Effect of Solid-State Fermented Cottonseed Meal on Broiler Growth Performance, Carcass Traits and Blood Biochemical Parameters: A Systematic Review
Abstract
1. Introduction
2. Materials and Methods
2.1. Systematic Review of the Literature
2.2. Used Systematic Approach to Selecting and Organizing Studies
2.3. The Process of Extracting and Manipulating Information
2.4. The Process of Extracting and Manipulating Information
3. Results and Discussion
3.1. Overview of Included Studies
| Microorganism | Bioreactor | Application Dose (cfu/g CSM) | Fermentation Conditions | Drying Conditions | Basal Diet | Inclusion Level | Free Gossypol Content, Before/After Fermentation (mg/kg) | Broiler Strain | References |
|---|---|---|---|---|---|---|---|---|---|
| 1 Bacillus subtilis BJ-1 | Plastic container | 106 | 48 h at 30 °C | 50–60 °C in an oven for 1 d until it reaches about 90% DM | Maize–soybean-meal-based diets | Partially replaced with SBM at levels of 4%, 8%, or 12% in starter (1–21 d) and finisher (22–42 d) diets. | 820.0/210.0 | Chinese yellow-feathered | Tang et al. [27] |
| 1 B. subtilis BJ-1 | Plastic container | 106 | 48 h at 30 °C | Dried in a hot air oven at 50 °C | Maize–soybean-meal-based diets | Partially replaced with SBM at levels of 4%, 8%, or 12% in starter (1–21 d) and finisher (22–42 d) diets. | 820.1/210.1 | Chinese yellow-feathered | Sun et al. [15] |
| 2 Candida tropicalis or C. tropicalis + S. cerevisiae | Plastic container | 108 | 48 h at 30 °C | Dried in a drying cabinet at 40 °C for 48 h | Maize–soybean-meal-based diets | Partially replaced with CSM at a 6% level in starter (21–42 d) and finisher (43–64 d) diets. | NS/NS | Chinese yellow-feathered | Nie et al. [5] |
| 3 C. utilis | Not specified | 108 | 24 h at 30 °C | 60 °C in an oven until it reaches about 90% DM | Maize–soybean-meal-based diets | Partially replaced with SBM at a 15.5% level. | 90.0/30.0 | Cobb 400 | Xiong et al. [19] |
| 4 B. subtilis, Aspergillus oryzae, and A. niger | Special tank equipped with a one-way valve | 105 | 7 d at 30 °C | Dried for 3 d at 50 °C | Maize–soybean-meal-based diets | Partially replaced with SBM at levels of 10% or 20% in starter (21–42 d) and grower (43–64 d) diets. | 584.3/68.0 | Ross 308 | Jazi et al. [9] |
| 5 B. subtilis ST-141 and Saccharomycetes N5 | Stainless steel fermentation tank | 109 for B. subtilis ST-141 + 0.5:100 (w/w) for Saccharomycetes N5 | 48 h at 30 °C | Dried using a fluidized bed | Maize–soybean-meal-based diets | Partially replaced with SBM at levels of 8.9% or 17.9% for starter phase (1–21 d) and 7.5% or 15.1% for grower phase (22–42 d). | 820.0/346.0 | Arbor Acres | Wang et al. [1] |
| 6 C. tropicalis | An incubator | 108 | 48 h at 30 °C | Dried in a drying cabinet at 40 °C for 48 h until it reaches about 91.6% DM | Maize–soybean-meal-based diets | Partially replaced with SBM at a 6% level. | NS/36.4 | Cobb 500 | Niu et al. [28] |
| 2,7 C. tropicalis or C. tropicalis + S. cerevisiae | Plastic container | 108 | 48 h at 30 °C | Dried with floor heating in a room at 40 °C for 48 h | Maize–soybean-meal-based diets | Partially replaced with CSM at a 6% level. | 126.7/33.0–44.9 | Chinese yellow-feathered | Nie et al. [29] |
| 7 C. tropicalis | An incubator | 108 | 48 h at 30 °C | Dried in a drying cabinet at 40 °C for 48 h | Maize–soybean-meal-based diets | Partially replaced with SBM at levels of 3%, 6%, or 9% in starter (1–21 d) and finisher (22–42 d) diets. | NS/17.1–19.3 | Cobb 500 | Niu et al. [3] |
3.2. Effect of Solid-State Fermented Cottonseed Meal on Growth Performance
3.3. Effect of Solid-State Fermented Cottonseed Meal on Carcass Traits
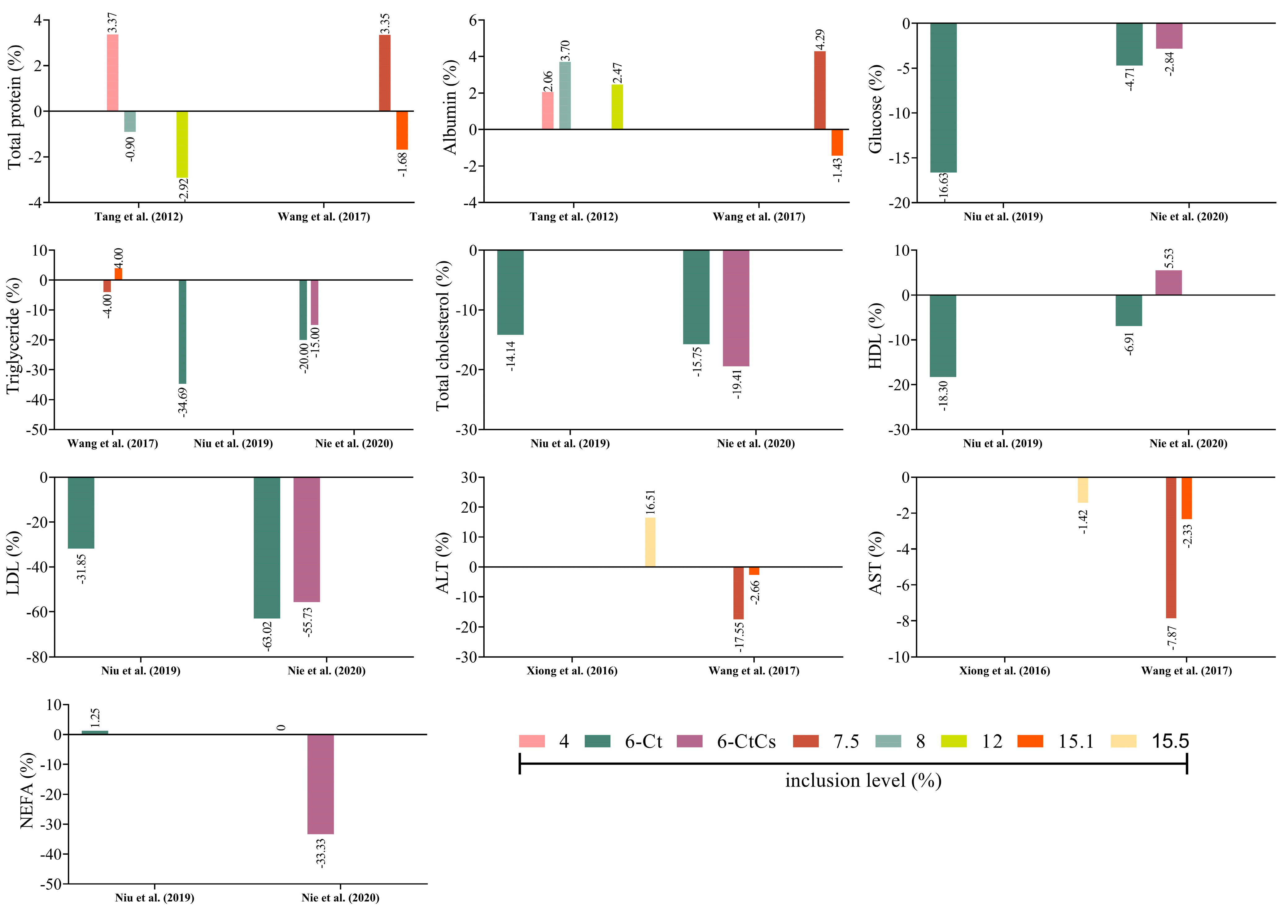
3.4. Effect of Solid-State Fermented Cottonseed Meal on Blood Biochemical Parameters
4. Conclusions and Future Perspectives
Funding
Institutional Review Board Statement
Data Availability Statement
Conflicts of Interest
References
- Wang, Y.W.; Deng, Q.Q.; Song, D.; Wang, W.W.; Zhou, H.; Wang, L.; Li, A.K. Effects of Fermented Cottonseed Meal on Growth Performance, Serum Biochemical Parameters, Immune Functions, Antioxidative Abilities, and Cecal Microflora in Broilers. Food Agric. Immunol. 2017, 28, 725–738. [Google Scholar] [CrossRef]
- Zengin, M.; Sur, A.; İlhan, Z.; Azman, M.A.; Tavşanlı, H.; Esen, S.; Bacaksız, O.K.; Demir, E. Effects of Fermented Distillers Grains with Solubles, Partially Replaced with Soybean Meal, on Performance, Blood Parameters, Meat Quality, Intestinal Flora, and Immune Response in Broiler. Res. Vet. Sci. 2022, 150, 58–64. [Google Scholar] [CrossRef] [PubMed]
- Niu, J.L.; Wei, L.Q.; Luo, Y.Q.; Yang, W.T.; Lu, Q.C.; Zheng, X.X.; Niu, Y.J.; Sheng, W.; Cheng, H.; Zhang, W.J.; et al. Fermented Cottonseed Meal Improves Production Performance and Reduces Fat Deposition in Broiler Chickens. Anim. Biosci. 2021, 34, 680–691. [Google Scholar] [CrossRef] [PubMed]
- Lu, Z.; Zeng, N.; Jiang, S.; Wang, X.; Yan, H.; Gao, C.; Al, L.U.E.T. Dietary Replacement of Soybean Meal by Fermented Feedstuffs for Aged Laying Hens: Effects on Laying Performance, Egg Quality, Nutrient Digestibility, Intestinal Health, Follicle Development, and Biological Parameters in a Long-Term Feeding Period. Poult. Sci. 2023, 102, 102478. [Google Scholar] [CrossRef] [PubMed]
- Nie, C.X.; Zhang, W.J.; Ge, W.X.; Wang, Y.Q.; Liu, Y.F.; Liu, J.C. Effects of Fermented Cottonseed Meal on the Growth Performance, Apparent Digestibility, Carcass Traits, and Meat Composition in Yellow-Feathered Broilers. Turk. J. Vet. Anim. Sci. 2015, 39, 350–356. [Google Scholar] [CrossRef]
- Mahmood, F.; Khan, M.Z.; Khan, A.; Muhammad, G.; Javed, I. Lysine Induced Modulation of Toxico-Pathological Effects of Cottonseed Meal in Broiler Breeder Males. Pak. J. Zool. 2011, 43, 357–365. [Google Scholar]
- Wang, X.; Tang, J.; Yao, X.; Wu, Y.; Sun, H.; Xu, Y. Effect of Bacillus Cereus Br on Bacterial Community and Gossypol Content during Fermentation in Cottonseed Meal. African J. Microbiol. Res. 2012, 6, 6537–6544. [Google Scholar] [CrossRef]
- Kanyinji, F.; Sichangwa, M. Performance of Broilers Fed Finishing Diets with Fermented Cotton Seed Meal as Partial Replacement for Soybean Meal. J. Anim. Sci. Adv. 2014, 4, 931–938. [Google Scholar] [CrossRef]
- Jazi, V.; Boldaji, F.; Dastar, B.; Hashemi, S.R.; Ashayerizadeh, A. Effects of Fermented Cottonseed Meal on the Growth Performance, Gastrointestinal Microflora Population and Small Intestinal Morphology in Broiler Chickens. Br. Poult. Sci. 2017, 58, 402–408. [Google Scholar] [CrossRef]
- Johnson, E.A. Biotechnology of Non-Saccharomyces Yeasts—The Ascomycetes. Appl. Microbiol. Biotechnol. 2013, 97, 503–517. [Google Scholar] [CrossRef]
- Tang, X.; Xiang, R.; Chen, S.; Yang, S.; Liu, H.; Fang, R.; Li, A. Effects of Fermented Cottonseed Meal and Enzymatic Hydrolyzed Cottonseed Meal on Amino Acid Digestibility and Metabolic Energy in White Leghorn Rooster. Pak. J. Zool. 2018, 50, 957–962. [Google Scholar] [CrossRef]
- Nie, C.X.; Zhang, W.J.; Ge, W.X.; Liu, Y.F.; Wang, Y.Q.; Liu, J.C. Effect of Cottonseed Meal Fermented with Yeast on the Lipid-Related Gene Expression in Broiler Chickens. Rev. Bras. Cienc. Avic./Braz. J. Poult. Sci. 2015, 17, 57–64. [Google Scholar] [CrossRef]
- Cha, Y.S.; Kim, S.R.; Yang, J.A.; Back, H.I.; Kim, M.G.; Jung, S.J.; Song, W.O.; Chae, S.W. Kochujang, Fermented Soybean-Based Red Pepper Paste, Decreases Visceral Fat and Improves Blood Lipid Profiles in Overweight Adults. Nutr. Metab. 2013, 10, 24. [Google Scholar] [CrossRef] [PubMed]
- Niu, J.L.; Zhang, J.; Wei, L.Q.; Ma, X.; Zhang, W.J.; Nie, C.X. Cottonseed Meal Fermented by Candida Tropical Reduces the Fat Deposition in White-Feather Broilers through Cecum Bacteria-Host Metabolic Cross-Talk. Appl. Microbiol. Biotechnol. 2020, 104, 4345–4357. [Google Scholar] [CrossRef]
- Sun, H.; Tang, J.W.; Fang, C.L.; Yao, X.H.; Wu, Y.F.; Wang, X.; Feng, J. Molecular Analysis of Intestinal Bacterial Microbiota of Broiler Chickens Fed Diets Containing Fermented Cottonseed Meal. Poult. Sci. 2013, 92, 392–401. [Google Scholar] [CrossRef]
- Batista, C.; Neto, S.; Almeida, A.; Gomes, T.G.; Antonio, J.; Ribeiro, D.A.; Bombarda, R.; Paulo, C.; Vianna, A.; Enis, A.; et al. A Comparison of Physical, Chemical, Biological and Combined Treatments for Detoxification of Free Gossypol in Crushed Whole Cottonseed. Waste Biomass Valorization 2021, 12, 3965–3975. [Google Scholar] [CrossRef]
- Chen, C.; Zhang, Y.; Pi, W.; Yang, W.; Nie, C.; Liang, J.; Ma, X. Optimization of the Process Parameters for Reduction of Gossypol Levels in Cottonseed Meal by Functional Recombinant NADPH—Cytochrome P450 Reductase and Cytochrome P450 CYP9A12 of Helicoverpa armigera. AMB Expr. 2019, 9, 98. [Google Scholar] [CrossRef]
- Kumar, M.; Potkule, J.; Patil, S.; Mageshwaran, V.; Satankar, V.; Berwal, M.K.; Mahapatra, A.; Ashtaputre, N.; Souza, C.D. Evaluation of Detoxified Cottonseed Protein Isolate for Application as Food Supplement. Toxin Rev. 2022, 41, 412–419. [Google Scholar] [CrossRef]
- Xiong, J.L.L.; Wang, Z.J.J.; Miao, L.H.H.; Meng, F.T.T.; Wu, L.Y.Y. Growth Performance and Toxic Response of Broilers Fed Diets Containing Fermented or Unfermented Cottonseed Meal. J. Anim. Feed Sci. 2016, 25, 348–353. [Google Scholar] [CrossRef]
- Liu, J.; Luo, Y.; Zhang, X.; Gao, Y.; Zhang, W. Effects of Bioactive Peptides Derived from Cottonseed Meal Solid-State Fermentation on the Growth, Metabolism, and Immunity of Yellow-Feathered Broilers. Anim. Sci. J. 2022, 93, e13781. [Google Scholar] [CrossRef]
- Sun, H.; Tang, J.-W.; Yao, X.-H.; Wu, Y.F.; Wang, X.; Feng, J. Effects of Dietary Inclusion of Fermented Cottonseed Meal on Growth, Cecal Microbial Population, Small Intestinal Morphology, and Digestive Enzyme Activity of Broilers. Trop. Anim. Health Prod. 2013, 45, 987–993. [Google Scholar] [CrossRef] [PubMed]
- Moher, D.; Liberati, A.; Tetzlaff, J.; Altman, D.G. Preferred Reporting Items for Systematic Reviews and Meta-Analyses: The PRISMA Statement. Int. J. Surg. 2010, 8, 336–341. [Google Scholar] [CrossRef] [PubMed]
- Olukomaiya, O.; Fernando, C.; Mereddy, R.; Li, X.; Sultanbawa, Y. Solid-State Fermented Plant Protein Sources in the Diets of Broiler Chickens: A Review. Anim. Nutr. 2019, 5, 319–330. [Google Scholar] [CrossRef] [PubMed]
- Pandey, A. Solid-State Fermentation. Biochem. Eng. J. 2003, 13, 81–84. [Google Scholar] [CrossRef]
- Reddy, C.; Sakinah, A.M.M.; Zularisam, A.W.; Sirohi, R.; Ahamad, I.; Ahmad, N.; Pandey, A. Bioresource Technology Advances in Solid-State Fermentation for Bioconversion of Agricultural Wastes to Value-Added Products: Opportunities and Challenges. Bioresour. Technol. 2022, 343, 126065. [Google Scholar] [CrossRef]
- Mohammadrezaei, M.; Navidshad, B.; Gheisari, A.; Toghyani, M. Cottonseed Meal Bioactive Peptides as an Alternative to Antibiotic Growth Promoters in Broiler Chicks. Int. J. Pept. Res. Ther. 2021, 27, 329–340. [Google Scholar] [CrossRef]
- Tang, J.W.; Sun, H.; Yao, X.H.; Wu, Y.F.; Wang, X.; Feng, J. Effects of Replacement of Soybean Meal by Fermented Cottonseed Meal on Growth Performance, Serum Biochemical Parameters and Immune Function of Yellow-Feathered Broilers. Asian-Australas. J. Anim. Sci. 2012, 25, 393–400. [Google Scholar] [CrossRef]
- Niu, J.L.; Zhang, J.; Wei, L.Q.; Zhang, W.J.; Nie, C.X. Effect of Fermented Cottonseed Meal on the Lipid-Related Indices and Serum Metabolic Profiles in Broiler Chickens. Animals 2019, 9, 930. [Google Scholar] [CrossRef]
- Nie, C.X.; Wang, Y.Q.; Liu, Y.F.; Liu, J.C.; Ge, W.X.; Ma, X.; Zhang, W.J. Impacts of Dietary Protein from Fermented Cottonseed Meal on Lipid Metabolism and Metabolomic Profiling in the Serum of Broilers. Curr. Protein Pept. Sci. 2020, 21, 812–820. [Google Scholar] [CrossRef]
- Nagalakshmi, D.; Rama Rao, S.V.; Panda, A.K.; Sastry, V.R.B. Cottonseed Meal in Poultry Diets: A Review. J. Poult. Sci. 2007, 44, 119–134. [Google Scholar] [CrossRef]
- Chiang, G.; Lu, W.Q.; Piao, X.S.; Hu, J.K.; Gong, L.M.; Thacker, P.A. Effects of Feeding Solid-State Fermented Rapeseed Meal on Performance, Nutrient Digestibility, Intestinal Ecology and Intestinal Morphology of Broiler Chickens. Asian-Australas. J. Anim. Sci. 2010, 23, 263–271. [Google Scholar] [CrossRef]
- Zhang, W.; Xu, Z.; Sun, J.; Yang, X. Effect of Selected Fungi on the Reduction of Gossypol Levels and Nutritional Value during Solid Substrate Fermentation of Cottonseed Meal. J. Zhejiang Univ. Sci. B 2006, 7, 690–695. [Google Scholar] [CrossRef] [PubMed]
- Taheri, M.; Dastar, B.; Ashayerizadeh, O.; Mirshekar, R. The Effect of Fermented Rapeseed Meal on Production Performance, Egg Quality and Hatchability in Broiler Breeders after Peak Production. Br. Poult. Sci. 2023, 64, 259–267. [Google Scholar] [CrossRef] [PubMed]
- Zhang, Y.H.; Zhang, Z.Y.; Dai, L.; Liu, Y.; Cheng, M.J.; Chen, L.J. Isolation and Characterization of a Novel Gossypol-Degrading Bacteria Bacillus Subtilis Strain Rumen Bacillus Subtilis. Asian-Australas. J. Anim. Sci. 2018, 31, 63–70. [Google Scholar] [CrossRef] [PubMed]
- Yang, X.; Sun, J.; Guo, J.; Weng, X. Identification and Proteomic Analysis of a Novel Gossypol-degrading Fungal Strain. J. Sci. Food Agric. 2012, 92, 943–951. [Google Scholar] [CrossRef]
- Li, C.; Li, S.Z.; Zhu, Y.B.; Chen, S.; Wang, X.Y.; Deng, X.J.; Liu, G.H.; Beckers, Y.; Cai, H.Y. Improving the Nutritional Value of Plant Protein Sources as Poultry Feed through Solid-State Fermentation with a Special Focus on Peanut Meal-Advances and Perspectives. Fermentation 2023, 9, 364. [Google Scholar] [CrossRef]
- Gamboa, D.A.; Calhoun, M.C.; Kuhlmann, S.W.; Haq, A.U.; Bailey, C.A. Use of Expander Cottonseed Meal in Broiler Diets Formulated on a Digestible Amino Acid Basis. Poult. Sci. 2001, 80, 789–794. [Google Scholar] [CrossRef]
- Zhu, X.; Tao, L.; Liu, H.; Yang, G. Effects of Fermented Feed on Growth Performance, Immune Organ Indices, Serum Biochemical Parameters, Cecal Odorous Compound Production, and the Microbiota Community in Broilers. Poult. Sci. 2023, 102, 102629. [Google Scholar] [CrossRef]
- Wu, P.; Golly, M.K.; Guo, Y.; Ma, H.; He, R.; Luo, X.; Luo, S.; Zhang, C.; Zhang, L.; Zhu, J. Effect of Partial Replacement of Soybean Meal with High-Temperature Fermented Soybean Meal in Antibiotic-Growth-Promoter-Free Diets on Growth Performance, Organ Weights, Serum Indexes, Intestinal Flora and Histomorphology of Broiler Chickens. Anim. Feed Sci. Technol. 2020, 269, 114616. [Google Scholar] [CrossRef]
- Wang, J.; Ishfaq, M.; Miao, Y.; Liu, Z.; Hao, M.; Wang, C.; Wang, J.; Chen, X. Dietary Administration of Bacillus Subtilis KC1 Improves Growth Performance, Immune Response, Heat Stress Tolerance, and Disease Resistance of Broiler Chickens. Poult. Sci. 2022, 101, 101693. [Google Scholar] [CrossRef]
- Chen, C.; Li, J.; Zhang, H.; Xie, Y.; Xiong, L.; Liu, H.; Wang, F. Effects of a Probiotic on the Growth Performance, Intestinal Flora, and Immune Function of Chicks Infected with Salmonella Pullorum. Poult. Sci. 2020, 99, 5316–5323. [Google Scholar] [CrossRef] [PubMed]
- Gao, Z.; Wu, H.; Shi, L.; Zhang, X.; Sheng, R.; Yin, F.; Gooneratne, R. Study of Bacillus Subtilis on Growth Performance, Nutrition Metabolism and Intestinal Microflora of 1 to 42 d Broiler Chickens. Anim. Nutr. 2017, 3, 109–113. [Google Scholar] [CrossRef] [PubMed]
- Li, W.; Bai, J.; Li, Y.; Qin, Y.; Yu, D. Effects of Bacillus Subtilis on Meat Quality, Nutrient Digestibility and Serum Biochemical Parameters of Broilers. Chin. J. Vet. Sci. 2014, 34, 1682–1685. [Google Scholar]
- Sur, A.; Zengin, M.; Bacaksız, O.K.; Gökçe, Z.; Yılmaz, Ö.; Gürses, M.; Esen, V.K.; Azman, M.A.; Esen, S. Performance, Blood Biochemistry, Carcass Fatty Acids, Antioxidant Status, and HSP70 Gene Expressions in Japanese Quails Reared under High Stocking Density: The Effects of Grape Seed Powder and Meal. Trop. Anim. Health Prod. 2023, 55, 53. [Google Scholar] [CrossRef] [PubMed]
- Nasr, M.A.F.; Alkhedaide, A.Q.; Ramadan, A.A.I.; Abd-El Salam, E.H.; Hussein, M.A. Potential Impact of Stocking Density on Growth, Carcass Traits, Indicators of Biochemical and Oxidative Stress and Meat Quality of Different Broiler Breeds. Poult. Sci. 2021, 100, 101442. [Google Scholar] [CrossRef]
- Vincent, J.; Russell, J.A.; Jacob, M.; Martin, G.; Guidet, B.; Wernerman, J.; Roca, R.F.; Mccluskey, S.A.; Gattinoni, L. Albumin Administration in the Acutely Ill: What Is New and Where Next? Crit. Care 2014, 18, 231. [Google Scholar] [CrossRef]
- Ashayerizadeh, A.; Dastar, B.; Shargh, M.S.; Mahoonak, A.R.S.; Zerehdaran, S. Effects of Feeding Fermented Rapeseed Meal on Growth Performance, Gastrointestinal Microflora Population, Blood Metabolites, Meat Quality, and Lipid Metabolism in Broiler Chickens. Livest. Sci. 2018, 216, 183–190. [Google Scholar] [CrossRef]
- Cao, F.L.; Zhang, X.H.; Yu, W.W.; Zhao, L.G.; Wang, T. Effect of Feeding Fermented Ginkgo Biloba Leaves on Growth Performance, Meat Quality, and Lipid Metabolism in Broilers. Poult. Sci. 2011, 91, 1210–1221. [Google Scholar] [CrossRef]
- Santoso, U.; Fenita, Y.; Kususiyah. The Effect of Fermented Sauropus Androgynus plus Bay Leaf Inclusion on the Hematologic and Lipid Profiles of Female Broiler Chickens. Int. J. Poult. Sci. 2018, 17, 410–417. [Google Scholar] [CrossRef]
- Liu, Y.; Wang, W.; Shui, G.; Huang, X. CDP-Diacylglycerol Synthetase Coordinates Cell Growth and Fat Storage through Phosphatidylinositol Metabolism and the Insulin Pathway. PLoS Genet. 2014, 10, e1004172. [Google Scholar] [CrossRef]
- Gudiso, X.C.; Hlatini, V.A.; Ncobela, C.N.; Chimonyo, M.; Mafongoya, P.L. Serum Metabolites and Weights of Internal Organs of Broilers Fed on Varying Levels of Acacia Angustissima Leaf Meal. Can. J. Anim. Sci. 2019, 481, 475–481. [Google Scholar] [CrossRef]
- Zhu, F.; Zhang, B.; Li, J.; Zhu, L. Effects of Fermented Feed on Growth Performance, Immune Response, and Antioxidant Capacity in Laying Hen Chicks and the Underlying Molecular Mechanism Involving Nuclear Factor-ΚB. Poult. Sci. 2020, 99, 2573–2580. [Google Scholar] [CrossRef] [PubMed]
- Shamji, M.H.; Valenta, R.; Jardetzky, T.; Verhasselt, V.; Durham, S.R.; Würtzen, P.A.; van Neerven, R.J.J. The Role of Allergen-specific IgE, IgG and IgA in Allergic Disease. Allergy 2021, 76, 3627–3641. [Google Scholar] [CrossRef] [PubMed]
- Feng, J.; Liu, X.; Xu, Z.R.; Wang, Y.Z.; Liu, J.X. Effects of Fermented Soybean Meal on Digestive Enzyme Activities and Intestinal Morphology in Broilers. Poult. Sci. 2007, 86, 1149–1154. [Google Scholar] [CrossRef]
- Liu, J.; Sun, H.; Nie, C.; Ge, W.; Wang, Y.; Zhang, W. Oligopeptide Derived from Solid-State Fermented Cottonseed Meal Significantly Affect the Immunomodulatory in BALB/c Mice Treated with Cyclophosphamide. Food Sci. Biotechnol. 2018, 27, 1791–1799. [Google Scholar] [CrossRef]





| Acronym | Search String |
|---|---|
| Feed | (“cottonseed meal”) |
| Process | (“solid state fermentation” OR “solid substrate fermentation” OR “solid state fermented” OR “fermented” OR “SSF”) |
| Animal | (“poultry” OR “broilers” OR “chicken”) |
| Output | (“performance” OR “growth performance” OR “biochemical parameters” OR “blood indices” OR “carcass” OR “meat” OR “meat quality”) |
Disclaimer/Publisher’s Note: The statements, opinions and data contained in all publications are solely those of the individual author(s) and contributor(s) and not of MDPI and/or the editor(s). MDPI and/or the editor(s) disclaim responsibility for any injury to people or property resulting from any ideas, methods, instructions or products referred to in the content. |
© 2024 by the author. Licensee MDPI, Basel, Switzerland. This article is an open access article distributed under the terms and conditions of the Creative Commons Attribution (CC BY) license (https://creativecommons.org/licenses/by/4.0/).
Share and Cite
Esen, S. Effect of Solid-State Fermented Cottonseed Meal on Broiler Growth Performance, Carcass Traits and Blood Biochemical Parameters: A Systematic Review. Fermentation 2024, 10, 562. https://doi.org/10.3390/fermentation10110562
Esen S. Effect of Solid-State Fermented Cottonseed Meal on Broiler Growth Performance, Carcass Traits and Blood Biochemical Parameters: A Systematic Review. Fermentation. 2024; 10(11):562. https://doi.org/10.3390/fermentation10110562
Chicago/Turabian StyleEsen, Selim. 2024. "Effect of Solid-State Fermented Cottonseed Meal on Broiler Growth Performance, Carcass Traits and Blood Biochemical Parameters: A Systematic Review" Fermentation 10, no. 11: 562. https://doi.org/10.3390/fermentation10110562
APA StyleEsen, S. (2024). Effect of Solid-State Fermented Cottonseed Meal on Broiler Growth Performance, Carcass Traits and Blood Biochemical Parameters: A Systematic Review. Fermentation, 10(11), 562. https://doi.org/10.3390/fermentation10110562
