Data-Driven Reduced-Order Modeling of Convective Heat Transfer in Porous Media
Abstract
:1. Introduction
2. Materials and Methods
2.1. Governing Equations and the Full-Order Model
2.2. Training Reduced-Order Models
- In this form, the two-equation ROM is not stable since the Ladyzhenskaya–Babuska–Brezzi (LBB) condition [46] is not necessarily satisfied. For this reason, an approximate supremizer stabilization [14,18] is used. This entails the generation of supremizer snapshots using the pressure snapshots by solving the following problem:The supremizer snapshots are collected in a snapshot matrix () and the corresponding basis functions are generated using the constrained SVD. Then, the velocity reduced subspace is augmented by these basis functions. In practice, this means that the supremizer basis vectors are appended to the velocity basis matrix: .
- The coefficients of the eddy viscosity and diffusivity are still unknown. The computation of these coefficients from reduced forms of eddy-viscosity models is not widely utilized by the fluid dynamics ROM community; therefore, a non-intrusive, data-based approach—Radial Basis Function (RBF) interpolation—was chosen in this work. The effectiveness of this method has been demonstrated in [19,20,21,34]. This approach interpolates coefficients and within the parameter space and time using the snapshots as anchor nodes.
- The coefficients of the flow resistances are still unknown. In this work, the Discrete Empirical Interpolation Method (DEIM) [47] is used for the determination of these models based on the coefficients of the Darcy velocity. This can be expressed as:where is a matrix that selects rows when applied to a vector. In this work, was constructed using the algorithm published in [47]. This method ensures that the evaluation of the flow resistance at reduced-order level is computationally efficient.
2.3. Evaluating Reduced-Order Models
3. Results
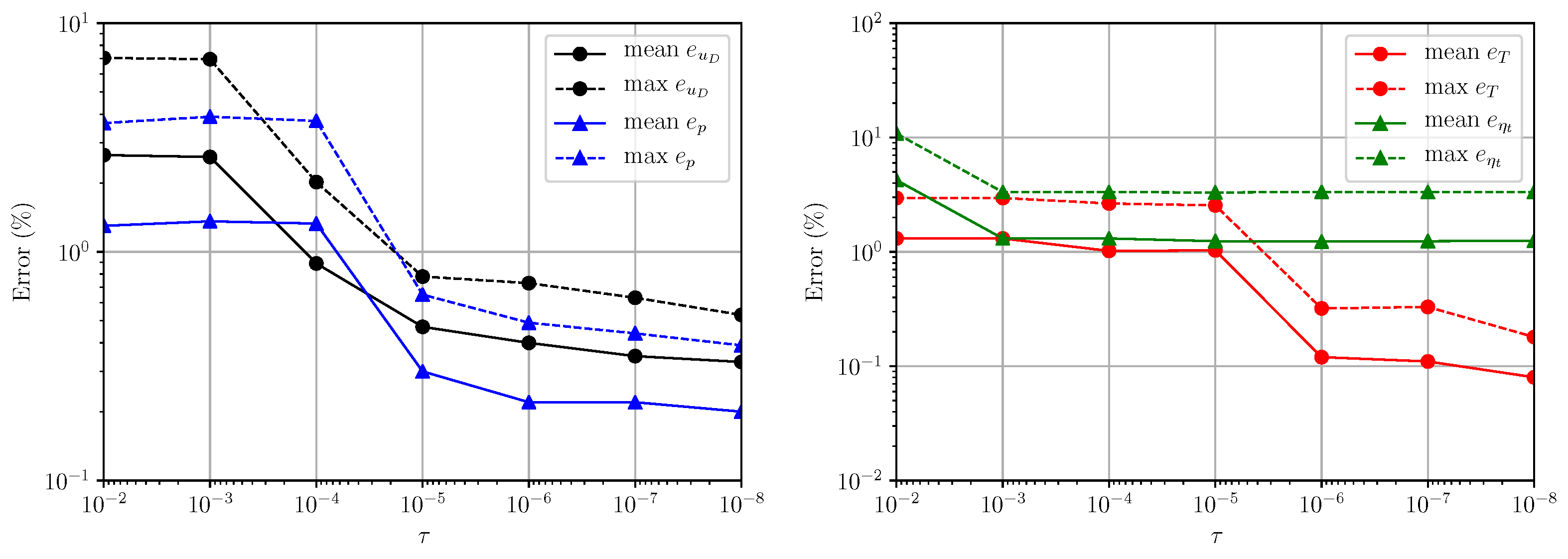
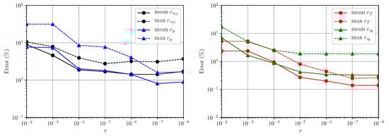
3.1. Reduced-Order Models for Steady-State Problems
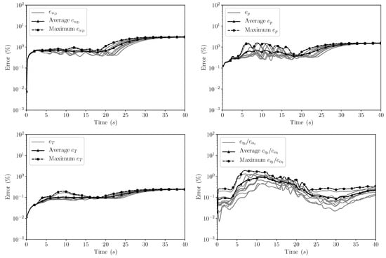
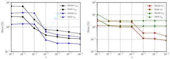
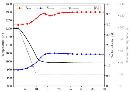
3.2. Reduced-Order Models for Transient Problems
4. Discussion
5. Conclusions
Author Contributions
Funding
Institutional Review Board Statement
Informed Consent Statement
Data Availability Statement
Conflicts of Interest
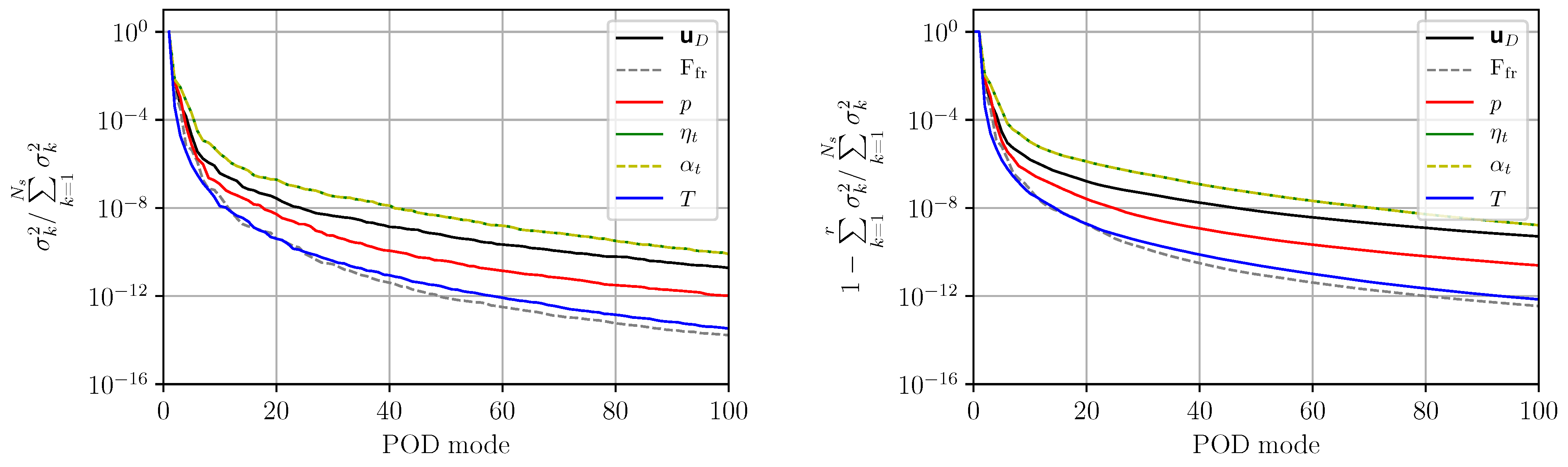
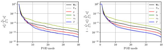
Appendix A. POD Modes of the Steady-State Problem



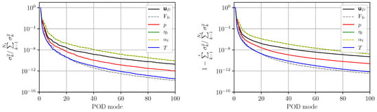
Appendix B. POD Modes of the Transient Problem



References
- Hu, R. A fully-implicit high-order system thermal-hydraulics model for advanced non-LWR safety analyses. Ann. Nucl. Energy 2017, 101, 174–181. [Google Scholar] [CrossRef] [Green Version]
- Hu, R.; Zou, L.; Hu, G.; Nunez, D.; Mui, T.; Fei, T. SAM Theory Manual; Technical Report; Argonne National Lab. (ANL): Argonne, IL, USA, 2021.
- Berry, R.A.; Peterson, J.W.; Zhang, H.; Martineau, R.C.; Zhao, H.; Zou, L.; Andrs, D.; Hansel, J. Relap-7 Theory Manual; Technical Report; Idaho National Lab. (INL): Idaho Falls, ID, USA, 2018.
- Plit, H.; Kontio, H.; Kantee, H.; Tuomisto, H. LBLOCA Analyses with APROS to Improve Safety and Performance of Loviisa NPP. In Proceedings of the OECD-CSNI workshop on Advanced Thermal-Hydraulic and Neutronic Codes, Barcelona, Spain, 10–13 April 2000. [Google Scholar]
- Costa, A.L.; Reis, P.A.L.; Pereira, C.; Veloso, M.A.F.; Mesquita, A.Z.; Soares, H.V. Thermal hydraulic analysis of the IPR-R1 TRIGA research reactor using a RELAP5 model. Nucl. Eng. Des. 2010, 240, 1487–1494. [Google Scholar] [CrossRef]
- Wu, P.; Gou, J.; Shan, J.; Jiang, Y.; Yang, J.; Zhang, B. Safety analysis code SCTRAN development for SCWR and its application to CGNPC SCWR. Ann. Nucl. Energy 2013, 56, 122–135. [Google Scholar] [CrossRef]
- Fiorina, C.; Clifford, I.; Aufiero, M.; Mikityuk, K. GeN-Foam: A novel OpenFOAM® based multi-physics solver for 2D/3D transient analysis of nuclear reactors. Nucl. Eng. Des. 2015, 294, 24–37. [Google Scholar] [CrossRef]
- Vafai, K. Handbook of Porous Media; CRC Press: Boca Raton, FL, USA, 2015. [Google Scholar]
- Clifford, I.D. A Hybrid Coarse and Fine Mesh Solution Method for Prismatic High Temperature Gas-Cooled Reactor Thermal-Fluid Analysis. Ph.D. Thesis, Pennsylvania State University, State College, PA, USA, 2013. [Google Scholar]
- Pearson, K. LIII. On lines and planes of closest fit to systems of points in space. Lond. Edinb. Dublin Philos. Mag. J. Sci. 1901, 2, 559–572. [Google Scholar] [CrossRef] [Green Version]
- Sirovich, L. Turbulence and the dynamics of coherent structures. III. Dynamics and scaling. Q. Appl. Math. 1987, 45, 583–590. [Google Scholar] [CrossRef] [Green Version]
- Hilberg, D.; Lazik, W.; Fiedler, H.E. The Application of Classical POD and Snapshot POD in a Turbulent Shear Layer with Periodic Structures. Appl. Sci. Res. 1994, 53, 283–290. [Google Scholar] [CrossRef]
- Pinnau, R. Model reduction via proper orthogonal decomposition. In Model Order Reduction: Theory, Research Aspects and Applications; Springer: Berlin/Heidelberg, Germany, 2008; pp. 95–109. [Google Scholar]
- Ballarin, F.; Manzoni, A.; Quarteroni, A.; Rozza, G. Supremizer stabilization of POD–Galerkin approximation of parametrized steady incompressible Navier–Stokes equations. Int. J. Numer. Methods Eng. 2015, 102, 1136–1161. [Google Scholar] [CrossRef]
- Luo, Z.; Chen, J.; Navon, I.; Yang, X. Mixed finite element formulation and error estimates based on proper orthogonal decomposition for the nonstationary Navier—Stokes equations. SIAM J. Numer. Anal. 2009, 47, 1–19. [Google Scholar] [CrossRef] [Green Version]
- Tano, M.; German, P.; Ragusa, J. Evaluation of pressure reconstruction techniques for Model Order Reduction in incompressible convective heat transfer. Therm. Sci. Eng. Prog. 2021, 23, 100841. [Google Scholar] [CrossRef]
- Lorenzi, S.; Cammi, A.; Luzzi, L.; Rozza, G. POD-Galerkin method for finite volume approximation of Navier–Stokes and RANS equations. Comput. Methods Appl. Mech. Eng. 2016, 311, 151–179. [Google Scholar] [CrossRef]
- Stabile, G.; Rozza, G. Finite volume POD-Galerkin stabilised reduced order methods for the parametrised incompressible Navier–Stokes equations. Comput. Fluids 2018, 173, 273–284. [Google Scholar] [CrossRef] [Green Version]
- Hijazi, S.; Ali, S.; Stabile, G.; Ballarin, F.; Rozza, G. The effort of increasing Reynolds number in projection-based reduced order methods: From laminar to turbulent flows. arXiv 2018, arXiv:1807.11370. [Google Scholar]
- Star, S.K.; Sanderse, B.; Stabile, G.; Rozza, G.; Degroote, J. Reduced order models for the incompressible Navier–Stokes equations on collocated grids using a’discretize-then-project’approach. arXiv 2020, arXiv:2010.06964. [Google Scholar]
- Hijazi, S.; Stabile, G.; Mola, A.; Rozza, G. Data-driven POD-Galerkin reduced order model for turbulent flows. arXiv 2019, arXiv:1907.09909. [Google Scholar] [CrossRef]
- Star, S.; Stabile, G.; Rozza, G.; Degroote, J. A POD-Galerkin reduced order model of a turbulent convective buoyant flow of sodium over a backward-facing step. Appl. Math. Model. 2021, 89, 486–503. [Google Scholar] [CrossRef]
- Vergari, L.; Cammi, A.; Lorenzi, S. Reduced order modeling approach for parametrized thermal-hydraulics problems: Inclusion of the energy equation in the POD-FV-ROM method. Prog. Nucl. Energy 2020, 118, 103071. [Google Scholar] [CrossRef]
- Xiao, D.; Fang, F.; Buchan, A.; Pain, C.; Navon, I.; Muggeridge, A. Non-intrusive reduced order modelling of the Navier–Stokes equations. Comput. Methods Appl. Mech. Eng. 2015, 293, 522–541. [Google Scholar] [CrossRef] [Green Version]
- Xiao, D.; Fang, F.; Pain, C.; Hu, G. Non-intrusive reduced-order modelling of the Navier–Stokes equations based on RBF interpolation. Int. J. Numer. Methods Fluids 2015, 79, 580–595. [Google Scholar] [CrossRef]
- Hesthaven, J.S.; Ubbiali, S. Non-intrusive reduced order modeling of nonlinear problems using neural networks. J. Comput. Phys. 2018, 363, 55–78. [Google Scholar] [CrossRef] [Green Version]
- Chaturantabut, S.; Sorensen, D.C. Application of POD and DEIM on dimension reduction of non-linear miscible viscous fingering in porous media. Math. Comput. Model. Dyn. Syst. 2011, 17, 337–353. [Google Scholar] [CrossRef] [Green Version]
- Rizzo, C.B.; de Barros, F.P.; Perotto, S.; Oldani, L.; Guadagnini, A. Adaptive POD model reduction for solute transport in heterogeneous porous media. Comput. Geosci. 2018, 22, 297–308. [Google Scholar] [CrossRef] [Green Version]
- Li, J.; Zhang, T.; Sun, S.; Yu, B. Numerical investigation of the POD reduced-order model for fast predictions of two-phase flows in porous media. Int. J. Numer. Methods Heat Fluid Flow 2019, 29, 4167–4204. [Google Scholar] [CrossRef]
- Chand, R.; Rana, G.; Hussein, A. On the Onsetof thermal instability in a low Prandtl number nanofluid layer in a porous medium. J. Appl. Fluid Mech. 2015, 8, 265–272. [Google Scholar] [CrossRef]
- Xiao, D.; Lin, Z.; Fang, F.; Pain, C.C.; Navon, I.M.; Salinas, P.; Muggeridge, A. Non-intrusive reduced-order modeling for multiphase porous media flows using Smolyak sparse grids. Int. J. Numer. Methods Fluids 2017, 83, 205–219. [Google Scholar] [CrossRef] [Green Version]
- Star, S.K.; Spina, G.; Belloni, F.; Degroote, J. Development of a coupling between a system thermal–hydraulic code and a reduced order CFD model. Ann. Nucl. Energy 2021, 153, 108056. [Google Scholar] [CrossRef]
- Rouch, H.; Geoffroy, O.; Rubiolo, P.; Laureau, A.; Brovchenko, M.; Heuer, D.; Merle-Lucotte, E. Preliminary thermal–hydraulic core design of the Molten Salt Fast Reactor (MSFR). Ann. Nucl. Energy 2014, 64, 449–456. [Google Scholar] [CrossRef]
- German, P.; Tano, M.; Ragusa, J.C.; Fiorina, C. Comparison of Reduced-Basis techniques for the model order reduction of parametric incompressible fluid flows. Prog. Nucl. Energy 2020, 130, 103551. [Google Scholar] [CrossRef]
- Jasak, H.; Jemcov, A.; Tukovic, Z. OpenFOAM: A C++ library for complex physics simulations. In Proceedings of the International Workshop on Coupled Methods in Numerical Dynamics, Dubrovnik, Croatia, 19–21 September 2007; Volume 1000, pp. 1–20. [Google Scholar]
- Rusche, H. Computational Fluid Dynamics of Dispersed Two-Phase Flows at High Phase Fractions. Ph.D. Thesis, University of London, London, UK, 2002. [Google Scholar]
- Kajishima, T.; Taira, K. Computational Fluid Dynamics; Springer: Berlin/Heidelberg, Germany, 2017. [Google Scholar]
- Schmitt, F.G. About Boussinesq’s turbulent viscosity hypothesis: Historical remarks and a direct evaluation of its validity. Comptes Rendus Méc. 2007, 335, 617–627. [Google Scholar] [CrossRef] [Green Version]
- Gray, D.D.; Giorgini, A. The validity of the Boussinesq approximation for liquids and gases. Int. J. Heat Mass Transf. 1976, 19, 545–551. [Google Scholar] [CrossRef]
- Incropera, F.P.; De Witt, D.P. Fundamentals of Heat and Mass, 3rd ed.; John Wiley and Sons: Hoboken, NJ, USA, 1990. [Google Scholar]
- Launder, B.E.; Spalding, D.B. The numerical computation of turbulent flows. In Numerical Prediction of Flow, Heat Transfer, Turbulence and Combustion; Elsevier: Amsterdam, The Netherlands, 1983; pp. 96–116. [Google Scholar]
- Jasak, H. Error Analysis and Estimation for the Finite Volume Method with Applications to Fluid Flows. Ph.D. Thesis, Imperial College, London, UK, 1996. [Google Scholar]
- Versteeg, H.K.; Malalasekera, W. An Introduction to Computational Fluid Dynamics: The Finite Volume Method; Pearson Education: London, UK, 2007. [Google Scholar]
- Rathinam, M.; Petzold, L.R. A new look at proper orthogonal decomposition. SIAM J. Numer. Anal. 2003, 41, 1893–1925. [Google Scholar] [CrossRef]
- Abdi, H. Singular value decomposition (SVD) and generalized singular value decomposition. Encycl. Meas. Stat. 2007, 907–912. [Google Scholar]
- Gerner, A.L.; Veroy, K. Certified reduced basis methods for parametrized saddle point problems. SIAM J. Sci. Comput. 2012, 34, A2812–A2836. [Google Scholar] [CrossRef]
- Chaturantabut, S.; Sorensen, D.C. Nonlinear model reduction via discrete empirical interpolation. SIAM J. Sci. Comput. 2010, 32, 2737–2764. [Google Scholar] [CrossRef]
- Fiorina, C.; Lathouwers, D.; Aufiero, M.; Cammi, A.; Guerrieri, C.; Kloosterman, J.L.; Luzzi, L.; Ricotti, M.E. Modelling and analysis of the MSFR transient behaviour. Ann. Nucl. Energy 2014, 64, 485–498. [Google Scholar] [CrossRef]
- Chenu, A.; Mikityuk, K.; Chawla, R. Pressure drop modeling and comparisons with experiments for single-and two-phase sodium flow. Nucl. Eng. Des. 2011, 241, 3898–3909. [Google Scholar] [CrossRef]
- Van Leer, B. Towards the ultimate conservative difference scheme. V. A second-order sequel to Godunov’s method. J. Comput. Phys. 1979, 32, 101–136. [Google Scholar] [CrossRef]
- Petruzzi, A.; D’Auria, F. Thermal-hydraulic system codes in nulcear reactor safety and qualification procedures. Sci. Technol. Nucl. Install. 2008, 2008, 1–16. [Google Scholar] [CrossRef] [Green Version]











| Parameter Name | Symbol | Value |
|---|---|---|
| Physical density | 4100 | |
| Dynamic viscosity | 0.01 Pa s | |
| Thermal expansion coefficient | ||
| Specific heat | 1600 | |
| Prandtl number | Pr |
| Parameter Name | Symbol | Value |
|---|---|---|
| Fluid fraction | 0.4 | |
| Hydraulic diam. of the heat exchanger | 0.02 m | |
| Flow res. coefficient in heat exchanger | 0.687 | |
| Flow res. exponent in heat exchanger | −0.25 | |
| Volumetric surface | ||
| Heat transfer coefficient | h | |
| External temperature | 850 K |
| Parameter Name | Symbol | Distribution |
|---|---|---|
| Magnitude of pumping force | ||
| External temperature | K | |
| Heat transfer coefficient | h | |
| Thermal expansion coefficient | ||
| Prandtl number |
| Field | Rank | Mean/Max. Error (%) | Field | Rank | Mean/Max. Error (%) |
|---|---|---|---|---|---|
| 11 (+2) | 0.33/0.53 | p | 2 | 0.20/0.39 | |
| T | 7 | 0.08/0.18 | , | 21 | 1.25/3.34 |
| Field | Rank | Mean/Max. Error (%) | Field | Rank | Mean/Max. Error (%) |
|---|---|---|---|---|---|
| 23 (+5) | 1.43/3.10 | p | 5 | 0.81/1.60 | |
| T | 8 | 0.14/0.25 | , | 41 | 0.33/1.89 |
Publisher’s Note: MDPI stays neutral with regard to jurisdictional claims in published maps and institutional affiliations. |
© 2021 by the authors. Licensee MDPI, Basel, Switzerland. This article is an open access article distributed under the terms and conditions of the Creative Commons Attribution (CC BY) license (https://creativecommons.org/licenses/by/4.0/).
Share and Cite
German, P.; Tano, M.E.; Fiorina, C.; Ragusa, J.C. Data-Driven Reduced-Order Modeling of Convective Heat Transfer in Porous Media. Fluids 2021, 6, 266. https://doi.org/10.3390/fluids6080266
German P, Tano ME, Fiorina C, Ragusa JC. Data-Driven Reduced-Order Modeling of Convective Heat Transfer in Porous Media. Fluids. 2021; 6(8):266. https://doi.org/10.3390/fluids6080266
Chicago/Turabian StyleGerman, Péter, Mauricio E. Tano, Carlo Fiorina, and Jean C. Ragusa. 2021. "Data-Driven Reduced-Order Modeling of Convective Heat Transfer in Porous Media" Fluids 6, no. 8: 266. https://doi.org/10.3390/fluids6080266
APA StyleGerman, P., Tano, M. E., Fiorina, C., & Ragusa, J. C. (2021). Data-Driven Reduced-Order Modeling of Convective Heat Transfer in Porous Media. Fluids, 6(8), 266. https://doi.org/10.3390/fluids6080266

