Modal Representation of Inertial Effects in Fluid–Particle Interactions and the Regularity of the Memory Kernels
Abstract
1. Introduction
2. Fluid–Particle Interactions and Inertial Effects
- A computational issue, as the presence of a convolution in the equations of motion implies that the entire history of over the time interval should be stored in order to evaluate it;
- An analytical issue, associated with the singularity of the Basset kernel at ;
- A physical issue, related to the determination of the stochastic force , in the case that inertial effects are accounted for.
3. Modal Representation
3.1. Diffusional Field Representation
3.2. A Numerical Case Study
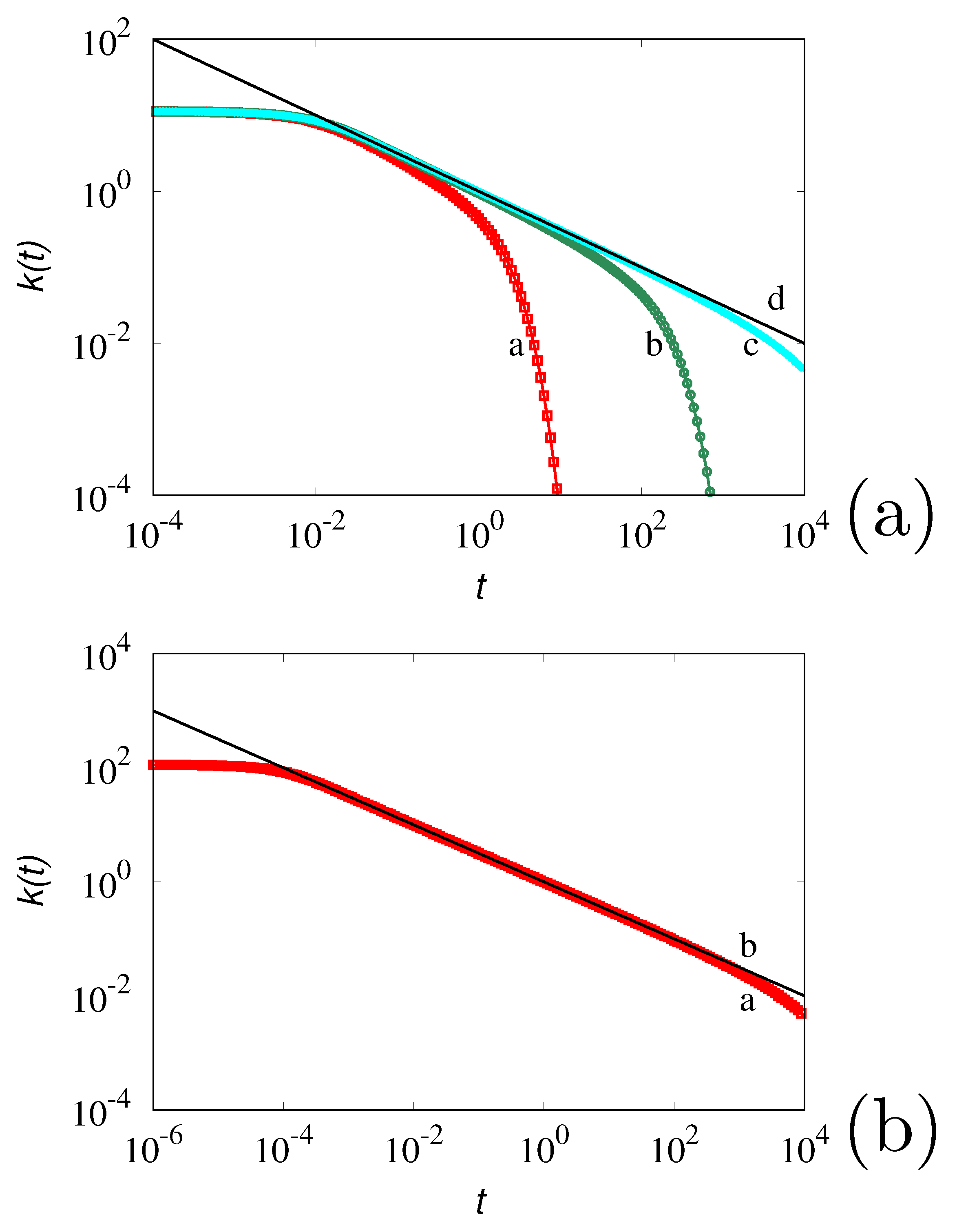
4. Regularity of Inertial Kernels
4.1. Field-Theoretical Analysis
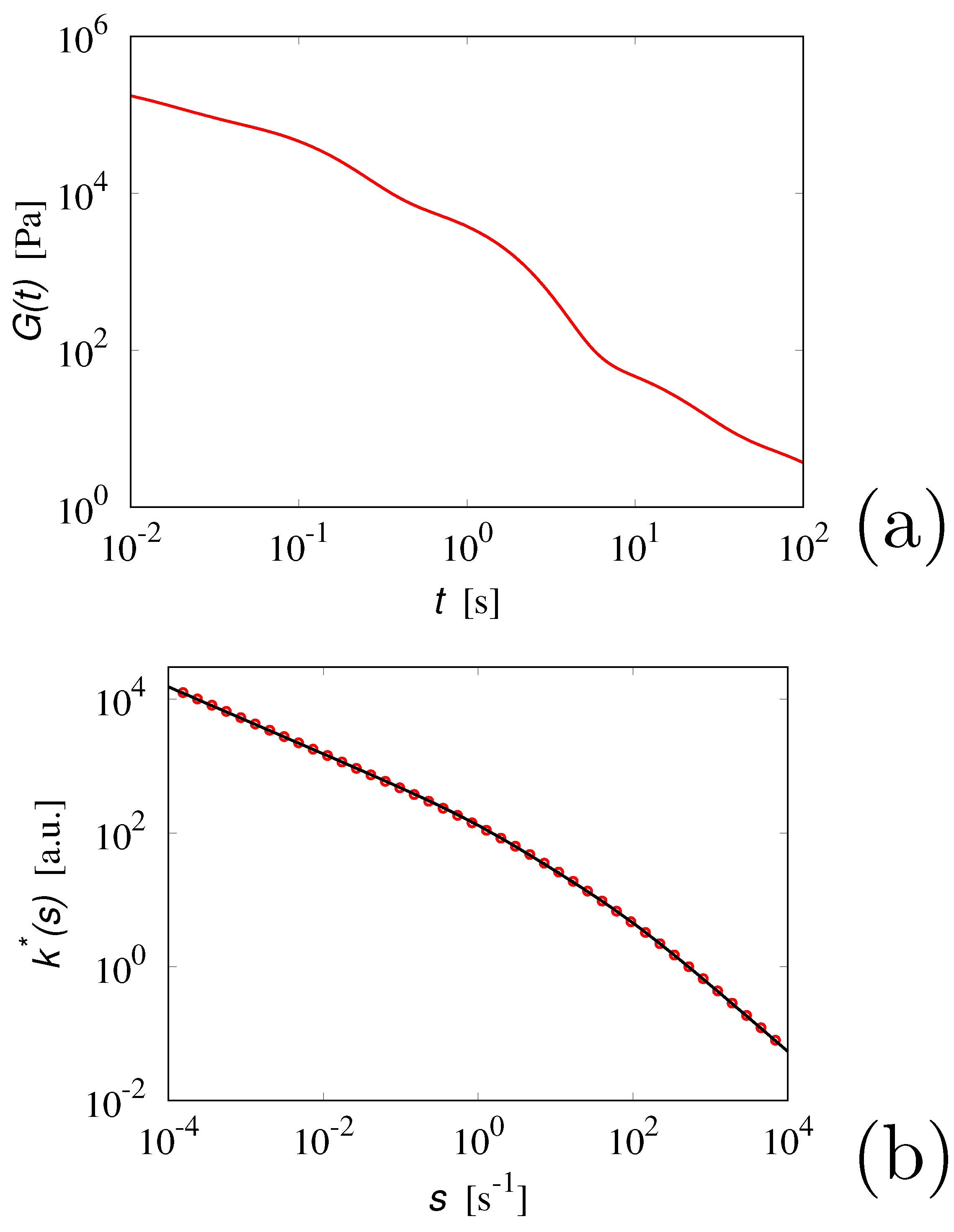
4.2. Extension to Complex Fluids
- Enforcing the constitutive model Equation (49), corresponding to the rheological description of a complex viscoelastic fluid, it is possible to derive the functional form of the fluid inertial kernel from rheological data, i.e., from the functional form of ;
- The fluid inertial kernel can be expressed as linear combination of a few prototypical visco-inertial modes;
- The number of modes required to provide an accurate representation of does not necessarily coincide with the number N of dissipative (exponential) modes adopted for reconstructing .
4.3. Toward a Comprehensive Theory of Brownian Motion
5. Concluding Remarks
Author Contributions
Funding
Data Availability Statement
Conflicts of Interest
References
- Sackmann, E.K.; Fulton, A.L.; Beebe, D.J. The present and future role of microfluidics in biomedical research. Nature 2014, 507, 181–189. [Google Scholar] [CrossRef] [PubMed]
- Guazzelli, E.; Morris, J.F. A Physical Introduction to Suspension Dynamics; Cambridge University Press: Cambridge, UK, 2012. [Google Scholar]
- Brenner, H.; Ganesan, V. Molecular wall effects: Are conditions at a boundary “boundary conditions”? Phys. Rev. E 2000, 61, 6879. [Google Scholar] [CrossRef] [PubMed]
- Ho, B.P.; Leal, L. Inertial migration of rigid spheres in two-dimensional unidirectional flows. J. Fluid Mech. 1974, 65, 365–400. [Google Scholar] [CrossRef]
- Procopio, G.; Giona, M. Stochastic Modeling of Particle Transport in Confined Geometries: Problems and Peculiarities. Fluids 2022, 7, 105. [Google Scholar] [CrossRef]
- Zwanzig, R.; Bixon, M. Compressibility effects in the hydrodynamic theory of Brownian motion. J. Fluid Mech. 1975, 69, 21–25. [Google Scholar] [CrossRef]
- Chow, T.S.; Hermans, J.J. Brownian motion of a spherical particle in a compressible fluid. Physica 1973, 65, 156–162. [Google Scholar] [CrossRef]
- Giona, M.; Procopio, G.; Adrover, A.; Mauri, R. New formulation of the Navier–Stokes equations for liquid flows. J. Non-Equilib. Thermodyn. 2022. [Google Scholar] [CrossRef]
- Lauga, E.; Brenner, M.; Stone, H. Microfluidics: The No-Slip Boundary Condition. In Springer Handbook of Experimental Fluid Mechanics; Tropea, C., Yarin, A.L., Foss, J.F., Eds.; Springer: Berlin/Heidelberg, Germany, 2007; pp. 1219–1240. [Google Scholar]
- Lauga, E.; Squires, T.M. Brownian motion near a partial-slip boundary: A local probe of the no-slip condition. Phys. Fluids 2005, 17, 103102. [Google Scholar] [CrossRef]
- Mo, J.; Simha, A.; Raizen, M.G. Brownian motion as a new probe of wettability. J. Chem. Phys. 2017, 146, 134707. [Google Scholar] [CrossRef]
- Giona, M.; Brasiello, A.; Crescitelli, S. Stochastic foundations of undulatory transport phenomena: Generalized Poisson–Kac processes—Part III extensions and applications to kinetic theory and transport. J. Phys. A 2017, 50, 335004. [Google Scholar] [CrossRef]
- Einstein, A. Investigations on the Theory of Brownian Movement; Dover Publ.: Mineola, NY, USA, 1956. [Google Scholar]
- Langevin, P. Sur la theorie du mouvement brownien. C. R. Acad. Sci. 1908, 146, 530–533. [Google Scholar]
- Cichocki, B. (Ed.) Marian Smoluchowski—Selected Scientific Works; WUW: Warsaw, Poland, 2017. [Google Scholar]
- Chandrasekhar, S. Stochastic problems in physics and astrophysics. Rev. Mod. Phys. 1943, 15, 1–89. [Google Scholar] [CrossRef]
- Frey, E.; Kroy, K. Brownian motion: A paradigm of soft matter and biological physics. Ann. Der Phys. 2005, 517, 20–50. [Google Scholar] [CrossRef]
- Bian, X.; Kim, C.; Karniadakis, G.E. 111 years of Brownian motion. Soft Matter 2016, 12, 6331–6346. [Google Scholar] [CrossRef]
- Mo, J.; Raizen, M.G. Highly resolved Brownian motion in space and in time. Annu. Rev. Fluid Mech. 2019, 51, 403–428. [Google Scholar] [CrossRef]
- Raizen, M.G.; Li, T. The measurement Einstein deemed impossible. Phys. Today 2016, 68, 56–57. [Google Scholar] [CrossRef]
- Huang, R.; Chavez, I.; Taute, K.M.; Lukic, B.; Jeney, S.; Raizen, M.G.; Florin, E.L. Direct observation of the full transition from ballistic to diffusive Brownian motion in a liquid. Nat. Phys. 2011, 7, 576–580. [Google Scholar] [CrossRef]
- Franosch, T.; Grimm, M.; Belushkin, M.; Mor, F.M.; Foffi, G.; Forró, L.; Jeney, S. Resonances arising from hydrodynamic memory in Brownian motion. Nature 2011, 478, 85–88. [Google Scholar] [CrossRef]
- Pusey, P.N. Brownian motion goes ballistic. Science 2011, 332, 802–803. [Google Scholar] [CrossRef]
- Kheifets, S.; Simha, A.; Melin, K.; Li, T.; Raizen, M.G. Observation of Brownian motion in liquids at short times: Instantaneous velocity and memory loss. Science 2014, 343, 1493–1496. [Google Scholar] [CrossRef]
- Grimm, M.; Jeney, S.; Franosch, T. Brownian motion in a Maxwell fluid. Soft Matter 2011, 7, 2076–2084. [Google Scholar] [CrossRef]
- Zwanzig, R.; Bixon, M. Hydrodynamic theory of the velocity correlation function. Phys. Rev. A 1970, 2, 2005. [Google Scholar] [CrossRef]
- Widom, A. Velocity fluctuations of a hard-core Brownian particle. Phys. Rev. A 1971, 3, 1394. [Google Scholar] [CrossRef]
- Burgess, R.E. Brownian motion and the equipartition theorem. Phys. Lett. A 1973, 42, 395–396. [Google Scholar] [CrossRef]
- Mo, J.; Simha, A.; Kheifets, S.; Raizen, M.G. Testing the Maxwell-Boltzmann distribution using Brownian particles. Opt. Express 2015, 23, 1888–1893. [Google Scholar] [CrossRef] [PubMed]
- Darwin, C. Note on hydrodynamics. Math. Proc. Camb. Phil. Soc. 1953, 49, 342–354. [Google Scholar] [CrossRef]
- Landau, L.D.; Lifshitz, E.M. Fluid Mechanics; Pergamon Press: Oxford, UK, 1993. [Google Scholar]
- Kubo, R.; Toda, M.; Hashitsume, N. Statistical Physics II—Nonequilibrium Statistical Mechanics; Springer: Berlin/Heidelberg, Germany, 1991. [Google Scholar]
- Makosko, C.W. Rheology—Principles, Measurements, and Applications; Wiley-VCH: New York, NY, USA, 1994. [Google Scholar]
- Zwanzig, R. Memory Effects in Irreversible Thermodynamics. Phys. Rev. 1961, 124, 983–992. [Google Scholar] [CrossRef]
- Mori, H. Transport, Collective Motion, and Brownian Motion. Prog. Theor. Phys. 1965, 33, 423–455. [Google Scholar] [CrossRef]
- Zwanzig, R. Nonlinear Generalized Langevin Equations. J. Stat. Phys. 1973, 9, 215–220. [Google Scholar] [CrossRef]
- Kubo, R. The fluctuation-dissipation theorem. Rep. Prog. Phys. 1966, 29, 255–284. [Google Scholar] [CrossRef]
- Alder, B.J.; Wainwright, T.E. Decay of the Velocity Autocorrelation Function. Phys. Rev. A 1970, 1, 18–21. [Google Scholar] [CrossRef]
- D’Avino, G.; Maffettone, P.L. Particle dynamics in viscoelastic liquids. Non-Newton. Fluid Mech. 2015, 215, 80–104. [Google Scholar] [CrossRef]
- D’Avino, G.; Greco, F.; Maffettone, P.L. Particle Migration due to Viscoelasticity of the Suspending Liquid and Its Relevance in Microfluidic Devices. Annu. Rev. Fluid Mech. 2017, 49, 341–360. [Google Scholar] [CrossRef]
- Segré, S.; Silberberg, A. Radial particle displacements in Poiseuille flow of suspensions. Nature 1961, 189, 209–220. [Google Scholar] [CrossRef]
- Ho, B.P.; Leal, L.G. Migration of rigid spheres in a two-dimensional unidirectional shear flow of a second-order fluid. J. Fluid Mech. 1976, 76, 783–799. [Google Scholar] [CrossRef]
- Provencher-Langlois, G.; Farazmand, M.; Haller, G. Asymptotic dynamics of inertial particles with memory. J. Nonlinear Sci. 2015, 25, 1225–1255. [Google Scholar] [CrossRef]
- Parmar, M.; Annamalai, S.; Balachandar, S.; Prosperetti, A. Differential formulation of the viscous history force on a particle for efficient and accurate computation. J. Fluid Mech. 2018, 844, 970–993. [Google Scholar] [CrossRef]
- Prasath, S.G.; Vasan, V.; Govindarajan, R. Accurate solution method for the Maxey–Riley equation, and the effects of Basset history. J. Fluid Mech. 2019, 868, 428–460. [Google Scholar] [CrossRef]
- Maxey, M.R.; Riley, J.J. Equation of motion for a small rigid sphere in a nonuniform flow. Phys. Fluids 1983, 26, 883–889. [Google Scholar] [CrossRef]
- Haller, G. Solving the inertial particle equation with memory. J. Fluid Mech. 2019, 874, 1–4. [Google Scholar] [CrossRef]
- Kim, S.; Karrila, S.J. Microhydrodynamics—Principles and Selected Applications; Dover Publ.: Mineola, NY, USA, 2005. [Google Scholar]
- Happel, J.; Brenner, H. Low Reynolds Number Hydrodynamics: With Special Applications to Particulate Media; Martinus Nijhoff: The Hague, The Netherlands, 1983. [Google Scholar]
- Mazur, P.; Bedeaux, D. Causality, time-reversal invariance and the Langevin equation. Phys. A 1991, 173, 155–174. [Google Scholar] [CrossRef]
- Bedeaux, D.; Mazur, P. Brownian motion and fluctuating hydrodynamics. Physica 1974, 76, 247–258. [Google Scholar] [CrossRef]
- Giona, M. Generalized Poisson-Kac Processes and the regularity of laws of nature. Acta Phys. Pol. B 2019, 49, 827–857. [Google Scholar] [CrossRef]
- Cunsolo, A.; Ruocco, G.; Sette, F.; Masciovecchio, C.; Mermet, A.; Monaco, G.; Sampoli, M.; Verbeni, R. Experimental Determination of the Structural Relaxation in Liquid Water. Phys. Rev. Lett. 1999, 82, 775–778. [Google Scholar] [CrossRef]
- O’Sullivan, T.J.; Kannam, S.K.; Chakraborty, D.; Todd, B.D.; Sader, J.E. Viscoelasticity of liquid water investigated using molecular dynamics simulations. Phys. Rev. Fluids 2019, 4, 123302. [Google Scholar] [CrossRef]
- Gatignol, R. On the history term of Boussinesq–Basset when the viscous fluid slips on the particle. Comptes Rendus Mec. 2007, 335, 606–616. [Google Scholar] [CrossRef]
- Premlata, A.R.; Wei, H.-H. The Basset problem with dynamic slip: Slip-induced memory effect and slip–stick transition. J. Fluid Mech. 2019, 866, 431–449. [Google Scholar] [CrossRef]
- Premlata, A.R.; Wei, H.-H. Atypical non-Basset particle dynamics due to hydrodynamic slip. Phys. Fluids 2020, 32, 097109. [Google Scholar] [CrossRef]
- Polyanin, A.D. Handbook of Linear Partial Differential Equations for Engineers and Scientists; Chapman & Hall/CRC: Boca Raton, FL, USA, 2002. [Google Scholar]
- Oldham, K.J.; Spanier, J. The Fractional Calculus; Dover Publ.: Mineola, NY, USA, 2006. [Google Scholar]
- Giona, M.; Procopio, G.; Klages, R. Relativistic Hydrodynamics; La Sapienza University: Roma, Italy, 2023; (manuscript in preparation). [Google Scholar]
- Rezzola, O.; Zanotti, O. Relativistic Hydrodynamics; Oxford University Press: Oxford, UK, 2013. [Google Scholar]




Disclaimer/Publisher’s Note: The statements, opinions and data contained in all publications are solely those of the individual author(s) and contributor(s) and not of MDPI and/or the editor(s). MDPI and/or the editor(s) disclaim responsibility for any injury to people or property resulting from any ideas, methods, instructions or products referred to in the content. |
© 2023 by the authors. Licensee MDPI, Basel, Switzerland. This article is an open access article distributed under the terms and conditions of the Creative Commons Attribution (CC BY) license (https://creativecommons.org/licenses/by/4.0/).
Share and Cite
Procopio, G.; Giona, M. Modal Representation of Inertial Effects in Fluid–Particle Interactions and the Regularity of the Memory Kernels. Fluids 2023, 8, 84. https://doi.org/10.3390/fluids8030084
Procopio G, Giona M. Modal Representation of Inertial Effects in Fluid–Particle Interactions and the Regularity of the Memory Kernels. Fluids. 2023; 8(3):84. https://doi.org/10.3390/fluids8030084
Chicago/Turabian StyleProcopio, Giuseppe, and Massimiliano Giona. 2023. "Modal Representation of Inertial Effects in Fluid–Particle Interactions and the Regularity of the Memory Kernels" Fluids 8, no. 3: 84. https://doi.org/10.3390/fluids8030084
APA StyleProcopio, G., & Giona, M. (2023). Modal Representation of Inertial Effects in Fluid–Particle Interactions and the Regularity of the Memory Kernels. Fluids, 8(3), 84. https://doi.org/10.3390/fluids8030084

