Design and Experimental Investigation of a Small High-Speed Water Tunnel Test Section
Abstract
1. Introduction
2. Design of the Test Section
2.1. Design Specifications and Basis
- (1)
- The test section shall have a measurable diameter of ≥120 mm and a measurement length of ≥200 mm to ensure the accuracy and reliability of flow field data during experiments. This dimensional design not only meets experimental requirements but also accommodates various flow conditions, ensuring the representativeness of experimental data.
- (2)
- In the experimental system simulating discharge conditions of seawater-activated batteries, the maximum flow velocity at the test section surface shall reach ≥25 m/s. This velocity requirement is designed to adequately simulate the high-speed flow environment encountered during battery operation, enabling realistic evaluation of the flow’s impact on battery thermal performance.
- (3)
- To ensure stable operation of the experimental system, the power pump shall have a maximum flow rate of ≥400 m3/h and a maximum head of ≥40 m. These pump parameters are designed to provide sufficient fluid dynamic capacity, ensuring the test section achieves desired flow conditions while maintaining excellent flow stability and uniformity across various experimental scenarios.
2.2. Overall Configuration of the Water Tunnel
2.3. Structural Design of the Water Tunnel Test Section
3. Numerical Simulation Methodology
3.1. Mesh Generation
3.2. Numerical Model
3.3. Boundary Conditions
- (1)
- Multiphase flow settings: the implicit discretization scheme was selected. Phase-1 was defined as the coolant (water), while Phase-2 was defined as water vapor. Mass transfer between the two phases was modeled using a cavitation model. The physical parameters of each phase are listed in Table 1.
- (2)
- Inlet and outlet boundary conditions: to accurately investigate the flow characteristics and pressure loss in the water tunnel test section, the inlet boundary condition for the cooling water was set as velocity-inlet with a flow velocity of 5.47 m/s, while the outlet boundary condition was set as pressure-outlet.
- (3)
- Turbulence model settings: considering the strong turbulent characteristics and complex velocity gradients in high-speed water tunnel flows, the SIMPLE scheme was selected for pressure-velocity coupling to ensure accuracy in pressure loss calculations. Second-order upwind discretization schemes were applied for pressure, momentum, and energy equations, as well as for turbulent kinetic energy and turbulent dissipation rate. All relaxation factors were maintained at the default values in Fluent.
- (4)
- Convergence criteria: to ensure simulation accuracy given the energy losses arising from fluid friction, turbulent dissipation, and local flow acceleration in high-speed conditions, the residual convergence criterion was set to 10−3.
3.4. Performance Metrics
- (1)
- Pressure Loss
- (2)
- Cavitation Number
- (3)
- Adverse Pressure Gradient
- (4)
- Flow Non-Uniformity
- (5)
- Resistance Coefficient
- (6)
- Energy Loss
- (7)
- Flow Cross-Sectional Area
- (8)
- Volumetric Flow Rate in the Test Section
- (9)
- Heat Dissipation Power
4. Results and Discussion
4.1. Effect of Outlet Gauge Pressure
4.2. Pressure Loss in the Test Section
4.3. Velocity Distribution in the Test Section
4.4. Turbulence Characteristics and Energy Loss
4.5. Vortex Evolution and Flow Field Topology Analysis
5. Experimental Validation
5.1. Experimental Methodology
5.2. Experimental Apparatus
5.3. Experimental Results
6. Conclusions
- (1)
- This study designed a small high-speed water tunnel test section. Stainless steel was employed to enhance pipeline rigidity, while a fifth-power polynomial contraction curve and a straight-line diffuser profile were adopted to optimize the velocity distribution, thereby mitigating cavitation and excessive pressure losses. The test section features a straight-line design with extended flow transition zones at both ends to further improve flow stability and uniformity. This configuration ensures favorable flow field distribution even at the maximum design velocity of 25 m/s, enabling efficient heat transfer and dissipation. The design not only strictly complies with technical specifications but also provides a stable and reliable experimental platform for investigating battery thermal performance.
- (2)
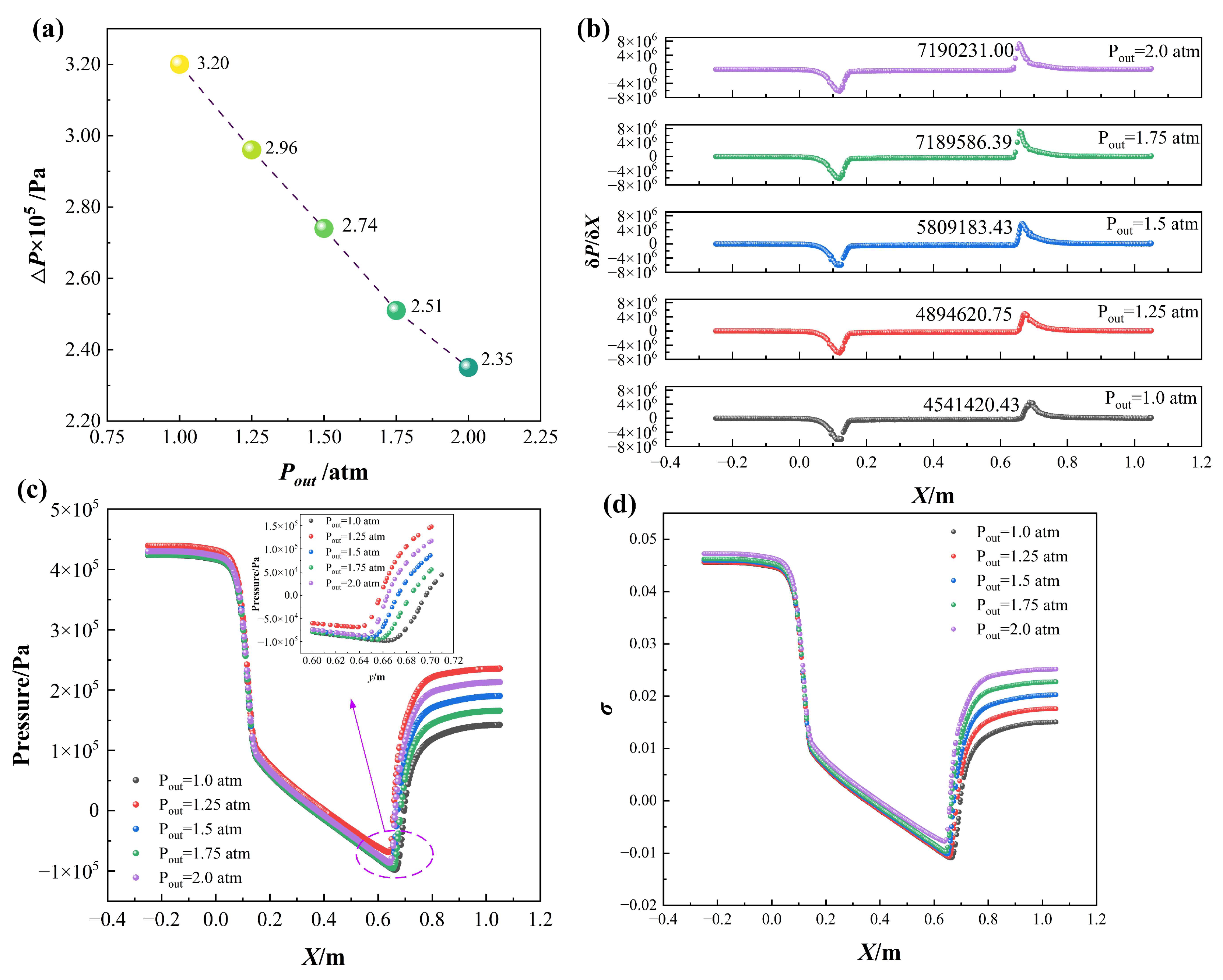
- An in-depth analysis of pressure distribution and energy loss indicators in the water tunnel test section was conducted through numerical simulations under two operating conditions: outlet gauge pressures of 0 atm and 1.0 atm. The results demonstrate that the performance improvement achieved by increasing the outlet pressure is realized through two fundamental mechanisms: on the one hand, the elevated system static pressure effectively suppresses cavitation inception and eliminates the pressure pulsations and phase-change energy dissipation induced by bubble collapse. On the other hand, the enhanced pressure potential stabilizes the boundary layer structure, suppresses flow separation and secondary flows, and shifts the turbulent energy spectrum toward smaller scales, thereby reducing turbulent dissipation. Through these combined mechanisms, the pressure loss, head loss, and power loss are all reduced by approximately 24.20%, while flow velocity uniformity is significantly improved. Thus, appropriate regulation of the outlet gauge pressure represents an effective strategy for enhancing both energy efficiency and flow stability in water tunnel test sections.
- (3)
- As the outlet gauge pressure increases from 1.0 atm to 2.0 atm, the flow characteristics are significantly optimized: the pressure loss is reduced by 26.6%, the power loss decreases by 27.3%, and the drag coefficient drops by 26.6%. Meanwhile, the flow non-uniformity is controlled within 1%, and the proportion of high-speed flow regions increases to 75%, fully meeting the design requirement of a flow velocity ≥25 m/s. These improvements stem from the systematic regulation of flow mechanisms by the outlet gauge pressure: the elevated static pressure level effectively suppresses cavitation, eliminating the energy dissipation caused by bubble collapse; the stabilized pressure field inhibits boundary layer separation and secondary flows, promoting the migration of turbulence structures toward smaller scales; and the optimized vorticity distribution and wall shear stress field ensure efficient momentum transport. Notably, when the outlet gauge pressure exceeds 1.75 atm, the flow transitions completely from cavitation-dominated to viscous dissipation-dominated, achieving an optimal stable state.
- (4)
- The experimental results demonstrate stable operation and precise control of the circulating water system, with the flow velocity showing an approximately linear increase with the pump frequency, confirming favorable controllability of the setup and reliability of the experimental data. A strong linear correlation between the pressure differential and the square of the flow velocity aligns with the dynamic pressure principle described by the Bernoulli equation, indicating stable flow and effective energy conservation within the test section. As the outlet gauge pressure increases, the system pressure drop gradually rises, contributing to enhanced flow stability and improved heat dissipation uniformity, thereby further optimizing the overall system performance. These experimental findings are in mutual agreement with the numerical simulation results presented earlier, validating the reliability and accuracy of the model predictions.
Author Contributions
Funding
Data Availability Statement
Conflicts of Interest
Abbreviations
| Re | Reynolds Number |
| VOF | Volume of Fluid |
| UUVs | Unmanned Underwater Vehicles |
| SABs | Seawater-activated batteries |
| LES | Large Eddy Simulation |
References
- Wang, Y.J.; Jiang, H.T.; Zhang, Y.; Wang, P.P.; Yu, B.W.; Xu, Z. Research Progress on the Electrochemical Performance of Anode Materials for Magnesium Alloy Seawater Batteries. J. Mater. Rep. 2021, 35, 9041–9076. [Google Scholar] [CrossRef]
- Chen, J.M.; Wang, X.D.; Xiong, C.H.; Yang, S.S.; Xu, W.L. Research and Progress Power Battery for Underwater Unmanned Vehicles. In Proceedings of the 5th Summit Forum on Underwater Unmanned System Technology—Conquer the Deep Sea, Lead the Development with Intelligence, Xi’an, China, 15 November 2022; p. 8. [Google Scholar]
- Lin, X.C.; Li, W.K. Numerical Simulation of Portable AUV Hydrodynamic Coefficient. J. Ship Sci. Technol. 2023, 45, 61–65. [Google Scholar] [CrossRef]
- Zhang, H.T.; Wang, S.G.; He, X.H.; Wang, Y.H.; Xu, W.L.; Song, J.M.; Li, Z.; Yang, G.Z.; Wang, X.Y.; Zhang, Q.; et al. Electrochemical Synthesis and Performance of AgCl/Ag/Sliver Mesh Collector Composite Electrode for SeaWater Batteries. J. Electrochem. Soc. 2024, 171, 050549. [Google Scholar] [CrossRef]
- Kim, Y.; Lee, W. Primary Seawater Batteries; Seawater Resources Technology Center, Ulsan National Institute of Science and Technology: Ulsan, Republic of Korea, 2022. [Google Scholar]
- Lu, Y.H.; Yang, L.L.; Zhang, Y.; Zhao, Q. Influence of Simulating Deep-sea Environmental Factors on Cathodic Performance of Seawater Battery. J. Oceanol. Limnol. 2020, 38, 334–341. [Google Scholar] [CrossRef]
- Yang, C.; Bai, R.F.; Wang, W. Study on Electrode Performance Improvement of AgO Seawater Battery. J. Ship Electr. Technol. 2024, 44, 84–86+91. [Google Scholar] [CrossRef]
- Maria, J.G.-G.; Frank, A.G. Miniaturized Al/AgO Coin Shape and Self-powered Battery Featuring Painted Paper Electrodes for Portable Applications. J. Sens. Actuators B Chem. 2018, 273, 101–107. [Google Scholar] [CrossRef]
- Fredy, S.; Dipta, A.; Adi, R.S. Laboratory-Scale Low-Speed Water Tunnel: Comparison of Experimental Flow Visualization and Computer-Aided Simulation. J. Adv. Res. Fluid Mech. Therm. Sci. 2023, 107, 142–164. [Google Scholar] [CrossRef]
- Zhou, J.; Yu, K.; Min, J.; Hu, Z.Q.; Wang, C.; Wang, Z. The Comparative Study of Ventilated Super Cavity Shape in Water Tunnel and Infinite Flow Field. J. Hydrodyn. 2010, 22, 689–696. [Google Scholar] [CrossRef]
- Zhao, P.L.; Chen, Y.H.; Dong, G.; Wang, Z.Y.; Huang, B. Experimental Study on Flow Control of the Turbulent Boundary Layer with Micro-bubbles. J. Acta Mech. Sin. 2018, 34, 830–838. [Google Scholar] [CrossRef]
- Meng, L.; Liu, Y.; Huang, B.; Gao, Y.; Wu, Q. Investigation of Flow-Induced Vibration Characteristics of Flexible Hydrofoil in Unsteady Cavitation. J. Eng. Mech. 2017, 34, 232–240. [Google Scholar] [CrossRef]
- Hou, D.B.; Wang, C.; Xia, W.X.; Li, Y.G.; Zhao, J. Experimental Investigation into the Cavity Shape and Pressure Characteristics of Supercavitating Vehicle with Elastic Trailing Edge. J. Acta Armamentarii 2020, 41, 534–541. [Google Scholar] [CrossRef]
- Chen, T.; Sun, J.; Sun, K.F.; Chen, W.Y. Numerical Study on Effect of Guide Vanes on Flow Field of the Elbow Bend with Uniform Section in Water Tunnel. J. Hydrodyn. 2019, 34, 395–400. [Google Scholar] [CrossRef]
- Zhou, G.; Wang, J.D.; Chen, D.R. Numerical Design of Guide Vanes in Elbow Bends of a Minitype High-speed Water-tunnel. J. Chin. J. Comput. Mech. 2010, 27, 102–109. [Google Scholar] [CrossRef]
- Zhou, G.; Wang, J.D.; Chen, H.S.; Chen, D.R. Optimized Design of the Contraction in a Minitype High-speed Water-tunnel. J. Ship Mech. 2009, 13, 513–521. [Google Scholar] [CrossRef]
- Ren, H.K.; Liu, H.; Du, Y.L.; Dong, G.X. Study on Effect of Honeycomb and Guide Vanes on Flow Field in Test Section of Cavitation Tunnel Based on Numerical Simulation. J. Shanghai Ship Shipp. Res. Inst. 2023, 46, 8–15. [Google Scholar] [CrossRef]
- Zhang, Y.; Wang, J.D.; Chen, D.R. Numerical Simulation of the Effect of the Test Section Shape on the Flow Field in a Minitype High-speed Water-tunnel. J. Lubr. Eng. 2012, 37, 9–14. [Google Scholar] [CrossRef]
- Improta, J.U. The Development of a High-speed Water Tunnel. Ph.D. Thesis, The University of Iowa, Iowa City, IA, USA, December 2024. [Google Scholar]
- Wang, W.; Wang, C.; Du, Y.F.; Li, C.H. Simulation Study of Ventilated Supercavity in a Periodic Gust Flow. J. Acta Armamentarii 2018, 39, 1772–1779. [Google Scholar] [CrossRef]
- Song, W.C.; Wang, C.; Wei, Y.J.; Xu, H.; Lu, J.X. Experimental Research on Drag Reduction Characteristics of Underwater Vehicle during Pitching. J. Acta Armamentarii 2019, 40, 1902–1910. [Google Scholar] [CrossRef]
- Chen, J.M.; Xu, W.L.; Wang, X.D.; Yang, S.S.; Xiong, C.H. Progress and Applications of Seawater-activated Batteries. Sustainability 2023, 15, 1635. [Google Scholar] [CrossRef]
- Wang, Z.H. Experiment and Numerical Simulation Research on the Double Pipe Gas Jet of Underwater Vehicle. Master’s Thesis, Harbin Institute of Technology, Harbin, China, 2021. [Google Scholar]
- Zhou, J.J. Optimization of Hydrodynamic Characteristics of S Hydrofoil and Its Application Research. Master’s Thesis, Jiangsu University, Zhenjiang, China, 2022. [Google Scholar]
- Chen, W.S.; Xiang, Q.J.; Li, Y.J.; Liu, Z. On the Mechanisms of Pressure Drop and Viscous Losses in Hydrofoil Tip-Clearance Flows. Energy 2023, 269, 126712. [Google Scholar] [CrossRef]
- Zhou, G. Design of a Minitype High-Speed Water Tunnel and Research on the Drag Reduction of Traveling Wave. Ph.D. Thesis, Tsinghua University, Beijing, China, 2008. [Google Scholar]
- Geng, Z.H.; Cai, J.S.; Jiang, Y.B.; Chen, C. Hydrodynamic Design and Flow Field Calibration of Low Turbulence Intensity Water Tunnel. J. Hydrodyn. 2019, 34, 682–690. [Google Scholar] [CrossRef]
- Prabhakar, K.; Nidhi, S.; Sudip, K.P.; Ashish, G. Computational comparison of passive control for cavitation suppression on cambered hydrofoils in sheet, cloud, and supercavitation regimes. J. Phys. Fluids. 2024, 36, 104113. [Google Scholar] [CrossRef]
















| Material Name | ρ/kg·m3 | C/J·(kg·K)−1 | Q/W·(m·K)−1 | μ/kg·(m·s)−1 |
|---|---|---|---|---|
| Cooling water | 998.2 | 4182 | 0.6 | 0.001003 |
| water vapour | 0.5542 | 4186 | 0.0261 | 0.0000134 |
| Equipment Name | Equipment Parameters |
|---|---|
| Circulation Water Pump and Frequency Converter | Model: ISG250-400A-90 kW Flow Rate: 440 m3/h Head: 45 m Rotational Speed: 1450 r/min Rated Motor Power: 90 kW Converter Capacity: 110 kW |
| Pressure Sensor | Measurement Range: 0~1 MPa Accuracy: ±0.075%; Analog Output: 0~5 Vdc |
| Temperature Sensor | Measurement Range: 0~200 °C; Accuracy: ±0.2%; Analog Output: 0~5 Vdc |
| Temperature Control Unit | Temperature Control Unit: 60 kW Heating Capacity: 60 kW Temperature Control Range: 5 °C~35 °C Temperature Control Accuracy: ±1 °C |
| Thermostatic water tank | Power: 1.8 kW Temperature control range: indoor temperature ~99.9 °C Temperature control precision: ±0.1 °C |
| Electrolyte pump | Lining material: PTFE Maximum flow rate: 7.5 m3/h Medium temperature: −10~120 °C |
| Spiral runner | Sizes:350 mm × Φ150 mm Material: Aluminum alloy |
| Temperature control valve | Medium temperature: 0~120 °C Lining material: 316L stainless steels Flow rate characteristics: Equal percentage |
| Water pump | Power: 90 kW Flow rate: 440 m3/h Lift: 45 m |
| No. | Circulation Pump Frequency (Hz) | Flow Rate (m3/h) | Water Tank Pressure (MPa) | Test Section Inlet Pressure (MPa) | Test Section Outlet Pressure (MPa) | Calculated Flow Velocity (m/s) | Pressure Difference (MPa) |
|---|---|---|---|---|---|---|---|
| 1 | 5 | 34 | 0.44 | 0.45 | 0.45 | 2.4 | 0 |
| 2 | 10 | 75.70 | 0.44 | 0.46 | 0.45 | 5.3 | 0.01 |
| 3 | 15 | 115.3 | 0.44 | 0.48 | 0.45 | 8.1 | 0.03 |
| 4 | 20 | 155.5 | 0.44 | 0.51 | 0.45 | 10.9 | 0.06 |
| 5 | 25 | 193.1 | 0.45 | 0.54 | 0.46 | 13.5 | 0.08 |
| 6 | 30 | 231.5 | 0.45 | 0.59 | 0.46 | 16.2 | 0.13 |
| 7 | 35 | 267.1 | 0.45 | 0.64 | 0.47 | 18.7 | 0.17 |
| 8 | 40 | 305.1 | 0.45 | 0.70 | 0.47 | 21.3 | 0.23 |
| 9 | 45 | 322.7 | 0.45 | 0.72 | 0.47 | 22.6 | 0.25 |
| 10 | 50 | 338.1 | 0.45 | 0.75 | 0.48 | 23.7 | 0.27 |
| 11 | 55 | 355.8 | 0.45 | 0.78 | 0.48 | 24.9 | 0.3 |
| 12 | 60 | 376.5 | 0.45 | 0.81 | 0.48 | 26.3 | 0.33 |
| 13 | 65 | 380 | 0.45 | 0.82 | 0.49 | 26.6 | 0.33 |
| 14 | 70 | 390 | 0.45 | 0.84 | 0.49 | 27.3 | 0.35 |
| No. | Cooling Water Flow Velocity (m/s) | Cooling Water Temperature (°C) | Initial Electrolyte Temperature (°C) | Electrolyte Flow Rate (m3/h) | Electrolyte Outlet Temperature (°C) | Electrolyte Inlet-Outlet Temperature Difference ΔT (°C) | Cooling Power (kW) |
|---|---|---|---|---|---|---|---|
| 1 | 2.0 | 22.0 | 80.0 | 2.4 | 80.4 ± 1 | 0.4 ± 1 | 1.40 |
| 2 | 5.0 | 22.0 | 80.0 | 2.4 | 80.3 ± 1 | 0.3 ± 1 | 1.05 |
| 3 | 10.0 | 22.0 | 80.0 | 2.4 | 80.1 ± 1 | 0.1 ± 1 | 0.35 |
| 4 | 10.0 | 5.0 | 80.0 | 2.4 | 80.2 ± 1 | 0.2 ± 1 | 0.70 |
| 5 | 10.0 | 35.0 | 80.0 | 2.4 | 81.3 ± 1 | 1.3 ± 1 | 4.51 |
| 6 | 10.0 | 22.0 | 70.0 | 2.4 | 81.9 ± 1 | 11.9 ± 1 | 41.47 |
| 7 | 10.0 | 22.0 | 90.0 | 2.4 | 81.5 ± 1 | −8.5 ± 1 | −29.62 |
| 8 | 10.0 | 22.0 | 80.0 | 0.5 | 80.8 ± 1 | 0.8 ± 1 | 2.79 |
| 9 | 10.0 | 22.0 | 80.0 | 1.2 | 80.1 ± 1 | 0.1 ± 1 | 0.35 |
Disclaimer/Publisher’s Note: The statements, opinions and data contained in all publications are solely those of the individual author(s) and contributor(s) and not of MDPI and/or the editor(s). MDPI and/or the editor(s) disclaim responsibility for any injury to people or property resulting from any ideas, methods, instructions or products referred to in the content. |
© 2025 by the authors. Licensee MDPI, Basel, Switzerland. This article is an open access article distributed under the terms and conditions of the Creative Commons Attribution (CC BY) license.
Share and Cite
Dou, Z.; Du, Y.; Du, Z.; Liu, F. Design and Experimental Investigation of a Small High-Speed Water Tunnel Test Section. Fluids 2026, 11, 2. https://doi.org/10.3390/fluids11010002
Dou Z, Du Y, Du Z, Liu F. Design and Experimental Investigation of a Small High-Speed Water Tunnel Test Section. Fluids. 2026; 11(1):2. https://doi.org/10.3390/fluids11010002
Chicago/Turabian StyleDou, Zhaoliang, Yue Du, Zhuangzhuang Du, and Fengbin Liu. 2026. "Design and Experimental Investigation of a Small High-Speed Water Tunnel Test Section" Fluids 11, no. 1: 2. https://doi.org/10.3390/fluids11010002
APA StyleDou, Z., Du, Y., Du, Z., & Liu, F. (2026). Design and Experimental Investigation of a Small High-Speed Water Tunnel Test Section. Fluids, 11(1), 2. https://doi.org/10.3390/fluids11010002
