Effect of Different Partial Pressures on H2 Production with Parageobacillus thermoglucosidasius DSM 6285
Abstract
1. Introduction
2. Materials and Methods
2.1. Microorganism and Media
2.1.1. Inoculum Preparation and Bottle Fermentation
2.1.2. Analytical Methods
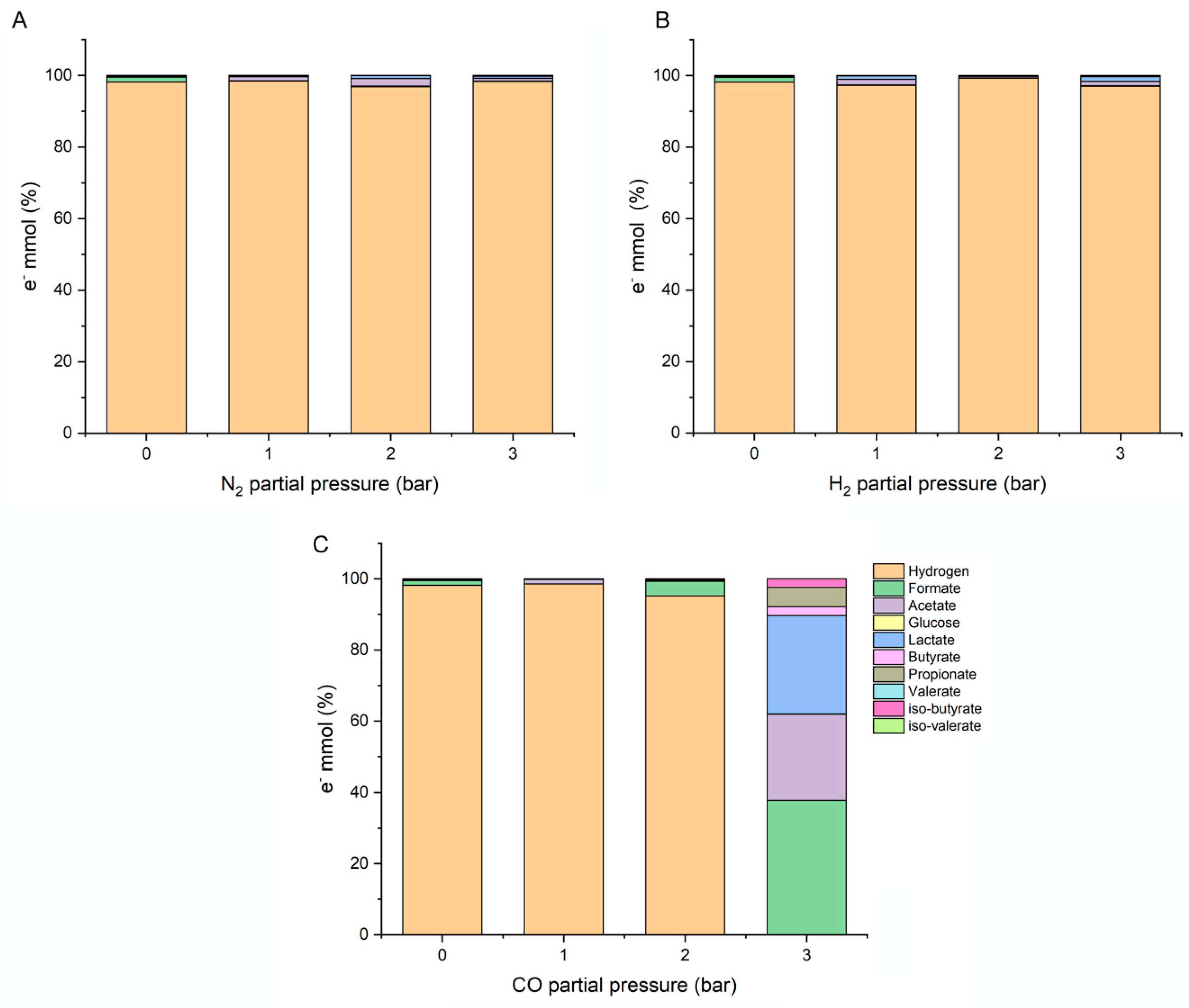
3. Results
3.1. Effect of Increased CO Partial Pressure on H2 Production
3.2. Effect of Increased N2 Partial Pressure on H2 Production
3.3. Effect of H2 Partial Pressure on H2 Production
3.4. Selectivity of the WGS Process with Different CO, N2, and H2 Partial Pressures
4. Discussion
4.1. Effect of Increasing Partial Pressure of Gases on H2 Production
4.2. Future Perspectives
5. Conclusions
Supplementary Materials
Author Contributions
Funding
Institutional Review Board Statement
Informed Consent Statement
Data Availability Statement
Conflicts of Interest
References
- Cabrol, L.; Marone, A.; Tapia-Venegas, E.; Steyer, J.-P.; Ruiz-Filippi, G.; Trably, E. Microbial Ecology of Fermentative Hydrogen Producing Bioprocesses: Useful Insights for Driving the Ecosystem Function. FEMS Microbiol. Rev. 2017, 41, 158–181. [Google Scholar] [CrossRef] [PubMed]
- Sherif, S.A.; Barbir, F.; Veziroglu, T.N. Wind Energy and the Hydrogen Economy—Review of the Technology. Sol. Energy 2005, 78, 647–660. [Google Scholar] [CrossRef]
- da Silva Veras, T.; Mozer, T.S.; da Silva César, A. Hydrogen: Trends, Production and Characterization of the Main Process Worldwide. Int. J. Hydrogen Energy 2017, 42, 2018–2033. [Google Scholar] [CrossRef]
- Nikolaidis, P.; Poullikkas, A. A Comparative Overview of Hydrogen Production Processes. Renew. Sustain. Energy Rev. 2017, 67, 597–611. [Google Scholar] [CrossRef]
- Alfano, M.; Cavazza, C. The Biologically Mediated Water–Gas Shift Reaction: Structure, Function and Biosynthesis of Monofunctional [NiFe]-Carbon Monoxide Dehydrogenases. Sustain. Energy Fuels 2018, 2, 1653–1670. [Google Scholar] [CrossRef]
- Sivaramakrishnan, R.; Shanmugam, S.; Sekar, M.; Mathimani, T.; Incharoensakdi, A.; Kim, S.-H.; Parthiban, A.; Edwin Geo, V.; Brindhadevi, K.; Pugazhendhi, A. Insights on Biological Hydrogen Production Routes and Potential Microorganisms for High Hydrogen Yield. Fuel 2021, 291, 120136. [Google Scholar] [CrossRef]
- Agyekum, E.B.; Nutakor, C.; Agwa, A.M.; Kamel, S. A Critical Review of Renewable Hydrogen Production Methods: Factors Affecting Their Scale-Up and Its Role in Future Energy Generation. Membranes 2022, 12, 173. [Google Scholar] [CrossRef]
- Zainal, B.S.; Ker, P.J.; Mohamed, H.; Ong, H.C.; Fattah, I.M.R.; Rahman, S.M.A.; Nghiem, L.D.; Mahlia, T.M.I. Recent Advancement and Assessment of Green Hydrogen Production Technologies. Renew. Sustain. Energy Rev. 2024, 189, 113941. [Google Scholar] [CrossRef]
- Tashie-Lewis, B.C.; Nnabuife, S.G. Hydrogen Production, Distribution, Storage and Power Conversion in a Hydrogen Economy—A Technology Review. Chem. Eng. J. Adv. 2021, 8, 100172. [Google Scholar] [CrossRef]
- Greening, C.; Biswas, A.; Carere, C.R.; Jackson, C.J.; Taylor, M.C.; Stott, M.B.; Cook, G.M.; Morales, S.E. Genomic and Metagenomic Surveys of Hydrogenase Distribution Indicate H2 Is a Widely Utilised Energy Source for Microbial Growth and Survival. ISME J. 2016, 10, 761–777. [Google Scholar] [CrossRef]
- Martins, M.; Pereira, I.A.C.; Pita, M.; De Lacey, A.L. Biological Production of Hydrogen BT—Enzymes for Solving Humankind’s Problems: Natural and Artificial Systems in Health, Agriculture, Environment and Energy. In Enzymes for Solving Humankind’s Problems; Moura, J.J.G., Moura, I., Maia, L.B., Eds.; Springer International Publishing: Cham, Switzerland, 2021; pp. 247–273. ISBN 978-3-030-58315-6. [Google Scholar]
- Mohr, T.; Aliyu, H.; Biebinger, L.; Gödert, R.; Hornberger, A.; Cowan, D.; De Maayer, P.; Neumann, A. Effects of Different Operating Parameters on Hydrogen Production by Parageobacillus thermoglucosidasius DSM 6285. AMB Express 2019, 9, 207. [Google Scholar] [CrossRef] [PubMed]
- Paredes-Barrada, M.; Kopsiaftis, P.; Claassens, N.J.; van Kranenburg, R. Parageobacillus thermoglucosidasius as an Emerging Thermophilic Cell Factory. Metab. Eng. 2024, 83, 39–51. [Google Scholar] [CrossRef]
- Mol, M.; Ardila, M.S.; Mol, B.A.; Aliyu, H.; Neumann, A.; de Maayer, P. The Effects of Synthesis Gas Feedstocks and Oxygen Perturbation on Hydrogen Production by Parageobacillus thermoglucosidasius. Microb. Cell Fact. 2024, 23, 125. [Google Scholar] [CrossRef]
- Mohr, T.; Aliyu, H.; Küchlin, R.; Polliack, S.; Zwick, M.; Neumann, A.; Cowan, D.; De Maayer, P. CO—Dependent Hydrogen Production by the Facultative Anaerobe Parageobacillus thermoglucosidasius. Microb. Cell Factories 2018, 17, 108. [Google Scholar] [CrossRef]
- Kantzow, C.; Weuster-Botz, D. Effects of Hydrogen Partial Pressure on Autotrophic Growth and Product Formation of Acetobacterium woodii. Bioprocess. Biosyst. Eng. 2016, 39, 1325–1330. [Google Scholar] [CrossRef]
- Junghare, M.; Subudhi, S.; Lal, B. Improvement of Hydrogen Production under Decreased Partial Pressure by Newly Isolated Alkaline Tolerant Anaerobe, Clostridium butyricum TM-9A: Optimization of Process Parameters. Int. J. Hydrogen Energy 2012, 37, 3160–3168. [Google Scholar] [CrossRef]
- Aliyu, H.; Kastner, R.; De Maayer, P.; Neumann, A. Carbon Monoxide Induced Metabolic Shift in the Carboxydotrophic Parageobacillus thermoglucosidasius DSM 6285. Microorganisms 2021, 9, 1090. [Google Scholar] [CrossRef]
- Van Niel, E.W.J.; Claassen, P.A.M.; Stams, A.J.M. Substrate and Product Inhibition of Hydrogen Production by the Extreme Thermophile, Caldicellulosiruptor saccharolyticus. Biotechnol. Bioeng. 2003, 81, 255–262. [Google Scholar] [CrossRef] [PubMed]
- Díaz, D.B.; Neumann, A.; Aliyu, H. Thermophilic Water Gas Shift Reaction at High Carbon Monoxide and Hydrogen Partial Pressures in Parageobacillus thermoglucosidasius KP1013. Fermentation 2022, 8, 596. [Google Scholar] [CrossRef]
- Esquivel-Elizondo, S.; Chairez, I.; Salgado, E.; Aranda, J.S.; Baquerizo, G.; Garcia-Peña, E.I. Controlled Continuous Bio-Hydrogen Production Using Different Biogas Release Strategies. Appl. Biochem. Biotechnol. 2014, 173, 1737–1751. [Google Scholar] [CrossRef]
- Zhang, K.; Ren, N.-Q.; Cao, G.-L.; Wang, A.-J. Biohydrogen Production Behavior of Moderately Thermophile Thermoanaerobacterium thermosaccharolyticum W16 under Different Gas-Phase Conditions. Int. J. Hydrogen Energy 2011, 36, 14041–14048. [Google Scholar] [CrossRef]
- Mandal, B.; Nath, K.; Das, D. Improvement of Biohydrogen Production Under Decreased Partial Pressure of H2 by Enterobacter cloacae. Biotechnol. Lett. 2006, 28, 831–835. [Google Scholar] [CrossRef]
- Perret, L.; Boukis, N.; Sauer, J. Synthesis Gas Fermentation at High Cell Density: How pH and Hydrogen Partial Pressure Affect Productivity and Product Ratio in Continuous Fermentation. Bioresour. Technol. 2024, 391, 129894. [Google Scholar] [CrossRef] [PubMed]
- Kosourov, S.N.; Batyrova, K.A.; Petushkova, E.P.; Tsygankov, A.A.; Ghirardi, M.L.; Seibert, M. Maximizing the Hydrogen Photoproduction Yields in Chlamydomonas reinhardtii Cultures: The Effect of the H2 Partial Pressure. Int. J. Hydrogen Energy 2012, 37, 8850–8858. [Google Scholar] [CrossRef]
- Laurent, B.; Serge, H.; Julien, M.; Christopher, H.; Philippe, T. Effects of Hydrogen Partial Pressure on Fermentative Biohydrogen Production by a Chemotropic Clostridium Bacterium in a New Horizontal Rotating Cylinder Reactor. Energy Procedia 2012, 29, 34–41. [Google Scholar] [CrossRef]
- Stein, U.H.; Abbasi-Hosseini, M.; Kain, J.; Fuchs, W.; Bochmann, G. Influence of Gas-Release Strategies on the Production of Biohydrogen and Biobutanol in ABE Fermentation. Biofuels 2019, 13, 9–15. [Google Scholar] [CrossRef]
- Hurst, K.M.; Lewis, R.S. Carbon Monoxide Partial Pressure Effects on the Metabolic Process of Syngas Fermentation. Biochem. Eng. J. 2010, 48, 159–165. [Google Scholar] [CrossRef]
- Jung, G.Y.; Kim, J.R.; Park, J.-Y.; Park, S. Hydrogen Production by a New Chemoheterotrophic Bacterium Citrobacter sp. Y19. Int. J. Hydrogen Energy 2002, 27, 601–610. [Google Scholar] [CrossRef]
- Clark, D.P. The Fermentation Pathways of Escherichia coli. FEMS Microbiol. Lett. 1989, 63, 223–234. [Google Scholar] [CrossRef]
- Zhao, Y.; Cimpoia, R.; Liu, Z.; Guiot, S.R. Kinetics of CO Conversion into H2 by Carboxydothermus hydrogenoformans. Appl. Microbiol. Biotechnol. 2011, 91, 1677–1684. [Google Scholar] [CrossRef]
- Yerushalmi, L.; Volesky, B.; Szczesny, T. Effect of Increased Hydrogen Partial Pressure on the Acetone-Butanol Fermentation by Clostridium acetobutylicum. Appl. Microbiol. Biotechnol. 1985, 22, 103–107. [Google Scholar] [CrossRef]
- Sivalingam, V.; Haugen, T.; Wentzel, A.; Dinamarca, C. Effect of Elevated Hydrogen Partial Pressure on Mixed Culture Homoacetogenesis. Chem. Eng. Sci. X 2021, 12, 100118. [Google Scholar] [CrossRef]




| Experiment | Initial Partial Pressure (bar) | Total Pressure (bar) | ||||
|---|---|---|---|---|---|---|
| CO | N2 | H2 | O2 | CO2 | ||
| No overpressure | 0.523 | 0.482 | 0 | 0.133 | 0.001 | 1.139 |
| CO (1 bar) | 0.976 | 0.803 | 0 | 0.226 | 0.001 | 2.006 |
| CO (2 bar) | 1.524 | 0.870 | 0 | 0.238 | 0.002 | 2.634 |
| CO (3 bar) | 2.102 | 1.201 | 0 | 0.329 | 0.002 | 3.634 |
| N2 (1 bar) | 0.508 | 1.390 | 0 | 0.129 | 0.001 | 2.028 |
| N2 (2 bar) | 0.496 | 2.429 | 0 | 0.123 | 0.001 | 3.049 |
| N2 (3 bar) | 0.436 | 3.073 | 0 | 0.138 | 0.002 | 3.650 |
| H2 (1 bar) | 0.541 | 0.487 | 0.999 | 0.136 | 0.001 | 2.164 |
| H2 (2 bar) | 0.573 | 0.362 | 1.908 | 0.139 | 0.001 | 2.983 |
| H2 (3 bar) | 0.675 | 0.213 | 2.777 | 0.111 | 0.002 | 3.778 |
Disclaimer/Publisher’s Note: The statements, opinions and data contained in all publications are solely those of the individual author(s) and contributor(s) and not of MDPI and/or the editor(s). MDPI and/or the editor(s) disclaim responsibility for any injury to people or property resulting from any ideas, methods, instructions or products referred to in the content. |
© 2024 by the authors. Licensee MDPI, Basel, Switzerland. This article is an open access article distributed under the terms and conditions of the Creative Commons Attribution (CC BY) license (https://creativecommons.org/licenses/by/4.0/).
Share and Cite
Ardila, M.S.; Aliyu, H.; de Maayer, P.; Neumann, A. Effect of Different Partial Pressures on H2 Production with Parageobacillus thermoglucosidasius DSM 6285. Fermentation 2024, 10, 592. https://doi.org/10.3390/fermentation10110592
Ardila MS, Aliyu H, de Maayer P, Neumann A. Effect of Different Partial Pressures on H2 Production with Parageobacillus thermoglucosidasius DSM 6285. Fermentation. 2024; 10(11):592. https://doi.org/10.3390/fermentation10110592
Chicago/Turabian StyleArdila, Magda Stephania, Habibu Aliyu, Pieter de Maayer, and Anke Neumann. 2024. "Effect of Different Partial Pressures on H2 Production with Parageobacillus thermoglucosidasius DSM 6285" Fermentation 10, no. 11: 592. https://doi.org/10.3390/fermentation10110592
APA StyleArdila, M. S., Aliyu, H., de Maayer, P., & Neumann, A. (2024). Effect of Different Partial Pressures on H2 Production with Parageobacillus thermoglucosidasius DSM 6285. Fermentation, 10(11), 592. https://doi.org/10.3390/fermentation10110592

