Mechanochemical Functionalization of Carbon Black at Room Temperature
Abstract
:1. Introduction
2. Results and Discussion
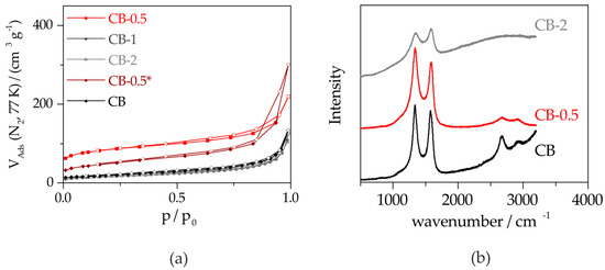
2.1. Impact of Mechanochemical Treatment on the Textural Properties of Pristine CB
2.2. Mechanochemical Functionalization of CB
3. Materials and Methods
3.1. General Techniques
3.2. Synthesis
4. Conclusions
Supplementary Materials
Acknowledgments
Author Contributions
Conflicts of Interest
References
- Rodríguez-Reinoso, F. The role of carbon materials in heterogeneous catalysis. Carbon 1998, 36, 159–175. [Google Scholar] [CrossRef]
- Sawant, S.Y.; Munusamy, K.; Somani, R.S.; John, M.; Newalkar, B.L.; Bajaj, H.C. Precursor suitability and pilot scale production of super activated carbon for greenhouse gas adsorption and fuel gas storage. Chem. Eng. J. 2017, 315, 415–425. [Google Scholar] [CrossRef]
- Kim, S.; Chen, L.; Johnson, J.K.; Marand, E. Polysulfone and functionalized carbon nanotube mixed matrix membranes for gas separation: Theory and experiment. J. Membr. Sci. 2007, 294, 147–158. [Google Scholar] [CrossRef]
- Oschatz, M.; Thieme, S.; Borchardt, L.; Lohe, M.R.; Biemelt, T.; Brueckner, J.; Althues, H.; Kaskel, S. A new route for the preparation of mesoporous carbon materials with high performance in lithium–sulphur battery cathodes. Chem. Commun. 2013, 49, 5832–5834. [Google Scholar] [CrossRef] [PubMed]
- Schneidermann, C.; Jäckel, N.; Oswald, S.; Giebeler, L.; Presser, V.; Borchardt, L. Solvent-Free Mechanochemical Synthesis of Nitrogen-Doped Nanoporous Carbon for Electrochemical Energy Storage. ChemSusChem 2017, 10, 2416–2424. [Google Scholar] [CrossRef] [PubMed]
- Maiyalagan, T.; Maheswari, S.; Saji, V.S. Electrocatalysts for Low Temperature Fuel Cells: Fundamentals and Recent Trends; Wiley-VCH: Weinheim, Germany, 2017; ISBN 9783527341320. [Google Scholar]
- Frackowiak, E. Carbon materials for supercapacitor application. Phys. Chem. Chem. Phys. 2007, 9, 1774–1785. [Google Scholar] [CrossRef] [PubMed]
- Oschatz, M.; Hofmann, J.P.; van Deelen, T.W.; Lamme, W.S.; Krans, N.A.; Hensen, E.J.M.; de Jong, K.P. Effects of the Functionalization of the Ordered Mesoporous Carbon Support Surface on Iron Catalysts for the Fischer-Tropsch Synthesis of Lower Olefins. ChemCatChem 2017, 9, 620–628. [Google Scholar] [CrossRef] [PubMed]
- Zhou, D.-M.; Wang, Y.-J.; Wang, H.-W.; Wang, S.-Q.; Cheng, J.-M. Surface-modified nanoscale carbon black used as sorbents for Cu(II) and Cd(II). J. Hazard. Mater. 2010, 174, 34–39. [Google Scholar] [CrossRef] [PubMed]
- Tian, W.; Zhang, H.; Duan, X.; Sun, H.; Tade, M.O.; Ang, H.M.; Wang, S. Nitrogen-and Sulfur-Codoped Hierarchically Porous Carbon for Adsorptive and Oxidative Removal of Pharmaceutical Contaminants. ACS Appl. Mater. Interfaces 2016, 8, 7184–7193. [Google Scholar] [CrossRef] [PubMed]
- Borchardt, L.; Oschatz, M.; Kaskel, S. Tailoring porosity in carbon materials for supercapacitor applications. Mater. Horiz. 2014, 1, 157–168. [Google Scholar] [CrossRef]
- Daus, B.; Wennrich, R.; Weiss, H. Sorption materials for arsenic removal from water: A comparative study. Water Res. 2004, 38, 2948–2954. [Google Scholar] [CrossRef] [PubMed]
- Pandolfo, A.G.; Hollenkamp, A.F. Carbon properties and their role in supercapacitors. J. Power Sources 2006, 157, 11–27. [Google Scholar] [CrossRef]
- Brodie, B.C. XIII. On the Atomic Weight of Graphite. Philos. Trans. R. Soc. Lond. 1859, 149, 249–259. [Google Scholar] [CrossRef]
- Staudenmaier, L. Verfahren zur Darstellung der Graphitsäure. Berichte Dtsch. Chem. Ges. 1898, 31, 1481–1487. [Google Scholar] [CrossRef]
- Hummers, W.S.; Offeman, R.E. Preparation of Graphitic Oxide. J. Am. Chem. Soc. 1958, 80, 1339. [Google Scholar] [CrossRef]
- Marcano, D.C.; Kosynkin, D.V.; Berlin, J.M.; Sinitskii, A.; Sun, Z.; Slesarev, A.; Alemany, L.B.; Lu, W.; Tour, J.M. Improved Synthesis of Graphene Oxide. ACS Nano 2010, 4, 4806–4814. [Google Scholar] [CrossRef] [PubMed]
- Borah, D.; Satokawa, S.; Kato, S.; Kojima, T. Surface-modified carbon black for As(V) removal. J. Colloid Interface Sci. 2008, 319, 53–62. [Google Scholar] [CrossRef] [PubMed]
- Borah, D.; Satokawa, S.; Kato, S.; Kojima, T. Sorption of As(V) from aqueous solution using acid modified carbon black. J. Hazard. Mater. 2009, 162, 1269–1277. [Google Scholar] [CrossRef] [PubMed]
- Zhang, X.; Lei, L.; Xia, B.; Zhang, Y.; Fu, J. Oxidization of carbon nanotubes through hydroxyl radical induced by pulsed O2 plasma and its application for O2 reduction in electro-Fenton. Electrochim. Acta 2009, 54, 2810–2817. [Google Scholar] [CrossRef]
- Hoshino, S.; Kawahara, K.; Takeuchi, N. Hydrophilization of graphite using plasma above/in a solution. Japan. J. Appl. Phys. 2017, 57, 0102B1. [Google Scholar] [CrossRef]
- Kim, E.-S.; Deng, B. Fabrication of polyamide thin-film nano-composite (PA-TFN) membrane with hydrophilized ordered mesoporous carbon (H-OMC) for water purifications. J. Membr. Sci. 2011, 375, 46–54. [Google Scholar] [CrossRef]
- Xue, Y.; Chen, H.; Qu, J.; Dai, L. Nitrogen-doped graphene by ball-milling graphite with melamine for energy conversion and storage. 2D Mater. 2015, 2, 044001. [Google Scholar] [CrossRef]
- Jeon, I.-Y.; Shin, Y.-R.; Sohn, G.-J.; Choi, H.-J.; Bae, S.-Y.; Mahmood, J.; Jung, S.-M.; Seo, J.-M.; Kim, M.-J.; Wook Chang, D.; et al. Edge-carboxylated graphene nanosheets via ball milling. Proc. Natl. Acad. Sci. USA 2012, 109, 5588–5593. [Google Scholar] [CrossRef] [PubMed]
- Xu, J.; Shui, J.; Wang, J.; Wang, M.; Liu, H.-K.; Dou, S.X.; Jeon, I.-Y.; Seo, J.-M.; Baek, J.-B.; Dai, L. Sulfur–Graphene Nanostructured Cathodes via Ball-Milling for High-Performance Lithium–Sulfur Batteries. ACS Nano 2014, 8, 10920–10930. [Google Scholar] [CrossRef] [PubMed]
- Jeon, I.-Y.; Choi, H.-J.; Ju, M.J.; Choi, I.T.; Lim, K.; Ko, J.; Kim, H.K.; Kim, J.C.; Lee, J.-J.; Shin, D.; et al. Direct nitrogen fixation at the edges of graphene nanoplatelets as efficient electrocatalysts for energy conversion. Sci. Rep. 2013, 3, 2260. [Google Scholar] [CrossRef] [PubMed]
- Do, J.-L.; Friščić, T. Mechanochemistry: A Force of Synthesis. ACS Cent. Sci. 2017, 3, 13–19. [Google Scholar] [CrossRef] [PubMed]
- Zhu, S.-E.; Li, F.; Wang, G.-W. Mechanochemistry of fullerenes and related materials. Chem. Soc. Rev. 2013, 42, 7535–7570. [Google Scholar] [CrossRef] [PubMed]
- Leistenschneider, D.; Jäckel, N.; Hippauf, F.; Presser, V.; Borchardt, L. Mechanochemistry-assisted synthesis of hierarchical porous carbons applied as supercapacitors. Beilstein J. Org. Chem. 2017, 13, 1332–1341. [Google Scholar] [CrossRef] [PubMed]
- Troschke, E.; Grätz, S.; Lübken, T.; Borchardt, L. Mechanochemical Friedel-Crafts Alkylation—A Sustainable Pathway towards Porous Organic Polymers. Angew. Chem. 2017, 56, 6859–6863. [Google Scholar] [CrossRef] [PubMed]
- Grätz, S.; Borchardt, L. A polycondensation reaction between a diamine and a dialdehyde in a ball mill. RSC Adv. 2016, 6, 64799–64802. [Google Scholar] [CrossRef]
- James, S.L.; Adams, C.J.; Bolm, C.; Braga, D.; Collier, P.; Friščić, T.; Grepioni, F.; Harris, K.D.M.; Hyett, G.; Jones, W.; et al. Mechanochemistry: Opportunities for new and cleaner synthesis. Chem. Soc. Rev. 2012, 41, 413–447. [Google Scholar] [CrossRef] [PubMed]
- Donnet, J.-B.; Bansal, R.C.; Wang, M.-J. Carbon Black: Science and Technology, 2nd ed.; Marcel Dekker: New York, NY, USA, 1993; ISBN -0-8247-8975-X. [Google Scholar]
- McKetta, J.J., Jr. Encyclopedia of Chemical Processing and Design: Volume 6; Marcel Dekker: New York, NY, USA, 1978; ISBN 0-8247-2456-9. [Google Scholar]
- Park, S.-J.; Seo, M.-K.; Nah, C. Influence of surface characteristics of carbon blacks on cure and mechanical behaviors of rubber matrix compoundings. J. Colloid Interface Sci. 2005, 291, 229–235. [Google Scholar] [CrossRef] [PubMed]
- Ferrari, A.C.; Robertson, J. Interpretation of Raman spectra of disordered and amorphous carbon. Phys. Rev. B 2000, 61, 14095–14107. [Google Scholar] [CrossRef]
- Posudievsky, O.Y.; Khazieieva, O.A.; Koshechko, V.G.; Pokhodenko, V.D. Preparation of graphene oxide by solvent-free mechanochemical oxidation of graphite. J. Mater. Chem. 2012, 22, 12465–12467. [Google Scholar] [CrossRef]
- Xing, T.; Li, L.H.; Hou, L.; Hu, X.; Zhou, S.; Peter, R.; Petravic, M.; Chen, Y. Disorder in ball-milled graphite revealed by Raman spectroscopy. Carbon 2013, 57, 515–519. [Google Scholar] [CrossRef]
- Cai, K.; Frant, M.; Bossert, J.; Hildebrand, G.; Liefeith, K.; Jandt, K.D. Surface functionalized titanium thin films: Zeta-potential, protein adsorption and cell proliferation. Colloids Surf. B Biointerfaces 2006, 50, 1–8. [Google Scholar] [CrossRef] [PubMed]
- Hunter, R.J. Zeta Potential in Colloid Science: Principles and Applications; Academic Press: Cambridge, MA, USA, 2013; ISBN 9781483214085. [Google Scholar]
- Bowmaker, G.A. Solvent-assisted mechanochemistry. Chem. Commun. 2013, 49, 334–348. [Google Scholar] [CrossRef] [PubMed]




| Sample 1 | SSABET 2/(m2·g−1) | VN2,total 3/(cm3·g−1) | VN2,micro 4/(cm3·g−1) | VN2,meso 5/(cm3·g−1) | VH2O,total 3/(cm3·g−1) | N-Content 6/wt % | Zeta Potential 7/mV |
|---|---|---|---|---|---|---|---|
| CB | 67 | 0.11 | 0.01 | 0.10 | 0.03 | n. d. | −5.5 |
| CB-0.5 | 307 | 0.24 | 0.09 | 0.15 | 0.21 | n. d. | −16.4 |
| CB-1 | 63 | 0.09 | 0.01 | 0.08 | - | - | - |
| CB-2 | 64 | 0.09 | 0.00 | 0.09 | - | - | - |
| NCB-0.51 | 308 | 0.40 | 0.07 | 0.33 | 0.33 | 2.0 | −34.1 |
| NCB-11 | 216 | 0.30 | 0.05 | 0.25 | - | 2.9 | - |
| NCB-21 | 163 | 0.12 | 0.04 | 0.08 | - | 2.3 | - |
| NCB-41 | 7 | n. d. | n. d. | n. d. | - | 2.2 | - |
| NCB-0.52 | 275 | 0.22 | 0.07 | 0.15 | - | 2.7 | - |
| NCB-0.53 | 267 | 0.29 | 0.06 | 0.23 | - | 2.3 | - |
© 2018 by the authors. Licensee MDPI, Basel, Switzerland. This article is an open access article distributed under the terms and conditions of the Creative Commons Attribution (CC BY) license (http://creativecommons.org/licenses/by/4.0/).
Share and Cite
Leistenschneider, D.; Zürbes, K.; Schneidermann, C.; Grätz, S.; Oswald, S.; Wegner, K.; Klemmed, B.; Giebeler, L.; Eychmüller, A.; Borchardt, L. Mechanochemical Functionalization of Carbon Black at Room Temperature. C 2018, 4, 14. https://doi.org/10.3390/c4010014
Leistenschneider D, Zürbes K, Schneidermann C, Grätz S, Oswald S, Wegner K, Klemmed B, Giebeler L, Eychmüller A, Borchardt L. Mechanochemical Functionalization of Carbon Black at Room Temperature. C. 2018; 4(1):14. https://doi.org/10.3390/c4010014
Chicago/Turabian StyleLeistenschneider, Desirée, Katharina Zürbes, Christina Schneidermann, Sven Grätz, Steffen Oswald, Karl Wegner, Benjamin Klemmed, Lars Giebeler, Alexander Eychmüller, and Lars Borchardt. 2018. "Mechanochemical Functionalization of Carbon Black at Room Temperature" C 4, no. 1: 14. https://doi.org/10.3390/c4010014
APA StyleLeistenschneider, D., Zürbes, K., Schneidermann, C., Grätz, S., Oswald, S., Wegner, K., Klemmed, B., Giebeler, L., Eychmüller, A., & Borchardt, L. (2018). Mechanochemical Functionalization of Carbon Black at Room Temperature. C, 4(1), 14. https://doi.org/10.3390/c4010014

