Hydrodynamic Characteristics of Two Side-by-Side Cylinders at a Pitch Ratio of 2 at Low Subcritical Reynolds Numbers
Abstract
1. Introduction
2. Materials and Methods
2.1. Governing Equations
2.2. Computational Domain, Boundary Conditions, and Mesh Dependence
3. Results and Discussion
3.1. Stagnation (θEst) and Detached (δSep) Angles
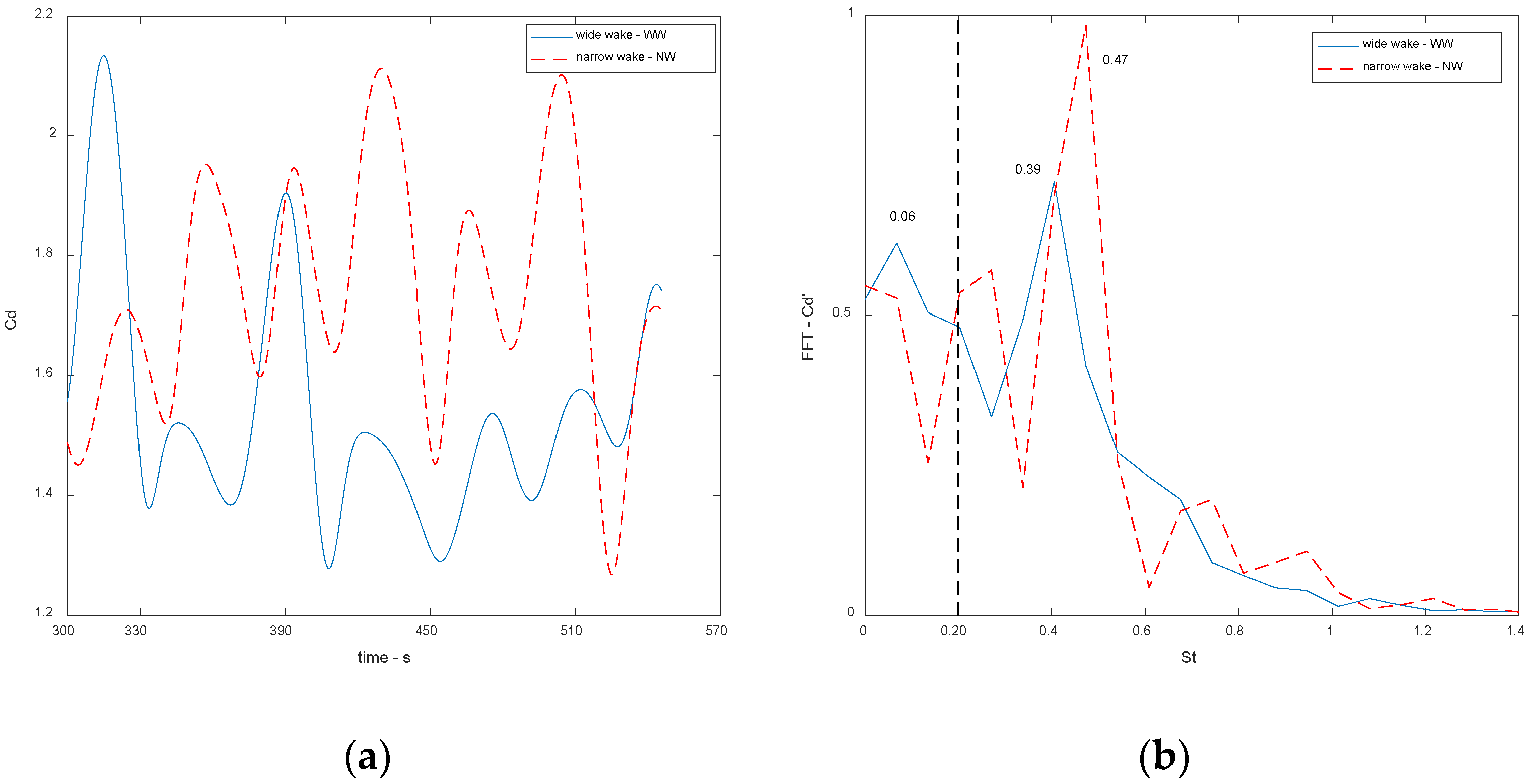
3.2. The Drag Coefficients and the Wake Interactions
4. Concluding Remarks
Author Contributions
Funding
Informed Consent Statement
Data Availability Statement
Acknowledgments
Conflicts of Interest
References
- Grimison, E.D. Correlation and Utilization of New Data on Flow Resistence and Heat Transfer for Cross Flow of Gases Over Tube Banks; Transactions: Process Industries Division; American Society of Mechanical Engineers: New York, NY, USA, 1937; pp. 583–594. [Google Scholar]
- Wiemer, P. Untersuchung Über den Zugwiederstand Von Wasserrohrkesseln, Dissertation; RWTH: Aachen, Germany, 1937. [Google Scholar]
- Žukauskas, A.A. Heat transfer from tubes in crossflow. In Advances in Heat Transfer; Elsevier: Amsterdam, The Netherlands, 1972; Volume 8, pp. 93–160. [Google Scholar]
- Žukauskas, A.A.; Katinas, V.J.; Perednis, E.E.; Sobolev, V.A. Viscous flow over inclined in-line tube bundles, and vibrations induced in the latter. Fluid Mech. Sov. Res. 1980, 9, 1–12. [Google Scholar]
- Žukauskas, A.A.; Katinas, V.J. Fluid Dynamics forces on vibrating tubes of heat exchangers in cross flow. In International Symposium on Flow-Induced Vibration and Noise; ASME: Chicago, IL, USA, 1988; Volume 1, pp. 127–142. [Google Scholar]
- Derakhshandeh, J.F.; Alam, M.M. A review of bluff body wakes. Ocean Eng. 2019, 182, 475–488. [Google Scholar] [CrossRef]
- Zdravkocich, M.M.; Pridden, D.L. Interference between two circular cylinders; series of unexpected discontinuities. J. Ind. Aerodyn. 1977, 2, 255–270. [Google Scholar] [CrossRef]
- Young, E.W.K.; Martinex, D.M.; Olso, J.A. The sedimentation of papermaking fibers. Am. Inst. Chem. Eng. 2006, 52, 2697–2706. [Google Scholar] [CrossRef]
- Ahmad, N.; Bihs, H.; Myrhaug, D.; Kamath, A.; Arntsen, O.A. Three-dimensional numerical modelling of wave-induced scour around piles in a side-by-side arrangement. Coast. Eng. 2018, 138, 132–151. [Google Scholar] [CrossRef]
- Alam, M.; Zhou, Y. Flow around two side-by-side closely spaced circular cylinders. J. Fluids Struct. 2007, 23, 799–805. [Google Scholar] [CrossRef]
- Alam, M.; Zheng, Q.; Hourigan, K. The wake and thrust by four side-by-side cylinders at a low Re. J. Fluids Struct. 2017, 70, 131–144. [Google Scholar] [CrossRef]
- Kim, S.; Alam, M.M. Characteristics and suppression of flow-induced vibrations of two side-by-side circular cylinders. J. Fluids Struct. 2015, 54, 629–642. [Google Scholar] [CrossRef]
- Shao, J.; Zhang, C. Large eddy simulations of the flow past two side-by-side circular cylinders. Int. J. Comput. Fluid Dyn. 2008, 22, 393–404. [Google Scholar] [CrossRef]
- Sumner, D. Two circular cylinders in cross-flow: A review. J. Fluids Struct. 2010, 26, 849–899. [Google Scholar] [CrossRef]
- Bearman, P.W.; Wadcok, A.J. The interaction between a pair for circular cylinders normal to a stream. J. Fluid Mech. 1973, 61, 499–511. [Google Scholar] [CrossRef]
- Meneghini, J.R.; Saltara, F.; Siqueira, C.; Ferrari, J. Numerical Simulation of Flow Interference between Two Circular Cylinders in Tandem and Side-by-Side Arrangements. J. Fluids Struct. 2001, 15, 327–350. [Google Scholar] [CrossRef]
- Olinto, C.R.; Indrusiak, M.L.S.; Endres, L.A.M.; Möller, S.V. Experimental study of the characteristics of the flow in the first rows of tube banks. Nucl. Eng. Des. 2009, 239, 2022–2034. [Google Scholar] [CrossRef]
- De Paula, A.V.; Endres, L.A.M.; Möller, S.V. Experimental study of the bistability in the wake behind three cylinders in triangular arrangement. J. Braz. Soc. Mech. Sci. Eng. 2013, 35, 163–176. [Google Scholar] [CrossRef]
- Neumeister, R.F.; Petry, A.P.; Möller, S.V. Characteristics of the wake formation and force distribution of the bistable flow on two cylinders side-by-side. J. Braz. Soc. Mech. Sci. Eng. 2018, 40, 564. [Google Scholar] [CrossRef]
- Alam, M.; Moriya, M.; Sakamoto, H. Aerodynamic characteristics of two side-by-side circular cylinders and application of wavelet analysis on the switching phenomenon. J. Fluids Struct. 2003, 18, 325–346. [Google Scholar] [CrossRef]
- Giacomello, M.V.; Rocha, L.A.; Schettini, E.B.; Silvestrini, J.H. Simulação numérica de escoamentos ao redor de cilindros com tranferência de calor. In Anais da 5ª Escola de Primevera de Transição e Turbulência; EPTT: Rio de Janeiro, Brasil, 2006; pp. 25–30. [Google Scholar]
- Kang, S. Characteristics of flow over two circular cylinders in a side-by-side arrangement at low Reynolds numbers. Phys. Fluid 2003, 15, 712–714. [Google Scholar] [CrossRef]
- Wang, Z.; Zhou, Y. Vortex interactions in a two side-by-side cylinder near-wake. Int. J. Heat Fluid Flow 2005, 26, 362–377. [Google Scholar] [CrossRef]
- Vila, J.L.; Gomes, T.F.; De Melo, T.; Goulart, J.N.V. Experimental measurements of pressure and velocity fields around circular cylinders arranged in pair. In Proceedings of the 25th International Congress of Mechanical Engineering—COBEM, Uberlândia, Brazil, 20–25 October 2019. [Google Scholar]
- Chen, W.; Ji, C.; Xu, D.; Srinil, N. Wake patterns of freely vibrating side-by-side circular cylinders in laminar flows. J. Fluids Struct. 2019, 89, 82–95. [Google Scholar] [CrossRef]
- Chen, W.; Ji, C.; Xu, D.; An, H.; Zhang, Z. Flow-induced vibrations of two side-by-side circular cylinders at low Reynolds numbers. Phys. Fluids 2020, 32, 023601. [Google Scholar] [CrossRef]
- Afgan, I.; Kahil, Y.; Benhamadouche, S.; Sagaut, P. Large eddy simulation of the flow around single and two side-by-side cylinders at subcritical Reynolds numbers. Phys. Fluids 2011, 23, 075101. [Google Scholar] [CrossRef]
- Menter, F.R. Two-equation eddy-viscosity turbulence models for engineering applications. AIAA J. 1994, 32, 1598–1605. [Google Scholar] [CrossRef]
- Candela, D.S.; Gomes, T.F.; Goulart, J.; Anflor, C.T.M. Numerical simulation of turbulent flow in an eccentric channel. Eur. J. Mech. B/Fluids 2020, 83, 86–98. [Google Scholar] [CrossRef]
- Goulart, J.; Wissink, J.G.; Wrobel, L.C. Numerical simulation of turbulent flow in a channel containing a small slot. Int. J. Heat Fluid Flow 2016, 61, 343–354. [Google Scholar] [CrossRef][Green Version]
- Achenbach, E. Distribution of local pressure and skin friction around a circular cylinder in cross-flow up to Re = 5 × 106. J. Fluid Mech. 1968, 34, 625–639. [Google Scholar] [CrossRef]
- Hensan, S.M.; Navid, N. Numerical simulation of flow over two side-by-side circular cylinders. J. Hydrodyn. 2011, 23, 792–805. [Google Scholar]
- Vu, H.C.; Ahn, J.; Hwang, J.H. Numerical simulation of flow past two circular cylinders in tandem and side-by-side arrangement at low Reynolds numbers. KSCE J. Civ. Eng. 2015, 20, 1594–1604. [Google Scholar] [CrossRef]
- White, F.M. Fluid Mchanics, 4th ed.; MacGraw-Hill: New York, NY, USA, 1999. [Google Scholar]
- Verma, P.L.; Govardhan, M. Flow behind bluff bodies inf side-by-side arrangement. J. Eng. Sci. Technol. 2011, 6, 745–768. [Google Scholar]
- Pang, J.H.; Zong, Z.; Zou, L.; Wang, Z. Numerical simulation of the flow around two side-by-side circular cylinders by IVCBC vortex method. Ocean. Eng. 2016, 119, 86–100. [Google Scholar] [CrossRef]









| θEst Upper | θEst Lower | δSep Upper | δSep Lower | Total Nodes | N° Divisions on Cylinders’ Surfaces | |||
|---|---|---|---|---|---|---|---|---|
| Afgan et al., 2011 | 353.7 | 8.1 | 83.8 | 262.1 | 99.8 | 276.3 | ---------- | ---------- | 
| Mesh 1 | 353.6 | 7.7 | 87.0 | 265.7 | 104.9 | 278.1 | 216,000 | 492 | 
| Mesh 2 | 353.6 | 7.7 | 85.5 | 263.5 | 101.7 | 277.3 | 235,000 | 504 | 
| Mesh 3 | 353.6 | 7.7 | 84.9 | 262.8 | 100.2 | 276.4 | 241,000 | 504 | 
| Red | θEst Upper | θEst Lower | δSep Upper | δSep Lower | ||
|---|---|---|---|---|---|---|
| 200 | 351.20 | 9.30 | 82.20 | 246.50 | 97.90 | 252.60 | 
| 1000 | 352.50 | 8.80 | 84.40 | 262.30 | 99.50 | 263.30 | 
| 3000 | 353.60 | 7.70 | 85.50 | 263.50 | 101.70 | 277.30 | 
| Publisher’s Note: MDPI stays neutral with regard to jurisdictional claims in published maps and institutional affiliations. | 
© 2022 by the authors. Licensee MDPI, Basel, Switzerland. This article is an open access article distributed under the terms and conditions of the Creative Commons Attribution (CC BY) license (https://creativecommons.org/licenses/by/4.0/).
Share and Cite
Gomes, T.; Goulart, J.; Anflor, C. Hydrodynamic Characteristics of Two Side-by-Side Cylinders at a Pitch Ratio of 2 at Low Subcritical Reynolds Numbers. Fluids 2022, 7, 287. https://doi.org/10.3390/fluids7090287
Gomes T, Goulart J, Anflor C. Hydrodynamic Characteristics of Two Side-by-Side Cylinders at a Pitch Ratio of 2 at Low Subcritical Reynolds Numbers. Fluids. 2022; 7(9):287. https://doi.org/10.3390/fluids7090287
Chicago/Turabian StyleGomes, Thiago, Jhon Goulart, and Carla Anflor. 2022. "Hydrodynamic Characteristics of Two Side-by-Side Cylinders at a Pitch Ratio of 2 at Low Subcritical Reynolds Numbers" Fluids 7, no. 9: 287. https://doi.org/10.3390/fluids7090287
APA StyleGomes, T., Goulart, J., & Anflor, C. (2022). Hydrodynamic Characteristics of Two Side-by-Side Cylinders at a Pitch Ratio of 2 at Low Subcritical Reynolds Numbers. Fluids, 7(9), 287. https://doi.org/10.3390/fluids7090287
 
        


 
       