High Surface Area Nanoporous Activated Carbons Materials from Areca catechu Nut with Excellent Iodine and Methylene Blue Adsorption
Abstract
:1. Introduction
2. Materials and Methods
2.1. Materials
2.2. Preparation of Nanoporous Activated Carbon Materials
2.3. Yield of the Prepared Carbon
2.4. Characterizations
2.5. Iodine and Methylene Blue Number
2.6. Adsorption of MB Dye
2.6.1. Effect of Contact Time
2.6.2. Effect of Dose
2.6.3. Effect of pH
2.6.4. Effect of Initial Concentration of MB
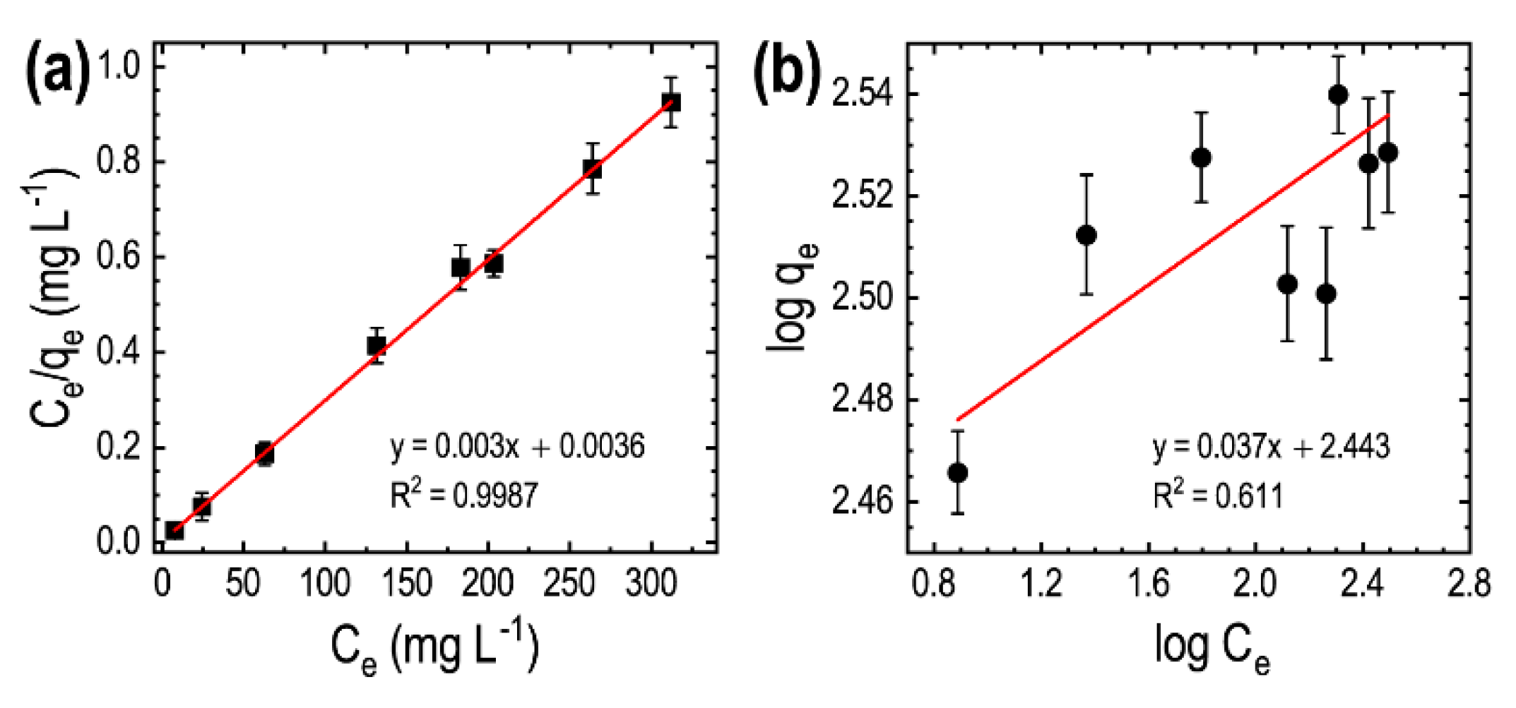
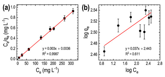
2.6.5. Adsorption Isotherms
3. Results and Discussion
3.1. TGA and FTIR Analysis of Areca catechu Nut Powder
3.2. Yield
3.3. Characterizations: XRD, Raman Scattering and FTIR
3.4. Electron Microscopy: SEM and TEM Observations
3.5. Surface Textural Properties: Nitrogen Adsorption/Desorption
3.6. Iodine and Methylene Blue Numbers
3.7. Adsorption Studies
4. Conclusions
Author Contributions
Funding
Data Availability Statement
Acknowledgments
Conflicts of Interest
References
- Vital, R.K.; Saibaba, K.V.N.; Shaik, K.B. Dye Removal by Adsorption: A Review. J. Bioremediat. Biodegrad. 2016, 7, 371. [Google Scholar]
- El-Naggar, N.E.; Rabei, N.H.; El-Malkey, S.E. Eco-Friendly Approach for Biosorption of Pb2+ and Carcinogenic Congo Red Dye from Binary Solution onto Sustainable Ulva Lactuca Biomass. Sci. Rep. 2020, 10, 16021. [Google Scholar] [CrossRef] [PubMed]
- Verma, R.K.; Singh, M.; Singh, S.M.; Rathod, S.N.; Rathod, N.; Singh, G.S. Eradication of Fatal Textile Industrial Dyes by Wastewater Treatment. Biointerface Res. Appl. Chem. 2020, 12, 567–587. [Google Scholar]
- Sintakindi, A.; Ankamwar, B. Uptake of Methylene Blue from Aqueous Solution by Naturally Grown Daedalea Africana and Phellinus Adamantinus Fungi. ACS Omega 2020, 5, 12905–12914. [Google Scholar] [CrossRef]
- Bayomie, O.S.; Kandeel, H.; Shoeib, T.; Yang, H.; Youssef, N.; El-Sayed, M.M.H. Novel Approach for Effective removal of methylene blue dye from water using fava bean peel waste. Sci. Rep. 2020, 10, 7824. [Google Scholar] [CrossRef]
- Vutskits, L.; Briner, A.; Klauser, P.; Gascon, E.; Dayer, A.G.; Kiss, J.Z.; Muller, D.; Licker, M.J.; Morel, D.R. Adverse Effects of Methylene Blue on the Central Nervous System. Anesthesiology 2008, 108, 684–692. [Google Scholar] [CrossRef] [Green Version]
- Chen, L.F.; Wang, H.H.; Lin, K.Y.; Kuo, J.Y.; Wang, M.K.; Liu, C.C. Removal of Methylene Blue from Aqueous Solution using Sediment Obtained from a Canal in an Industrial Park. Water Sci. Technol. 2018, 78, 556–570. [Google Scholar] [CrossRef] [Green Version]
- Cheng, J.; Zhan, C.; Wu, J.; Cui, Z.; Si, J.; Wang, Q.; Peng, X.; Turng, L.T. Highly Efficient Removal of Methylene Blue Dye from an Aqueous Solution using Cellulose Acetate Nanofibrous Membranes Modified by Polydopamine. ACS Omega 2020, 5, 5389–5400. [Google Scholar] [CrossRef]
- Noor, N.H.M.N.; Zaini, M.A.A.; Yunus, M.A.C. Isotherm and Kinetics of Methylene Blue Removal by Musa acuminata Peel Adsorbents. Acta Chemica Malaysia 2021, 5, 63–88. [Google Scholar] [CrossRef]
- Shrestha, P.; Jha, M.K.; Ghimire, J.; Koirala, A.R.; Shrestha, R.M.; Sharma, R.K.; Pant, B.; Park, M.; Pant, H.R. Decoration of Zinc Oxide Nanorods into the Surface of Activated Carbon Obtained from Agricultural Waste for Effective Removal of Methylene Blue Dye. Materials 2020, 13, 5667. [Google Scholar] [CrossRef]
- Avom, J.; Mbadcam, J.K.; Noubactep, C.; Germain, P. Adsorption of Methylene Blue from an Aqueous Solution on to Activated Carbons from Palm-Tree Cobs. Carbon 1997, 35, 365–369. [Google Scholar] [CrossRef]
- Nwanebu, E.O.; Liu, X.; Pajootan, E.; Yargeau, V.; Omanovic, S. Electrochemical Degradation of Methylene Blue using a Ni-Co-Oxide Anode. Catalysts 2021, 11, 793. [Google Scholar] [CrossRef]
- Kuang, Y.; Zhang, X.; Zhou, S. Adsorption of Methylene Blue in Water onto Activated Carbon by Surfactant Modification. Water 2020, 12, 587. [Google Scholar] [CrossRef] [Green Version]
- Cervantes, M.A.Y.; Aguilar-Vega, M.; Santiago-Garcia, J.L.; Pizarro, G.C.; Godoy, M.; Sánchez, J. Methylene Blue Removal from Aqueous Solutions by Sulfonated Polymeric Porous Sorbents. Desalin. Water Treat. 2020, 184, 367–374. [Google Scholar] [CrossRef]
- Mulushewa, Z.; Dinbore, W.T.; Yihunie Ayele, Y. Removal of methylene blue from textile waste water using kaolin and zeolite-x synthesized from Ethiopian kaolin. Environ. Anal. Health Toxicol. 2021, 36, e2021007. [Google Scholar] [CrossRef] [PubMed]
- Zhang, G.; Wo, R.; Sun, Z.; Hao, G.; Liu, G.; Zhang, Y.; Guo, H.; Jiang, W. Effective Magnetic MOFs Adsorbent for the Removal of Bisphenol A, Tetracycline, Congo Red and Methylene Blue Pollutions. Nanomaterials 2021, 11, 1917. [Google Scholar] [CrossRef]
- Shrestha, R.G.; Shrestha, L.K.; Ariga, K. Carbon Nanoarchitectonics for Energy and Related Applications. C J. Carbon Res. 2021, 7, 73. [Google Scholar] [CrossRef]
- Abualnaja, K.M.; Alprol, A.E.; Ashour, M.; Mansour, A.T. Influencing Multi-Walled Carbon Nanotubes for the Removal of Ismate Violet 2R Dye from Wastewater: Isotherm, Kinetics, and Thermodynamic Studies. Appl. Sci. 2021, 11, 4786. [Google Scholar] [CrossRef]
- Soumi Dutta, S.; Gupta, B.; Srivastava, S.K.; Gupta, A.K. Recent Advances on the Removal of Dyes from Wastewater using Various Adsorbents: A Critical Review. Mater. Adv. 2021, 2, 4497–4531. [Google Scholar] [CrossRef]
- Trukawka, M.; Cendrowski, K.; Peruzynska, M.; Augustyniak, A.; Nawrotek, D.M.; Mijowska, E. Carbonized Metal–Organic Frameworks with Trapped Cobalt Nanoparticles as Biocompatible and Efficient Azo-Dye Adsorbent. Environ. Sci. Eur. 2019, 31, 56. [Google Scholar] [CrossRef]
- Han, X.; Wang, H.; Zhang, L. Efficient Removal of Methyl Blue using Nanoporous Carbon from the Waste Biomass. Water Air Soil Pollut. 2018, 229, 26. [Google Scholar] [CrossRef]
- Koyuncu, F.; Güzel, F. Use of New Nanoporous Carbon Produced from Mandarin (Citrus reticulata) Industrial Processing Waste to Remove Anionic and Cationic Dyes. Sep. Sci. Technol. 2020, 56, 1–13. [Google Scholar] [CrossRef]
- Shi, X.; Zhang, S.; Chen, X.; Mijowska, E. Evaluation of Nanoporous Carbon Synthesized from Direct Carbonization of a Metal–Organic Complex as a Highly Effective Dye Adsorbent and Supercapacitor. Nanomaterials 2019, 9, 601. [Google Scholar] [CrossRef] [Green Version]
- Adhikari, M.P.; Adhikari, R.; Goswami, R.G.; Rajendran, R.; Adhikari, L.; Bairi, P.; Pradhananga, R.R.; Shrestha, L.K.; Ariga, K. Nanoporous Activated Carbons Derived from Agro-Waste Corncob for Enhanced Electrochemical and Sensing Performance. Bull. Chem. Soc. Jpn. 2015, 88, 1108–1115. [Google Scholar] [CrossRef]
- Singh, J.; Mishra, V. Synthesis and Characterization of Activated Carbon derived from Tectona grandis Sawdust via Green Route. Environ. Prog. Sustain. Energy 2020, 40, 13525. [Google Scholar] [CrossRef]
- Yakout, S.M.; Sharaf El-Deen, G. Characterization of Activated Carbon Prepared by Phosphoric Acid Activation of Olive Stones. Arab. J. Chem. 2016, 9, S1155–S1162. [Google Scholar] [CrossRef] [Green Version]
- Shrestha, L.K.; Shrestha, R.G.; Joshi, S.; Rajbhandari, R.; Shrestha, N.; Adhikari, M.P.; Pradhananga, R.R.; Ariga, K. Nanoarchitectonics of Nanoporous Carbon Materials from Natural Resource for Supercapacitor Applications. J. Inorg. Organomet. Polym. 2017, 27, S48–S56. [Google Scholar] [CrossRef]
- Kamedulski, P.; Gauden, P.A.; Lukaszewicz, J.P. Effective Synthesis of Carbon Hybrid Materials Containing Oligothiophene Dyes. Materials 2019, 12, 3354. [Google Scholar] [CrossRef] [PubMed] [Green Version]
- Oliveira, L.S.; Franca, A.S. Conventional and Non-Conventional Thermal of Activated Carbons from Agro-Industrial Wastes. In Activated Carbon: Classifications, Properties and Applications Processing for the Production; Kwiatkowski, J.F., Ed.; Nova Publishers: New York, NY, USA, 2011; pp. 205–238. [Google Scholar]
- Ahmad, A.A.; Al-Raggad, M.; Shareef, N. Production of Activated Carbon Derived from Agricultural By-Products via Microwave-Induced Chemical Activation: A Review. Carbon Lett. 2021, 31, 957–971. [Google Scholar] [CrossRef]
- Nguyen, H.D.; Tran, H.N.; Chao, H.-P.; Lin, C.-C. Activated Carbons Derived from teak Sawdust-Hydrochars for Efficient Removal of Methylene Blue, Copper, and Cadmium from Aqueous Solution. Water 2019, 11, 2581. [Google Scholar] [CrossRef] [Green Version]
- Block, I.; Günter, C.; Rodrigues, A.D.; Paasch, S.; Hesemann, P.; Taubert, A. Carbon Adsorbents from Spent Coffee for Removal of Methylene Blue and Methyl Orange from Water. Materials 2021, 14, 3996. [Google Scholar] [CrossRef]
- Kocaman, S. Removal of Methylene Blue Dye from Aqueous Solutions by Adsorption on Levulinic Acid-Modified Natural Shells. Int. J. Phytoremediat. 2020, 22, 885–895. [Google Scholar] [CrossRef] [PubMed]
- Oribayo, O.; Olaleye, O.O.; Akinyanju, A.S.; Omoloja, K.O.; Williams, S.O. Coconut Shell-Based Activated Carbon as Adsorbent for the Removal of Dye from Aqueous Solution: Equilibrium, Kinetics, and Thermodynamic Studies. Niger. J. Technol. 2020, 39, 1076–1084. [Google Scholar] [CrossRef]
- Abbas, M.; Trari, M. Removal of Methylene Blue in Aqueous Solution by Economic Adsorbent Derived from Apricot Stone Activated Carbon. Fibers Polym. 2020, 21, 810–820. [Google Scholar] [CrossRef]
- Thang, N.H.; Khang, D.K.; Hai, T.D.; Nga, D.T.; Tuan, P.D. Methylene blue adsorption mechanism of activated carbon synthesised from cashew nut shells. RSC Adv. 2021, 11, 26563–26570. [Google Scholar] [CrossRef]
- Patel, R.K.; Prasad, R.; Shankar, R.; Khare, P.; Yadav, M. Adsorptive Removal of Methylene Blue Dye from Soapnut Shell & Pineapple Waste Derived Activated Carbon. Int. J. Eng. Sci. Technol. 2021, 13, 81–87. [Google Scholar]
- Yallappa, S.; Shivakumar, M.; Nagashree, K.L.; Dharmaprakash, M.S.; Vinu, A.; Hegde, G. Electrochemical Determination of Nitrite Using Catalyst Free Mesoporous Carbon Nanoparticles from Bio Renewable Areca nut seeds. J. Electrochem. Soc. 2018, 165, 614–619. [Google Scholar] [CrossRef]
- Tabassum, M.; Bardhan, M.; Novera, T.M.; Islam, M.A.; Jawad, A.H.; Islam, M.A. NaOH-Activated Betel Nut Husk Hydrochar for Efficient Adsorption of Methylene Blue Dye. Water Air Soil Pollut. 2020, 231, 398. [Google Scholar] [CrossRef]
- Bardhan, M.; Novera, T.M.; Tabassum, M.; Islam, M.A.; Jawad, A.H.; Islam, M.A. Adsorption of Methylene Blue onto Betel Nut Husk-Based Activated Carbon Prepared by Sodium Hydroxide Activation Process. Water Sci. Technol. 2020, 82, 1932–1949. [Google Scholar] [CrossRef] [PubMed]
- Sundaram, M.M.; Sivakumar, S. Effective Role of Areca Nut Shell Carbon and Cashew Nut Shell Carbon in the Removal of Congo Red Dye for The Application Towards Effluent Treatment. Indian J. Environ. Prot. 2013, 33, 546–553. [Google Scholar]
- Gopalswami, P.; Sivakumar, N.; Ponnuswamy, S.; Venkateswaren, V.; Kavitha, G. Adsorption of Direct Dye Onto Activated Carbon Prepared From Areca Nut Pod-An Agricultural Waste. J. Environ. Sci. Eng. 2010, 52, 367–372. [Google Scholar] [PubMed]
- Cleiton, N.A.; Guerreiro, M.C. Estimation of Surface Area and Pore Volume of Activated Carbons by Methylene Blue and Iodine Numbers. Quim. Nova 2011, 34, 472–476. [Google Scholar]
- ASTM International. Annual Book of ASTM Standards, Standard Test Method for Determination of Iodine Number of Activated Carbon, ASTM D4607-94; ASTM International: Philadelphia, PA, USA, 2006. [Google Scholar]
- Raposo, F.; Rubia, M.A.D.L.; Borja, R. Methylene Blue Number as Useful Indicator to Evaluate the Adsorptive Capacity of Granular Activated Carbon in Batch Mode: Influence of Adsorbate/Adsorbent Mass Ratio and Particle Size. J. Hazard. Mater. 2009, 165, 291–299. [Google Scholar] [CrossRef] [PubMed]
- Bamgbola, A.A.; Adeyemi, O.O.; Olubomehin, O.O.; Akinlabi, A.K.; Sojinu, O.S.; Iwuchukwu, P.O. Isolation and Characterization of Cellulose From Cashew (Anacardium occidentale L.) Nut Shells. Curr. Res. Green Sustain. Chem. 2020, 3, 100032. [Google Scholar] [CrossRef]
- Maji, S.; Chaudhary, R.; Shrestha, R.G.; Shrestha, R.L.; Demir, B.; Searles, D.J.; Hill, J.P.; Yamauchi, Y.; Ariga, K.; Shrestha, L.K. High-Performance Supercapacitor Materials based on Hierarchically Porous Carbons derived from Artocarpus Heterophyllus Seed. ACS Appl. Energy Mater. 2021, 4, 12257–12266. [Google Scholar] [CrossRef]
- Salim, R.M.; Asik, J.; Sarjadi, M.S. Chemical Functional Groups of Extractives, Cellulose and Lignin Extracted from Native Leucaena leucocephala Bark. Wood Sci. Technol. 2021, 55, 295–313. [Google Scholar] [CrossRef]
- Zakaria, R.; Jamalluddin, N.A.; Bakar, M.Z.A. Effect of Impregnation Ratio and Activation Temperature on the Yield and Adsorption Performance of Mangrove Based Activated Carbon for Methylene Blue Removal. Results Mater. 2021, 10, 100183. [Google Scholar] [CrossRef]
- Zhou, J.; Luo, A.; Zhao, Y. Preparation and Characterization of Activated Carbon from Waste Tea by Physical Activation Using Steam. J. Air Waste Manag. Assoc. 2018, 68, 12. [Google Scholar] [CrossRef]
- Kayiwa, R.; Kasedde, H.; Lubwama, M.; Kirabira, J.B. Mesoporous Activated Carbon Yielded from Pre-Leached Cassava Peels. Bioresour. Bioprocess. 2021, 8, 53. [Google Scholar] [CrossRef]
- Joshi, S.; Shrestha, L.K.; Kamachi, Y.; Yamauchi, Y.; Pradhananga, M.A.; Pokharel, B.P.; Ariga, K.; Pradhananga, R.R. Sodium Hydroxide Activated Nanoporous Carbon Based on Lapsi Seed Stone. J. Nanosci. Nanotechnol. 2015, 15, 1465–1472. [Google Scholar] [CrossRef]
- Ma, X.; Li, S.; Hessel, V.; Lin, L.; Meskers, S.; Fausto Gallucci, F. Synthesis of Luminescent Carbon Quantum Dots by Microplasma Process. Chem. Eng. Process. Process Intensif. 2019, 140, 29–35. [Google Scholar] [CrossRef]
- Han, S.A.; Lee, J.; Shim, K.; Lin, J.; Shahabuddin, M.; Lee, J.-W.; Kim, S.-W.; Park, M.-S.; Kim, J.H. Strategically Designed Zeolitic Imidazolate Frameworks for Controlling the Degree of Graphitization. Bull. Chem. Soc. Jpn. 2018, 91, 1474–1480. [Google Scholar] [CrossRef] [Green Version]
- Qutaish, H.; Lee, J.; Hyeon, Y.; Han, S.A.; Lee, I.-H.; Heo, Y.-U.; Whang, D.; Moon, J.; Park, M.-S.; Kim, J.H. Design of Cobalt Catalysed Carbon Nanotubes in Bimetallic Zeolitic Imidazolate Frameworks. Appl. Surface Sci. 2021, 547, 149134. [Google Scholar] [CrossRef]
- Shrestha, L.K.; Adhikari, L.; Shrestha, R.G.; Adhikari, M.P.; Ahikari, R.; Hill, J.P.; Pradhananga, R.R.; Ariga, K. Nanoporous Carbon Materials with Enhanced Supercapacitance Performance and Non-Aromatic Chemical Sensing With C1/C2 Alcohol Discrimination. Sci. Technol. Adv. Mater. 2016, 17, 483–492. [Google Scholar] [CrossRef] [PubMed] [Green Version]
- Shrestha, L.K.; Thapa, M.; Shrestha, R.G.; Maji, S.; Pradhananga, R.R.; Ariga, K. Rice-Husk-Derived High Surface Area Nanoporous Carbon Materials with Excellent Iodine and Methylene Blue Adsorption. C J. Carbon Res. 2019, 5, 10. [Google Scholar] [CrossRef] [Green Version]
- Joshi, S.; Bishnu, K.C. Synthesis and Characterization of Sugarcane Bagasse Based Activated Carbon: Effect of Impregnation Ratio of ZnCl2. J. Nepal Chem. Soc. 2020, 41, 74–79. [Google Scholar] [CrossRef]
- Mashkoor, F.; Khan, M.A.; Nasar, A. Fast and Effective Confiscation of Methylene Blue Dye from Aqueous Medium by Luffa Aegyptiaca Peel. Curr. Anal. Chem. 2021, 17, 947–956. [Google Scholar] [CrossRef]
- Wong, S.; Ghafar, N.A.; Ngadi, N.; Razmi, F.A.; Inuwa, I.M.; Mat, R.; Amin, N.A.S. Effective Removal of Anionic Textile Dyes Using Adsorbent Synthesized from Coffee Waste. Sci. Rep. 2020, 10, 2928. [Google Scholar] [CrossRef] [PubMed] [Green Version]
- Yusop, M.F.M.; Ahmad, M.A.; Rosli, N.A.; Manaf, M.E.A. Adsorption of Cationic Methylene Blue Dye Using Microwave-Assisted Activated Carbon Derived from Acacia Wood: Optimization and Batch Studies. Arab. J. Chem. 2021, 14, 1878–5352. [Google Scholar] [CrossRef]
- Wang, Y.; Pan, J.; Lia, Y.; Zhang, P.; Li, M.; Zheng, H.; Zhang, X.; Li, H.; Du, Q. Methylene Blue Adsorption by Activated Carbon, Nickel Alginate/Activated Carbon Aerogel, and Nickel Alginate/Graphene Oxide Aerogel: A Comparison Study. J. Mater. Res. Technol. 2020, 9, 12443–12460. [Google Scholar] [CrossRef]
- Baloo, L.; Isa, M.H.; Sapari, N.B.; Jagaba, A.H.; Wei, L.J.; Yavari, S.; Razali, R.; Vasu, R.; Vasu; R. Adsorptive Removal of Methylene Blue and Acid Orange 10 Dyes from Aqueous Solutions Using Oil Palm Wastes-Derived Activated Carbons. Alex. Eng. J. 2021, 60, 5611–5629. [Google Scholar] [CrossRef]
- Abdel-Gawad, S.A.; Abd El-Aziz, H.M. Removal of Pharmaceuticals from Aqueous Medium Using Entrapped Activated Carbon in Alginate. Air Soil Water Res. 2020, 12, 1–7. [Google Scholar] [CrossRef]
- Utsev, J.T.; Iwar, R.T.; Ifyalem, K.J. Adsorption of Methylene Blue from Aqueous Solution Onto Delonix Regia Pod Activated Carbon: Batch Equilibrium Isotherm, Kinetic and Thermodynamic Studies. J. Mater. Environ. Sci. 2020, 11, 1058–1078. [Google Scholar]
- Gao, J.-J.; Qin, Y.-B.; Zhou, T.; Cao, D.-D.; Xu, P.; Hochstetter, D.; Wang, Y.-F. Adsorption of Methylene Blue onto Activated Carbon Produced from Tea (Camellia Sinensis L.) Seed Shells: Kinetics, Equilibrium, and Thermodynamics Studies. J. Zhejiang Univ. Sci. B 2013, 14, 650–658. [Google Scholar] [CrossRef] [PubMed] [Green Version]
- Patawat, C.; Silakate, K.; Chuan-Udom, S.; Supanchaiyamat, N.; Hunt, A.J.; Yuvarat Ngernyene, Y. Preparation of Activated Carbon from Dipterocarpus Alatus Fruit And its Application for Methylene Blue Adsorption. RSC Adv. 2020, 10, 21082–22109. [Google Scholar] [CrossRef]
- Jawad, A.H.; Abdulhameed, A.S. Statistical Modeling of Methylene Blue Dye Adsorption by High Surface Area Mesoporous Activated Carbon from Bamboo Chip Using KOH-Assisted Thermal Activation. Energy Ecol. Environ. 2020, 5, 456–469. [Google Scholar] [CrossRef]
- Ahsaine, H.A.; Anfar, Z.; Zbair, M.; Ezahri, M.; Alem, N.E. Adsorptive Removal of Methylene Blue and Crystal Violet onto Micro-Mesoporous Zr3O/Activated Carbon Composite: A Joint Experimental and Statistical Modeling Considerations. J. Chem. 2018, 2018, 6982014. [Google Scholar] [CrossRef] [Green Version]








| Sample | SSA (m2 g−1) | Smic (m2 g−1) | Vp (cm3 g−1) | Vmic (cm3 g−1) | Vmeso/Vp × 100 (%) | Wp (nm) | Dp (nm) |
|---|---|---|---|---|---|---|---|
| ANC0.25_400_3h | 1399.9 | 1008.8 | 1.464 | 0.925 | 36.81 | 0.704 | 3.67 |
| ANC0.5_400_3h | 1705.0 | 1124.7 | 2.088 | 1.257 | 39.79 | 0.705 | 3.68 |
| ANC1_400_3h | 2132.1 | 1320.8 | 3.426 | 1.920 | 43.95 | 0.705 | 3.29 |
| ANC1.5_400_3h | 1945.2 | 1219.3 | 3.152 | 1.791 | 43.17 | 0.705 | 3.30 |
| ANC1_400_2h | 1970.4 | 1278.1 | 2.643 | 1.563 | 40.86 | 0.704 | 3.67 |
| ANC1_400_4h | 1781.3 | 1187.5 | 2.333 | 1.393 | 40.29 | 0.705 | 3.68 |
| ANC1_300_3h | 1156.1 | 903.4 | 1.112 | 0.709 | 36.24 | 0.286 | 3.66 |
| ANC1_500_3h | 1934.8 | 1217.4 | 2.878 | 1.635 | 43.18 | 0.705 | 3.49 |
| Carbon Source | qm (mg g−1) | Ref. |
|---|---|---|
| Delonix regia Pod | 175.4 | [65] |
| Coconut shell | 320.5 | [34] |
| Tea seed shells | 324.7 | [66] |
| Dipterocarpus alatus fruit | 269.3 | [67] |
| Bamboo | 305.3 | [68] |
| Almond shell/Zr3O Composites | 208.3 | [69] |
| Areca catechu Nut | 333.3 | This work |
Publisher’s Note: MDPI stays neutral with regard to jurisdictional claims in published maps and institutional affiliations. |
© 2021 by the authors. Licensee MDPI, Basel, Switzerland. This article is an open access article distributed under the terms and conditions of the Creative Commons Attribution (CC BY) license (https://creativecommons.org/licenses/by/4.0/).
Share and Cite
Joshi, S.; Shrestha, R.G.; Pradhananga, R.R.; Ariga, K.; Shrestha, L.K. High Surface Area Nanoporous Activated Carbons Materials from Areca catechu Nut with Excellent Iodine and Methylene Blue Adsorption. C 2022, 8, 2. https://doi.org/10.3390/c8010002
Joshi S, Shrestha RG, Pradhananga RR, Ariga K, Shrestha LK. High Surface Area Nanoporous Activated Carbons Materials from Areca catechu Nut with Excellent Iodine and Methylene Blue Adsorption. C. 2022; 8(1):2. https://doi.org/10.3390/c8010002
Chicago/Turabian StyleJoshi, Sahira, Rekha Goswami Shrestha, Raja Ram Pradhananga, Katsuhiko Ariga, and Lok Kumar Shrestha. 2022. "High Surface Area Nanoporous Activated Carbons Materials from Areca catechu Nut with Excellent Iodine and Methylene Blue Adsorption" C 8, no. 1: 2. https://doi.org/10.3390/c8010002
APA StyleJoshi, S., Shrestha, R. G., Pradhananga, R. R., Ariga, K., & Shrestha, L. K. (2022). High Surface Area Nanoporous Activated Carbons Materials from Areca catechu Nut with Excellent Iodine and Methylene Blue Adsorption. C, 8(1), 2. https://doi.org/10.3390/c8010002

