A Numerical Study on the Influence of Riparian Vegetation Patch on the Transportation of Suspended Sediment in a U-Bend Channel Flow
Abstract
1. Introduction
2. Methodology
2.1. Numerical Method and Settings
2.2. Geometry and Mesh
2.3. Case Studies
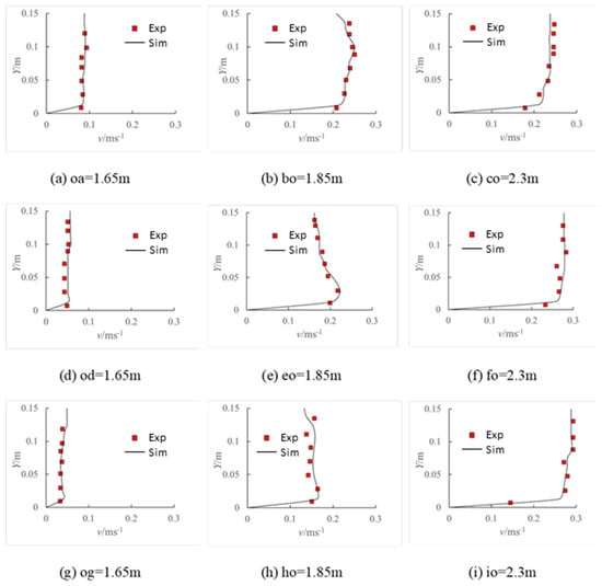
2.4. Validations
- (i)
- Validations of velocity
- (ii)
- Validation of particle deposition
3. Results and Discussions
3.1. Diminishing the Strength of Helical Flow through Vegetation Patch
3.2. Relationship between the Particle Distribution and Turbulent Structures
- (i)
- Instantaneous vortices
- (ii)
- Turbulent structures
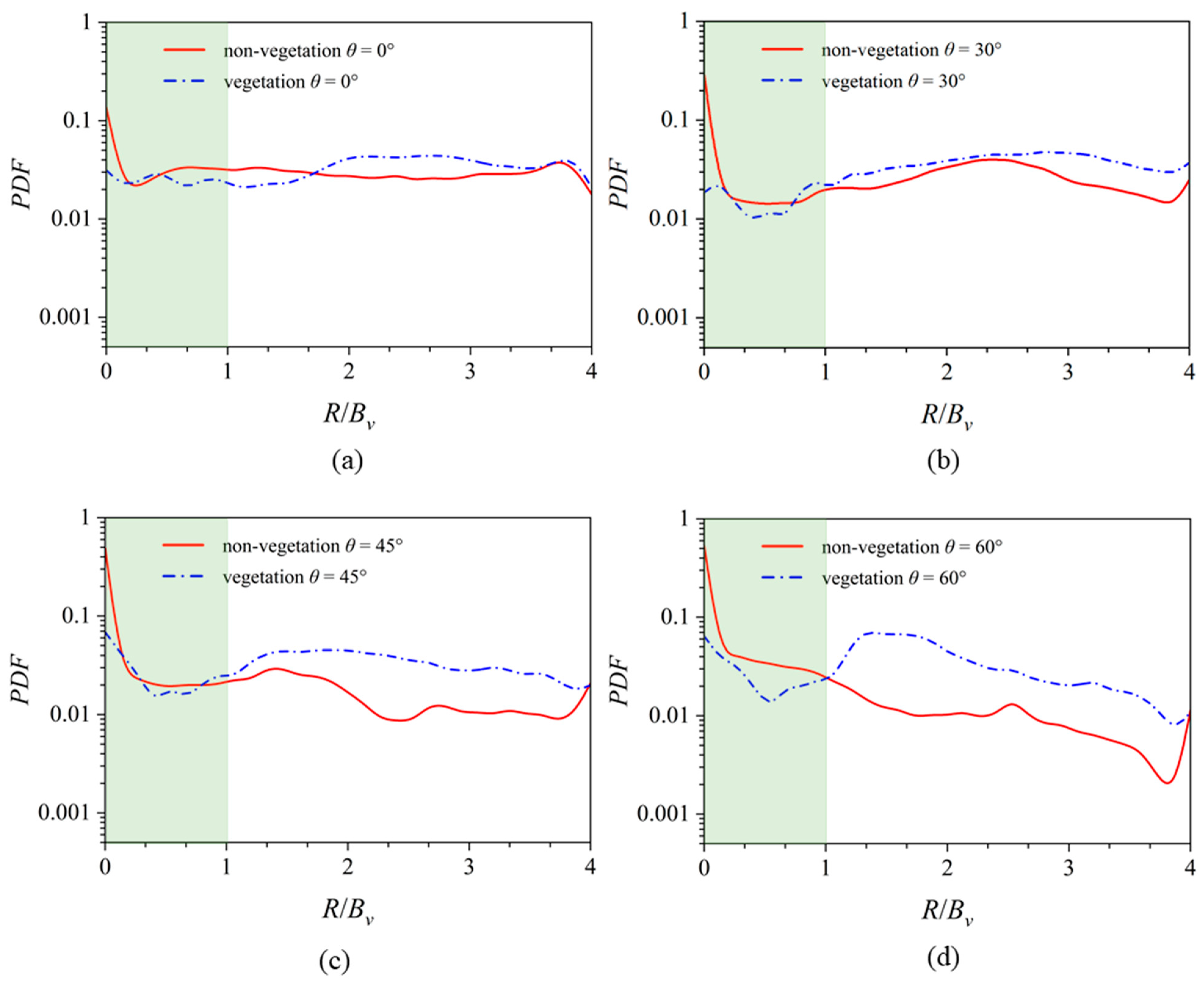
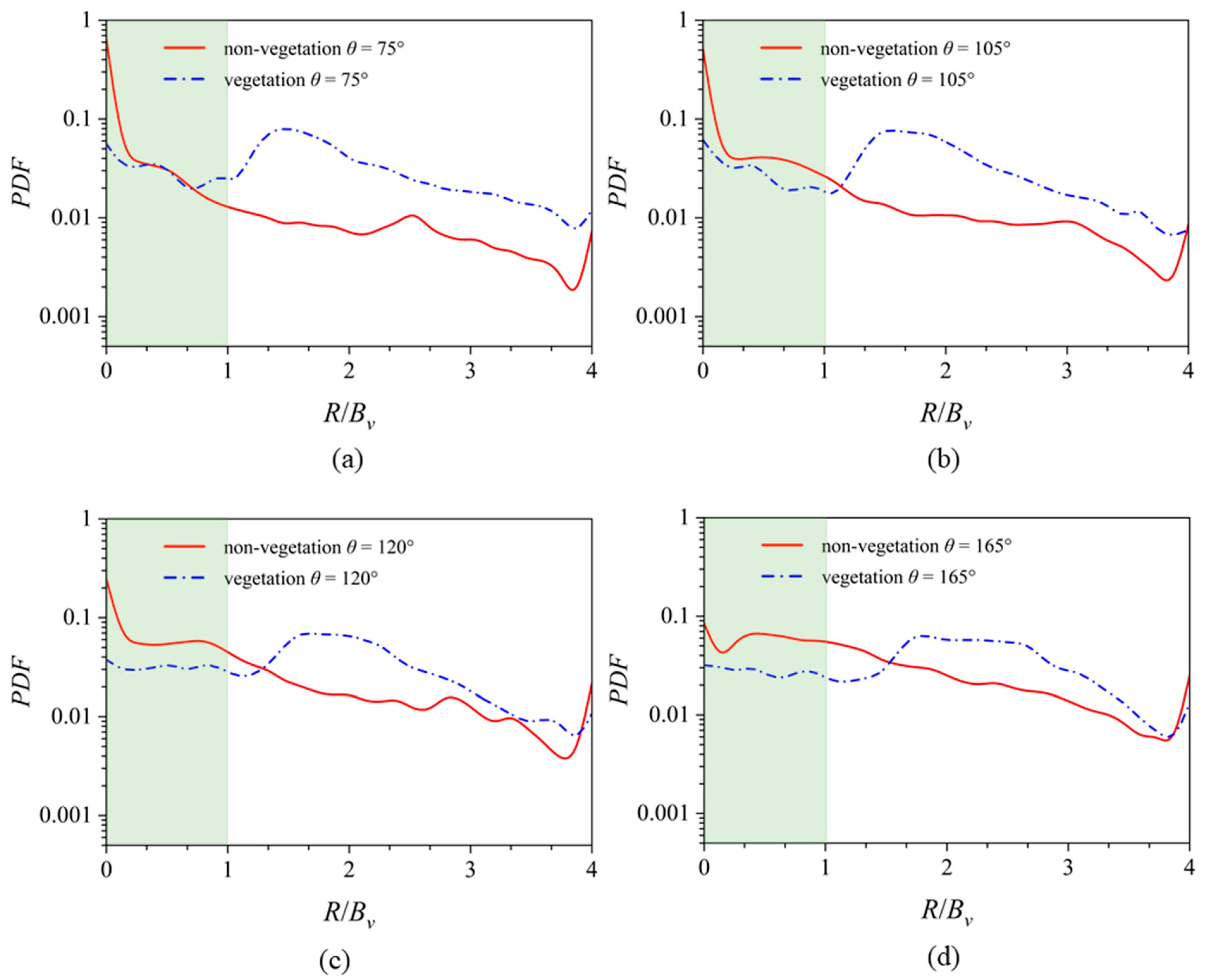
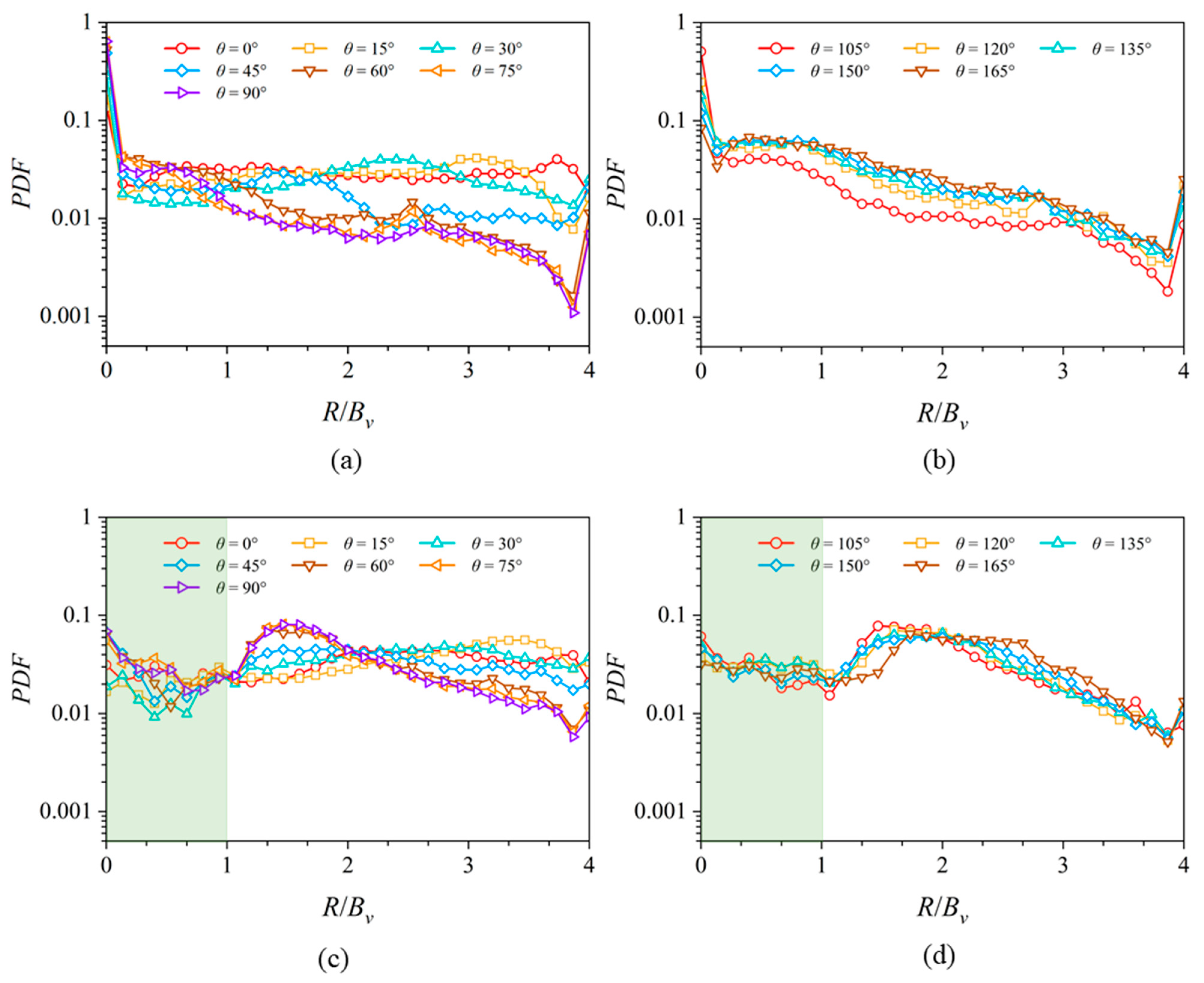
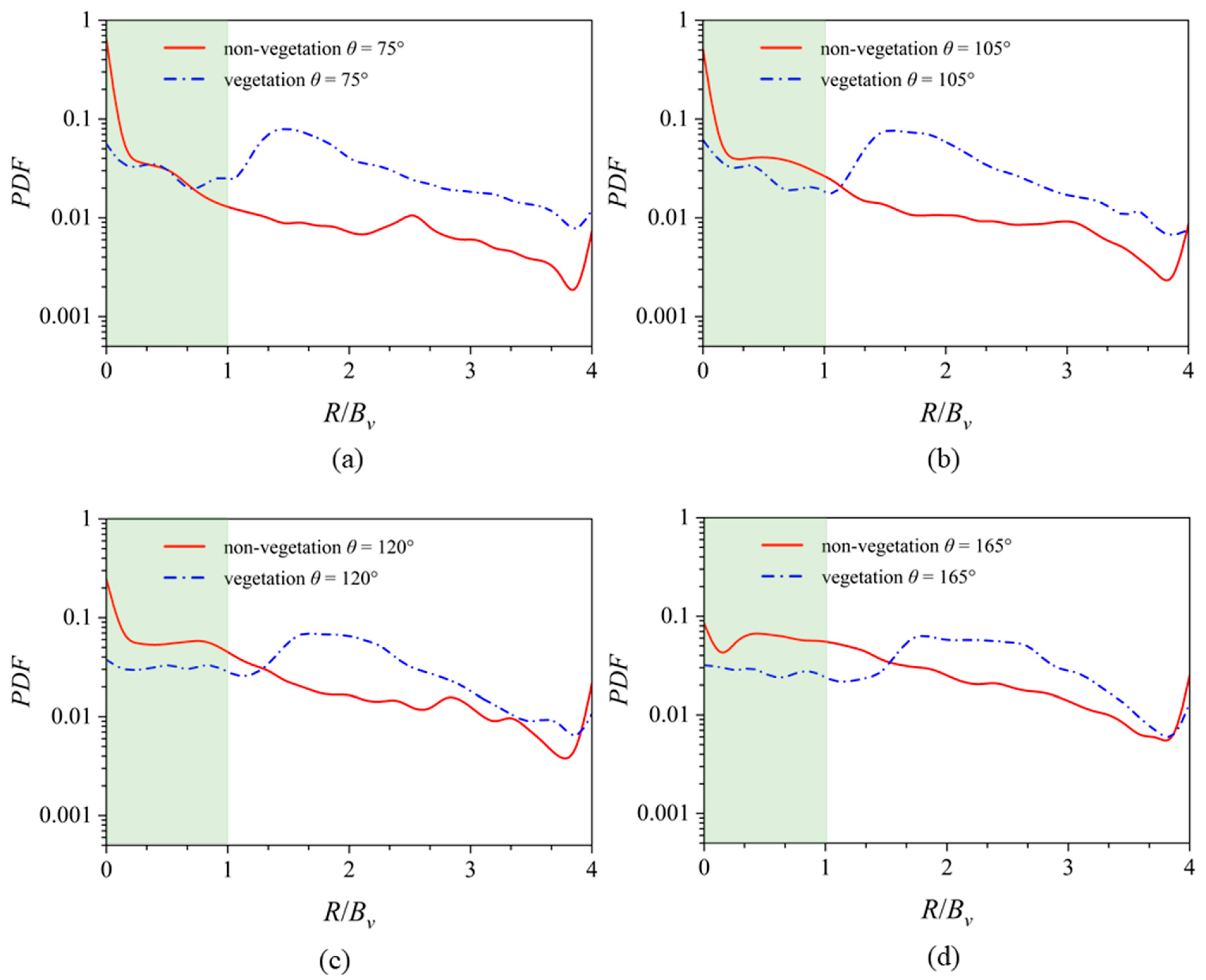
3.3. Probability Density Function of Particles’ Distribution in Spanwise
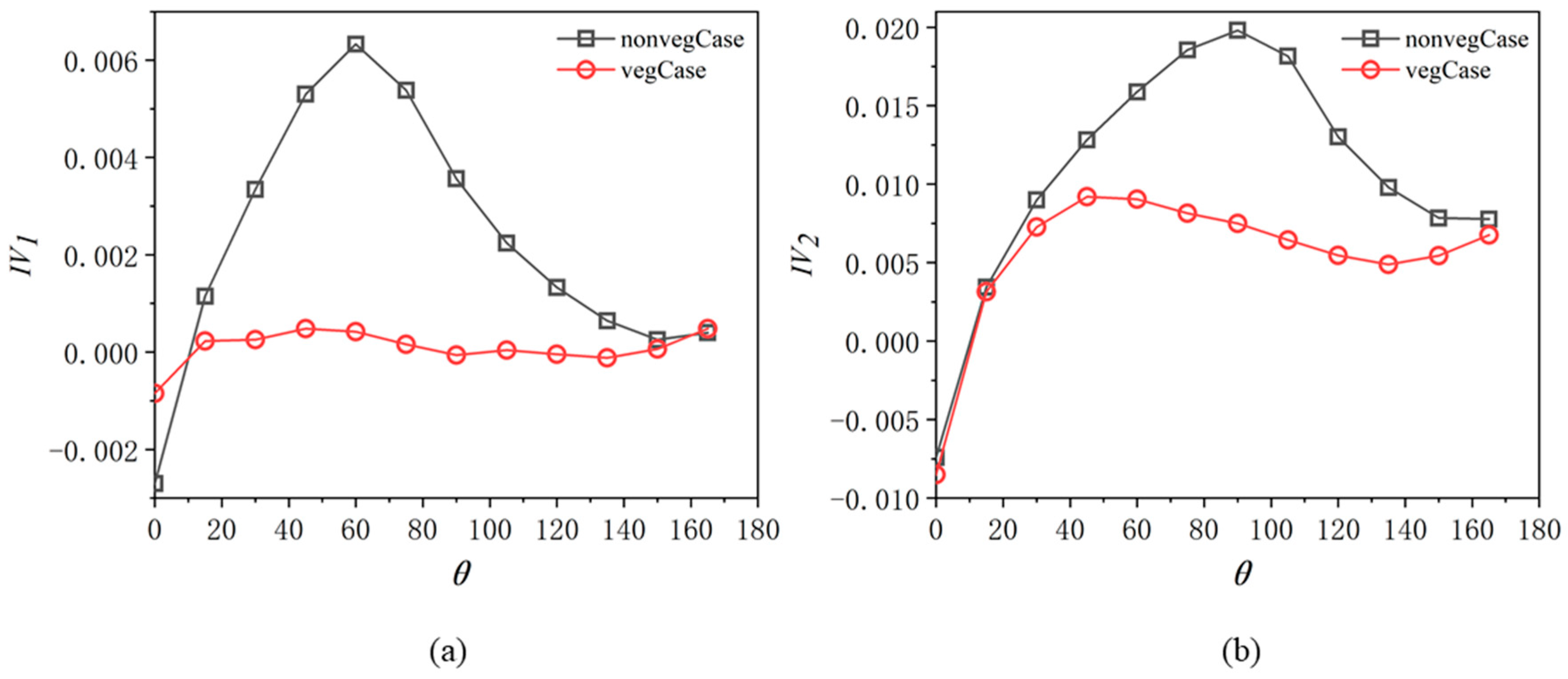
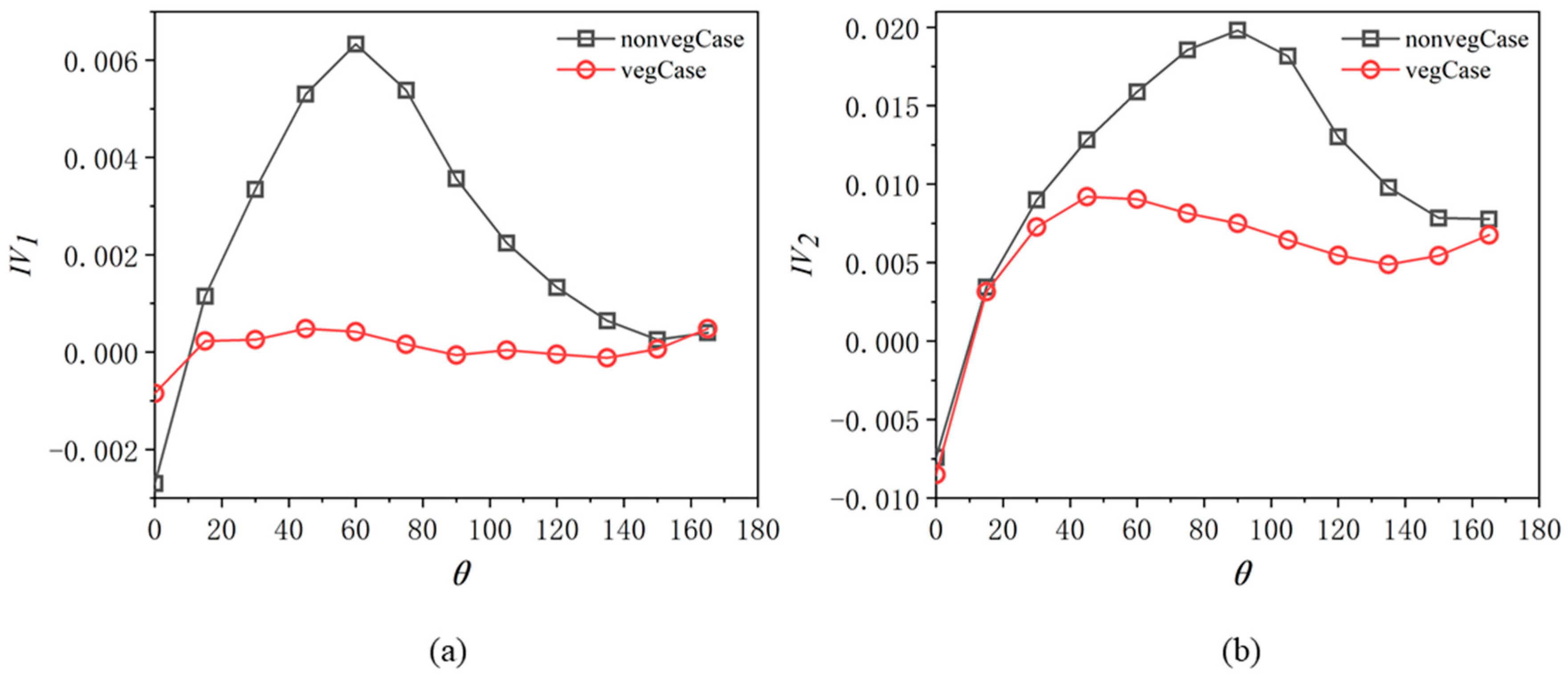
3.4. Variance of PDF in Radius-Wise Direction
3.5. Vertical Concentration Profile in the Vegetated Region
4. Conclusions
- Vegetation near the inner walls of curved channels significantly weakens secondary circulation, reducing its intensity within vegetated areas and adjacent non-vegetated zones. The vertical vortices closely correlate with particle distribution near the channel bed. Particle distribution largely aligns with the vortices’ margin in both cases. However, due to dynamic patch-scale eddies, the particles exhibit a wavy pattern near the vegetation patch, deviating from the vortex edges.
- The Probability Density Function (PDF) reveals that, in non-vegetated flows, particle distribution is governed by secondary flow and boundary layers. Conversely, the presence of vegetation in Case No.1 creates a complex mixing layer, influencing particle distribution. The secondary flow tends to move particles closer to the inner channel wall, but the mixing layer has a depletion effect in the mixing layer region that is occupied by the patch-scale eddies. The maximum PDF values in Case No.1 appear in the non-vegetated free flow subzone adjacent to the mixing layer.
- Spatial–temporal sediment heterogeneity, as measured by PDF variance, differs notably between cases. In non-vegetated flows, variance increases towards the outer wall in the bending region. Vegetation-induced turbulence in vegetated cases leads to higher variance, particularly in the mixing layer subzone (1 < R/Bv < 2), showcasing the pivotal role of eddy size in sediment redistribution.
- Vertical concentration profiles reveal that secondary flow enhances upward sediment transport in non-vegetated channels. In contrast, vegetation increases Turbulence Kinetic Energy (TKE) but restricts channel space, thereby inhibiting secondary flow and vertical particle suspension. Sediment concentration is higher in lower layers of vegetated bends, a reversal of the pattern in non-vegetated bends. This underscores the complex dynamics between vegetation, secondary flow, and sediment transport, highlighting the reduced effectiveness of secondary flow in vertical particle transportation in bending channels due to vegetation obstruction.
Author Contributions
Funding
Data Availability Statement
Acknowledgments
Conflicts of Interest
References
- Lelpi, A.; Lapôtre, M.G.; Gibling, M.R.; Boyce, C.K. The impact of vegetation on meandering rivers. Nat. Rev. Earth Environ. 2022, 3, 165–178. [Google Scholar]
- Liu, M.; Huai, W.; Ji, B. Characteristics of the flow structures through and around a submerged canopy patch. Phys. Fluids 2021, 33, 035144. [Google Scholar] [CrossRef]
- Xu, Y.; Esposito, C.R.; Beltrán-Burgos, M.; Nepf, H.M. Competing effects of vegetation density on sedimentation in deltaic marshes. Nat. Commun. 2022, 13, 4641. [Google Scholar] [CrossRef] [PubMed]
- Zhu, L.; Chen, D.; Hassan, M.A.; Venditti, J.G. The influence of riparian vegetation on the sinuosity and lateral stability of meandering channels. Geophys. Res. Lett. 2022, 49, e2021GL096346. [Google Scholar] [CrossRef]
- Van Dijk, W.M.; Teske, R.; Van de Lageweg, W.I.; Kleinhans, M.G. Effects of vegetation distribution on experimental river channel dynamics. Water Resour. Res. 2013, 49, 7558–7574. [Google Scholar] [CrossRef]
- Rominger, J.T.; Lightbody, A.F.; Nepf, H.M. Effects of added vegetation on sand bar stability and stream hydrodynamics. Am. Soc. Civ. Eng. 2010, 136, 994–1002. [Google Scholar] [CrossRef]
- Millar, R.G. Influence of bank vegetation on alluvial channel patterns. Water Resour. Res. 2000, 36, 1109–1118. [Google Scholar] [CrossRef]
- Deitrick, A.R.; Hovendon, E.H.; Ralston, D.K.; Nepf, H. The influence of vegetation-generated turbulence on deposition in emergent canopies. Front. Mar. Sci. 2023, 10. [Google Scholar] [CrossRef]
- Wang, M.; Mi, S.; Avital, E.; Li, N.; Chen, Y.; Williams, J. A Study on the Influence of Submergence Ratio on the Transport of Suspended Sediment in a Partially Vegetated Channel Flow. Water Resour. Res. 2023, 59, e2022WR032876. [Google Scholar] [CrossRef]
- Wang, M.; Avital, E.; Korakianitis, T.; Williams, J.; Ai, K. A numerical study on the influence of curvature ratio and vegetation density on a partially vegetated U-bend channel flow. Adv. Water Resour. 2021, 148, 103843. [Google Scholar] [CrossRef]
- Kashyap, S.; Constantinescu, G.; Rennie, C.D.; Post, G.; Townsend, R. Influence of channel aspect ratio and curvature on flow, secondary circulation, and bed shear stress in a rectangular channel bend. J. Hydraul. Eng. 2012, 138, 1045–1059. [Google Scholar] [CrossRef]
- Blanckaert, K.D.V.H.; De Vriend, H.J. Secondary flow in sharp open-channel bends. J. Fluid Mech. 2004, 498, 353–380. [Google Scholar] [CrossRef]
- Zhang, Q.L.; Jing, H.F.; Li, C.G.; Wang, W.H.; Zhang, W.S. Flow characteristics in curved open channel with partial suspended vegetation. J. Mt. Sci. 2022, 19, 2715–2728. [Google Scholar] [CrossRef]
- Shi, Z.R.; Ai, C.F.; Jin, S. 3-D numerical simulation of curved open channel confluence flow with partially non-submerged rigid vegetation. J. Hydrodyn. 2021, 33, 992–1006. [Google Scholar] [CrossRef]
- Yang, Z.H.; Bai, F.P.; Huai, W.X.; Li, C.G. Lattice Boltzmann method for simulating flows in open-channel with partial emergent rigid vegetation cover. J. Hydrodyn. 2019, 31, 717–724. [Google Scholar] [CrossRef]
- Huai, W.X.; Li, C.G.; Zeng, Y.H.; Qian, Z.D.; Yang, Z.H. Curved open channel flow on vegetation roughened inner bank. J. Hydrodyn. 2012, 24, 124–129. [Google Scholar] [CrossRef]
- Huai, W.; Yang, L.; Wang, W.J.; Guo, Y.; Wang, T.; Cheng, Y.G. Predicting the vertical low suspended sediment concentration in vegetated flow using a random displacement model. J. Hydrol. 2019, 578, 124101. [Google Scholar] [CrossRef]
- Zhong, D.; Zhang, L.; Wu, B.; Wang, Y. Velocity profile of turbulent sediment-laden flows in open-channels. Int. J. Sediment Res. 2015, 30, 285–296. [Google Scholar] [CrossRef]
- Termini, D. Experimental analysis of the effect of vegetation on flow and bed shear stress distribution in high-curvature bends. Geomorphology 2016, 274, 1–10. [Google Scholar] [CrossRef]
- Mera, I.; Franca, M.J.; Anta, J.; Peña, E. Turbulence anisotropy in a compound meandering channel with different submergence conditions. Adv. Water Resour. 2015, 81, 142–151. [Google Scholar] [CrossRef]
- Termini, D.; Di Leonardo, A. Turbulence structure and implications in exchange processes in high-amplitude vegetated meanders: Experimental investigation. Adv. Water Resour. 2018, 120, 114–127. [Google Scholar] [CrossRef]
- Farzadkhoo, M.; Keshavarzi, A.; Hamidifar, H.; Javan, M. Sudden pollutant discharge in vegetated compound meandering rivers. Catena 2019, 182, 104155. [Google Scholar] [CrossRef]
- Chao, Z.; Shi, D.; Zheng, J. Experimental research on temperature–Dependent dynamic interface interaction between marine coral sand and polymer layer. Ocean. Eng. 2024, 297, 117100. [Google Scholar] [CrossRef]
- Hamidifar, H.; Keshavarzi, A.; Rowiński, P.M. Influence of rigid emerged vegetation in a channel bend on bed topography and flow velocity field: Laboratory experiments. Water 2019, 12, 118. [Google Scholar] [CrossRef]
- Li, C.G.; Xue, W.Y.; Huai, W.X. Effect of vegetation on flow structure and dispersion in strongly curved channels. J. Hydrodyn. Ser. B 2015, 27, 286–291. [Google Scholar] [CrossRef]
- Baek, K.O.; Seo, I.W.; Jeong, S.J. Evaluation of dispersion coefficients in meandering channels from transient tracer tests. J. Hydraul. Eng. 2006, 132, 1021–1032. [Google Scholar] [CrossRef]
- Cheng, C.; Song, Z.Y.; Wang, Y.G.; Zhang, J.S. Parameterized expressions for an improved Rouse equation. Int. J. Sediment Res. 2013, 28, 523–534. [Google Scholar] [CrossRef]
- López, F.; García, M. Open-channel flow through simulated vegetation: Suspended sediment transport modeling. Water Resour. Res. 1998, 34, 2341–2352. [Google Scholar] [CrossRef]
- Huai, W.; Yang, L.; Guo, Y. Analytical solution of suspended sediment concentration profile: Relevance of dispersive flow term in vegetated channels. Water Resour. Res. 2020, 56, e2019WR027012. [Google Scholar] [CrossRef]
- Li, D.; Yang, Z.; Sun, Z.; Huai, W.; Liu, J. Theoretical model of suspended sediment concentration in a flow with submerged vegetation. Water 2018, 10, 1656. [Google Scholar] [CrossRef]
- Graf, W.H.; Cellino, M. Suspension flows in open channels; experimental study. J. Hydraul. Res. 2002, 40, 435–447. [Google Scholar] [CrossRef]
- Sun, R.; Xiao, H. SediFoam: A general-purpose, open-source CFD–DEM solver for particle-laden flow with emphasis on sediment transport. Comput. Geosci. 2016, 89, 207–219. [Google Scholar] [CrossRef]
- De Marchis, M.; Milici, B.; Sardina, G.; Napoli, E. Interaction between turbulent structures and particles in roughened channel. Int. J. Multiph. Flow 2016, 78, 117–131. [Google Scholar] [CrossRef]
- Ji, C.; Munjiza, A.; Avital, E.; Xu, D.; Williams, J. Saltation of particles in turbulent channel flow. Phys. Rev. E 2014, 89, 052202. [Google Scholar] [CrossRef] [PubMed]
- Oh, J.; Tsai, C.W. A stochastic multivariate framework for modeling movement of discrete sediment particles in open channel flows. Stoch. Environ. Res. Risk Assess. 2018, 32, 385–399. [Google Scholar] [CrossRef]
- Wang, M.; Avital, E.; Chen, Q.; Williams, J.; Mi, S.; Xie, Q. A numerical study on suspended sediment transport in a partially vegetated channel flow. J. Hydrol. 2021, 599, 126335. [Google Scholar] [CrossRef]
- Fluent, A. Ansys Fluent Theory Guide; Ansys Inc.: Canonsburg, PA, USA, 2011; Volume 15317, pp. 724–746. [Google Scholar]
- Crowe, C.T.; Schwarzkopf, J.D.; Sommerfeld, M.; Tsuji, Y. Multiphase Flows with Droplets and Particles; CRC press: Boca Raton, FL, USA, 2011; p. 1058. [Google Scholar]
- Lu, S. Experimental Study on Distribution Law of Suspended Sediment in Water Flow of Rigid Plants (in 1125 Chinese); Hohai University: Nanjing, China, 2008. [Google Scholar]
- Li, Y.; Xie, L.; Su, T.C. Profile of suspended sediment concentration in submerged vegetated shallow water flow. Water Resour. Res. 2020, 56, e2019WR025551. [Google Scholar] [CrossRef]
- Rouse, H. Modern Concepts of the Mechanics of Turbulence; ASCE Transactions: New York, NY, USA, 1937. [Google Scholar]
- Fernandes, C.; Semyonov, D.; Ferra s, L.L.; No brega, J.M. Validation of the CFD-DPM solver DPMFoam in OpenFOAM through analytical, numerical and experimental comparisons. Granul. Matter 2018, 20, 64. [Google Scholar] [CrossRef]
- Follett, E.M.; Nepf, H.M. Sediment patterns near a model patch of reedy emergent vegetation. Geomorphology 2012, 179, 141–151. [Google Scholar] [CrossRef]
- Gondret, P.; Lance, M.; Petit, L. Bouncing motion of spherical particles in fluids. Phys. Fluids 2002, 14, 643–652. [Google Scholar] [CrossRef]
- Nepf, H.M. Flow and transport in regions with aquatic vegetation. Annu. Rev. Fluid Mech. 2012, 44, 123–142. [Google Scholar] [CrossRef]
- Luhar, M.; Rominger, J.; Nepf, H. Interaction between flow, transport and vegetation spatial structure. Environ. Fluid Mech. 2008, 8, 423–439. [Google Scholar] [CrossRef]














Disclaimer/Publisher’s Note: The statements, opinions and data contained in all publications are solely those of the individual author(s) and contributor(s) and not of MDPI and/or the editor(s). MDPI and/or the editor(s) disclaim responsibility for any injury to people or property resulting from any ideas, methods, instructions or products referred to in the content. |
© 2024 by the authors. Licensee MDPI, Basel, Switzerland. This article is an open access article distributed under the terms and conditions of the Creative Commons Attribution (CC BY) license (https://creativecommons.org/licenses/by/4.0/).
Share and Cite
Wang, M.; Yu, Q.; Xu, Y.; Li, N.; Wang, J.; Cao, B.; Wang, L.; Avital, E.J. A Numerical Study on the Influence of Riparian Vegetation Patch on the Transportation of Suspended Sediment in a U-Bend Channel Flow. Fluids 2024, 9, 109. https://doi.org/10.3390/fluids9050109
Wang M, Yu Q, Xu Y, Li N, Wang J, Cao B, Wang L, Avital EJ. A Numerical Study on the Influence of Riparian Vegetation Patch on the Transportation of Suspended Sediment in a U-Bend Channel Flow. Fluids. 2024; 9(5):109. https://doi.org/10.3390/fluids9050109
Chicago/Turabian StyleWang, Mingyang, Qian Yu, Yuan Xu, Na Li, Jing Wang, Bo Cao, Lu Wang, and Eldad J. Avital. 2024. "A Numerical Study on the Influence of Riparian Vegetation Patch on the Transportation of Suspended Sediment in a U-Bend Channel Flow" Fluids 9, no. 5: 109. https://doi.org/10.3390/fluids9050109
APA StyleWang, M., Yu, Q., Xu, Y., Li, N., Wang, J., Cao, B., Wang, L., & Avital, E. J. (2024). A Numerical Study on the Influence of Riparian Vegetation Patch on the Transportation of Suspended Sediment in a U-Bend Channel Flow. Fluids, 9(5), 109. https://doi.org/10.3390/fluids9050109

