Study on the Pilot-Scale Technology of Ginkgolide B Synthesis by Coprinus comatus
Abstract
1. Introduction
2. Materials and Methods
2.1. Microorganisms, Media, and Culture Conditions
2.2. Isolation and Purification of Transformed Ginkgolide Products
2.3. Design of BBD-RSM Experiment
2.4. Qualitative and Quantitative Analysis of GB
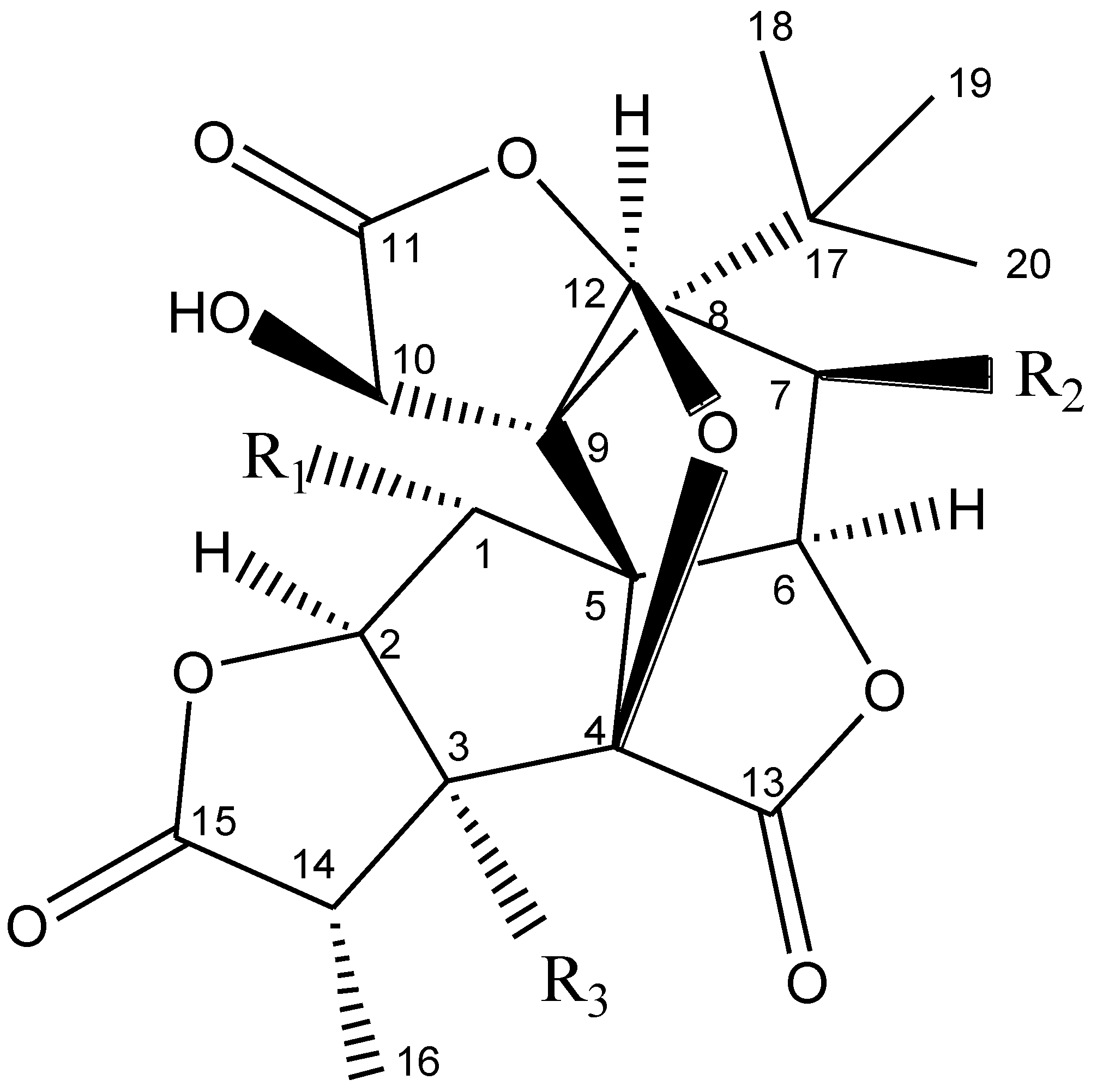
2.5. Analysis with NMR, CD, and IR Spectroscopy on GB
3. Results
3.1. BBD-RSM Experiment on the GB-CR
3.2. Identification of the GB Sample

4. Discussion
Author Contributions
Funding
Institutional Review Board Statement
Informed Consent Statement
Data Availability Statement
Conflicts of Interest
References
- Feng, Z.; Sun, Q.; Chen, W.; Bai, Y.; Hu, D.; Xie, X. The neuroprotective mechanisms of ginkgolides and bilobalide in cerebral ischemic injury: A literature review. Mol. Med. 2019, 25, 57. [Google Scholar] [CrossRef] [PubMed]
- Kang, J.M.; Lin, S. Ginkgo biloba and its potential role in glaucoma. Curr. Opin. Ophthalmol. 2018, 29, 116–120. [Google Scholar] [CrossRef] [PubMed]
- Tian, J.; Liu, Y.; Chen, K. Ginkgo biloba extract in vascular protection: Molecular mechanisms and clinical applications. Curr. Vasc. Pharmacol. 2017, 15, 532–548. [Google Scholar] [CrossRef] [PubMed]
- Hu, Y.Y.; Huang, M.; Dong, X.Q.; Xu, Q.P.; Yu, W.H.; Zhang, Z.Y. Ginkgolide B reduces neuronal cell apoptosis in the hemorrhagic rat brain: Possible involvement of Toll-like receptor 4/nuclear factor-kappa B pathway. J. Ethnopharmacol. 2011, 137, 1462–1468. [Google Scholar] [CrossRef] [PubMed]
- Liang, W.; Xu, W.; Zhu, J.; Zhu, Y.; Gu, Q.; Li, Y.; Guo, C.; Huang, Y.; Yu, J.; Wang, W.; et al. Ginkgo biloba extract improves brain uptake of ginsenosides by increasing blood-brain barrier permeability via activating A1 adenosine receptor signaling pathway. J. Ethnopharmacol. 2020, 246, 112243. [Google Scholar] [CrossRef]
- Xiao, G.; Lyu, M.; Wang, Y.; He, S.; Liu, X.; Ni, J.; Li, L.; Fan, G.; Han, J.; Gao, X.; et al. Ginkgo flavonol glycosides or ginkgolides tend to differentially protect myocardial or cerebral ischemia–reperfusion injury regulation of TWEAK–Fn14 signaling in heart and brain. Front. Pharmacol. 2019, 10, 735. [Google Scholar] [CrossRef]
- Zhang, X.; Yao, W.; Zhou, H.; Wang, H.; Kong, B.; Bai, F. Ginkgo biloba extract-loaded PLGA microcapsules generated from microfluidics for Alzheimer’s disease treatment. Mater. Des. 2024, 238, 112735. [Google Scholar] [CrossRef]
- Ye, W.; Wang, J.; Little, P.J.; Zou, J.; Zheng, Z.; Lu, J.; Yin, Y.; Liu, H.; Zhang, D.; Liu, P.; et al. Anti-atherosclerotic effects and molecular targets of ginkgolide B from Ginkgo biloba. Acta Pharm. Sin. B 2024, 14, 1–19. [Google Scholar] [CrossRef]
- Xu, J.Y.; Chen, W.; Feng, Z.L.; Duan, C.X.; Wang, B.; Zhao, Z.D. Synthesis and effects of ginkgolides and ginkgolide B derivatives on platelet activating factor induced platelet aggregation in rabbits. Med. Chem. Res. 2022, 31, 695–704. [Google Scholar] [CrossRef]
- Dai, Y.; Chen, J.; Fang, J.; Liang, S.; Zhang, H.; Li, H.; Chen, W. Ginkgolide B alleviates glucolipid metabolism disorders and adipose tissue inflammation by inhibiting thromboxane A2 synthesis. Food Biosci. 2024, 58, 103807. [Google Scholar] [CrossRef]
- Lou, C.; Lu, H.; Ma, Z.; Liu, C.; Zhang, Y. Ginkgolide B enhances gemcitabine sensitivity in pancreatic cancer cell lines via inhibiting PAFR/NF-κB pathway. Biomed. Pharmacother. 2019, 109, 563–572. [Google Scholar] [CrossRef] [PubMed]
- Lv, Z.; Shan, X.; Tu, Q.; Wang, J.; Chen, J.; Yang, Y. Ginkgolide B treatment regulated intestinal flora to improve high-fat diet induced atherosclerosis in ApoE−/− mice. Biomed. Pharmacother. 2021, 134, 111100. [Google Scholar] [CrossRef] [PubMed]
- Hébert, M.; Bellavance, G.; Barriault, L. Total synthesis of ginkgolide C and formal syntheses of ginkgolides A and B. J. Am. Chem. Soc. 2022, 144, 17792–17796. [Google Scholar] [CrossRef] [PubMed]
- Jeon, M.H.; Sung, S.H.; Huh, H.; Kim, Y.C. Ginkgolide B production in cultured cells derived from Ginkgo biloba L. leaves. Plant Cell Rep. 1995, 14, 501–504. [Google Scholar] [CrossRef] [PubMed]
- Ding, H.X.; Zhang, Z.C.; Cao, S.N.; Xu, Y.; Yu, J.G. Transformation of multi-component ginkgolide into ginkgolide B by Coprinus comatus. BMC Biotechnol. 2015, 15, 17. [Google Scholar] [CrossRef][Green Version]
- Abderrezag, N.; Bragagnolo, F.S.; Louaer, O.; Meniai, A.H.; Cifuentes, A.; Ibáñez, E.; Mendiola, J.A. Optimization of supercritical fluid extraction of bioactive compounds from Ammodaucus leucotrichus fruits by using multivariate response surface methodology. J. Supercrit. Fluid 2024, 207, 106211. [Google Scholar] [CrossRef]
- Veronika, P.; Kateřina, P.; Diana, H.; Štefan, K.; Frantisek, S.; Lucie, N. Comprehensive two-step supercritical fluid extraction for green isolation of volatiles and phenolic compounds from plant material. Green Chem. 2024, 26, 6480–6489. [Google Scholar]
- Wang, Y.; Yang, J.; Sui, J.; Wang, L.; Tang, J.; Yang, Y.; Lu, Y.; Dai, S.; Cao, Q. Efficient separation of europium by solvent extraction using bis(2-ethylhexyl) phosphate. J. Radioanal. Nucl. Chem. 2024, 333, 2691–2696. [Google Scholar] [CrossRef]
- Silimani, C.; Rais, C.; Mansouri, F.; Rais, S.; Benjelloun, M.; Ullah, R.; Iqbal, Z.; Goh, K.W.; Lee, L.H.; Bouyahya, A.; et al. Optimization of ultrasound-assisted extraction phenols from Crocus sativus by-products using sunflower oil as sustainable solvent alternative. Food Chem. 2023, 23, 101579. [Google Scholar] [CrossRef]
- Chamali, S.; Bendaoud, H.; Bouajila, J.; Camy, S.; Saadaouii, E.; Condoret, J.; Romdhane, M. Optimization of accelerated solvent extraction of bioactive compounds from Eucalyptus intertextra using response surface methodology and evaluation of its phenolic composition and biological activities. J. Appl. Res. Med. Aromat. Plants 2023, 35, 100464. [Google Scholar]
- Lu, Z.; Chen, Z.; Ping, H.; Chen, H.; Chen, X.A. Small-scale silica gel column chromatography method for separating carbazole compounds from highly mature crude oil. J. Chromatogr. A 2024, 1713, 464536. [Google Scholar] [CrossRef] [PubMed]
- Yang, L.; Xing, Y.; Chen, R.; Ni, H.; Li, H.H. Isolation and identification of antioxidative peptides from crocodile meat hydrolysates using silica gel chromatography. Sci. Rep. 2022, 12, 13223. [Google Scholar] [CrossRef] [PubMed]
- Moriiwa, Y.; Shoji, A.; Shibusawa, Y.; Yanagida, A. Elution behavior of drugs in high-speed counter-current chromatography using on-column complexation with metal ions. Anal. Sci. 2024, 40, 1121–1128. [Google Scholar] [CrossRef] [PubMed]
- Van Beek, T.A. Ginkgolides and bilobalide: Their physical, chromatographic and spectroscopic properties. Bioorgan. Med. Chem. 2005, 13, 5001–5012. [Google Scholar] [CrossRef] [PubMed]
- Wang, F.; Zhang, L.E.; Luo, Y.; Li, Y.I.; Cheng, X.; Cao, J.; Wu, J.; Huang, H.; Luo, J.; Su, Y. Surfactant aggravated the antibiotic’s stress on antibiotic resistance genes proliferation by altering antibiotic solubilization and microbial traits in sludge anaerobic fermentation. Sci. Total Environ. 2023, 873, 162440. [Google Scholar] [CrossRef]
- Wang, Q.; Wang, H.; Lv, M.; Wang, X.; Chen, L. Sulfamethoxazole degradation by Aeromonas caviae and co-metabolism by the mixed bacteria. Chemosphere 2023, 317, 137882. [Google Scholar] [CrossRef]
- Mateos-Aparicio, I.; Pérez-López, E.; Rupérez, P. Valorisation approach for the soybean by-product okara using high hydrostatic pressure. Curr. Nutr. Food Sci. 2019, 15, 548–550. [Google Scholar] [CrossRef]
- Xiao, Y.; Cheng, Y.; Shi, S.; Li, R.; Dong, H.; Han, F. Generation of xanthohumol derivatives through fungi-mediated biotransformation. Nat. Prod. Res. 2024; in press. [Google Scholar]
- Xin, X.; Liu, J.; Luan, S.; Zhou, M.; Wang, W.; Wu, Y.; Ma, X.; Wang, C.; Guo, P.; Li, D. Biotransformation of norethisterone by Rhizopus microsporus PT2906. Phytochem. Lett. 2023, 58, 76–80. [Google Scholar] [CrossRef]
- Thiyagarajah, P.; Kuttan, S.C.; Lim, S.C.; Teo, T.S.; Das, N.P. Effect of myricetin and other flavonoids on the liver plasma membrane Ca2+ pump kinetics and structure-function relationships. Biochem. Pharmacol. 1991, 41, 669–675. [Google Scholar] [CrossRef]
- Hrabalová, V.; Opial, T.; Musilová, J.; Sedlář, K.; Obruča, S. Biotransformation of ferulic acid into vanillyl alcohol and vanillic acid employing thermophilic bacterium Caldimonas thermodepolymerans. Enzym. Microb. Technol. 2024, 179, 110475. [Google Scholar] [CrossRef]
- Aminudin, N.I.; Wan Jaafar, W.M.S.; Mohd Amin, N.M.S.; Kamarul Baharin, R.; Zainal Abidin, Z.A. Biotransformation of curcumin by Streptomyces sp. K1-18 isolated from mangrove soil. Nat. Prod. Res. 2024; in press. [Google Scholar]
- Ren, J.; Jackson, K.; Barton, C.D.; Huang, Y.; Zhan, J. Enhancing the physicochemical properties and bioactivities of 2′-hydroxyflavanone through fungal biotransformation. J. Biosci. Bioeng. 2024, 138, 144–152. [Google Scholar] [CrossRef] [PubMed]
- Cao, H.; Ma, S.; Guo, H.; Cui, X.W.; Wang, S.S.; Zhong, X.F.; Wu, Y.; Zheng, W.; Wang, H.; Yu, J.; et al. Comparative study on the monosaccharide compositions, antioxidant and hypoglycemic activities in vitro of intracellular and extracellular polysaccharides of liquid fermented Coprinus comatus. Int. J. Biol. Macromol. 2019, 139, 543–549. [Google Scholar] [CrossRef] [PubMed]
- Zheng, Z.; Qu, H.; Zhou, H.; Yang, H.; Gao, H. Changes in quality, ultrastructure, reactive oxygen species and cell wall metabolisms of postharvest Coprinus comatus stored at different temperatures. Sci. Hortic. 2022, 298, 110989. [Google Scholar] [CrossRef]
- Gao, Z.; Kong, D.; Cai, W.; Zhang, J.; Jia, L. Characterization and anti-diabetic nephropathic ability of mycelium polysaccharides from Coprinus comatus. Carbohyd. Polym. 2021, 251, 117081. [Google Scholar] [CrossRef] [PubMed]
- Skouteris, G.; Rodriguez-Garcia, G.; Reinecke, S.F.; Hampel, U. The use of pure oxygen for aeration in aerobic wastewater treatment: A review of its potential and limitations. Bioresour. Technol. 2020, 312, 123595. [Google Scholar] [CrossRef]
- Zhang, X.; Chen, J.; Wu, D.; Li, J.; Tyagi, R.D.; Surampalli, R.Y. Economical lipid production from Trichosporon oleaginosus via dissolved oxygen adjustment and crude glycerol addition. Bioresour. Technol. 2019, 273, 288–296. [Google Scholar] [CrossRef]
- Wyantuti, S.; Fadgukatybbusa, B.; Fauzia, R.P.; Jia, Q.; Rahmani, A.A.; Irkham, H.; Bahti, H. Response surface methodology box-behnken design to optimize the hydrothermal synthesis of gadolinium nanoparticles. Chin. J. Anal. Chem. 2023, 51, 100316. [Google Scholar] [CrossRef]
- Chintokoma, G.C.; Chebude, Y.; Kassahun, S.K. Cd2+ removal efficiency of activated carbon from Prosopis juliflora: Optimization of preparation parameters by the Box-Behnken design of response surface methodology. Heliyon 2024, 10, 31357. [Google Scholar] [CrossRef]
- Li, X.; Zeng, H.; Zhang, L.; Zhang, J.; Guo, Y.; Leng, J. An integrated LC-MS/MS platform for noninvasive urinary nucleus acid adductomics: A pilot study for tobacco exposure. J. Hazard. Mater. 2024, 474, 134780. [Google Scholar] [CrossRef]
- Zhang, J.; Huang, R.; Feng, Y.; Sun, T.Y.M.; Kuang, H.; Xu, C.; Guo, L. Development and validation of stable isotope dilution LC–MS/MS method for simultaneous quantification of four Alternaria toxins in 15 food commodities. Food Chem. 2024, 457, 140122. [Google Scholar] [CrossRef]
- Soltani, P.; Farshbaf Pourabad, R.; Chamani, M.; Darabi, M.; Naseri, B. Gas-liquid chromatography analysis of phospholipids and triglycerides in Plodia interpunctella (Hübner) larvae: Effect of different diets. J. Stored Prod. Res. 2024, 106, 102315. [Google Scholar] [CrossRef]







| Run | F1 (L/min) * | F2 (h) | F3 (rpm) | F4 (MPa) | F5 (°C) | GB-CR (%) |
|---|---|---|---|---|---|---|
| 1 | 8 | 132 | 120 | 0.03 | 24 | 69.22 |
| 2 | 8 | 132 | 160 | 0.09 | 24 | 51.05 |
| 3 | 20 | 96 | 120 | 0.09 | 24 | 17.88 |
| 4 | 14 | 168 | 120 | 0.09 | 28 | 92.43 |
| 5 | 8 | 168 | 120 | 0.09 | 24 | 19.61 |
| 6 | 14 | 132 | 120 | 0.03 | 28 | 69.79 |
| 7 | 14 | 96 | 120 | 0.15 | 24 | 65.32 |
| 8 | 14 | 132 | 120 | 0.09 | 24 | 98.63 |
| 9 | 14 | 132 | 80 | 0.09 | 20 | 56 |
| 10 | 14 | 132 | 120 | 0.15 | 20 | 77.29 |
| 11 | 8 | 132 | 120 | 0.15 | 24 | 18.03 |
| 12 | 20 | 132 | 80 | 0.09 | 24 | 52.06 |
| 13 | 20 | 132 | 160 | 0.09 | 24 | 22.5 |
| 14 | 20 | 168 | 120 | 0.09 | 24 | 35.33 |
| 15 | 20 | 132 | 120 | 0.15 | 24 | 56.09 |
| 16 | 14 | 132 | 80 | 0.15 | 24 | 57.97 |
| 17 | 14 | 96 | 120 | 0.09 | 28 | 50.9 |
| 18 | 14 | 168 | 120 | 0.03 | 24 | 70.95 |
| 19 | 20 | 132 | 120 | 0.03 | 24 | 17.88 |
| 20 | 20 | 132 | 120 | 0.09 | 20 | 19.47 |
| 21 | 14 | 132 | 80 | 0.09 | 28 | 53.35 |
| 22 | 14 | 132 | 120 | 0.09 | 24 | 95.46 |
| 23 | 14 | 132 | 120 | 0.03 | 20 | 68.35 |
| 24 | 14 | 168 | 80 | 0.09 | 24 | 67.49 |
| 25 | 14 | 168 | 120 | 0.15 | 24 | 49 |
| 26 | 14 | 132 | 120 | 0.09 | 24 | 97.77 |
| 27 | 14 | 132 | 120 | 0.09 | 24 | 85.08 |
| 28 | 14 | 168 | 120 | 0.09 | 20 | 44.99 |
| 29 | 14 | 132 | 120 | 0.09 | 24 | 84.5 |
| 30 | 14 | 132 | 120 | 0.09 | 24 | 94.31 |
| 31 | 14 | 132 | 160 | 0.09 | 28 | 92.58 |
| 32 | 14 | 96 | 120 | 0.03 | 24 | 29.13 |
| 33 | 8 | 132 | 120 | 0.09 | 28 | 49.32 |
| 34 | 8 | 132 | 120 | 0.09 | 20 | 51.62 |
| 35 | 14 | 132 | 160 | 0.15 | 24 | 73.83 |
| 36 | 14 | 96 | 160 | 0.09 | 24 | 42.39 |
| 37 | 14 | 132 | 80 | 0.03 | 24 | 85.37 |
| 38 | 8 | 96 | 120 | 0.09 | 24 | 30.14 |
| 39 | 14 | 132 | 120 | 0.15 | 28 | 52.49 |
| 40 | 20 | 132 | 120 | 0.09 | 28 | 43.55 |
| 41 | 14 | 132 | 160 | 0.09 | 20 | 35.91 |
| 42 | 14 | 132 | 160 | 0.03 | 24 | 69.65 |
| 43 | 14 | 96 | 120 | 0.09 | 20 | 68.06 |
| 44 | 8 | 132 | 80 | 0.09 | 24 | 40.66 |
| 45 | 14 | 168 | 160 | 0.09 | 24 | 62.73 |
| 46 | 14 | 96 | 80 | 0.09 | 24 | 45.71 |
| Source | Sum of Squares | df | Mean Square | F-Value | p-Value | |
|---|---|---|---|---|---|---|
| Model | 22,779.30 | 20 | 1138.96 | 11.92 | <0.0001 | Sig. |
| F1 * | 263.17 | 1 | 263.17 | 2.75 | 0.1095 | |
| F2 | 540.56 | 1 | 540.56 | 5.66 | 0.0253 | |
| F3 | 3.97 | 1 | 3.97 | 4.20 × 10−2 | 0.8401 | |
| F4 | 57.46 | 1 | 57.46 | 0.60 | 0.4453 | |
| F5 | 427,66 | 1 | 427.66 | 4.48 | 0.0445 | |
| F1F2 | 195.72 | 1 | 195.72 | 2.05 | 0.1648 | |
| F1F3 | 399.00 | 1 | 399.00 | 4.18 | 0.0517 | |
| F1F4 | 1998.09 | 1 | 1998.09 | 20.91 | 0.0001 | |
| F1F5 | 173.98 | 1 | 173.98 | 1.82 | 0.1893 | |
| F2F3 | 0.52 | 1 | 0.52 | 5.43 × 10−3 | 0.9419 | |
| F2F4 | 845.06 | 1 | 845.06 | 8.84 | 0.0064 | |
| F2F5 | 1043.29 | 1 | 1043.29 | 10.92 | 0.0029 | |
| F3F4 | 249.32 | 1 | 249.32 | 2.61 | 0.1188 | |
| F3F5 | 879.72 | 1 | 879.72 | 9.21 | 0.0056 | |
| F4F5 | 172.13 | 1 | 172.13 | 1.80 | 0.1916 | |
| 13,984.74 | 1 | 13,984.74 | 146.36 | <0.0001 | ||
| 4844.02 | 1 | 4844.02 | 50.70 | <0.0001 | ||
| 1660.47 | 1 | 1660.47 | 17.38 | 0.0003 | ||
| 1263.94 | 1 | 1263.94 | 13.23 | 0.0013 | ||
| 1339.61 | 1 | 1339.61 | 14.02 | 0.0010 | ||
| Residual | 2388.76 | 25 | 95.55 | |||
| Lack of Fit | 2192.41 | 20 | 109.62 | 2.79 | 0.1291 | Not Sig. |
| Cor Total | 25,168.05 | 45 | ||||
| Std. dev. | 9.77 | |||||
| Mean | 57.21 | |||||
| C.V.% | 17.08 | |||||
| R2 | 0.9051 | |||||
| Adjusted R2 | 0.8292 | |||||
| Predicted R2 | 0.6403 | |||||
| Adeq Precision | 12.181 |
| Measured Values | Theoretical Value | Deviation (mDa) | Precision (ppm) | Element | |
|---|---|---|---|---|---|
| Sample | 423.1308 | 423.1297 | −1.11 | −2.62 | C20H23O10 |
| Standard | 423.1300 | 423.1297 | −0.29 | −0.69 | C20H23O10 |
| Absorption Peak | Vibration Type | Attribution | Intensity | |
|---|---|---|---|---|
| Sample | Standard | |||
| 3450.65 | 3450.58 | νOH | OH | s |
| 2968.45 | 2972.31 | νasCH3 | -CH3 | w |
| 2956.87 | 2954.95 | |||
| 2922.16 | 2916.37 | νasCH2 | -CH2 | |
| 2881.65 | 2883.58 | νsCH3 | CH3 | w |
| 1778.37 | 1782.23 | νC=O | C=O | s |
| 1477.47 | 1479.40 | δCH2 | -CH2 | w |
| 1371.39 | 1371.39 | δ-CH3 * | -CH3 * | w |
| 1246.02 | 1246.02 | νasC-O | C-O | w |
| 1136.07 | 1136.07 | νC-O | C-O | m |
| 1095.57 | 1095.57 | |||
| Number of Hydrogen Atoms | Chemical Shift (ppm) | Multiplicity | Proton Number | Peak Correlated with ROESY Spectrum | |
|---|---|---|---|---|---|
| Sample | Standard | ||||
| 10-OH | 7.460 | 7.458 | d,J = 5.4Hz | 1 | |
| 3-OH | 6.461 | 6.464 | s | 1 | 1.109 |
| 12 | 6.071 | 6.071 | s | 1 | 5.018, 1.727 |
| 6 | 5.303 | 5.304 | d,J = 3.6 Hz | 1 | |
| 10 | 5.018 | 5.018 | d,J = 4.8 Hz | 1 | 1.029 |
| 1-OH | 4.908 | 4.911 | d,J = 3 Hz | 1 | |
| 2 | 4.640 | 4.646 | d,J = 7.8 Hz | 1 | |
| 1 | 4.044 | 4.044 | dd,J = 7.2, 2.4 Hz | 1 | 2.845 |
| 14 | 2.845 | 2.844 | q,J = 7.2 Hz | 1 | 4.044 |
| 7 | 2.138 | 2.138 | dd,J = 13.8, 4.8 Hz | 2 | |
| 1.934 | 1.934 | dd,J = 13.8, 4.2 Hz | |||
| 8 | 1.726 | 1.726 | dd,J = 14.4, 4.8 Hz | 1 | 6.071 |
| 16 | 1.108 | 1.108 | d,J = 7.2 Hz | 3 | 6.464 |
| 18, 19, 20 | 1.029 | 1.029 | 9 | 5.018 | |
| Number of Carbon Atoms | Chemical Shift (ppm) | Carbon Number | Carbon Type | Peak Correlated with HSQC Spectrum | Peak Correlated with HMRC Spectrum | |
|---|---|---|---|---|---|---|
| Sample | Standard | |||||
| 15 | 176.40 | 176.40 | 1 | C=O | 1.109, 2.845, 4.640 | |
| 11 | 173.96 | 173.96 | 1 | C=O | 5.018, 6.071 | |
| 13 | 170.28 | 170.29 | 1 | C=O | 5.303 | |
| 12 | 109.61 | 109.61 | 1 | CH | 6.071 | 1.727 |
| 4 | 98.45 | 98.45 | 1 | C | 2.845, 6.071, 6.461 | |
| 2 | 91.81 | 91.81 | 1 | CH | 4.640 | 4.044, 4.908, 6.461 |
| 3 | 82.91 | 82.90 | 1 | C | 1.109, 2.845, 4.640, 6.461 | |
| 6 | 78.60 | 78.61 | 1 | CH | 5.303 | 2.138, 4.044, |
| 1 | 73.76 | 73.76 | 1 | CH | 4.044 | 4.640 |
| 5 | 71.69 | 71.70 | 1 | C | 2.138, 5.018, 6.071 | |
| 10 | 69.06 | 69.06 | 1 | CH | 5.018 | 1.727 |
| 9 | 67.43 | 67.43 | 1 | C | 1.727, 2.138, 4.044, 5.108 | |
| 8 | 48.54 | 48.54 | 1 | CH | 1.727 | 1.029, 5.303, 6.071 |
| 14 | 41.52 | 41.52 | 11 | CH | 2.845 | 1.109, 6.461 |
| 7 | 36.60 | 36.60 | 1 | CH2 | 2.138, 1.936 | 1.727 |
| 17 | 31.98 | 31.98 | 1 | C | - | 1.029, 1.727 |
| 18, 19, 20 | 28.87 | 28.87 | 3 | CH3 | 1.029 | 1.727 |
| 16 | 7.86 | 7.86 | 1 | CH3 | 1.109 | 2.845 |
Disclaimer/Publisher’s Note: The statements, opinions and data contained in all publications are solely those of the individual author(s) and contributor(s) and not of MDPI and/or the editor(s). MDPI and/or the editor(s) disclaim responsibility for any injury to people or property resulting from any ideas, methods, instructions or products referred to in the content. |
© 2024 by the authors. Licensee MDPI, Basel, Switzerland. This article is an open access article distributed under the terms and conditions of the Creative Commons Attribution (CC BY) license (https://creativecommons.org/licenses/by/4.0/).
Share and Cite
Zhang, Z.; Wang, F.; Xu, L. Study on the Pilot-Scale Technology of Ginkgolide B Synthesis by Coprinus comatus. Fermentation 2024, 10, 579. https://doi.org/10.3390/fermentation10110579
Zhang Z, Wang F, Xu L. Study on the Pilot-Scale Technology of Ginkgolide B Synthesis by Coprinus comatus. Fermentation. 2024; 10(11):579. https://doi.org/10.3390/fermentation10110579
Chicago/Turabian StyleZhang, Zhicai, Feng Wang, and Ling Xu. 2024. "Study on the Pilot-Scale Technology of Ginkgolide B Synthesis by Coprinus comatus" Fermentation 10, no. 11: 579. https://doi.org/10.3390/fermentation10110579
APA StyleZhang, Z., Wang, F., & Xu, L. (2024). Study on the Pilot-Scale Technology of Ginkgolide B Synthesis by Coprinus comatus. Fermentation, 10(11), 579. https://doi.org/10.3390/fermentation10110579

