1. Introduction
The Novel
Sorghum bicolor ×
S. propinquum Hybrid is a collection of
Sorghum bicolor (L.) Moench and
Sorghum propinquum (Kunth) Hitchc, a new breed of forage sorghum from distant cross-breeding. Compared to other forage sorghum varieties, it exhibits characteristics of perennial plants, higher productivity, and stronger resistance. However, the method of storing this forage has not been studied. Therefore, it is important to investigate the methods of processing and storing it. Studies have shown that sorghum has high water-soluble carbohydrates. However, it also has high fiber content, which reduces the utilization of nutrients by animals [
1]. Silage is considered one of the most effective animal feeds, and additives play an important role in improving the quality and palatability of silage [
2]. Through careful selection and the application of silage additives, it can not only effectively meet the specific challenges of sorghum as silage raw materials but also significantly improve the overall quality and nutritional value of silage and provide more high-quality and efficient feed solutions for animal production. In order to make efficient use of land resources, it is particularly important to select suitable planting density.
Lactobacillus buchneri, a widely utilized strain, is notable for its production of a substantial concentration of acetic acid. This activity not only reduces the pH of the feed but also enhances the storage longevity of the silage [
3]. During the fermentation of
Medicago sativa L. silage, the incorporation of
Lactobacillus buchneri has been observed to decrease the abundance of
Enterobacter, eliminate pathogenic organisms, restrain the degradation of crude protein, and augment the nutritional value of the silage [
4]. Similarly, the synergistic addition of
Pediococcus lactis and
Lactobacillus buchneri to ryegrass (
Lolium perenne L.) silage has significantly elevated the presence of
Lactobacillus, increased the levels of acetic acid and propylene glycol, and diminished the incidence of yeasts and molds, thereby mitigating silage spoilage [
5]. Furthermore, the application of cellulase enhances the availability of water-soluble carbohydrates (WSC) by breaking down cellulose, thereby offering substrates for fermentation [
6]. This enzymatic intervention has also been shown to substantially boost the population of lactic acid bacteria while reducing the presence of aerobic bacteria within the silage [
7] previously reported that cellulase addition to
Pennisetum purpureum Schum. Silage not only increased the diversity indices, such as Simpson and Shannon, and the abundance of Firmicutes but also led to a decrease in Proteobacteria populations. Additional research has established that cellulase supplementation can enhance protein content and overall silage quality [
8]. Despite these findings suggesting the broad applicability of additives across various forage types, the specific impact of cellulase and
Lactobacillus buchneri on the fermentation quality of fresh
Sorghum bicolor ×
S. propinquum remains to be elucidated.
During planting, density is paramount as a cultivation measure, standing as a pivotal factor that significantly impacts both yield and quality. In prior research, it was discovered that the corn’s contribution to crude protein (CP) in silage quality diminished as the corn planting density decreased in a mixed planting system with Lablab beans [
9]. Upon thorough examination, the results indicated that the planting density did not exhibit a significant influence on the pH level of silage fermentation [
10]. Therefore, the ideal planting density for enhancing the quality of silage produced from the Novel
Sorghum bicolor ×
S. propinquum Hybrids remains elusive. The current study aims to determine this optimal density, ultimately benefiting both farmers and livestock producers through improvements in silage quality.
Therefore, this study aims to investigate the effects of planting density, Lactobacillus buchneri, and cellulase on the fermentation process of Sorghum bicolor × S. propinquum by examining fermentation parameters, chemical composition, and bacterial communities. The insights gained will offer valuable technical references for the industrial application and optimization of Sorghum bicolor × S. propinquum silage production.
2. Materials and Methods
2.1. Material Planting and Silage Preparation
The experimental material was planted in Changzhai Town, Changshun County, Guizhou Province, at five planting densities (M1: 10,000 plants/hm2; M2: 11,800 plants /hm2; M3: 14,300 plants/hm2; M4: 18,200 plants/hm2; M5: 25,000 plant/hm2). The samples were then harvested at maturity and cut into 2–3 cm pieces using a cutter. The sample pieces obtained from each planting density were then treated as follows: (1) no additive control (CK); (2) lactic acid bacteria (LAB: Lactobacillus buchneri (ATCC49374); dosage: 1 × 109 cfu/kg FM); (3) cellulase (1, 4-β-D-glucan glucoside hydrolase) (CE: dosage: 6 × 103 U/kg FM); (4) LAB + CE (LC; dosage: LAB: 1 × 109 cfu/kg FM; CE: 6 × 103 U/kg FM). The additives were mixed evenly with the harvested sample, divided into three parts of 1 kg each, packed in polyethylene bags (30 cm × 40 cm), and vacuum-sealed. A total of 60 bags (5 planting density × 4 treatments × 3 repetitions) were prepared and stored at ambient temperature (20–30 °C). After 45 days, the chemical composition, fermentation characteristics, and bacterial community were analyzed.
2.2. Fermentation Parameters and Chemical Composition Analysis
Take 10 g silage sample and mix it with 90 mL sterile water, shake well, and incubate overnight to obtain organic acids. Then, the pH was measured using an electrode pH meter (thunder magnetic). The organic acid extract was absorbed, filtered through a 0.22 µm nylon filter membrane, and injected into the liquid chromatograph for further analysis. The test solution obtained was used to assess the acetic acid (AA), lactic acid (LA), butyric acid (BA), and propionic acid (PA) contents.
Approximately 0.5 g of sample was weighed and mixed with the solution, digested at high temperature (420 °C), cooled, and transferred to a distillation flask. Further, the sodium hydroxide was added to the mixture, and the released ammonia was distilled and collected in boric acid. There were standard sulfuric acid titration, color change (blue-green to grey-purple) endpoint, and determination of crude protein content (CP). About 1.0 g of sample was ground, heated in a water bath for 25 min, and cooled to a constant volume. A total of 1.0 mL of the extract was mixed with water, anthrone reagent, and concentrated sulfuric acid and boiled in a water bath for 10 min. After cooling, the mixture’s absorbance at 620 nm was measured using a spectrophotometer, and the soluble sugar content was determined based on the standard curve (WSC). Weigh 5 g of the sample, soak it in petroleum ether, distill out the dissolved fat, and then dry and weigh the residue to obtain the ether extract content (EE). Further, to determine the acid detergent fiber (ADF) and neutral washing fibers (NDF) contents, 0.5 g of the sample was taken in a paper bag and mixed with an appropriate amount of neutral/acidic detergent. This mixture was placed in a fiber analyzer and digested at constant temperature for 1 h. After digestion, the remaining detergent was washed away, and the fibers were soaked in acetone to remove impurities. The sample was further dried in an oven to constant weight. About 5.0 g of the dried sample was weighed in a crucible and carbonized at a high temperature; further, the sample was placed in a Muffle furnace at 550 °C, burned to constant weight, and weighed to determine the ash content.
2.3. DNA Extraction and PCR Sequencing
The silage samples were analyzed through a biotechnology platform (Paisenol). Bacterial DNA was extracted with DP302-02 DNA extraction kit (Tiangen, Beijing, China). The extracted DNA was evaluated by 0.8% agarose gel electrophoresis and quantified using an ultraviolet spectrophotometer. Further, the V5–V7 region of 16S rRNA was amplified from the total DNA using forward (5′-CCTACGGGNGGCWGCAG-3′) and reverse (5′-GACTACHVGGGTATCTAATCC-3′) primers, and the amplicon was purified with the BECKMAN AMPure XP (Beckman Coulter, Inc., Brea, CA, USA) beads. Our raw sequence data are available under the NCBI project PRJNA1119948 with the accession number SRP511592. The purified amplicon was further quantified using the Quant-iT PicoGreen dsDNA Assay Kit on a microplate reader (BioTek, FL× 800; Winooski, VT, USA). Then, the samples were mixed according to the data required for each sample. PCR products were analyzed on 2% agarose gel and recovered using the AMPure XT bead recovery kit (Beckman Coulter, Inc., Brea, CA). Finally, double-ended sequencing was carried out using the NovaSeq 6000 SP Reagent Kit (500 cycles) on an Illumina NovaSeq platform (Illumina, San Diego, CA, USA).
2.4. Bacterial Community Sequencing Analysis
The reads were primed, quality filtered, denoised, spliced, and mosaiced using the DADA2 method. The obtained information on the ASV abundance was flattened with the “qiime feature-table rarefy” function of QIIME2 (version 2019.4), setting the flattening depth to 95% of the minimum sample sequence size. Then, the “qiime diversity alpha-rarefaction” command was used for the unflattened ASV to calculate the alpha diversity (α-diversity) index. Simultaneously, using the flattened ASV table, the “qiime diversity core-metrics-phylogenetic” or “qiime diversity core-metrics” command was called based on whether the tree file is phylogenetic, the Bray–Curtis distance matrix was calculated, and PCoA was performed. The obtained Bray–Curtis distance matrix file was used to perform the “permanova” inter-group difference analysis with Python’s scikit-bio package, setting the permutations to 999. Here, utilizing R software and QIIME2, a comprehensive Beta diversity analysis was conducted, employing Bray–Curtis and Jaccard distance metrics, to delve into the variations in microbial community structure among diverse samples. The findings of this analysis were then graphically represented through Principal Coordinate Analysis (PCoA) and Non-metric Multidimensional Scaling (NMDS), providing a visual perspective on the complexities and patterns within the microbial communities. Further, the clustering of each sample and each taxon species was assessed using the R language and pheatmap package. Finally, LEfSe analysis was performed to determine the differences using the Python LEfSe package and the R ggtree package (LDA > 3.5). PICRUSt2 was used for the Kyoto Encyclopedia of Genes and Genomes (KEGG) Orthology (KO) classification based on the 16S rRNA-labeled gene sequences.
2.5. Statistical Analysis
Data were analyzed using the SPSS program (version 26.0, SPSS Inc., Chicago, IL, USA). One-way analysis of variance (ANOVA) was performed to assess the differences in the fermentation products, chemical composition, microbial population, and KEGG pathways. The model is as follows:
represents the observed value, ( = LAB, CE, LC or M1, M2, M3, M4, M5) represents the average value, and is the error. Duncan’s multipass method was adopted to determine the statistical significance, and differences at p < 0.05 were considered significant. Spearman correlation coefficient was calculated to assess the correlation. The closer the Spearman correlation coefficient is to 1 or −1, the stronger the correlation between the two variables. All graphs were produced using the derived Novon platform and Origin.
4. Discussion
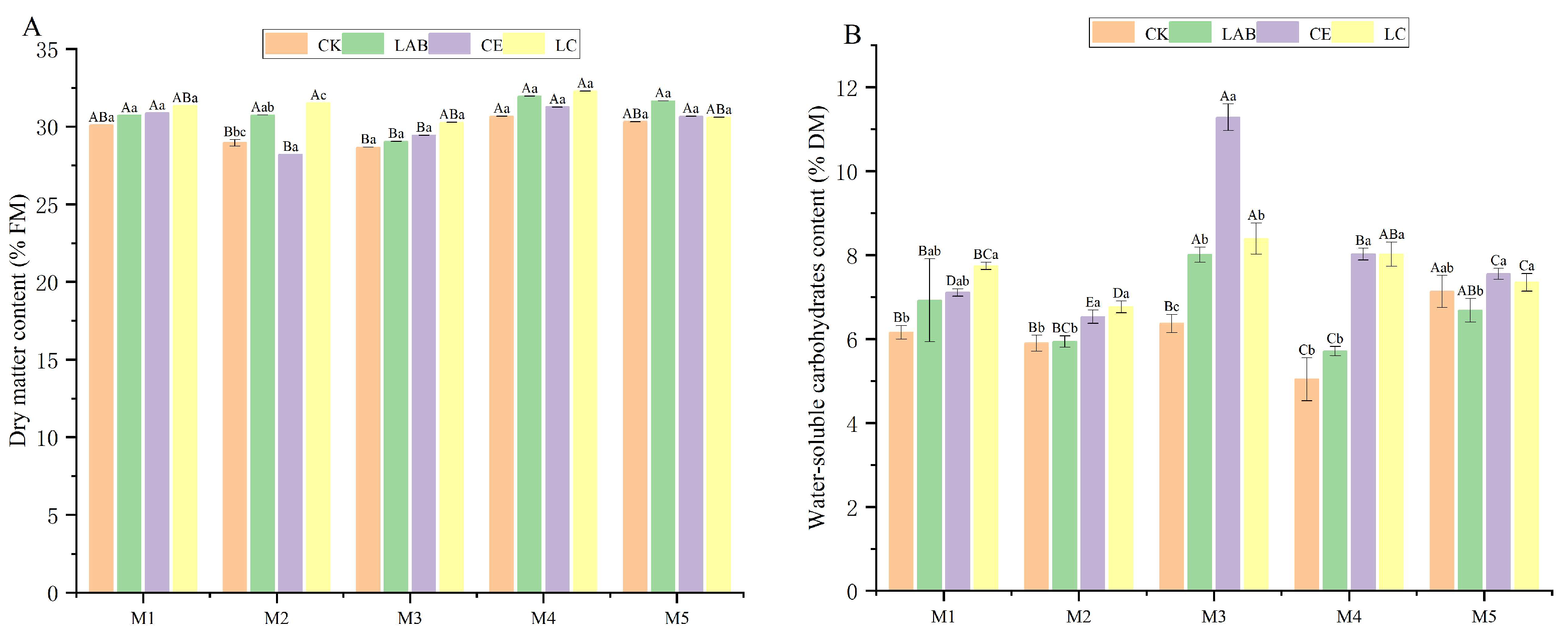
High-quality fermented silage is usually well preserved in terms of nutrient composition. After 45 days of silage, the dry matter content was reduced, and the dry matter loss was the largest in group CK. This phenomenon may be due to the fact that when there is insufficient soluble sugar in the environment, lactic acid bacteria will adjust their metabolic pathway in order to maintain their life activities and energy supply and change from homozygous fermentation to heterozygous fermentation [
11]. The contents of CP and WSC in the CE and LC groups were higher than those in the CK group. The mechanism underlying this effect involves the decomposition of cellulose into sugars by cellulase, thereby augmenting the available substrate for fermentation [
12]. Concurrently, the introduction of
Lactobacillus buchneri (LAB) enhances the production of organic acids, facilitating the growth of beneficial micro-organisms. This process effectively breaks down cellulose and protein within the silage material, thereby optimizing the utilization of crude protein [
13]. Additionally, cellulase contributes to the degradation of fiber and non-structural proteins, releasing plant cell structural proteins [
14]. The CE group had the lowest NDF and ADF content, attributed to the conversion of cellulase-degradable fiber into soluble sugars [
5]. Ash increases after silage, likely resulting from the transformation of organic matter present in the grass into inorganic matter throughout the silage process.
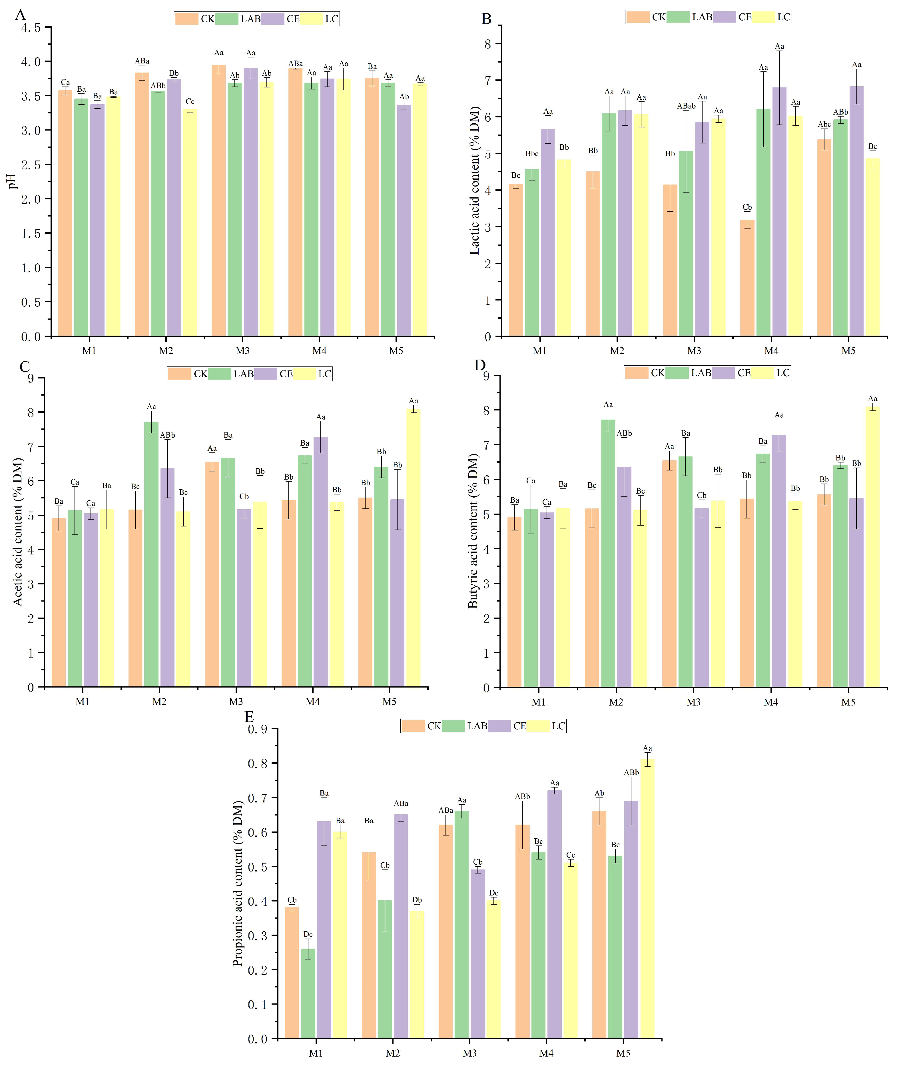
The pH and organic acids are also used to evaluate the quality of fermentation. Under each planting density, the pH value of the LAB, CE, and LC groups was lower than that of the CK group, and the organic acid concentration of LA was higher than that of CK. The application of
Lactobacillus buchneri to the silage initiated the production of organic acids during fermentation, while cellulase activity led to the breakdown of cellulose into sugars, which were subsequently converted into organic acids, thereby contributing to a reduction in pH [
15]. At the same time, this can be attributed to the ability of
Lactobacillus species to outcompete other micro-organisms for nutrients during the fermentation process, thus efficiently utilizing the available carbon sources to enhance the production of lactic acid [
16]. Supporting this, studies by Ren et al. and Hu et al. have indicated that the addition of cellulase can increase the relative abundance of lactic acid bacteria, further boosting the LA content in silage [
17]. The concentration of AA in the treatment group with
Lactobacillus buchneri was higher than that in the CK group. This is likely due to the fact that LAB, being of the
Lactobacillus heterofermentative type, is capable of producing not only lactic acid but also a higher quantity of AA. These results indicated that in terms of nutrient composition and fermentation parameters, additives improved silage quality, and the combined use of
Lactobacillus buchneri and cellulase was the best.
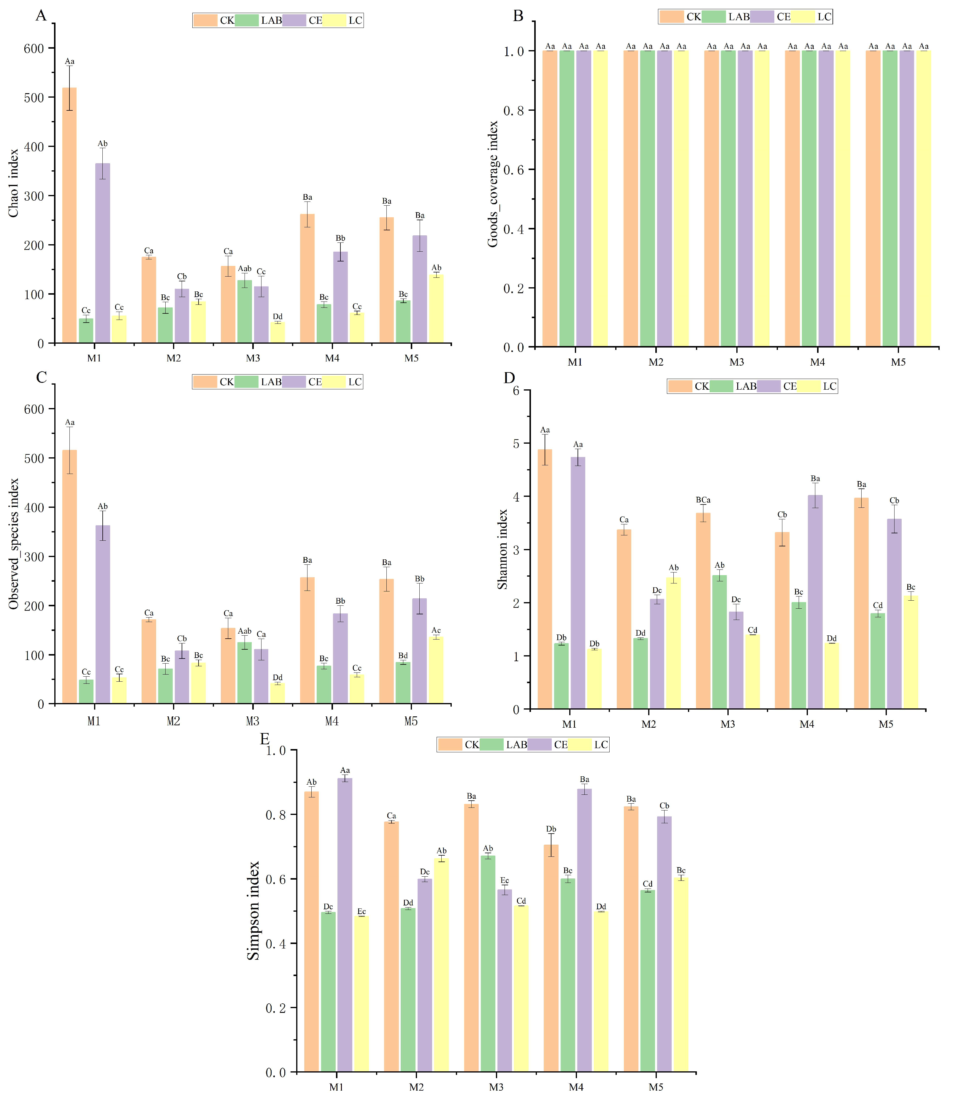
Furthermore, to understand the differences in bacterial community between treatments, we performed 16S rRNA high-throughput sequencing. The coverage index ranged from 0.997 to 0.999, confirming the reliability of the microbial community data and its suitability for bacterial community analysis. Typically, α-diversity explains bacterial communities’ species richness, evenness, and diversity. In this study, the Chao1, Shannon, Simpson, and Observed_species indices of the LAB and LC groups were lower than those of CK. This reduction in bacterial diversity following successful fermentation aligns with findings by Guan et al. [
18], who observed a marked decrease in bacterial diversity post-fermentation. The incorporation of
Lactobacillus boucheri, known to elevate levels of lactic acid (LA) and acetic acid (AA) while concurrently lowering pH, has been documented to inhibit the proliferation of competing bacterial species, thereby diminishing bacterial diversity [
19]. This effect is indicative of the selective pressure imposed by the fermentation environment, which favors the growth of specific microbial populations while suppressing others. Additionally, the ß-diversity reflects the differences in bacterial communities among the treatments. The PCoA and NMDS maps showed significant separation between the CE and CK treatments and between the LAB and LC treatments, indicating differences in the bacterial communities. This observation also indicates that adding
Lactobacillus buchneri reconfigured the bacterial community of silage.
Silage quality is also closely related to the composition of the bacterial community. The present study found mainly Firmicutes and Proteobacteria in the silage, and the abundance of Firmicutes was much higher than Proteobacteria. This dominance is likely attributable to the rich content of complex carbohydrates, such as cellulose, present in
Sorghum bicolor ×
S. propinquum. These carbohydrates, which are challenging to degrade, are efficiently broken down by Firmicutes due to their potent cellulolytic capabilities. Consequently, Firmicutes can extract available nutrients from the complex carbohydrates found in forage silage materials, thereby securing a nutritional advantage over other bacterial populations and achieving a high relative abundance during the silage process [
20]. Proteobacteria mainly existed in CK. However, minimal to no Proteobacteria were detected in the other additive treatments. This reduction can be explained by the rapid onset of anaerobic and acidic conditions induced by LAB and CE treatments, conditions that are unfavorable for the growth and reproduction of Proteobacteria during fermentation [
21]. Additionally, Proteobacteria are known to degrade organic matter under aerobic conditions, which could lead to a higher loss of dry matter in the CK group [
22]. These findings underscore the significant impact of fermentation additives on the taxonomic structure of bacterial communities within silage, particularly highlighting the role of specific bacterial phyla in the degradation of complex carbohydrates and the preservation of dry matter. The rapid establishment of anaerobic and acidic environments by cellulase and
Lactobacillus buchneri treatments not only inhibits the growth of less desirable bacterial populations, such as Proteobacteria, but also enhances the nutritional quality and stability of the silage.
The abundance of
Lentilactobacillus in the LAB and LC groups was higher than that in the CK group. This aligns well with the findings previously reported by Ogiy et al. [
20]. Previous studies have demonstrated that the addition of specific micro-organisms to silage can effectively control the growth and proliferation of competing microbial entities within the silage [
23]. In particular, the introduction of
Lactobacillus buchneri has been shown to afford
Lentilactobacillus a competitive edge. Furthermore, the breakdown of cellulose into more accessible carbon sources significantly benefits
Lentilactobacillus.
Lactiplantibacillus was abundant in CK and decreased with an increase in density. This pattern may be attributed to the natural prevalence of
Lactiplantibacillus on the plant surface and the decrease due to the drop in ventilation and other conditions with an increase in planting density [
24].
Levilactobacillus was mostly found in the CE group and was the lowest in M4 and M5.
Levilactobacillus is known to perform glyco-based fermentation, and cellulase addition produces more soluble sugars. On the other hand, the low content of WSC in M4 and M5 resulted in a drop in their abundance. Additionally, adding
Lactobacillus buchneri in silage decreased the abundance of harmful bacteria (
Paenibacillus,
Lactococcus, and
Leuconostoc). There are typically outcompeted by more acid-tolerant bacteria, such as
Lentilactobacillus and
Lactiplantibacillus, under low-pH conditions. In brief, under varying planting density scenarios, harmful bacteria were detected only in CK, and the addition of additives significantly reduced their abundance, thereby improving the overall quality of the silage [
25].
The LEfSe analysis was employed to delve deeper into the disparities in bacterial community composition between the additive treatment group and the control group during the silage process. In our study,
Lactiplantibacillus was mainly enriched in CK,
Lentilactobacillus in LAB and LC, and
Levilactobacillus in CE. These results confirmed that using additives changed the bacterial community structure in silage, and
Levilactobacillus was likely to be glycosylated.
Paenibacillus,
Pantoea,
Lachnoclostrdium,
Methylobacteria-methylorubrum, and
Enterococcus were found only in CK and CE, suggesting that the use of LAB could improve the fermentation quality of silage. The investigation into the correlation between bacterial communities and silage quality fosters a comprehensive comprehension of the pivotal bacteria that are essential for optimizing silage fermentation quality. Additionally, we found that
Lentilactobacillus and
Levilactobacillus were positively correlated with LA and negatively correlated with pH, while
Lactiplantibacillus showed an opposite trend. This finding is contrary to the observation made by Bai et al. [
26]. In the groups treated with
Lactobacillus buchneri (LAB) and the combination of LAB and cellulase (LC), the supplementation of
Lactobacillus buchneri fortified the dominance of
Lentilactobacillus over
Lactiplantibacillus, thereby enhancing the production of LA by
Lentilactobacillus. Meanwhile, this phenomenon can be attributed to the acidogenic properties of these bacteria, where
Lentilactobacillus and
Levilactobacillus contribute to acidification (lowering pH) through their metabolic activities, contrasting with
Lactiplantibacillus which may have less impact on acid production.
Further analyses revealed that specific bacteria are associated with distinct fermentation pathways:
Lactiplantibacillus was negatively correlated with crude protein (CP), suggesting a lesser role in nitrogen-based fermentation, whereas
Lentilactobacillus exhibited a negative correlation with water-soluble carbohydrates (WSC), indicating a potential preference for glycosyl-based fermentation pathways. The increased abundance of
Lentilactobacillus in the CE group, compared to CK, supports this hypothesis. Further analyses revealed that specific bacteria are associated with distinct fermentation pathways:
Lentilactobacillus was positively correlated with crude protein (CP), indicating that nitrogen-based fermentation may have been occurring, whereas
Levilactobacillus exhibited a positive correlation with water-soluble carbohydrates (WSC), indicating a potential preference for glycosyl-based fermentation pathways. The increased abundance of
Levilactobacillus in the CE group, compared to CK, supports this hypothesis. The aerobic nature of bacteria such as
Paenibacillus,
Pantoea,
Lachnoclostridium,
Methylobacteria-
methylotrophus, and
Enterococcus [
27] and their positive correlation with pH further support the notion that the presence and activity of aerobic bacteria contribute to higher pH levels in silage. The lower relative abundance of these bacteria in additive-treated groups (
Figure 6B and
Figure 7) emphasizes the effectiveness of the additives in creating an anaerobic environment conducive to lowering the pH and enhancing silage quality through the selective promotion of beneficial bacterial populations.
Predicting the functional alterations within bacterial communities is instrumental in assessing their influence on the shifting quality of silage. As found in this study, the significant enrichment of the Insulin signaling pathway in CK was comparable to LAB and LC groups, while amino acid metabolism was notably enriched in the LAB and LC groups. These alterations suggest a higher decomposition and metabolism rate of amino acids in the CK group, potentially reducing the protein content, as detailed in
Figure 2 [
28]. Typically, bacterial response to antibiotic pressure manifests through an increase in beta-lactam resistance. The addition of LAB appeared to mitigate this pressure, resulting in a markedly lower abundance of lactam in LAB and LC groups compared to CK. Additionally, the energy-intensive process of flagellar assembly, rather than being allocated towards fermentation and acid production [
29], likely contributed to a higher pH in CK than in LAB-treated silage. Excessive carotenoid biosynthesis and activity of ascorbate and aldarate metabolism could negatively impact fermentation and feed quality, possibly due to substrate competition and the accumulation of metabolites such as uronic acid, adversely affecting nutritional balance and animal health [
30]. The presence of ansamycins might exhibit specificity for
Lactiplantibacillus in CK, accounting for its higher abundance compared to LAB-treated silage. The specific bacterial genera and metabolic pathways suggest that
Lentilactobacillus may play a crucial role in inhibiting certain metabolic pathways. In the meantime,
Lentilactobacillus may stimulate amino acid metabolism, leading to the production of more beneficial peptides, thus improving the quality of the silage.