Next Article in Journal
Research on Liquid Flow Pulsation Reduction in Microchannel of Pneumatic Microfluidic Chip Based on Membrane Microvalve
Previous Article in Journal
Air–Water Dynamic Performance Analysis of a Cross-Medium Foldable-Wing Vehicle
 
 
Font Type:
Arial Georgia Verdana
Font Size:
Aa Aa Aa
Line Spacing:
Column Width:
Background:
Article

Geometric Optimization of a Tesla Valve Through Machine Learning to Develop Fluid Pressure Drop Devices

Department of Mechanical and Aerospace Engineering, Naval Postgraduate School, Monterey, CA 93943, USA
*
Author to whom correspondence should be addressed.
Fluids 2025, 10(10), 255; https://doi.org/10.3390/fluids10100255
Submission received: 4 September 2025 / Revised: 24 September 2025 / Accepted: 26 September 2025 / Published: 27 September 2025
(This article belongs to the Section Mathematical and Computational Fluid Mechanics)

Abstract

Thorough investigation into Tesla valve (TV) design was conducted across a large design of experiments (DOE) consisting of four varying geometric parameters and six different Reynolds number regimes in order to develop an optimized pressure drop device utilizing machine learning (ML) methods. A non-standard TV design was geometrically parameterized, and an automation suite was created to cycle through numerous combinations of parameters. Data were collected from completed computational fluid dynamics (CFD) simulations. TV designs were tested in the restricted flow direction for overall differential pressure, and overall minimum pressure with consideration to the onset of cavitation. Qualitative observations were made on the effects of each geometric parameter on the overall valve performance, and particular parameters showed greater influence on the pressure drop compared to classically optimized parameters used in previous TV studies. The overall minimum pressure demonstrated required system pressure for a valve to be utilized such that onset to cavitation would not occur. Data were utilized to train an ML model, and an optimized geometry was selected for maximized pressure drop. Multiple optimization efforts were made to meet design pressure drop goals versus traditional diodicity metrics, and two geometries were selected to develop a final design tool for overall pressure drop component development. Future work includes experimental validation of the large dataset, as well as further validation of the design tool for use in industry.

1. Introduction

The Tesla valve (TV), originally patented by Nikola Tesla in 1920, demonstrates how a device with no moving internal components can greatly restrict flow in a single direction and allow free flow in the opposite [1]. There have been many efforts to determine the optimal way to design a TV, but this has been dependent on the initial design selected by the end user and the number of geometries chosen to vary over a given study.
Previous research was conducted on a symmetric TV, and a correlation between Reynolds number and overall pressure differential was determined while only varying a single geometric parameter [2]. Furthermore, correlation for overall pressure differential versus the number of valves in series within a multistage Tesla valve (MSTV) was developed [2]. Another study analyzed the impact to varying two geometric parameters as well as the Reynolds number on an unconventional Tesla valve geometry. Using a genetic algorithm and a predictive mode, the study successfully optimized the conduit’s performance [3]. Limited research on Tesla geometry optimization exists outside the laminar regime, and quite typically only one or two geometric parameters are varied to find the optimal design. It is noted within this research, however, there are many other geometric variances that may occur to improve the TV’s performance and is dependent on how the initial geometry is defined.
Analytical models have been developed previously for MSTV performance. Previous research utilized a pre-optimized TV design to develop a relationship for conduit performance over a range of Reynolds numbers [4]. This study remained in the laminar regime and only varied one parameter to develop a power-law relationship for overall performance [4]. As the number of geometric parameters varied increases, the complexity of developing an effective analytical model for evaluating overall performance also increases.
Furthermore, most studies focus on the low Reynolds number regimes as microfluidics have been one of the main fields of study to effectively utilize the TV geometry. A general review of Tesla geometries in microfluidics discussed how the TV is a perfect design for microfluidic and nanofluidic realms due to its passive nature and lack of moving components [5].
The question has been posed as to whether a TV can be geometrically optimized in a turbulent Reynolds number regime, and a tool developed to create an MSTV to obtain an overall pressure drop in the reverse flow direction instead of optimizing the diodicity. Modern developments in machine learning (ML) have enabled advances in optimization problems as the ML models can better predict complex flow fields and structures within a domain, making them useful in a geometry study such as a TV. Research showed that utilizing an ML model for a turbine rotor fluid flow analysis accurately predicted and modeled flow unsteadiness in a highly complex flow field within a 10% error, while greatly reducing computational expense [6]. Another study utilized ML modeling to accurately predict transonic flutter aerodynamics of airfoils again while reducing the overall computational expense [7].
Modern additive manufacturing (AM) methods have made the TV and other complex designs more manufacturable. Novel designs have yet to be adequately explored due to their lack of manufacturability in the past. This study aims to develop a design of experiments (DOE) in order to optimize the geometry of a TV across turbulent flow regimes and then exploit the strength of an ML model to extract the optimal geometry for a single valve. The DOE varies four geometric parameters over a range of Reynolds numbers spanning from laminar to turbulent flow. The optimized design is then developed into an MSTV optimization tool that determines the length of a given MSTV needed to obtain a desired pressure drop, while avoiding onset to cavitation internally. The MSTV design selected is then additively manufactured and tested experimentally for validation.

2. Materials and Methods

2.1. Geometric Optimization Study

An investigation into TV geometry was conducted on a simplified, straight-through main passage variant rather than the traditional kinked main flow path type. An over arching scripting interface was developed integrating automatic geometry generation, computational fluid dynamics (CFD) simulation, and data analysis. Software platforms utilized include SolidWorks® 2023, Ansys CFX® 2023 R2, and MATLAB® 2024 b. A base geometry, found in Figure 1, was utilized to explore how the performance of a TV changes through geometric variance.
The parameter space was developed by generating a design of experiments (DOE) matrix with the variation of four geometric parameters and a series of Reynold’s Numbers. The DOE was as follows:
  • Symmetry Ratio ( R s y m = d x L a r m ) = [ 0.0 ,   0.2 ,   0.4 ,   0.6 ,   0.8 ,   1.0 ,   1.2 ] ,
  • Diameter Ratio ( R D = d D ) = [ 0.0 ,   0.2 ,   0.4 ,   0.6 ,   0.8 ,   1.0 ]   ,
  • Inlet Angle ( A i n ) = [ 10 ,   15 ,   20 ,   25 ,   30 ] ,
  • Outlet Angle ( A o u t ) = [ 20 ,   30 ,   40 ,   50 ,   60 ,   70 ,   80 ] ,
  • Reynolds Number = [ 10 1 ,   10 2 ,   10 3 ,   10 4 ,   10 5 ,   10 6 ] .
R s y m as seen in Figure 1 is defined as the symmetry of the TV, where a ratio of zero would be referred to as a symmetric TV and a ratio of 1.0 or higher would be an asymmetric TV. Any values in between would be referred to as a partial asymmetric TV. The length R s y m in Figure 1 is equal to the Symmetry Ratio multiplied by the length between the inlet and outlet of the first arm. R D is the ratio of the diameter of the arm (d) versus the diameter of the main channel (D). The main diameter (D) was set at 4 mm for the entirety of this study. A i n is defined as the inlet angle at which the fluid is diverted from the main channel. It can also be seen that A o u t is defined as the outlet angle at which the fluid returns to the main channel. Each combination was run over a series of different Reynolds number regimes ranging from laminar flow, based on the main channel velocity and diameter, to turbulent flow. The study overall encompassed a total of 7350 CFD simulations.
Several measurements were automatically stored for later analysis. These included differential pressure Δ P across each valve and the minimum pressure P m i n within each realization of the valve geometry. Minimum pressure was utilized for determination of the onset of cavitation through single-phase CFD simulations, as done in previous work by Ferrarese et al. [8]. The pressure utilized for onset of cavitation was 0.5 psi, based on the approximate saturation pressure value of water at atmospheric conditions at the outlet [9].
Meshes for the computational analysis were unstructured tetrahedral based with prism inflation layers. Generally inflation layers for the boundary were generated with a growth rate of 1.2 and five elements, such that the interface with the bulk mesh resulted in a similarly sized element. A mesh sensitivity study was completed prior to commencement of the geometric study. Due to the vast diversity of valve geometries in this study, a simple partial symmetric valve with R s y m = 0.6 , R D = 1.0 , A i n = 15 , A o u t = 40 , and a Reynolds Number of 10 4 was utilized for the mesh sensitivity study. A series of meshes were developed with varying inflation layers, and the differential pressure and minimum pressure throughout the fluid domain were obtained for further analysis. y + values were controlled based on defining the first layer height. Results of the study can be found in Table 1.
The study demonstrated computational expense can be spared to achieve consistent differential pressures from a coarse mesh. The sacrifice in accuracy of minimum pressures was accounted for as a safety factor in the developed design tool discussed later. The decision to utilize the medium mesh consisting of a base mesh size of 0.5 mm and five inflation layers at a smooth transitional growth rate of 1.2 was made resulting in an average y + of 6.16. The y + in areas of high shear was approximately 15. The turbulence model for the simulations was k ω SST. The study also found that adding hydraulically insignificant fillets at the sharp corners in the Tesla model better allowed the inflation layers to form within the mesh across all geometries. This was demonstrated by the negligible change in results for converged solutions prior to implementation compared to converged results after implementation.
The overall layout of the automation suite developed can be found in Figure 2. The base geometry was parameterized and linked to an external text file. The MATLAB® code then iterates one design at a time by first editing the parameterized text file, and then directing Computer Aided Design (CAD) software, in this case SolidWorks® 2023, to rebuild. The file is then saved as a parasolid in a known directory. Utilizing a series of Python® scripts, the code then replaces the geometry of a previously constructed CFD case structure with the rebuilt geometry that maintains all the appropriate volumes and patches/surfaces. For this study, the prebuilt case was an ANSYS CFX® module within ANSYS Workbench.
The preset mesh settings were selected from the sensitivity study and applied across all models utilized within the study. This was an accepted risk to the results as y + will vary between models, but the expected overall pressure drop data were anticipated to be marginally unaffected as the majority of the pressure drop occurs due to bulk flow fluid turbulence and not due to wall shear. The fluid was defined as incompressible, with constant property water at 25 °C and the boundaries defined with no slip walls, a velocity defined inlet, and an outlet at atmospheric pressure. The file was then executed to update the new geometry and generate the mesh, run over the six different Reynolds number regimes 10 1 , 10 2 , 10 3 , 10 4 , 10 5 , 10 6 , and then output the Δ P and P m i n across the fluid domains. Those outputs are extracted to a Comma Separated Values (CSV) file, where the master code, written in MATLAB, extracts that data and saves it in an array for later processing. The overall study took approximately three weeks of wall clock time to complete the 7350 simulations.
Pressure drop was non-dimensionalized by the average velocity and density into the Euler Number, defined as
E u = Δ P ρ V 2 ,
where Δ P is the differential pressure, ρ is the density, and V is the inlet velocity.
The data were plotted in several combinations to observe data trends. The saved minimum pressure, P m i n , often indicated significant negative pressure and was always less than the outlet pressure, as expected. To give physical meaning to this from the incompressible calculation results, a new variable is defined, the required system pressure ( P r e q ) to avoid non-physical, or cavitation realizations in a test platform. P r e q was defined as the pressure to keep the system above 0.5 psi minimum (or the approximate onset to cavitation pressure at standard temperature and pressure with an engineering margin applied.). The most effective plot method was found to be plotting required system pressure ( P r e q ) as a function of the calculated Euler number.

2.2. Machine Learning Model Development and Optimization

An analytical solution to the results was desired to further optimize the TV design for a pressure drop device. Manual development methods utilizing conservation of momentum as well as continuity equations proved to be unreliable and highly inaccurate. The data were observed to have no significant abnormalities or outliers. Data were then formatted accordingly to MATLAB’s required syntax and then utilized to train a machine learning (ML) model within MATLAB’s Regression Learner Application. The Regression Learner Application resides in MATLAB’s Machine Learning Toolbox.
All models available within MATLAB were trained initially to observe which model would be most accurate in valve performance prediction. The best ML model found for the 10 4 Reynolds number regime was a Gaussian Process Regression (GPR) model. The design criteria placed the studies focus on the 10 4 regime. Focus was put on the 10 4 regime, as that was where the design criteria placed the desired fluid domain. That regime’s data were then randomly separated into a train and test set ( 90 % and 10 % , respectively), and hyperparameter optimization was then performed on the GPR utilizing a Bayesian Optimization scheme and resulted in the model parameters found in Table 2. An optimized model was developed using this same process for valve performance predictions across each Reynolds number regime individually, resulting in six different models overall. A fine mesh of the parameter space consisting of 61,000,000 combinations of R s y m , R D , A i n , and A o u t was applied to the 10 4 model to find the geometry that yielded the expected maximum pressure drop.

2.3. Series Design Tool

Two designs were chosen to develop an overall design tool in the search for an optimized pressure drop device without inducing cavitation. A generic symmetric Tesla design at R s y m = 0.0 , R D = 1.0 , A i n = 15 , A o u t = 25 , and the ML optimized design were chosen. A series of CFD simulations of each design were run over a range of inlet velocities from 2 to 10 m/s, and the number of valves in series (N) was increased as well. The mesh settings remained the same, and the boundaries and outputs were defined as before in the previous study. As an example, a five-series symmetric valve refers to five symmetric TVs in series. A four-series optimized TV consists of four optimized TVs, from the ML study, in series.
This data were non-dimensionalized again utilizing the Euler number and were plotted with the P r e q for each Series Number (N). The Series Number (N) is defined as the number of TVs in a row within a particular flow passage. Two curves were then developed from this data. A relationship between Euler number and N was found to be linear, which demonstrated the principle of superposition. This was demonstrated across both designs. This linear fit allowed for a relationship to be developed based on the inlet velocity for a given N and the desired pressure drop required. This inlet velocity was defined as the desired velocity ( V d e s ) curve. Desired velocity was formally defined as
V d e s = Δ P ρ · E u ( N ) ,
where E u ( N ) is the Euler number obtained from the linear fit of the Eu versus N plot as described previously, and Δ P is the desired differential pressure drop of the device.
Another relationship was developed by capturing the inlet velocity that induces onset to cavitation within a given series. A safety factor of two was arbitrarily selected and applied within the design tool to increase the margin to onset of cavitation; this can be easily altered by the user to set a different safety factor or to consider overall system operating pressures that may suppress cavitation. This velocity of onset to cavitation was defined as the critical velocity ( V c r i t ) and was a function of N.
Finalized designs were developed using V c r i t , N, and V d e s required to achieve the desired pressure drop while avoiding onset of cavitation. The finalized designs determined the number of flow paths in parallel based on the inlet velocity and applying equations of continuity.
Final designs chosen utilized a minimum passage diameter allowed of 0.1 in for guaranteed additive manufacturing resolution and preventing particular particle sizes from clogging passages. This also allows the overall length of the component to be minimized by scaling down the passages to this limit. Parallel flow paths were then distributed axisymmetrically to develop the overall pressure drop device. Design objectives for this study are given in Table 3.
The valve flow coefficient was used as the primary evaluation metric. Based on the values in Table 3, and a valve flow coefficient defined as
C v = Q · S G Δ P
where flow rate Q must be in gallons per minute (gpm), the specific gravity S G is set at 1.0 for this study, as water is the only medium utilized, and Δ P must be in pounds per square inch (psi). The C v objective for this research was 6.4. C v is solely used in the US Customary System of Units, and the design goals were defined under the same system as well. The entirety of the results will remain in the SI system with the exception of final design lengths or diameters, which will be defined in inches. All data collected, as well as code utilized, are available per request from the corresponding author.

3. Results

3.1. Geometric Optimization Study

The overall results across all Reynolds number regimes can be found in Figure 3. From the log-log plot, it is apparent that the state of the flow, whether laminar or turbulent, has a great impact on the performance of the valve. Looking across Euler numbers, laminar flow appears to have higher pressure drops relative to the inlet velocity when compared to the higher turbulent regimes. In the transition regime, a bifurcation appears within the dataset that continues to appear as the flow becomes more turbulent. To identify critical parameters for valve performance, the plot in Figure 3 was repeated while highlighting various ranges of each parameter. The result, varying A i n , A o u t , R s y m , and R D is shown in a log-log plot on Figure 4.
The inlet angle has a significant influence on performance in the lower Reynolds number regimes. Lower values of inlet angle are observed to result in increased pressure drop within the laminar and transitional flow regimes. At higher Reynolds numbers, however, the trend is not as clear and will be shown later to be dependent on multiple other parameters in the optimization of valve performance. Similar to the variation of the inlet angle, modifying the outlet angle results in no clear change in the performance of the valve. This is a significant result that is directly in contradiction to some previous research and warrants further study [2,10]. The current investigation indicates that there are geometric parameters of the valve design that have a stronger influence, in conjunction with A i n and A o u t , on overall performance.
The diameter ratio, as shown in Figure 4c, has a clear defining role in causing the bifurcation seen in the 10 2 and 10 3 regimes. This bifurcation divides two sets of valves who can perform similarly in terms of overall Δ P , but some may be susceptible to higher P r e q as a results. It is believed that the bifurcation results from a critical amount of flow being reached within the arm versus the main channel. In the higher turbulent regimes, as observed in the 10 4 regime in Figure 5, it is made clear that a higher diameter ratio results in a larger Δ P but at the consequence of requiring a larger P r e q . As the arm diameter increases the amount of flow that can enter the arm and converge back on the main channel which results in a larger flow separation from the wall, yielding smaller minimum pressures in that region of flow separation.
Finally, the strongest parameter observed across all regimes was the symmetry ratio. The higher the R s y m , the larger the pressure drop achieved, but with an increase in P r e q as well. This study focused on 10 4 as a result of the combination of requirements and how they fit into the design space. The behavior of increasing R s y m can be seen in Figure 5.
As a valve becomes completely asymmetric, it behaves more like two separate valves as the arms become decoupled from one another, and flow through each arm is maximized, resulting in larger fluid interactions at the convergent points along the main channel of the valve, and conversely larger flow separation and higher P r e q . This behavior is more clearly seen in Figure 6, where the left-hand side of each image is the velocity flow field from the CFD and the right-hand side illustrates the point along the plot where that geometry resides. As R s y m goes from symmetric to partial asymmetric and then to complete asymmetric, the location along the curve shifts to the upper right of the plot. This yields higher differential pressures, but again at the cost of a higher P r e q . It is of note though as this is a log-log plot, and the gain in differential pressure along this plot exceeds the increase in P r e q .
From these observations, it is clear that an asymmetric valve with a large diameter ratio is desired, but no clear decision could be made on the angles. The development of an analytical, mechanistic model to find the optimal design for maximum pressure drop would be advantageous and is left for continued investigation.

3.2. Machine Learning Model Development and Optimization

The GPR-based model was observed to be the best fit for each individual Reynolds number regime. Initially, a single model was attempted to fit all data by adding the Reynolds number as an input, but this did not yield satisfactory results. The percent relative error distributions of each model over an individual regime can be seen in Figure 7. Each model had an average percent relative error less than 1%, with the laminar regime of 10 1 having the maximum error of approximately 15 % .
Based on the results of the error distribution, the models were deemed satisfactory in predicting TV performance. As discussed in Section 2.2, a fine mesh of 61,000,000 combinations contained within the boundary of the study was fed into the model. This resulted in an output of equal size, where the maximum Δ P was selected and the corresponding geometric parameters were selected as the optimized geometry.
The ML optimized geometry can be seen in Figure 8, and the parameters are given in Table 4.
Two other analytical optimization methods were investigated for this study. The first observed which geometry had the highest differential pressure drop per unit length. As a result of the parameter study setup, as R s y m increased so does the unit length of that geometry, which led to the question: does the increase in Δ P gained by an asymmetric TV outweigh the added length required? Lengths were determined geometrically for each design iteration and were then divided from their corresponding differential pressures. Maximizing this and looking at the resulting geometry yielded the same resulting optimized geometry seen previously in Figure 8.
A final optimization method involved maximizing the ratio of Δ P P r e q for each geometry. This was done as a max–min problem so as to find the maximum differential pressure for the smallest required system pressure. The results yielded a TV with R s y m = 0.0 , R D = 0.2 , A i n = 30 , and A o u t = 30 . In comparison, the ML optimized geometry has a Δ P about 2.23 times higher and an approximate 11.26 times higher P r e q . When taking into consideration the lesser pressure drop and possible system pressures that could suppress cavitation yielding a higher design P r e q , this symmetric geometry would result in a significantly longer series required in order to achieve desired differential pressures when compared to the ML optimized design. It is worth noting that a future exploration into variable geometry MSTV designs should be considered where the geometry chosen along the individual flow path is selected to maximize Δ P while maintaining margin to cavitation, since the fluid velocity tends to increase along each subsequent stage. Based on the results, it was decided to solely explore the ML optimized geometry for the Series Design Tool along with a symmetric design for comparison.

3.3. Design Development

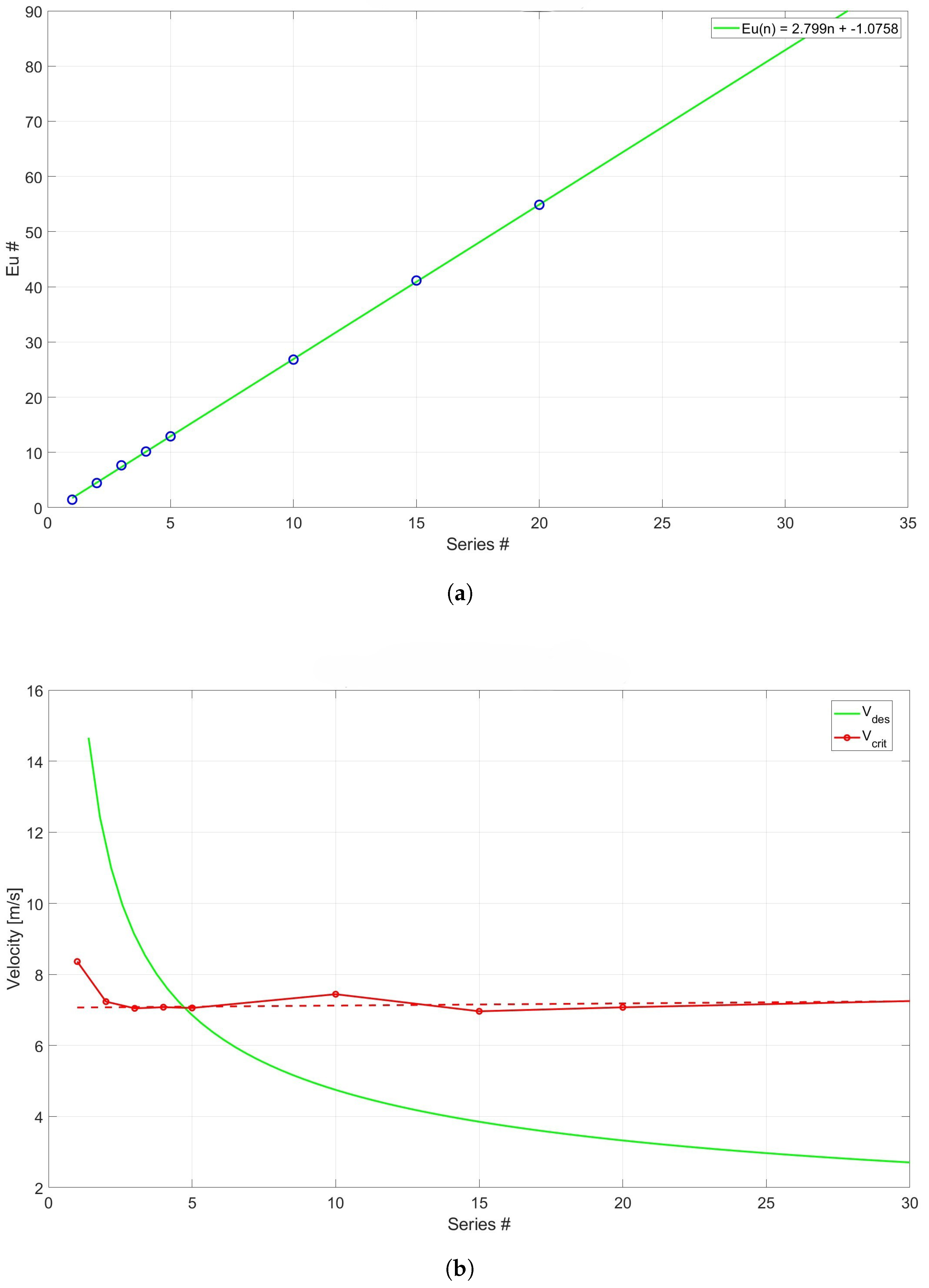
The symmetric TV design, defined in Section 2.3, resulted in the data plots seen in Figure 9. With the exception of the N  = 20 data point, the principle of superposition was well demonstrated based on the linearity of the Euler plot. Utilizing the equation of fit and the desired pressure drop, the V d e s curve is developed and plotted against V c r i t as well as a dotted line for best fit of the V c r i t data.
Based on the results of Figure 9, an eight-series symmetric TV design would be the first choice in developing the desired Δ P at a particular inlet velocity ( V i n 7.8 m/s) while maintaining margin to cavitation. It is important to note that the development of the V c r i t was developed with a safety factor of two to the onset of cavitation at ambient pressure. This curve would expect to shift upwards with higher allowable velocities if the design system pressure is taken into account for suppressing cavitation. Using the inlet velocity desired and applying continuity resulted in 99 parallel flow paths required at the minimum diameter allowed of 2.54 mm (0.1 in), which are visualized in Figure 10.
Due to packaging constraints, two separate radial paths had to be used and staggered in order to fit the 99 paths desired. This was unable to be physically produced for testing as a result of tolerance requirements being beyond that capable of the additive manufacturing methods utilizing polylactic acid (PLA). Alternatively, a four-series design utilizing only 58 parallel flow paths, as seen in Figure 11, was developed with a removable nozzle and diffuser. The nozzle and diffuser was added in combination with the base design to conduct flow conditioning upstream and downstream of the main component during the tests.
The four-series symmetric Tesla design was then additively manufactured out of PLA and underwent a Computed Tomography (CT) scan to validate internal geometry and print quality prior to testing. An image from the scan can be found in Figure 11, where internal geometry and print quality was visually verified throughout the part.
Hydraulic testing in a water facility resulted in a C v = 6.7 , with a resultant error from design goal of approximately 4 % . The same design was printed out of resin, which had a significant reduction in surface roughness compared to the PLA. A lesser pressure drop was observed, demonstrating that manufacturing precision and surface finish may play a role in the performance difference between designs.
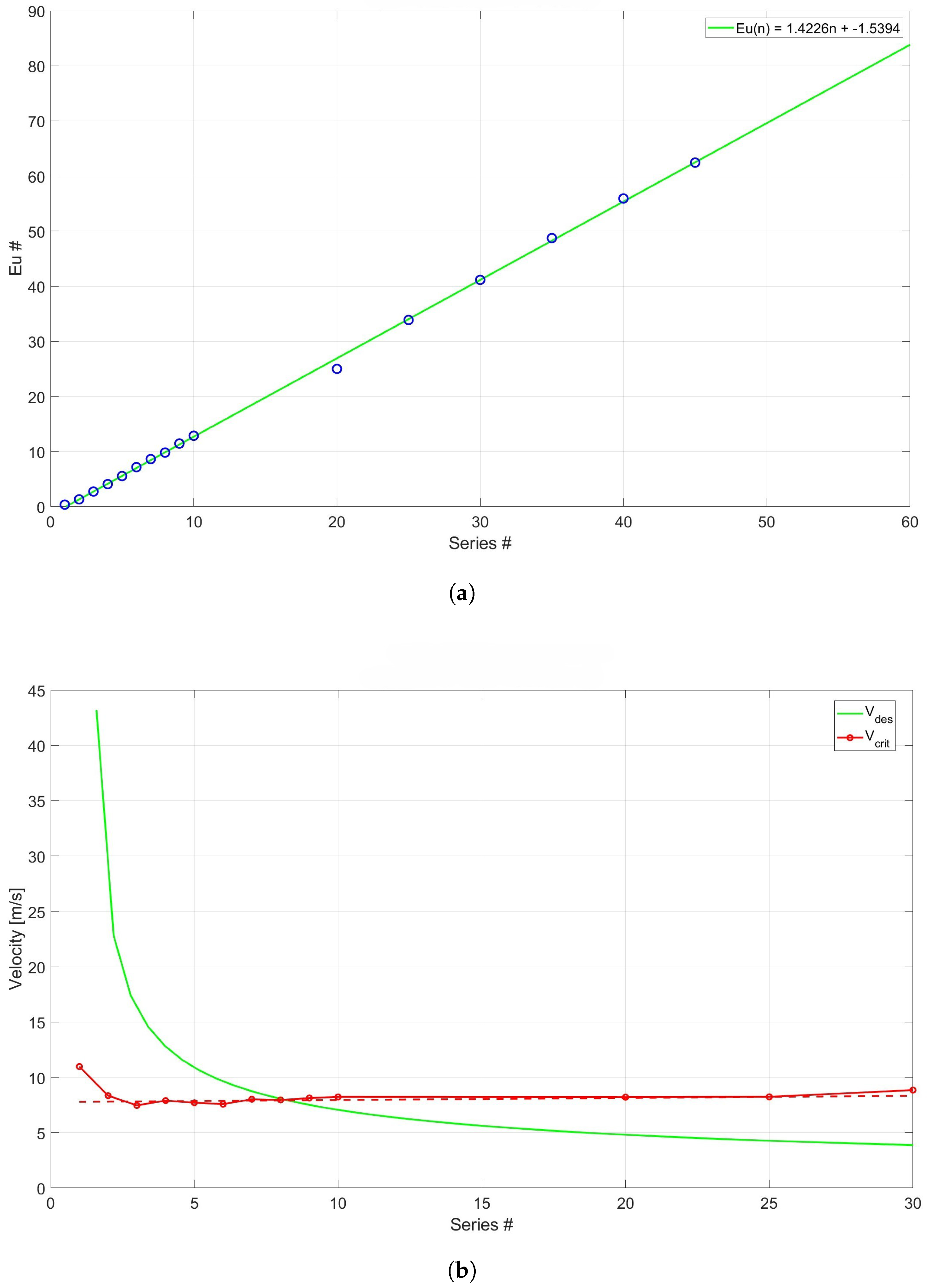
The same tool development process was completed for the ML optimized Tesla geometry, resulting in Figure 12.
A five-series optimized design was selected and developed, and required an 108 parallel flow paths. This also was unable to be physically produced for testing as a result of tolerance requirements being beyond that capable of the additive manufacturing methods utilized. A comparison of the symmetric and optimized designs can be seen in Figure 13, and an example flow field of a symmetric series design can be found in Figure 14.
A final exploration was completed, investigating if there was a partial asymmetric Tesla geometry that would result in a better design when added in series. The previous ML results were optimized for the partial asymmetric valve with the highest Δ P . The results yielded a partial asymmetric TV with R s y m = 0.6 , R D = 0.8 , A i n = 20 , and A o u t = 20 . The same series tool development methods were utilized and resulted in the final results listed in Table 5. The partial asymmetric design needed a higher series number and thus resulted in an even longer design.

4. Discussion

All designs met the length goal; however, the development of an optimal design does not ensure such a design is readily manufacturable. The results of the four-series test seem promising for future work. Such work should redevelop the series design tools with specific system pressures to avoid margin to cavitation. This should shift the critical velocity curves resulting in faster allowable inlet velocities, and consequently decrease the number of parallel flow paths to achieve those inlet velocities.
Future work on this study should work to validate these results experimentally in a fluid loop setup, which is currently in progress at the Naval Postgraduate School (NPS) Turbo-Propulsion Laboratory (TPL). In addition, work should include simulating and testing these valves in the forward flow direction to validate diodicity of these geometries.
This research is limited in its applicability within industry; however, this study opens the door for novel geometries to be explored due to the developments in additive manufacturing. Furthermore, the turbulent flow regimes explored outline future applicability in large industry fluid systems such as commercial power plants and large propulsion plants onboard ships.

5. Conclusions

Tesla valve performance for maximizing overall pressure drop was thoroughly explored through one of the world’s largest studies on Tesla valve geometry and fluid flow variations. Optimization of a pressure drop device was completed for a turbulent Reynolds number of 10 4 . The process was proved repeatable across a wide range of Reynolds numbers utilizing ML models. The geometric parameter of Symmetry Ratio, R s y m , had the strongest impact on valve performance, as a higher ratio resulting in asymmetric designs yielded higher pressure drops. The Diameter Ratio, R D , caused a particular bifurcation across many Reynolds number regimes, yielding higher Δ P and P r e q as the ratio increased. The inlet and outlet angles, A i n and A o u t , were strongly dependent on the overall combination of all four geometric parameters. This demonstrated that many geometric parameters must be considered when optimizing the TV design. Furthermore, a unique design tool can be developed to a particular Tesla geometry for an MSTV, and that can be further manipulated to design for onset of cavitation internally as well as desired overall Δ P . Experimental results demonstrated a 4 % error in comparison to the analytical design tool developed.
Current work and efforts yet to come involve validating the large data set as well as further validation of the design tool for use in future developmental work in industry. This process can be repeated in ease for numerous geometries that are now available due to modern additive manufacturing capabilities.

Author Contributions

Conceptualization, A.S. and W.S.; methodology, A.S., J.I., W.S., and A.G.; software, A.S. and J.I.; validation, A.S. and W.S.; formal analysis, A.S., W.S., and A.G.; investigation, A.S. and W.S.; resources, A.S.; data curation, A.S. and J.I.; writing—original draft preparation, A.S.; writing—review and editing, A.S., J.I., W.S., and A.G.; visualization, A.S.; supervision, W.S. and A.G.; project administration, W.S. and A.G.; funding acquisition, W.S. All authors have read and agreed to the published version of the manuscript.

Funding

This research received no external funding.

Data Availability Statement

The raw data and source code supporting the conclusions of this article can be made available by the authors upon request.

Acknowledgments

We would like to first thank our families and loved ones for their foundational support and encouragement throughout this process. Furthermore, we are extremely grateful for the amazing team at the NPS Turbo-propulsion Laboratory (TPL) for the tremendous support, camaraderie, and expert feedback in progressing this project. Finally, we would also like to pass our endless appreciation to our colleagues at Naval Surface Warfare Center—Philadelphia for the outstanding support through the numerous tests they have performed for us.

Conflicts of Interest

The authors declare no conflicts of interest.

Abbreviations

The following abbreviations are used in this manuscript:
A i n Arm Inlet Angle
A o u t Arm Outlet Angle
CFDComputational Fluid Dynamics
CSVComma Separated Values
CTComputed Tomography
dInlet Diameter
DOEDesign of Experiments
MLMachine Learning
MSTVMultistage Tesla Valve
NSeries Number
NPSNaval Postgraduate School
Δ P Differential Pressure
PLA   Polylactic Acid
P m i n Minimum Pressure
P r e q Required System Pressure
R D Diameter Ratio
R s y m Symmetry Ratio
SIInternational System of Units
SGSpecific Gravity
SSTShear Stress Transport
TPLTurbo-Propulsion Laboratory
TVTesla Valve
VInlet Velocity
V c r i t Critical Inlet Velocity
V d e s Desired Inlet Velocity

References

  1. Stith, D. The Tesla valve—A fluidic diode. Phys. Teach. 2019, 57, 201. [Google Scholar] [CrossRef]
  2. Liu, Z.; Shao, W.Q.; Sun, Y.; Sun, B.H. Scaling law of the one-direction flow characteristics of symmetric Tesla valve. Eng. Appl. Comput. Fluid Mech. 2022, 16, 441–452. [Google Scholar] [CrossRef]
  3. Vaferi, K.; Vajdi, M.; Shadian, A.; Ahadnejad, H.; Moghanlou, F.S.; Nami, H.; Jafarzadeh, H. Modeling and optimization of hydraulic and thermal performance of a tesla valve using a numerical method and artificial neural network. Entropy 2023, 25, 967. [Google Scholar] [CrossRef] [PubMed]
  4. Thompson, S.M.; Paudel, B.; Jamal, T.; Walters, D. Numerical investigation of multistaged tesla valves. J. Fluids Eng. 2014, 136, 081102. [Google Scholar] [CrossRef]
  5. Purwidyantri, A.; Prabowo, B.A. Tesla valve microfluidics: The rise of forgotten technology. Chemosensors 2023, 11, 256. [Google Scholar] [CrossRef]
  6. Bowman, J.; Bhushan, S.; Burgreen, G.; Dettwiller, I. Development and Validation of Machine-Learned Actuator Line Model for Hydrokinetic Turbine Rotor. J. Fluids Eng. 2025, 147, 081501. [Google Scholar] [CrossRef]
  7. Kaul, U.K. A machine learning approach to predicting unsteady transonic flow of pitching airfoils. J. Fluids Eng. 2023, 145, 021501. [Google Scholar] [CrossRef]
  8. Ferrarese, G.; Messa, G.V.; Rossi, M.M.; Malavasi, S. New method for predicting the incipient cavitation index by means of single-phase computational fluid dynamics model. Adv. Mech. Eng. 2015, 7, 1687814015575974. [Google Scholar] [CrossRef]
  9. Huang, J. A simple accurate formula for calculating saturation vapor pressure of water and ice. J. Appl. Meteorol. Climatol. 2018, 57, 1265–1272. [Google Scholar] [CrossRef]
  10. Hu, P.; Wang, P.; Liu, L.; Ruan, X.; Zhang, L.; Xu, Z. Numerical investigation of Tesla valves with a variable angle. Phys. Fluids 2022, 34, 033603. [Google Scholar] [CrossRef]
Figure 1. Base Tesla geometry utilized for parameter optimization study (all units in millimeters).
Figure 1. Base Tesla geometry utilized for parameter optimization study (all units in millimeters).
Fluids 10 00255 g001
Figure 2. Overall outline for Tesla geometry parameter study.
Figure 2. Overall outline for Tesla geometry parameter study.
Fluids 10 00255 g002
Figure 3. Overall results of Tesla valve geometric parameter study.
Figure 3. Overall results of Tesla valve geometric parameter study.
Fluids 10 00255 g003
Figure 4. TV performance and required system pressure highlighted by (a) Inlet Angle, A i n , (b) Outlet Angle, A o u t , (c) Diameter Ratio, R D , and (d) Symmetry Ratio, R s y m .
Figure 4. TV performance and required system pressure highlighted by (a) Inlet Angle, A i n , (b) Outlet Angle, A o u t , (c) Diameter Ratio, R D , and (d) Symmetry Ratio, R s y m .
Fluids 10 00255 g004
Figure 5. TV performance and required system pressure in the 10 4 Reynolds number regime highlighted by (a) Inlet Angle, A i n , (b) Outlet Angle, A o u t , (c) Diameter Ratio, R D , and (d) Symmetry Ratio, R s y m .
Figure 5. TV performance and required system pressure in the 10 4 Reynolds number regime highlighted by (a) Inlet Angle, A i n , (b) Outlet Angle, A o u t , (c) Diameter Ratio, R D , and (d) Symmetry Ratio, R s y m .
Fluids 10 00255 g005
Figure 6. Comparison of symmetric, partial asymmetric, and asymmetric TVs at Reynolds number of 104.
Figure 6. Comparison of symmetric, partial asymmetric, and asymmetric TVs at Reynolds number of 104.
Fluids 10 00255 g006aFluids 10 00255 g006b
Figure 7. ML error distribution across all Reynolds number regimes.
Figure 7. ML error distribution across all Reynolds number regimes.
Fluids 10 00255 g007
Figure 8. ML optimized Tesla geometry.
Figure 8. ML optimized Tesla geometry.
Fluids 10 00255 g008
Figure 9. Symmetric TV design plots of (a) Euler and (b) V c r i t .
Figure 9. Symmetric TV design plots of (a) Euler and (b) V c r i t .
Fluids 10 00255 g009
Figure 10. Fluid domain of eight series Tesla design.
Figure 10. Fluid domain of eight series Tesla design.
Fluids 10 00255 g010
Figure 11. CT Scan of four-series symmetric Tesla design.
Figure 11. CT Scan of four-series symmetric Tesla design.
Fluids 10 00255 g011
Figure 12. ML optimized TV design plots of (a) Euler and (b) V c r i t .
Figure 12. ML optimized TV design plots of (a) Euler and (b) V c r i t .
Fluids 10 00255 g012
Figure 13. Comparison of the ML optimized and symmetric Tesla final designs.
Figure 13. Comparison of the ML optimized and symmetric Tesla final designs.
Fluids 10 00255 g013
Figure 14. Symmetric Tesla design flow field.
Figure 14. Symmetric Tesla design flow field.
Fluids 10 00255 g014
Table 1. Mesh sensitivity data for TV base geometry.
Table 1. Mesh sensitivity data for TV base geometry.
ElementsNodes Δ P [Pa] P req [Pa] y ave +
317,682115,1837180810015.60
360,162165,079727891976.16
396,475187,504717192834.12
444,804223,919695991672.19
Table 2. GPR optimized hyperparameters for the 10 4 Reynolds number regime.
Table 2. GPR optimized hyperparameters for the 10 4 Reynolds number regime.
HyperparameterValue
KernelSquared Exponential
σ L 0.5529
σ F 2104.2
σ 31.3648
β 3056.3
Basis FunctionConstant
R t r a i n 2 0.9970
R t e s t 2 0.9589
Table 3. Pressure drop component design criteria.
Table 3. Pressure drop component design criteria.
Design ObjectiveValue
Valve Flow Coefficient, C v [-]6.4
Differential Pressure Drop [Pa]613,633
Inlet Flow Rate [m3/s] 3.79 × 10 3
Component Max. Length [m] 0.457
Component Envelop Diameter [mm] 81.3
Minimum Passage Diameter [mm] 2.54
Table 4. ML optimized TV geometry parameters.
Table 4. ML optimized TV geometry parameters.
Symmetry Ratio ( R s y m ) 1.2
Diameter Ratio ( R D ) 0.91
Inlet Angle ( A i n ) 14 . 44
Outlet Angle ( A o u t ) 23
Table 5. Summary of final Tesla designs.
Table 5. Summary of final Tesla designs.
Tesla DesignNLength [cm]
Symmetric8 28.80
Symmetric4 20.98
Partial Symmetric7 45.26
ML Optimized5 20.54
Disclaimer/Publisher’s Note: The statements, opinions and data contained in all publications are solely those of the individual author(s) and contributor(s) and not of MDPI and/or the editor(s). MDPI and/or the editor(s) disclaim responsibility for any injury to people or property resulting from any ideas, methods, instructions or products referred to in the content.

Share and Cite

MDPI and ACS Style

Sparrow, A.; Isley, J.; Smith, W.; Gannon, A. Geometric Optimization of a Tesla Valve Through Machine Learning to Develop Fluid Pressure Drop Devices. Fluids 2025, 10, 255. https://doi.org/10.3390/fluids10100255

AMA Style

Sparrow A, Isley J, Smith W, Gannon A. Geometric Optimization of a Tesla Valve Through Machine Learning to Develop Fluid Pressure Drop Devices. Fluids. 2025; 10(10):255. https://doi.org/10.3390/fluids10100255

Chicago/Turabian Style

Sparrow, Andrew, Jett Isley, Walter Smith, and Anthony Gannon. 2025. "Geometric Optimization of a Tesla Valve Through Machine Learning to Develop Fluid Pressure Drop Devices" Fluids 10, no. 10: 255. https://doi.org/10.3390/fluids10100255

APA Style

Sparrow, A., Isley, J., Smith, W., & Gannon, A. (2025). Geometric Optimization of a Tesla Valve Through Machine Learning to Develop Fluid Pressure Drop Devices. Fluids, 10(10), 255. https://doi.org/10.3390/fluids10100255

Article Metrics

Back to TopTop