Subcritical Instabilities in Neutral Fluids and Plasmas
Abstract
1. Introduction
2. Concepts of Subcritical Instability
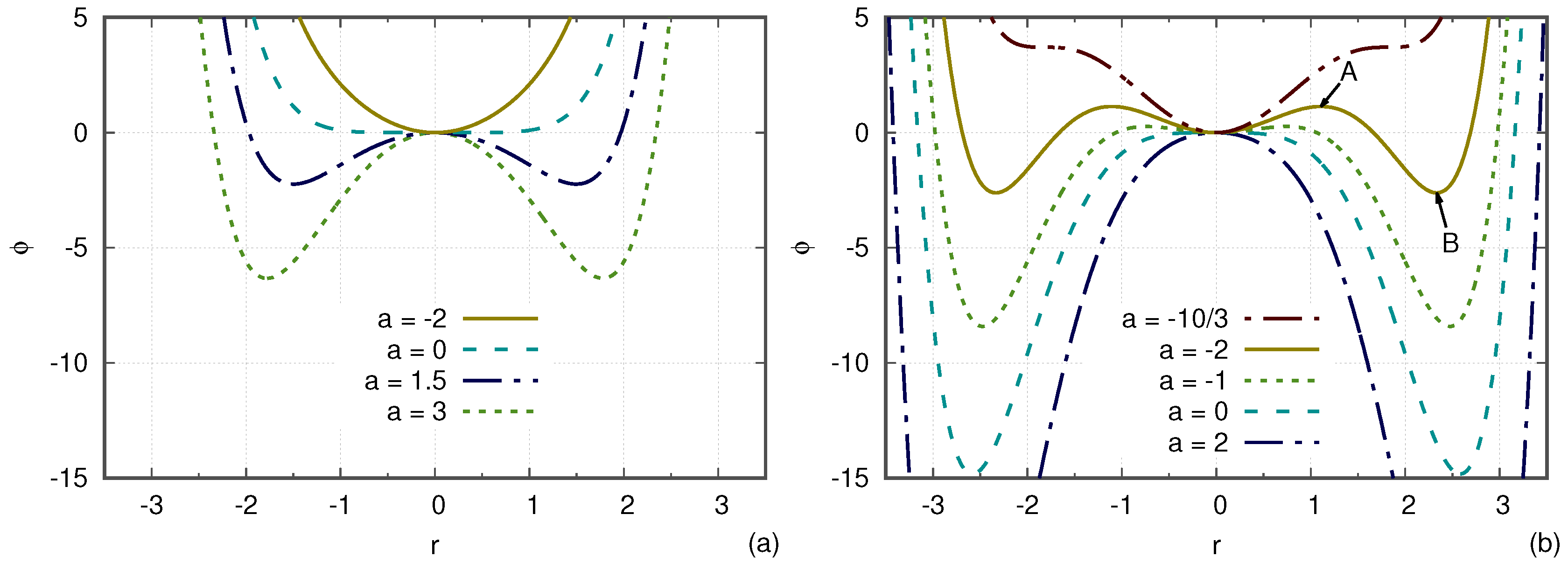
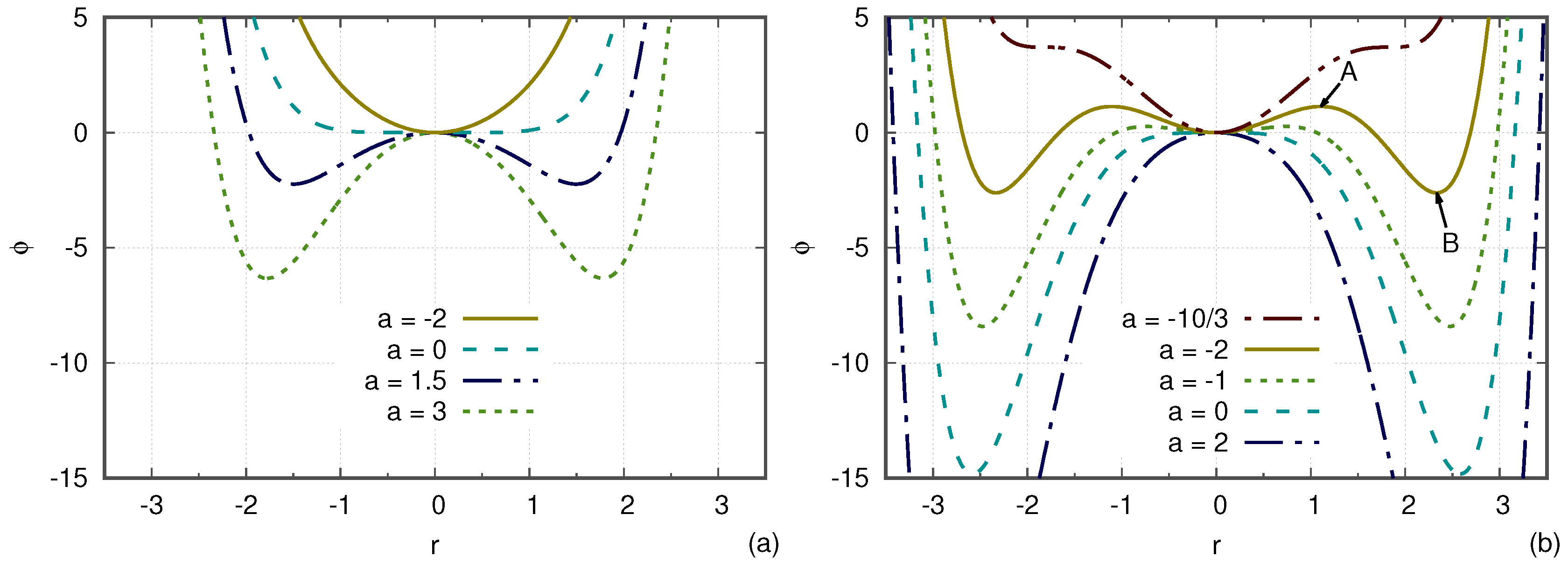
- If , there is no other real solution than .
- If (which is only relevant for ), there are four real solutions other than , which are and . Here,andThe second derivative of the potential at these solutions is, straightforwardly,andTherefore, with our initial assumption of , and . This proves that are unstable equilibria, while are stable equilibria, as can be seen from the plot of in Figure 2b.
- Finally, if , there are two real solutions other than , which are .
3. Subcritical Instabilities in Neutral Fluids
3.1. Experimental Measurement of Subcritical Bifurcation
3.2. Physical Mechanism of Subcritical Growth in Neutral Fluids
4. Subcritical Instabilities in Plasmas
4.1. Fluid-Like Subcritical Instabilities in Plasmas
4.2. Kinetic Subcritical Instabilities
4.2.1. Overview
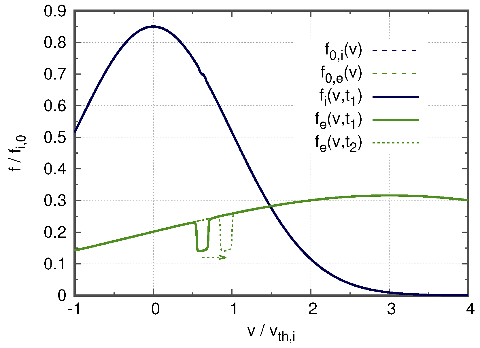
4.2.2. Nonlinear Growth Mechanism of a Phase-Space Hole
4.3. Hybrid Fluid-Kinetic Subcritical Instabilities
5. Conclusions
Author Contributions
Funding
Acknowledgments
Conflicts of Interest
References
- Dauchot, O.; Manneville, M. Local Versus Global Concepts in Hydrodynamic Stability Theory. J. Phys. II Fr. 1997, 7, 371–389. [Google Scholar] [CrossRef]
- Yoshizawa, A.; Itoh, S.; Itoh, K. Plasma and Fluid Turbulence: Theory and Modelling; Series in Plasma Physics and Fluid Dynamics; CRC Press: Boca Raton, FL, USA, 2002. [Google Scholar]
- Schmid, P.J. Nonmodal stability theory. Annu. Rev. Fluid Mech. 2007, 39, 129–162. [Google Scholar] [CrossRef]
- Lesur, M.; Sasaki, M.; Shimizu, A. Subcritical Instabilities in Neutral Fluids and Plasmas. J. Plasma Fusion Res. 2016, 92, 665–671. [Google Scholar]
- Chanson, H. Physical Modelling of Hydraulics. In The Hydraulics of Open Channel Flow: An Introduction; Butterworth-Heinemann: Oxford, UK, 1999. [Google Scholar]
- Couette, M. Etudes sur le Frottement des Liquides. Ph.D. Thesis, Faculté des Sciences, Paris, France, 1890. [Google Scholar]
- Davies, S.; White, C. An experimental study of the flow of water in pipes of rectangular section. Proc. R. Soc. Lond. A 1928, 119, 92–107. [Google Scholar] [CrossRef]
- Coles, D. Transition in circular Couette flow. J. Fluid Mech. 1965, 21, 385–425. [Google Scholar] [CrossRef]
- Tillmark, N.; Alfredsson, P.H. Experiments on transition in plane Couette flow. J. Fluid Mech. 1992, 235, 89–102. [Google Scholar] [CrossRef]
- Lundbladh, A.; Johansson, A.V. Direct simulation of turbulent spots in plane Couette flow. J. Fluid Mech. 1991, 229, 499–516. [Google Scholar] [CrossRef]
- Trefethen, L.N.; Trefethen, A.E.; Reddy, S.C.; Driscoll, T.A. Hydrodynamic stability without eigenvalues. Science 1993, 261, 578–584. [Google Scholar] [CrossRef] [PubMed]
- Drazin, P.; Reid, W. Hydrodynamic Stability; Cambridge University Press: Cambridge, UK, 1981. [Google Scholar]
- Grossmann, S. The onset of shear flow turbulence. Rev. Mod. Phys. 2000, 72, 603. [Google Scholar] [CrossRef]
- Manneville, P. On the transition to turbulence of wall-bounded flows in general, and plane Couette flow in particular. Eur. J. Mech.-B 2015, 49, 345–362. [Google Scholar] [CrossRef]
- Borrero, D. Subcritical Transition to Turbulence in Taylor-Couette Flow. Ph.D. Thesis, Georgia Institute of Technology, Atlanta, GA, USA, 2014. [Google Scholar]
- Meignin, L.; Gondret, P.; Ruyer-Quil, C.; Rabaud, M. Subcritical Kelvin-Helmholtz Instability in a Hele-Shaw Cell. Phys. Rev. Lett. 2003, 90, 234502. [Google Scholar] [CrossRef] [PubMed]
- Groisman, A.; Steinberg, V. Mechanism of elastic instability in Couette flow of polymer solutions: Experiment. Phys. Fluids 1998, 10, 2451–2463. [Google Scholar] [CrossRef]
- Morozov, A.N.; van Saarloos, W. An introductory essay on subcritical instabilities and the transition to turbulence in visco-elastic parallel shear flows. Phys. Rev. 2007, 447, 112–143. [Google Scholar] [CrossRef]
- Manneville, P. Instabilités, Chaos et Turbulence; Editions de l’Ecole Polytechnique: Palaiseau, France, 2004. [Google Scholar]
- Weissman, M.A. Nonlinear Wave Packets in the Kelvin-Helmholtz Instability. Philos. Trans. R. Soc. Lond. A 1979, 290, 639–681. [Google Scholar] [CrossRef]
- Kühnen, J.; Braunshier, P.; Schwegel, M.; Kuhlmann, H.; Hof, B. Subcritical versus supercritical transition to turbulence in curved pipes. J. Fluid Mech. 2015, 770. [Google Scholar] [CrossRef]
- Henningson, D.S.; Alfredsson, P.H. The wave structure of turbulent spots in plane Poiseuille flow. J. Fluid Mech. 1987, 178, 405–421. [Google Scholar] [CrossRef]
- Gad-El-Hak, M.; Blackwelderf, R.F.; Riley, J.J. On the growth of turbulent regions in laminar boundary layers. J. Fluid Mech. 1981, 110, 73–95. [Google Scholar] [CrossRef]
- Klingmann, B.G.B.; Alfredsson, P.H. Turbulent spots in plane Poiseuille flow—Measurements of the velocity field. Phys. Fluids A 1990, 2, 2183–2195. [Google Scholar] [CrossRef]
- Dauchot, O.; Daviaud, F. Finite amplitude perturbation and spots growth mechanism in plane Couette flow. Phys. Fluids 1995, 7, 335–343. [Google Scholar] [CrossRef]
- Sengupta, T.; Lim, T.; Chattopadhyay, M. An Experimental and Theoretical Investigation of a By-Pass Transition Mechanism; Technical Report, IITK/Aero/AD/2001/02; I.I.T. Kanpur: Kanpur, India, 2001. [Google Scholar]
- Sengupta, T.K.; De, S.; Sarkar, S. Vortex-induced instability of an incompressible wall-bounded shear layer. J. Fluid Mech. 2003, 493, 277–286. [Google Scholar] [CrossRef]
- Lim, T.; Sengupta, T.; Chattopadhyay, M. A visual study of vortex-induced subcritical instability on a flat plate laminar boundary layer. Exp. Fluids 2004, 37, 47–55. [Google Scholar] [CrossRef]
- Henningson, D.S.; Lundbladh, A.; Johansson, A.V. A mechanism for bypass transition from localized disturbances in wall-bounded shear flows. J. Fluid Mech. 1993, 250, 169–207. [Google Scholar] [CrossRef]
- Manneville, P. Understanding the sub-critical transition to turbulence in wall flows. Pramana 2008, 70, 1009–1021. [Google Scholar] [CrossRef]
- Waleffe, F. On a self-sustaining process in shear flows. Phys. Fluids 1997, 9, 883–900. [Google Scholar] [CrossRef]
- Waleffe, F.; Wang, J. Transition threshold and the self-sustaining process. In IUTAM Symposium on Laminar-Turbulent Transition and Finite Amplitude Solutions; Springer: Berlin, Germany, 2005; pp. 85–106. [Google Scholar]
- Faisst, H.; Eckhardt, B. Traveling waves in pipe flow. Phys. Rev. Lett. 2003, 91, 224502. [Google Scholar] [CrossRef] [PubMed]
- Wedin, H.; Kerswell, R.R. Exact coherent structures in pipe flow: Travelling wave solutions. J. Fluid Mech. 2004, 508, 333–371. [Google Scholar] [CrossRef]
- Hof, B.; van Doorne, C.W.; Westerweel, J.; Nieuwstadt, F.T.; Faisst, H.; Eckhardt, B.; Wedin, H.; Kerswell, R.R.; Waleffe, F. Experimental observation of nonlinear traveling waves in turbulent pipe flow. Science 2004, 305, 1594–1598. [Google Scholar] [CrossRef] [PubMed]
- Pomeau, Y. Front motion, metastability and subcritical bifurcations in hydrodynamics. Physica D 1986, 23, 3. [Google Scholar] [CrossRef]
- Shrira, V.; Voronovich, V.; Kozhelupova, N. Explosive instability of vorticity waves. J. Phys. Oceanogr. 1997, 27, 542–554. [Google Scholar] [CrossRef]
- Dodd, N.; Iranzo, V.; Caballería, M. A subcritical instability of wave-driven alongshore currents. J. Geophys. Res. Oceans 2004, 109. [Google Scholar] [CrossRef]
- Biskamp, D.; Walter, M. Suppression of shear damping in drift wave turbulence. Phys. Lett. A 1985, 109, 34–38. [Google Scholar] [CrossRef]
- Scott, B.D. Self-sustained collisional drift-wave turbulence in a sheared magnetic field. Phys. Rev. Lett. 1990, 65, 3289–3292. [Google Scholar] [CrossRef] [PubMed]
- Drake, J.F.; Zeiler, A.; Biskamp, D. Nonlinear Self-Sustained Drift-Wave Turbulence. Phys. Rev. Lett. 1995, 75, 4222–4225. [Google Scholar] [CrossRef] [PubMed]
- Baver, D.; Terry, P.; Fernandez, E. Nonlinear instability driven by advection of electron density in collisionless plasmas. Phys. Lett. A 2000, 267, 188–193. [Google Scholar] [CrossRef]
- Terry, P.; Baver, D.; Gupta, S. Role of stable eigenmodes in saturated local plasma turbulence. Phys. Plasmas 2006, 13, 022307. [Google Scholar] [CrossRef]
- Highcock, E.; Barnes, M.; Schekochihin, A.; Parra, F.; Roach, C.; Cowley, S. Transport bifurcation in a rotating tokamak plasma. Phys. Rev. Lett. 2010, 105, 215003. [Google Scholar] [CrossRef] [PubMed]
- Highcock, E.; Barnes, M.; Parra, F.; Schekochihin, A.; Roach, C.; Cowley, S. Transport bifurcation induced by sheared toroidal flow in tokamak plasmas. Phys. Plasmas 2011, 18, 102304. [Google Scholar] [CrossRef]
- Highcock, E.; Schekochihin, A.; Cowley, S.; Barnes, M.; Parra, F.; Roach, C.; Dorland, W. Zero-turbulence manifold in a toroidal plasma. Phys. Rev. Lett. 2012, 109, 265001. [Google Scholar] [CrossRef] [PubMed]
- Van Wyk, F.; Highcock, E.; Schekochihin, A.; Roach, C.; Field, A.; Dorland, W. Transition to subcritical turbulence in a tokamak plasma. J. Plasma Phys. 2016, 82. [Google Scholar] [CrossRef]
- van Wyk, F.; Highcock, E.; Field, A.; Roach, C.; Schekochihin, A.; Parra, F.; Dorland, W. Ion-scale turbulence in MAST: Anomalous transport, subcritical transitions, and comparison to BES measurements. Plasma Phys. Control. Fusion 2017, 59, 114003. [Google Scholar] [CrossRef]
- Yagi, M.; Itoh, S.; Itoh, K.; Fukuyama, A.; Azumi, M. Self-sustained plasma turbulence due to current diffusion. Phys. Plasmas 1995, 2, 4140–4148. [Google Scholar] [CrossRef]
- Itoh, K.; Itoh, S.I.; Fukuyama, A. Theory of anomalous transport in high-aspect-ratio toroidal helical plasmas. Phys. Rev. Lett. 1992, 69, 1050–1053. [Google Scholar] [CrossRef] [PubMed]
- Itoh, K.; Itoh, S.I.; Yagi, M.; Fukuyama, A. Subcritical Excitation of Plasma Turbulence. J. Phys. Soc. Jpn. 1996, 65, 2749–2752. [Google Scholar] [CrossRef]
- Carrera, R.; Hazeltine, R.D.; Kotschenreuther, M. Island bootstrap current modification of the nonlinear dynamics of the tearing mode. Phys. Fluids 1986, 29, 899–902. [Google Scholar] [CrossRef]
- Johnson, B.M.; Gammie, C.F. Linear theory of thin, radially stratified disks. Astr. J. 2005, 626, 978. [Google Scholar] [CrossRef]
- Friedman, B.; Carter, T. A non-modal analytical method to predict turbulent properties applied to the Hasegawa-Wakatani model. Phys. Plasmas 2015, 22, 012307. [Google Scholar] [CrossRef]
- Pringle, C.C.; McMillan, B.F.; Teaca, B. A nonlinear approach to transition in subcritical plasmas with sheared flow. Phys. Plasmas 2017, 24, 122307. [Google Scholar] [CrossRef]
- McMillan, B.F.; Pringle, C.C.; Teaca, B. Simple advecting structures and the edge of chaos in subcritical tokamak plasmas. arXiv, 2018; arXiv:1802.08519. [Google Scholar]
- O’Neil, T.M. Nonlinear Instability. Phys. Fluids 1967, 10, 1027–1030. [Google Scholar] [CrossRef]
- Bernstein, I.; Greene, J.; Kruskal, M.D. Exact nonlinear plasma oscillations. Phys. Rev. 1957, 108, 546–550. [Google Scholar] [CrossRef]
- Roberts, K.V.; Berk, H.L. Nonlinear Evolution of a Two-Stream Instability. Phys. Rev. Lett. 1967, 19, 297–300. [Google Scholar] [CrossRef]
- Schamel, H. Theory of Electron Holes. Phys. Scr. 1979, 20, 336. [Google Scholar] [CrossRef]
- Dupree, T.H. Theory of phase-space density holes. Phys. Fluids 1982, 25, 277–289. [Google Scholar] [CrossRef]
- Eliasson, B.; Shukla, P. Formation and dynamics of coherent structures involving phase-space vortices in plasmas. Phys. Rep. 2006, 422, 225–290. [Google Scholar] [CrossRef]
- Kosuga, Y.; Lesur, M. Development of Plasma Turbulence Research into Phase Space. J. Plasma Fusion Res. 2014, 90, 289–295. [Google Scholar]
- Luque, A.; Schamel, H. Electrostatic trapping as a key to the dynamics of plasmas, fluids and other collective systems. Phys. Rep. 2005, 415, 261–359. [Google Scholar] [CrossRef]
- Schamel, H. Cnoidal electron hole propagation: Trapping, the forgotten nonlinearity in plasma and fluid dynamics. Phys. Plasmas 2012, 19, 020501. [Google Scholar] [CrossRef]
- Dupree, T.H. Growth of phase-space density holes. Phys. Fluids 1983, 26, 2460–2481. [Google Scholar] [CrossRef]
- Berk, H.L.; Breizman, B.N. Saturation of a single mode driven by an energetic injected beam. I. Plasma wave problem. Phys. Fluids B 1990, 2, 2226–2234. [Google Scholar] [CrossRef]
- Berk, H.L.; Breizman, B.N.; Candy, J.; Pekker, M.; Petviashvili, N.V. Spontaneous hole-clump pair creation. Phys. Plasmas 1999, 6, 3102–3113. [Google Scholar] [CrossRef]
- Lesur, M.; Idomura, Y.; Garbet, X. Fully nonlinear features of the energetic beam-driven instability. Phys. Plasmas 2009, 16, 092305. [Google Scholar] [CrossRef]
- Lesur, M.; Idomura, Y.; Shinohara, K.; Garbet, X.; the JT-60 Team. Spectroscopic determination of kinetic parameters for frequency sweeping Alfvén eigenmodes. Phys. Plasmas 2010, 17, 122311. [Google Scholar] [CrossRef]
- Lesur, M.; Idomura, Y. Nonlinear categorization of the energetic-beam-driven instability with drag and diffusion. Nucl. Fusion 2012, 52, 094004. [Google Scholar] [CrossRef]
- Lesur, M.; Diamond, P.H. Nonlinear instabilities driven by coherent phase-space structures. Phys. Rev. E 2013, 87, 031101. [Google Scholar] [CrossRef]
- Kosuga, Y.; Itoh, S.I.; Diamond, P.; Itoh, K.; Lesur, M. Role of phase space structures in collisionless drift wave turbulence and impact on transport modeling. Nucl. Fusion 2017, 57, 072006. [Google Scholar] [CrossRef]
- Terry, P.W.; Diamond, P.H.; Hahm, T.S. The structure and dynamics of electrostatic and magnetostatic drift holes. Phys. Fluids B 1990, 2, 2048–2063. [Google Scholar] [CrossRef]
- Biglari, H.; Diamond, P.H.; Terry, P.W. Theory of trapped-ion temperature-gradient-driven turbulence and transport in low-collisionality plasmas. Phys. Fluids 1988, 31, 2644–2658. [Google Scholar] [CrossRef]
- Kosuga, Y.; Itoh, S.I.; Diamond, P.H.; Itoh, K.; Lesur, M. Ion temperature gradient driven turbulence with strong trapped ion resonance. Phys. Plasmas 2014, 21, 102303. [Google Scholar] [CrossRef]
- Dupree, T.H. Theory of Phase Space Density Granulation in Plasma. Phys. Fluids 1972, 15, 334–344. [Google Scholar] [CrossRef]
- Nguyen, C.; Lütjens, H.; Garbet, X.; Grandgirard, V.; Lesur, M. Existence of metastable kinetic modes. Phys. Rev. Lett. 2010, 105, 205002. [Google Scholar] [CrossRef] [PubMed]
- Nguyen, C.; Garbet, X.; Grandgirard, V.; Decker, J.; Guimarães-Filho, Z.; Lesur, M.; Lütjens, H.; Merle, A.; Sabot, R. Nonlinear modification of the stability of fast particle driven modes in tokamaks. Plasma Phys. Control. Fusion 2010, 52, 124034. [Google Scholar] [CrossRef]
- Tetreault, D.J. Growth rate of the clump instability. Phys. Fluids 1983, 26, 3247–3261. [Google Scholar] [CrossRef]
- Berman, R.H.; Tetreault, D.J.; Dupree, T.H.; Boutros-Ghali, T. Computer Simulation of Nonlinear Ion-Electron Instability. Phys. Rev. Lett. 1982, 48, 1249–1252. [Google Scholar] [CrossRef]
- Lesur, M.; Diamond, P.H.; Kosuga, Y. Nonlinear current-driven ion-acoustic instability driven by phase-space structures. Plasma Phys. Control. Fusion 2014, 56, 075005. [Google Scholar] [CrossRef]
- Lesur, M. Method- and scheme-independent entropy production in turbulent kinetic simulations. Comput. Phys. Commun. 2016, 200, 182–189. [Google Scholar] [CrossRef]
- Ido, T.; Itoh, K.; Osakabe, M.; Lesur, M.; Shimizu, A.; Ogawa, K.; Toi, K.; Nishiura, M.; Kato, S.; Sasaki, M.; et al. Strong Destabilization of Stable Modes with a Half-Frequency Associated with Chirping Geodesic Acoustic Modes in the Large Helical Device. Phys. Rev. Lett. 2016, 116, 015002. [Google Scholar] [CrossRef] [PubMed]
- Lesur, M.; Itoh, K.; Ido, T.; Osakabe, M.; Ogawa, K.; Shimizu, A.; Sasaki, M.; Ida, K.; Inagaki, S.; Itoh, S.I.; et al. Nonlinear Excitation of Subcritical Instabilities in a Toroidal Plasma. Phys. Rev. Lett. 2016, 116, 015003. [Google Scholar] [CrossRef] [PubMed]
- Diamond, P.H.; Itoh, S.I.; Itoh, K.; Hahm, T.S. Zonal flows in plasma—A review. Plasma Phys. Control. Fusion 2005, 47, R35. [Google Scholar] [CrossRef]
- Fu, G.Y. Energetic-Particle-Induced Geodesic Acoustic Mode. Phys. Rev. Lett. 2008, 101, 185002. [Google Scholar] [CrossRef] [PubMed]
- Lesur, M.; Itoh, K.; Ido, T.; Itoh, S.I.; Kosuga, Y.; Sasaki, M.; Inagaki, S.; Osakabe, M.; Ogawa, K.; Shimizu, A.; et al. Nonlinear excitation of subcritical fast ion-driven modes. Nucl. Fusion 2016, 56, 056009. [Google Scholar] [CrossRef]
- Landau, L. On the vibrations of the electronic plasma. J. Phys. 1946, 10, 25–34. [Google Scholar]
- Itoh, K.; Itoh, S.I.; Kosuga, Y.; Lesur, M.; Ido, T. Onset condition of the subcritical geodesic acoustic mode instability in the presence of energetic-particle-driven geodesic acoustic mode. Plasma Phys. Rep. 2016, 42, 418–423. [Google Scholar] [CrossRef]
- Cross, M.C.; Hohenberg, P.C. Pattern formation outside of equilibrium. Rev. Mod. Phys. 1993, 65, 851–1112. [Google Scholar] [CrossRef]
- Lesur, M.; Diamond, P.H.; Kosuga, Y. Phase-space jets drive transport and anomalous resistivity. Phys. Plasmas 2014, 21. [Google Scholar] [CrossRef]
- Iliya, B. Selected Topics in Vibrational Mechanics; World Scientific: Singapore, 2004; Volume 11. [Google Scholar]
- Xue-jun, G.; True, H.; Li, Y. Lateral dynamic features of a railway vehicle. Proc. Inst. Mech. Eng. Part F J. Rail Rapid Transit 2015, 230. [Google Scholar] [CrossRef]
- Ananthkrishnan, N.; Deo, S.; Culick, F. Modeling and Dynamics of Nonlinear Acoustic Waves in a Combustion Chamber. Combust. Sci. Technol. 2005, 177. [Google Scholar] [CrossRef]
- Ebi, D.; Denisov, A.; Bonciolini, G.; Boujo, E.; Noiray, N. Flame Dynamics Intermittency in the Bistable Region Near a Subcritical Hopf Bifurcation. J. Eng. Gas Turbines Power 2018, 140, 061504. [Google Scholar] [CrossRef]
- Consolo, G.; Finocchio, G.; Lopez-Diaz, L.; Azzerboni, B. Numerical analysis of the nonlinear excitation of subcritical spin-wave modes within a micromagnetic framework. IEEE Trans. Magn. 2009, 45, 5220–5223. [Google Scholar] [CrossRef]
- Straube, A.V.; Dullens, R.P.; Schimansky-Geier, L.; Louis, A.A. Zigzag transitions and nonequilibrium pattern formation in colloidal chains. J. Chem. Phys. 2013, 139, 134908. [Google Scholar] [CrossRef] [PubMed]
- Dessup, T.; Coste, C.; Saint Jean, M. Subcriticality of the zigzag transition: A nonlinear bifurcation analysis. Phys. Rev. E 2015, 91, 032917. [Google Scholar] [CrossRef] [PubMed]













© 2018 by the authors. Licensee MDPI, Basel, Switzerland. This article is an open access article distributed under the terms and conditions of the Creative Commons Attribution (CC BY) license (http://creativecommons.org/licenses/by/4.0/).
Share and Cite
Lesur, M.; Médina, J.; Sasaki, M.; Shimizu, A. Subcritical Instabilities in Neutral Fluids and Plasmas. Fluids 2018, 3, 89. https://doi.org/10.3390/fluids3040089
Lesur M, Médina J, Sasaki M, Shimizu A. Subcritical Instabilities in Neutral Fluids and Plasmas. Fluids. 2018; 3(4):89. https://doi.org/10.3390/fluids3040089
Chicago/Turabian StyleLesur, Maxime, Julien Médina, Makoto Sasaki, and Akihiro Shimizu. 2018. "Subcritical Instabilities in Neutral Fluids and Plasmas" Fluids 3, no. 4: 89. https://doi.org/10.3390/fluids3040089
APA StyleLesur, M., Médina, J., Sasaki, M., & Shimizu, A. (2018). Subcritical Instabilities in Neutral Fluids and Plasmas. Fluids, 3(4), 89. https://doi.org/10.3390/fluids3040089

