 2022, 44, 177–188. [Google Scholar] [CrossRef]
  38. Ćorković, I.; Gašo-Sokač, D.; Pichler, A.; Šimunović, J.; Kopjar, M. Dietary Polyphenols as Natural Inhibitors of α-Amylase and α-Glucosidase. Life 2022, 12, 1692. [Google Scholar] [CrossRef] [PubMed]
  39. Chung, Y.C.; Hyun, C.G. Inhibitory Effects of Pinostilbene on Adipogenesis in 3T3-L1 Adipocytes: A Study of Possible Mechanisms. Int. J. Mol. Sci. 2021, 22, 13446. [Google Scholar] [CrossRef]
  40. Sugiyama, M.; Akita, M.; Alépée, N.; Fujishiro, M.; Hagino, S.; Handa, Y.; Ikeda, H.; Imai, N.; Jitsukawa, S.; Katoh, M.; et al. Comparative assessment of 24-hr primary skin irritation test and human patch test data with in vitro skin irritation tests according to OECD Test Guideline 439 (for quasi-drugs in Japan). J. Toxicol. Sci. 2018, 43, 751–768. [Google Scholar] [CrossRef] [PubMed]
  41. Na, M.; Ritacco, G.; O’Brien, D.; Lavelle, M.; Api, A.M.; Basketter, D. Fragrance Skin Sensitization Evaluation and Human Testing: 30-Year Experience. Dermatitis 2021, 32, 339–352. [Google Scholar] [CrossRef] [PubMed]
  42. DeKoven, J.G.; Warshaw, E.M.; Reeder, M.J.; Atwater, A.R.; Silverberg, J.I.; Belsito, D.V.; Sasseville, D.; Zug, K.A.; Taylor, J.S.; Pratt, M.D.; et al. North American Contact Dermatitis Group Patch Test Results: 2019-2020. Dermatitis 2023, 34, 90–104. [Google Scholar] [CrossRef]
Figure 1. Key fatty acid structures identified by GC-MS/MS analysis of hexane extracts from horse oil fermented with barley nuruk: (a) oleic acid amide; (b) palmitic acid amide; (c) stearic acid amide.
Figure 1. Key fatty acid structures identified by GC-MS/MS analysis of hexane extracts from horse oil fermented with barley nuruk: (a) oleic acid amide; (b) palmitic acid amide; (c) stearic acid amide.
Fermentation 11 00001 g001
Figure 2. The α-glucosidase inhibitory activity of hexane extracts from horse oil (a) and fermented horse oil (b) is presented. HO, HOF3, HOF5, and HOF10 correspond to the hexane extracts of horse oil and horse oil fermented for 3, 5, and 10 days, respectively. Acarbose served as the positive control. All experiments were conducted in triplicate to ensure reliability and reproducibility.
Figure 2. The α-glucosidase inhibitory activity of hexane extracts from horse oil (a) and fermented horse oil (b) is presented. HO, HOF3, HOF5, and HOF10 correspond to the hexane extracts of horse oil and horse oil fermented for 3, 5, and 10 days, respectively. Acarbose served as the positive control. All experiments were conducted in triplicate to ensure reliability and reproducibility.
Fermentation 11 00001 g002
Figure 3. Binding interactions of MGAM protein with ligands: (a) MGAM–oleic acid amide; (b) MGAM–palmitic acid amide; (c) MGAM–stearic acid amide.
Figure 3. Binding interactions of MGAM protein with ligands: (a) MGAM–oleic acid amide; (b) MGAM–palmitic acid amide; (c) MGAM–stearic acid amide.
Fermentation 11 00001 g003
Table 1. The fatty acid composition of horse oil analyzed by GC-MS/MS.
Table 1. The fatty acid composition of horse oil analyzed by GC-MS/MS.
IngredientArea (%)
5-Methylundecane5.3
4,6-Dimethyldodecane5.7
Heneicosane6.0
Docosane5.7
Myristic acid1.4
Stearyl aldehyde2.1
Docosane3.5
Palmitic acid22.5
Stearyl aldehyde3.0
Docosane3.2
Oleic acid19.5
Stearic acid1.8
Palmitoyl chloride2.6
(Z)-octadec-13-enal0.9
Palmitic acid diglycerin ester5.7
Dotriacontane2.4
1-Monolinolein (1-linoleoyl glycerol)0.8
3-Hydroxypropyl oleate2.1
Linoleic acid1.6
cis-9-Hexadecenal4.5
Table 2. Alterations in fatty acid profiles of hexane extracts from nuruk-fermented horse oil.
Table 2. Alterations in fatty acid profiles of hexane extracts from nuruk-fermented horse oil.
IngredientHexane Extracts 1
HOHOF3HOF5HOF10
Palmitic amide10.014.615.124.0
Oleic acid amide43.872.384.973.9
Stearic acid amide 2.1
Palmitic acid (16:0)20.45.2
Oleic acid (18:1)11.9
Squalene 6.52.3
Cholesterol 3.50.9
Myristic aldehyde1.1
3-Hydroxypropyl oleate1.2
di-(9-octadecenoyl)-glycerol1.5
Ethyl palmitate 1.4
Ethyl linoleate 1.2
Vinyl palmitate 1.1
1,2-Dipalmitoyl-sn-glycerol 1.2
1 HO, HOF3, HOF5, and HOF10 represent the hexane extracts of horse oil, and horse oil fermented for 3, 5, and 10 days, respectively.
Table 3. Analytical results of 16S rRNA primers for the microbial community composition in barley nuruk-fermented horse oil over different fermentation periods (HOF3, HOF5, and HOF10).
Table 3. Analytical results of 16S rRNA primers for the microbial community composition in barley nuruk-fermented horse oil over different fermentation periods (HOF3, HOF5, and HOF10).
Scientific NamesHOF3HOF5HOF10
Bifidobacterium animalis000.5
Bacillus subtilis02.40.7
Staphylococcus warneri1.51.40
Enterococcus faecalis32.929.10.3
Enterococcus faecium4.89.30
Enterococcus gallinarum0.700
Enterococcus hirae1.22.20
Enterococcus innesii00.70
Enterococcus mundtii1.51.30
Lactobacillus acidophilus0095.2
Leuconostoc mesenteroides0.40.40
Pediococcus pentosaceus0.40.30
Weissella paramesenteroides1.41.80
Lactococcus lactis0.20.30
Lactococcus taiwanensis0.20.20
Clostridium beijerinckii00.30
Clostridium butyricum0<0.1<0.1
Clostridium diolis04.42.6
Crassifilum sonorensis<0.10.20
Acetobacter persici000.5
Gluconobacter japonicus<0.100
Atlantibacter hermannii6.69.30
Enterobacter kobei<0.100
Enterobacter quasihormaechei2420.21.40
Phytobacter palmae1.80%00
Salmonella enterica19.414.80
Other01.50
The values indicate the relative abundance (%) of each microbial species detected at three fermentation time points: HOF3 (day 3), HOF5 (day 5), and HOF10 (day 10).
Table 4. Results of human skin primary irritation test (n = 31).
Table 4. Results of human skin primary irritation test (n = 31).
NoSamplesResponders1st Assessment2nd AssessmentReaction Grade (R)
+1+2+3+4+1+2+3+4
1HO (12.5 μg/mL)0000000000
2HOF3 (12.5 μg/mL)0000000000
3HOF5 (12.5 μg/mL)0000000000
4HOF10 (12.5 μg/mL)0000000000
Low irritation category (none to slight): 0.00 ≤ R < 0.87.
Disclaimer/Publisher’s Note: The statements, opinions and data contained in all publications are solely those of the individual author(s) and contributor(s) and not of MDPI and/or the editor(s). MDPI and/or the editor(s) disclaim responsibility for any injury to people or property resulting from any ideas, methods, instructions or products referred to in the content.

Share and Cite

MDPI and ACS Style

Lee, J.-H.; Bae, S.-E.; Kang, H.-M.; Ha, Y.-J.; Hyun, C.-G. Microbial Community, Fatty Acid Composition, and Health Potential of Horse Oil Fermented with Barley Nuruk. Fermentation 2025, 11, 1. https://doi.org/10.3390/fermentation11010001

AMA Style

Lee J-H, Bae S-E, Kang H-M, Ha Y-J, Hyun C-G. Microbial Community, Fatty Acid Composition, and Health Potential of Horse Oil Fermented with Barley Nuruk. Fermentation. 2025; 11(1):1. https://doi.org/10.3390/fermentation11010001

Chicago/Turabian Style

Lee, Jeong-Ha, Sung-Eun Bae, Ho-Min Kang, Yu-Jin Ha, and Chang-Gu Hyun. 2025. "Microbial Community, Fatty Acid Composition, and Health Potential of Horse Oil Fermented with Barley Nuruk" Fermentation 11, no. 1: 1. https://doi.org/10.3390/fermentation11010001

APA Style

Lee, J.-H., Bae, S.-E., Kang, H.-M., Ha, Y.-J., & Hyun, C.-G. (2025). Microbial Community, Fatty Acid Composition, and Health Potential of Horse Oil Fermented with Barley Nuruk. Fermentation, 11(1), 1. https://doi.org/10.3390/fermentation11010001

Note that from the first issue of 2016, this journal uses article numbers instead of page numbers. See further details here.

Article Metrics

Back to TopTop