Next Article in Journal
Synthetic Jet Actuators for Active Flow Control: A Review
Next Article in Special Issue
Damage on a Solid–Liquid Interface Induced by the Dynamical Behavior of Injected Gas Bubbles in Flowing Mercury
Previous Article in Journal
A Chamfered Anchor Impeller Design for Enhanced Efficiency in Agitating Viscoplastic Fluids
Previous Article in Special Issue
Non-Spherical Cavitation Bubbles: A Review
 
 
Font Type:
Arial Georgia Verdana
Font Size:
Aa Aa Aa
Line Spacing:
Column Width:
Background:
Article

Simplified Approach to Evaluate Cavitation Intensity Based on Time Information on Imposed Pressure in Liquid

by
Hiroyuki Kawashima
1,*,
Hiroyuki Kogawa
2,
Masatoshi Futakawa
2 and
Nobuatsu Tanaka
1
1
Graduate School of Science and Technology, Ibaraki University, Mito 316-8511, Ibaraki, Japan
2
J-PARC Center, Japan Atomic Energy Agency, Tokai 319-1195, Ibaraki, Japan
*
Author to whom correspondence should be addressed.
Fluids 2024, 9(12), 289; https://doi.org/10.3390/fluids9120289
Submission received: 16 October 2024 / Revised: 14 November 2024 / Accepted: 5 December 2024 / Published: 6 December 2024
(This article belongs to the Special Issue Cavitation and Bubble Dynamics)

Abstract

Cavitation damage is an important research topic in fluid–structure interactions, such as those being studied using the mercury target for the pulsed neutron source at the Materials Life Science Experimental Facility/Japan Proton Accelerator Complex. Hence, the estimation of cavitation damage (cavitation intensity) is required from the perspective of structural integrity. The results of previous studies suggest that the maximum radii of cavitation bubbles immediately prior to collapse are related to cavitation intensity. Therefore, we propose a method for estimating the maximum radius from the time information by measuring the vibrations of structure walls that are induced by collapsing cavitation bubbles in a confined liquid. In this study, we used a magnetic impact testing machine to experimentally investigate the cavitation bubble dynamics, directly observe the bubble collapsing behavior, and measure the induced vibration. We experimentally confirmed that the time information is useful in the estimation of the maximum radii of bubbles. Moreover, we theoretically derived a simple evaluation formula to estimate the maximum radius from the time responses of the imposed pressure in a confined liquid in a structure.

1. Introduction

From the perspective of structural integrity, cavitation is a critical issue in fluid–structure interfaces, e.g., pumps, ship propellers, and pipelines [1,2,3]. Hence, the quantitative evaluation of the impacts induced by cavitation bubbles has become a key issue from the perspective of the structural integrity of fluid machines. In cases of high-intensity spallation neutron sources using liquid heavy metals, such as the mercury targets in the spallation neutron sources at Oak Ridge National Laboratory (ORNL) [4] and Materials Life Science Experimental Facility/Japan Proton Accelerator Complex (MLF/J-PARC) [5], local impact evaluation is a critical issue in estimating lifetime and improving durability. The liquid mercury target of a spallation pulsed neutron source at the J-PARC, in which rapid pressure fluctuation is induced by the thermal expansion of mercury owing to high-intensity pulsed proton beam injection. Negative pressure is generated by the interaction between the structure and confined liquid mercury, and cavitation is induced [6,7]. Cavitation bubbles impose localized impact forces on the interface, causing severe cavitation damage to structural solid walls. Cavitation damage is an issue related to the structural integrity of mercury targets and the long-term stable operation of neutron sources. Therefore, it is important to develop a technique for estimating cavitation damage, that is, cavitation intensity, near the vessel walls of mercury targets [8].
In recent years, numerous studies have been reported on cavitation dynamics causing wall damage. Reuter et al. [9] followed the flow field around a collapsing bubble near the wall using the PTV method, even after the collapse. Huang et al. [10] showed the formation of two vortex flow patterns caused by the collapse of cavitation bubbles near a rigid wall. Gonzalez-Avila et al. [11] studied a biomimetic gas-entrapping microstructure surface (GEMS) and found that the entrapment of air inside the cavities repels cavitation bubbles away from the surface, thereby preventing cavitation damage. Sun et al. [12] investigated the effect of rigid walls with gas capture holes on the dynamic behavior of laser-induced bubble collapse. They showed that gas capture holes affected the jet morphology and bubble migration direction, providing new insight into how to prevent cavitation from occurring.
Among various studies on cavitation dynamics, we are most interested in the correlation between cavitation intensity and maximum bubble radius. Isselin et al. [13] and Soyama [14] showed that the impact pressure caused by cavitation collapse has a linear relationship with the maximum bubble radius R m a x and time T D (time duration between bubble generation and collapse). Philipp and Lauterborn [15] showed that the area of cavitation damage on a wall is linearly correlated with the maximum radius of the cavitation bubble. Wakui et al. [16] applied these relationships to gain new insight into the relationship between power and cavitation damage evolution in the J-PARC mercury target vessel. The practical application of these relationships to mercury target vessels requires the estimation of the size of cavitation bubbles in the mercury target vessel. Therefore, we propose a method by which to extract the maximum bubble volume from the vibration information of a vessel wall exposed to cavitation phenomena. That is, the vibration waveform data correspond to the dynamic behavior of the bubbles. The relationship between the wall vibration waveform and bubble behavior has been investigated in underwater spark discharge and laser irradiation experiments, and there is a proportional correlation between the maximum bubble radius R m a x and time T D (time duration between bubble generation and collapse) of the wall vibration that occurs during bubble collapse [14,17]. This relationship between T D and R m a x is only valid for time-symmetric bubble behavior in which the bubble growth time T α (time duration between bubble generation and maximum) and bubble collapse time T β (time duration between bubble maximum and collapse) are equal, such as observations made during spark discharge or laser irradiation.
However, cavitation bubbles in mercury target vessels are estimated to behave asymmetrically with respect to the time axis when T α T β [18]. In such cases, the relationship between R m a x and T D cannot be simply applied. In our previous report, we focused on T β as the time parameter for predicting the bubble radius and found that T β has a proportional correlation with R m a x . This general relationship can be explained by bubble dynamics and is applicable to the prediction of the bubble radius in mercury target vessels as well as bubbles caused by spark discharges and laser irradiation [19]. Recently, a non-contact vibration measurement system using laser Doppler in a high-radiation field was realized in the J-PARC mercury target vessel [20], and the data are being accumulated. This study provides fundamental insights for estimating the amount of damage to the J-PARC mercury target vessel.
Hence, in this study, we first investigated the correlation between the behavior of bubbles generated in mercury and pressure fluctuations using a magnetic impact testing machine (MIMTM) that reproduces pressure waves generated inside a mercury target vessel [6]. Because it is difficult to directly observe the behavior of bubbles in mercury, a high-speed video camera was used to observe the behavior of bubbles adhering to the glass wall of the vessel, which are likely to be precisely different from the bubbles influenced by the wall boundary. Simultaneously, T β was measured from the correlation between the time history data on the acceleration vibration waveform of the vessel, pressure fluctuation in the mercury, and visualized bubble behavior, considering wettability. As a result, we propose a simplified formula that allows T β to be estimated from T D based on the imposed pressure responses into the confined liquid. This demonstrates the possibility of a simple and rapid evaluation of R m a x (cavitation intensity) via the in situ measurement of cavitation-derived vibration waveforms of real structures.

2. Experimental Setup

Figure 1 shows the mercury chamber and specimen in the MIMTM. The inner diameter and height were 100 and 15 mm, respectively. Impulsive pressure was imposed on the mercury through a disk plate specimen driven by a striker, which was controlled by an electromagnetic force associated with the input electric power. The magnitude of pressure varied according to the power imposed on the MIMTM [6]. The pressure in the mercury was measured using a pressure gauge (Entran®, EPX, Fairfield, NJ, USA) that was installed into the mercury through the lid of the mercury chamber, as illustrated in Figure 1. Figure 2 shows a schematic diagram of the cavitation visualization setup. A high-speed CCD video camera (NAC, MEMRECAM RX-6, Tokyo, Japan) with a frame rate of up to 2 × 10 4 f/s was used to visualize the cavitation bubbles. The observed bubbles were generated at the interface between the mercury and a glass window installed in the lid of the mercury chamber. A trigger signal was precisely controlled and input from the MIMTM to the camera at the onset of the striker driving to investigate the relationship between the time response of the imposed pressure in the mercury, the acceleration measured at the striker, and the optical images of the bubble behavior. Acoustic vibrations were measured using an accelerometer (RION, PV-90B, Tokyo, Japan) fixed on the striker.

3. Theoretical Investigation

In this study, a one-dimensional bubble dynamics model was applied to rationally discuss the dependence of bubble behavior on physical properties and pressure fluctuations. Therefore, a theoretical investigation was conducted using the Keller–Miksis equation [21], considering the compressibility and acoustic radiation in the surrounding liquid, as given by Equation (1):
1 R ˙ S R R ¨ + 3 2 1 R ˙ 3 S R ˙ 2 = 1 + R S ˙ p b R , t p t + R S ρ + R ρ S d p b R , t d t ,
where R is the bubble radius, R ˙ is the first-order derivative of the bubble radius over time, R ¨ is the second-order derivative of the bubble radius, ρ is the density of the surrounding liquid, p is the liquid pressure at infinity, S is the sound speed of the liquid, and p b is the pressure at the bubble surface, which is expressed as follows:
p b R , t = p g R 1 R 2 σ + 4 μ R ˙ ,
where μ is the liquid surface tension and p g is the pressure inside the bubbles. The polytropic change, denoted by p g is given by Equation (3):
p g R = p 0 p v + 2 σ R 0 R 0 R 3 γ + p v ,
where p 0 is the initial liquid pressure at infinity and γ is the specific heat ratio of the gas in the bubble. The time evolution methods used in this analysis were the Richardson extrapolation and the Bulirsch–Stoer method [22]. Table 1 lists the physical properties of the liquid mercury used in the analysis. The specific heat ratio γ of the gas was 1.41, assuming the presence of air. The initial radius of the bubbles was set to 50 μm.

4. Results

4.1. Visualization Results of Cavitation Bubbles

Figure 3 shows the typical cavitation bubble behavior of mercury. This behavior was visualized via the complex reflection of the insides of bubbles that had adhered to the glass wall under illumination. The bubble generation recognized as the reflected portion of the illumination gradually increased in size from t = 0.6 ms. By t = 0.8 ms, the contours of the bubbles were clearly visible. Thereafter, the bubble gradually grew and reached its maximum radius at t = 1.8 ms. The bubble then began to contract at approximately t = 2.0 ms and disappeared only 0.2 ms later (i.e., at approximately 2.2 ms). The bubble took 1.8 ms to grow to its maximum radius and 2.0 ms to disappear. These results indicate that bubble behavior in the MIMTM differs from that of bubble generation via underwater spark discharge or the laser irradiation method. That is, the growth and collapse times ( T α and T β ) are different. Hence, the behavior is asymmetric with respect to the time axis.
Figure 4 shows (a) the radius of bubbles adhered to the glass wall, (b) the vibration acceleration measured by the striker, and (c) the time variation in the pressure transducer measurement. Panel (a) shows the time evolution of the radii of three bubbles generated by the same impulsive pressure. The radius of the adherend, denoted by c, was derived as an ellipse with a major axis of a and a minor axis of b. The equivalent radius c = a b was obtained from the area. The measured vibration acceleration was subjected to a high-pass filter to remove low-frequency components owing to the striker motion. Here, t = 0 ms represents the time when the trigger is issued, that is, the time when the striker begins to move. First, bubbles were observed at t = 0.7 ms. That is, 0.7 ms elapsed before bubbles adhered to and grew on the glass wall and became observable. Thereafter, the bubbles gradually grew until they reached their maximum radii at approximately t = 1.6 ms ( T α ). At t = 1.6 ms, the mercury pressure began to increase, and the bubbles simultaneously began to contract. The bubbles completely collapsed at t = 2.0 ms ( T D ). For all bubbles, the difference between the growth time T α and collapse time T β   = T D T α was large, showing asymmetric bubble growth and collapse behavior with respect to the time axis.
In the acceleration waveform measured in the chamber, high-frequency components began appearing at approximately 1.7 ms, immediately before the bubble collapse, as shown in Figure 3. The maximum value was reached at approximately 2.0 ms. Subsequently, the attenuation of the amplitude of the high-frequency components was observed. This attenuation may be due to the reflection of pressure waves inside the chamber during bubble collapse and the collapse of multiple bubbles with a time delay. In the pressure waveform, the pressure gradually decreased from t = 0.0 to t = 0.3 ms and remained constant at approximately −0.026 MPa. Thereafter, the pressure increased sharply. At t = 2.0 ms ( T D ), the local pressure derived from the bubble collapse was superimposed, and the maximum pressure was reached. Hence, the maximum pressure can be attributed to the generation of localized impact forces caused by the bubble collapse. The superimposing of the periodical peak pressures with approximately 0.1 ms on the increasing pressure might be due to the repeated reflection of the pressure wave generated by the striker in the chamber.
These results indicate that the onset times of the accelerometer and pressure transducer oscillation peaks correspond to the T D of bubble growth and collapse. Hence, it is possible to extract time information regarding the maximum radius of the cavitation bubble from the vessel vibration as well as the imposed pressure in the liquid. Moreover, these results suggest that an understanding of the pressure fluctuation can be used to extract parameters related to the impacts of bubble collapse on the wall surface. In Section 5, using the simple one-dimensional bubble dynamics model presented in Section 2, we discuss in detail the relationship between pressure fluctuations and bubble behavior as well as methods for extracting impact-related parameters.

4.2. Comparison of Experimental and Theoretical Results

Figure 5 compares the experimental and theoretical results for the time evolution of the bubble radius. The vertical axis is the bubble radius, normalized by the maximum bubble radius, and the horizontal axis is the time, normalized by the bubble growth time T α . In the region of t / T α < 1 during the bubble growth process, discrepancies are recognized between the experimental and theoretical results. These discrepancies are particularly pronounced for small values of t / T α , e.g., an approximately twofold difference was observed when t / T α = 0.4. The discrepancy between the experimentally observed and theoretically obtained bubble radii are attributable to the physical difference between the bubble radii on the glass surface and those in the theoretical investigation. Section 5 discusses the physical factors related to this discrepancy. However, the differences between the experimental and theoretical results are smaller for the bubble collapse process ( t / T α > 1 ) than for the growth process ( t / T α < 1 ), and the results tend to be in general agreement. These findings confirm that the relationship between the collapse time T β and R m a x predicted in our previous study is valid for asymmetric bubble behavior with respect to the time axis.

5. Discussion

5.1. Differences Between Experimental and Theoretical Results for T / T α < 1

Here, we discuss the differences between the experimental and theoretical results shown in Figure 5. During the bubble growth process, the theoretically estimated dimensionless bubble radius tended to be underestimated, compared with the experimental results. This discrepancy arises from the differences in the locations of the measured radii when evaluating the sizes of cavitation bubbles. This is because the theoretical investigation determines the exact radius of the sphere, whereas the experiment measures the radius of the contact area with the glass, that is, the radius of the bottom of the spherical cap. Therefore, it is desirable to measure the exact spherical radius of the cavitation bubble in the experiment. However, this is difficult because mercury is opaque. Therefore, we compared the results more accurately by mapping the theoretical investigation to spherical caps.
The bubbles measured in the experiment were deformed into spherical caps via contact with the wall, and the contact lines on the interface between the spherical cap and glass window were measured as the radius of the bubble. The shape of this spherical cap is affected by the interaction with the wall, considering wettability. Moreover, in the case of a static bubble, the static contact angle θ s between the bubble and wall can be derived using Young’s equation, as follows:
θ s = cos 1 γ S γ S L γ L
where γ L is the surface tension of the liquid, γ S is the surface tension of the solid, and γ S L is the surface tension between the liquid and solid. The behavior of a spherical cap attached to a wall requires the consideration of friction with the wall and changes in surface tension; however, we assume that the pressures outside and inside the bubble are the same for a sphere and the corresponding spherical cap. Boyle’s law states that the bubble volume can be considered to be identical for a sphere and spherical cap under an arbitrary internal pressure, and the relationship between the two shapes can be easily derived. The relationship between the radius of the bottom of the spherical cap, denoted by c, and the radius of the sphere, denoted by R, was obtained using Equation (5):
c = 2 × 1 z z 2 + 3 3 R ; z 1 + cos θ sin θ .
Using Equation (5), the theoretical results in Figure 5 can be converted to the radius of the contact area, c. However, the derivation of θ s in Equation (4) is based on static conditions and is not applicable to the experimentally measured dynamic behaviors of cavitation bubbles. Moreover, the difference between the experimental and theoretical results in Figure 4 shows a gradual decrease at T / T α < 1 , and this is followed by a collapse with consistent behavior. These results suggest that the contact angle changes dynamically from the bubble generation phase to the collapse phase. To reduce this difference, it is necessary to consider the dynamic contact angle θ d [23].
In this study, we consider modeling the time evolution of θ d using a simple function. This function is represented by the following exponential function:
θ d t = A R t B + θ 0 ,
where A and B are the model coefficients and θ 0 is the initial contact angle. These values were evaluated as inverse values to adequately fit the experimental results. If we consider the initial contact angle to be the static contact angle between the microbubbles and the wall, which is the starting point of a cavitation bubble, then the static contact angle θ s can be uniquely derived from Equation (4). For bubbles between mercury and glass, θ s 130 ° [24,25]. The coefficients A and B must be used to derive the best value to fit the experiment. Hence, the method of least squares was used to quantitatively evaluate the fitting values for the experiment. The coefficients A and B are determined such that the residual sum of squares, denoted by RSE, as shown in Equation (7), is minimized.
R S E = i = 1 N c M , i c E , i 2 ,
where N is the number of data points, c M is the value obtained from the theoretical investigation, and c E is the experimental value of the target. The relationships between the coefficients A and B and the residual sum of squares RSE was found to be minimal when A = 2400 and B = 0.5 . Using these values, the bubble radius R obtained from the theoretical investigation can be converted into the radius of the contact area c, which is in close agreement with the experimental results.
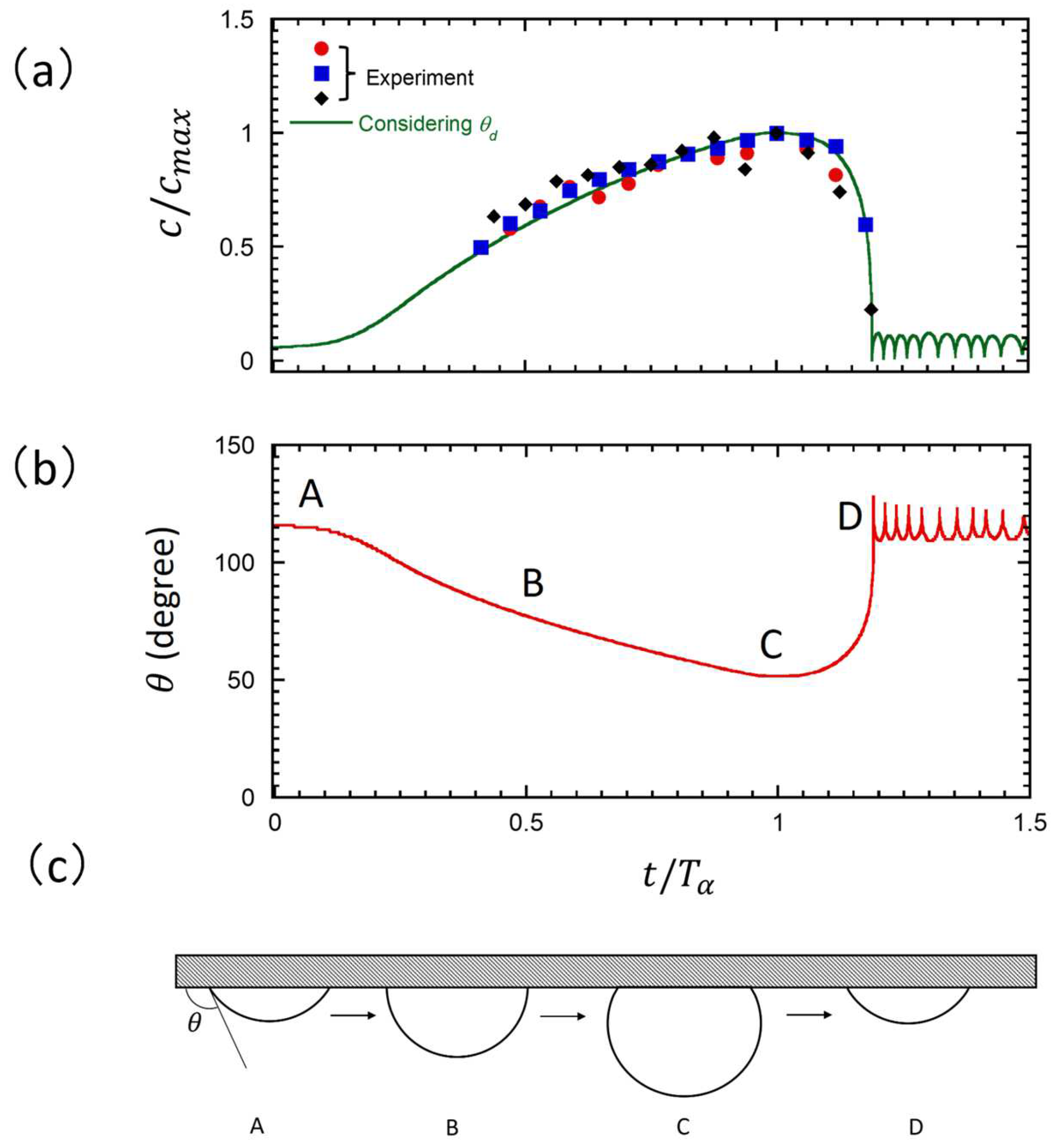
Figure 6 shows a comparison of the time evolution of c between the experimental and theoretical results using A = 2400 and B = 0.5 . Panel (a) shows the time evolution of the radius of the glass contact area c, panel (b) shows the time evolution of the dynamic contact angle, and panel (c) shows a schematic of the expected bubble behavior. According to Figure 6a, the change in bubble radius obtained from the theoretical investigation using A = 2400 and B = 0.5 adequately describes the experimental results. In the time evolution of the contact angle shown in Figure 6b, the contact angle gradually decreased from the initial contact angle θ 0 to a minimum angle of approximately 60° in the process from A to C. Figure 6c schematically shows the shape of the bubble, where A–D correspond to the positions in Figure 6b. From these results, it was expected that the bubbles would first grow away from the wall and then collapse toward the wall. However, it is difficult to verify the experimental validity of dynamic contact angles obtained using an inverse problematic approach. This verification will be a subject of future research.

5.2. Method for Extracting T β from T D

5.2.1. Effect of Pressure Fluctuations on T D

As shown in the experimental results in Figure 4, the time information relating to cavitation bubble dynamics that can be extracted from the wall vibration is attributable to the timing of the bubble collapse, T D = T α + T β . The bubble maximum to collapse time T β is proportional to the maximum radius of the cavitation bubble. Since the prediction of cavitation intensity, which is the objective of this study, requires knowledge of the maximum radius of the bubble, a method by which to accurately extract T β from T D is required. The ratio of T β to T D is thought to be influenced by the pressure fluctuations around the bubble. For example, in the cases of spark discharge and laser irradiation cavitation, it was experimentally found that T β / T D = 0.5 . However, cavitation bubbles inside a mercury target vessel grow gradually due to the negative pressure generated at the interface between the wall and the mercury, resulting in asymmetric behavior with T α T β [18]. In such cases, T β / T D cannot be easily determined. This asymmetry in the bubble behavior was also observed in the experimental results described in Section 4. To investigate the change in the bubble behavior owing to pressure fluctuations, the experimentally measured pressure fluctuations (Figure 4) were approximated using a trapezoidal pressure fluctuation model, as shown in Figure 7, where p 0 is the initial pressure, p 1 is the pressure during bubble growth, p 2 is the pressure during bubble collapse, t 1 is the applied time, and w is the temporal weight of the gradient region. Naturally, w = 0 indicates a rectangular pressure fluctuation, and w = 1 indicates a triangular pressure fluctuation. This pressure fluctuation model is a prerequisite for the derivation of the simple evaluation formula for T β / T D , which is discussed in Section 5.2.2.
To validate this trapezoidal pressure fluctuation model, a comparison was made with experimentally measured pressure fluctuations. Figure 8 shows a comparison of the trapezoidal pressure fluctuation with parameters set to fit the experimental pressure fluctuation, where p 1 = 260 kPa, t 1 = 1.65 ms, and w = 0.2 . However, it was difficult to fit the pressure fluctuation in the p 2 region perfectly with the experimental pressure fluctuation. Therefore, three pressure values of 0.1, 0.2, and 0.3 MPa were assumed to theoretically represent the bubble behavior. Figure 9 shows the time evolution of the bubble radius analyzed using these trapezoidal pressure fluctuation models. The bubble radius increased gradually during the application of negative pressure and then collapsed within a short period, resulting in an asymmetric bubble behavior with respect to the time axis. Compared with the theoretical results of the bubble behavior based on the experimentally measured pressure fluctuations, the bubble behavior was generally reproduced throughout the entire process. However, slight differences were observed, including immediately before the bubbles reached their maximum radii. These differences are thought to be due to the switch from p 1 to p 2 being a step-like change, unlike that in the experiment. However, from t 1 onward, a change in p 2 produced a clear difference in the value of T D . The value of p 2 was set to approximately 0.2 MPa to represent the bubble behavior in the experiment. These results confirm that the trapezoidal pressure fluctuation model can adequately represent the behavior of bubbles in mercury by setting the appropriate parameters.

5.2.2. Estimation of T β from T D

Section 5.2.1 demonstrated that trapezoidal pressure fluctuations could simulate the behavior of the bubbles evaluated in the experiment. In general, it is difficult to separate both T α and T β from T D by measuring structural vibration, acceleration, velocity, etc. Therefore, we derived an approximate formula for the relationship between T D and T β , based on the pressure fluctuations indicated in Section 5.2.1. The discussion is based on the simple Rayleigh–Plesset equation without considering the viscosity, surface tension, and specific heat ratio, as given by Equation (8):
R R ¨ + 3 2 R ˙ 2 = p v p ρ ,
where R ¨ is the second-order time derivative of the bubble radius, R ˙ is the first-order time derivative of the bubble radius, p v is the vapor pressure, p is the pressure at infinity, and ρ is the liquid density. Assuming further that p is constant, Equation (8) can be integrated and derived for R ˙ [20]:
R ˙ t 2 = 2 3 p p v ρ R 0 R t 3 1 ,
If the bubble grows sufficiently and R 0   R , then Equation (9) can be approximated using Equation (10), which is the governing equation for the bubble surface velocity R ˙ at a constant pressure after t 1 w in Figure 7:
R ˙ t 2 = 2 3 p v p ρ ,
The next step was to derive the governing equation for the bubble surface velocity in the gradient region of the trapezoidal pressure fluctuation model, i.e., until t 1 w in Figure 7. The pressure fluctuation in this region is expressed as a function of p t = p 1 p 0 t / t 1 w + p 0 , which is substituted into Equation (8) and integrated. Thus, the governing equation for the bubble surface velocity is derived as follows:
R ˙ t 2 = 2 3 p v p t ρ + p 1 p 0 6 ρ t 1 w R t ,
In the case of pressure fluctuations in the MIMTM, the second term on the right side hardly contributes to the bubble surface velocity, owing to the short duration of the gradient region and the high density of the liquid. Therefore, the second term on the right side can be ignored, and the bubble radius can be derived by combining Equations (10) and (11). By setting t = t 1 , the bubble radius at the end of the negative pressure, denoted by R 2 , can be approximately derived:
R 2 = 2 3 p v p 1 ρ 1 w + 2 3 p v p 1 p 0 p 1 w t 1 .
After negative pressure was reached, the bubble surface velocity was governed by Equation (9), as the initial bubble radius R 0 = R 2 . This equation has R ˙ = 0 . That is, the left side is equal to zero at the time of the maximum bubble radius. Hence, R m a x and R 2 can be derived:
R 2 R m a x 3 + p v p 1 p 2 p v = 1 .
Equation (12) shows that R 2 is a function of t 1 . Furthermore, when the pressure fluctuation during bubble collapse behavior is constant, the relationship between R m a x and T β is as follows [26]:
R m a x = c p 2 p v ρ T β ; c = 6   Γ 4 3 Γ 5 6 Γ 1 2 1.093 .
Substituting Equations (12) and (14) into Equation (13), we obtain Equation (15) for the relationship between t 1 and T β :
t 1 T β = 1.34 P A 1 P B P B + 1 3 ; P A 3 p 0 p 1 2 p v 3 p 0 + p 1 w + 3 p 0 p 1 ; P B p v p 1 p 2 p v ,
where P A is a dimensionless value representing the weight of the gradient region at total negative pressure, P A 1 , and P B is the ratio of the magnitude of the negative pressure to the positive pressure during the bubble collapse, where P B > 0 . In Equation (13), the second term on the left-hand side is P B , and if P B 1 , then R 2 / R m a x can be regarded as approximately 1. That is, the time t 1 required for R 2 and the time T α to reach the maximum bubble radius are approximately equal. Therefore, if P B 1 , then T α / T β and T β / T D can be obtained from Equation (16):
T α T β 1.34 P A 1 P B P B + 1 3 ; T β T D = 1 T α / T β + 1 ;
Equation (15) shows that T β / T D depends only on P B when there is no gradient region in the pressure fluctuation ( P A = 1.0 ). In addition, for P A > 1.0 , T β / T D is determined only by the values of p 0 , p 1 , p 2 , and p v . Hence, it is possible to predict T β / T D using Equation (16).
To verify its accuracy, Equation (16) was compared with the results of a theoretical investigation using Keller’s equation, as presented in Equation (1) and shown in Figure 10. There was a tendency for T β / T D to increase with an increasing value of P B . This P B dependence was observed in both the theoretical results and Equation (16). Moreover, the difference between the two values increases with an increasing value of P B owing to the approximation used to derive Equation (16). That is, the larger P B becomes, the more difficult it becomes to consider t 1 T α . Furthermore, T β / T D tended to decrease with an increasing value of P A . Furthermore, the difference between Equation (16) and the theoretical results both tended to increase as P A increased owing to the increasing influence of the second term on the right side of Equation (10). Therefore, to accurately determine T β / T D from Equation (16), both P A and P B should be small. Hence, Figure 10 shows that the prediction is likely to be acceptable as a simplified approach within the ranges of 0.01 < P B < 1.0 and 1.0 < P A < 2.0 . The actual T β / T D measured in this experiment is plotted using black dots in Figure 10. In the experiment, P A and p 2 were set to 1.20 and 0.2 MPa, respectively, based on the results of the analysis in Figure 8 and Figure 9. Slight differences were observed between the experimental values and those predicted using Equation (16) owing to the complex variations in the pressure fluctuations resulting from the interactions between the wall and bubbles as well as interactions among the surrounding bubbles. Therefore, these effects should be investigated in future studies.
Next, we considered the case in which Equation (16) is applied to an actual mercury target vessel. The value of p 1 is important to uniquely determine P B , as p 2 > 0.1 MPa is estimated through a numerical simulation that considers the operational conditions in the target [27]. The value of p1 was found to be approximately −0.03 MPa for the MIMTM used in this experiment [28], and the numerically estimated value on the mercury target p 1 was −0.025 MPa. These values predict that P B < 0.3 for the mercury target vessel. Moreover, P A is expected to be P A < 1.2 , with a smaller gradient region in the mercury target vessel than in the MIMTM [29]. These two facts suggest that the cavitation bubble behavior in a mercury target vessel can be evaluated quickly and easily via the in situ measurement of the time response waveform of the vibration using Equation (16).

6. Conclusions

The estimation of cavitation damage in a fluid–structure system, for example, the J-PARC mercury target for a neutron source, is important from the perspectives of structural integrity and long-term stable operation. In this study, we focused on the maximum radius of cavitation bubbles associated with the aggression of cavitation. We conducted a basic study using a simplified approach to evaluate the maximum radius using time information regarding the pressure imposed on the liquid. The following conclusions were drawn.
  • The correlation between the measured pressure fluctuations and vibration acceleration waveform of the vessel was experimentally determined by observing the mercury bubble behavior, bubble growth, and collapse behavior.
  • The dynamic contact angle is an important parameter for understanding the dynamics of bubbles with spherical cap shapes in contact with a solid wall. The experimentally measured behavior of bubbles formed at an interface between a liquid and a solid was investigated based on the Keller–Miksis equation, considering wettability. The derivation of the dynamic contact angle and its time variation were discussed as inverse problems.
  • The size of the cavitation bubbles is an indicator that can be used to define the aggressivity, as it is associated with the time T β . The simple approach was proposed to quantitatively estimate T β based on the Keller–Miksis equation combined with the experimentally measured or numerically predicted pressure fluctuations.
These facts suggest that the cavitation bubble behavior in a mercury target vessel can be evaluated quickly and easily via the in situ measurement of the time response waveform of the vibration. First, time information T D is obtained from container vibration and acoustic data, etc. Next, T β is estimated from T D using the relationship in Equation (16). Finally, the maximum bubble radius R m a x is estimated from T β using a linear relationship. This method is expected to be useful with global applicability for evaluating cavitation damage and intensity.

Author Contributions

Conceptualization, H.K. (Hiroyuki Kawashima), H.K. (Hiroyuki Kogawa) and M.F.; methodology, H.K. (Hiroyuki Kawashima); software, H.K. (Hiroyuki Kawashima); validation, H.K. (Hiroyuki Kawashima), H.K. (Hiroyuki Kogawa) and M.F.; formal analysis, H.K. (Hiroyuki Kawashima); investigation, H.K. (Hiroyuki Kawashima), H.K. (Hiroyuki Kogawa) and M.F.; resources, M.F. and N.T.; data curation, H.K. (Hiroyuki Kawashima); writing—original draft preparation, H.K. (Hiroyuki Kawashima); writing—review and editing, M.F. and N.T.; visualization, H.K. (Hiroyuki Kawashima); supervision, H.K. (Hiroyuki Kawashima); project administration, H.K. (Hiroyuki Kawashima); funding acquisition, H.K. (Hiroyuki Kawashima) and N.T. All authors have read and agreed to the published version of the manuscript.

Funding

This work was supported by the Japan Science and Technology Agency and the establishment of university fellowships for the creation of science and technology innovation (Grant Number JPMJFS2105).

Data Availability Statement

Data are contained within the article.

Conflicts of Interest

The funders had no role in the design of the study; in the collection, analyses, or interpretation of data; in the writing of the manuscript; or in the decision to publish the results.

References

  1. Jian, W.; Petkovšek, M.; Houlin, L.; Širok, B.; Dular, M. Combined Numerical and Experimental Investigation of the Cavitation Erosion Process. J. Fluids Eng. 2015, 137, 051302. [Google Scholar] [CrossRef]
  2. Zheng, R.; Zhao, X.; Dong, L.; Liu, G.; Huang, Y.; Xu, Y. On the Cavitation Erosion-Corrosion of Pipeline Steel at Different Locations of Venturi Pipe. Eng. Fail. Anal. 2022, 138, 106333. [Google Scholar] [CrossRef]
  3. Zharkovskii, A.; Svoboda, D.; Borshchev, I.; Klyuyev, A.; Ivanov, E.; Shutsky, S. Axial-Flow Pump with Enhanced Cavitation Erosion Resistance. Energies 2023, 16, 1344. [Google Scholar] [CrossRef]
  4. Spallation Neutron Source|Neutron Science at ORNL. Available online: https://neutrons.ornl.gov/sns (accessed on 16 October 2024).
  5. J-PARC MLF (Materials and Life Science Experimental Facility). Available online: https://mlfinfo.jp/en/ (accessed on 16 October 2024).
  6. Futakawa, M.; Naoe, T.; Kogawa, H.; Tsai, C.-C.; Ikeda, Y. Pitting Damage Formation up to over 10 Million Cycles: Off-Line Test by MIMTM. J. Nucl. Sci. Technol. 2003, 40, 895–904. [Google Scholar] [CrossRef]
  7. McClintock, D.A.; Riemer, B.W.; Ferguson, P.D.; Carroll, A.J.; Dayton, M.J. Initial Observations of Cavitation-Induced Erosion of Liquid Metal Spallation Target Vessels at the Spallation Neutron Source. J. Nucl. Mater. 2012, 431, 147–159. [Google Scholar] [CrossRef]
  8. Futakawa, M.; Naoe, T.; Tsai, C.C.; Kogawa, H.; Ishikura, S.; Ikeda, Y.; Soyama, H.; Date, H. Pitting Damage by Pressure Waves in a Mercury Target. J. Nucl. Mater. 2005, 343, 70–80. [Google Scholar] [CrossRef]
  9. Reuter, F.; Gonzalez-Avila, S.R.; Mettin, R.; Ohl, C.-D. Flow Fields and Vortex Dynamics of Bubbles Collapsing near a Solid Boundary. Phys. Rev. Fluids 2017, 2, 064202. [Google Scholar] [CrossRef]
  10. Huang, J.; Wang, J.; Huang, J.; Lv, P.; Li, H.; Wang, Y. Effects of Wall Wettability on Vortex Flows Induced by Collapses of Cavitation Bubbles: A Numerical Study. Phys. Fluids 2023, 35, 087122. [Google Scholar] [CrossRef]
  11. Gonzalez-Avila, S.R.; Nguyen, D.M.; Arunachalam, S.; Domingues, E.M.; Mishra, H.; Ohl, C.-D. Mitigating Cavitation Erosion Using Biomimetic Gas-Entrapping Microtextured Surfaces (GEMS). Sci. Adv. 2020, 6, eaax6192. [Google Scholar] [CrossRef]
  12. Sun, Y.; Yao, Z.; Wen, H.; Zhong, Q.; Wang, F. Cavitation Bubble Collapse in a Vicinity of a Rigid Wall with a Gas Entrapping Hole. Phys. Fluids 2022, 34, 073314. [Google Scholar] [CrossRef]
  13. Isselin, J.-C.; Alloncle, A.-P.; Autric, M. On Laser Induced Single Bubble near a Solid Boundary: Contribution to the Understanding of Erosion Phenomena. J. Appl. Phys. 1998, 84, 5766–5771. [Google Scholar] [CrossRef]
  14. Soyama, H. Laser Cavitation Peening and Its Application for Improving the Fatigue Strength of Welded Parts. Metals 2021, 11, 531. [Google Scholar] [CrossRef]
  15. Philipp, A.; Lauterborn, W. Cavitation Erosion by Single Laser-Produced Bubbles. J. Fluid Mech. 1998, 361, 75–116. [Google Scholar] [CrossRef]
  16. Wakui, T.; Takagishi, Y.; Futakawa, M. Study on Cavitation Damage Evolution influenced by Input Power. J. Soc. Mater. Sci. Jpn. 2024, 73, 520–526. [Google Scholar] [CrossRef]
  17. Shima, A.; Takayama, K.; Tomita, Y.; Miura, N. An Experimental Study on Effects of a Solid Wall on the Motion of Bubbles and Shock Waves in Bubble Collapse. Acustica 1981, 48, 293–301. [Google Scholar]
  18. Kogawa, H.; Naoe, T.; Kyotoh, H.; Haga, K.; Kinoshita, H.; Futakawa, M. Development of Microbubble Generator for Suppression of Pressure Waves in Mercury Target of Spallation Source. J. Nucl. Sci. Technol. 2015, 52, 1461–1469. [Google Scholar] [CrossRef]
  19. Kawashima, H.; Kogawa, H.; Futakawa, M.; Tanaka, N. Local Impact Estimation Method Based on Time Information of the Bubble Growth and Collapse Behavior. J. Jpn. Soc. Exp. Mech. 2024, 24, 134–140. (In Japanese) [Google Scholar]
  20. Naoe, T.; Kogawa, H.; Wakui, T.; Teshigawara, M.; Haga, K.; Futakawa, M. Pressure Wave Induced Sound Measurement for Diagnosing the Operation Status of the J-PARC Pulsed Spallation Neutron Source. Nucl. Instrum. Methods Phys. Res. Sect. A Accel. Spectrometers Detect. Assoc. Equip. 2020, 982, 164566. [Google Scholar] [CrossRef]
  21. Keller, J.B.; Kolodner, I.I. Damping of Underwater Explosion Bubble Oscillations. J. Appl. Phys. 1956, 27, 1152–1161. [Google Scholar] [CrossRef]
  22. Stoer, J.; Bulirsch, R. Introduction to Numerical Analysis; Texts in Applied Mathematics; Springer: New York, NY, USA, 2002; Volume 12, ISBN 978-1-4419-3006-4. [Google Scholar]
  23. Ardron, K.H.; Giustini, G.; Walker, S.P. Prediction of Dynamic Contact Angles and Bubble Departure Diameters in Pool Boiling Using Equilibrium Thermodynamics. Int. J. Heat Mass Transf. 2017, 114, 1274–1294. [Google Scholar] [CrossRef]
  24. Fowkes, F.M. Additivity of Intermolecular Forces at Interfaces. I. Determination of The Contribution to Surface and Interfacial Tensions of Dispersion Forces in Various Liquids. J. Phys. Chem. 1963, 67, 2538–2541. [Google Scholar] [CrossRef]
  25. Ellison, A.H.; Klemm, R.B.; Schwartz, A.M.; Grubb, L.S.; Petrash, D.A. Contact Angles of Mercury on Various Surfaces and the Effect of Temperature. J. Chem. Eng. Data 1967, 12, 607–609. [Google Scholar] [CrossRef]
  26. Rayleigh, L. On the Pressure Developed in a Liquid during the Collapse of a Spherical Cavity. Philos. Mag. Series 6 1917, 34, 94–98. [Google Scholar] [CrossRef]
  27. Kogawa, H.; Naoe, T.; Futakawa, M.; Haga, K.; Wakui, T.; Harada, M.; Takada, H. Mitigation Technologies for Damage Induced by Pressure Waves in High-Power Mercury Spallation Neutron Sources (IV)—Measurement of Pressure Wave Response and Microbubble Effect on Mitigation in Mercury Target at J-PARC. J. Nucl. Sci. Technol. 2017, 54, 733–741. [Google Scholar] [CrossRef]
  28. Ida, M.; Naoe, T.; Futakawa, M. Suppression of Cavitation Inception by Gas Bubble Injection: A Numerical Study Focusing on Bubble-Bubble Interaction. Phys. Rev. E 2007, 76, 046309. [Google Scholar] [CrossRef]
  29. Futakawa, M.; Wakui, T.; Kogawa, H.; Ikeda, Y. Pressure Wave Issues in High Power Mercury Target. Nucl. Instrum. Methods Phys. Res. Sect. A Accel. Spectrometers Detect. Assoc. Equip. 2006, 562, 676–679. [Google Scholar] [CrossRef]
Figure 1. Schematic of the experimental setup.
Figure 1. Schematic of the experimental setup.
Fluids 09 00289 g001
Figure 2. Schematic of the cavitation visualization setup.
Figure 2. Schematic of the cavitation visualization setup.
Fluids 09 00289 g002
Figure 3. Visualization results of cavitation bubble behavior in the MIMTM.
Figure 3. Visualization results of cavitation bubble behavior in the MIMTM.
Fluids 09 00289 g003
Figure 4. Measurements of (a) bubble radius, (b) striker acceleration response, and (c) mercury pressure response.
Figure 4. Measurements of (a) bubble radius, (b) striker acceleration response, and (c) mercury pressure response.
Fluids 09 00289 g004
Figure 5. Comparison of experimental and theoretical results.
Figure 5. Comparison of experimental and theoretical results.
Fluids 09 00289 g005
Figure 6. Results of the theoretical investigation of bubble behavior, considering a dynamic contact angle: (a) time evolution of the bubble radius, (b) time evolution of the contact angle, and (c) schematic of the predicted bubble behavior.
Figure 6. Results of the theoretical investigation of bubble behavior, considering a dynamic contact angle: (a) time evolution of the bubble radius, (b) time evolution of the contact angle, and (c) schematic of the predicted bubble behavior.
Fluids 09 00289 g006
Figure 7. Trapezoidal pressure profile model used in the theoretical investigation.
Figure 7. Trapezoidal pressure profile model used in the theoretical investigation.
Fluids 09 00289 g007
Figure 8. Comparison of the experimental and trapezoidal pressure distribution models.
Figure 8. Comparison of the experimental and trapezoidal pressure distribution models.
Fluids 09 00289 g008
Figure 9. Comparison of bubble behavior between the experimental and trapezoidal pressure profiles.
Figure 9. Comparison of bubble behavior between the experimental and trapezoidal pressure profiles.
Fluids 09 00289 g009
Figure 10. Relationships between P A , P B , and T β / T D .
Figure 10. Relationships between P A , P B , and T β / T D .
Fluids 09 00289 g010
Table 1. Physical properties of mercury.
Table 1. Physical properties of mercury.
Mercury (298 K)
Density (kg/m3)13,500
Saturated vapor pressure (Pa)0.16
Surface tension (N/m)0.4855
Sound speed (m/s)1400
Viscosity (Pa · s)1.49 × 10−3
Disclaimer/Publisher’s Note: The statements, opinions and data contained in all publications are solely those of the individual author(s) and contributor(s) and not of MDPI and/or the editor(s). MDPI and/or the editor(s) disclaim responsibility for any injury to people or property resulting from any ideas, methods, instructions or products referred to in the content.

Share and Cite

MDPI and ACS Style

Kawashima, H.; Kogawa, H.; Futakawa, M.; Tanaka, N. Simplified Approach to Evaluate Cavitation Intensity Based on Time Information on Imposed Pressure in Liquid. Fluids 2024, 9, 289. https://doi.org/10.3390/fluids9120289

AMA Style

Kawashima H, Kogawa H, Futakawa M, Tanaka N. Simplified Approach to Evaluate Cavitation Intensity Based on Time Information on Imposed Pressure in Liquid. Fluids. 2024; 9(12):289. https://doi.org/10.3390/fluids9120289

Chicago/Turabian Style

Kawashima, Hiroyuki, Hiroyuki Kogawa, Masatoshi Futakawa, and Nobuatsu Tanaka. 2024. "Simplified Approach to Evaluate Cavitation Intensity Based on Time Information on Imposed Pressure in Liquid" Fluids 9, no. 12: 289. https://doi.org/10.3390/fluids9120289

APA Style

Kawashima, H., Kogawa, H., Futakawa, M., & Tanaka, N. (2024). Simplified Approach to Evaluate Cavitation Intensity Based on Time Information on Imposed Pressure in Liquid. Fluids, 9(12), 289. https://doi.org/10.3390/fluids9120289

Article Metrics

Back to TopTop