Developing a Prolamin-Based Gel for Food Packaging: In-Vitro Assessment of Cytocompatibility
Abstract
:1. Introduction
2. Results and Discussion
2.1. IR Spectroscopy Studies
2.2. Tensile Strength Examinations of Composite Gels
2.3. Atomic Force Microscopy Analysis
2.4. Scanning Electronic Microscopy Analysis
2.5. Rheological Investigations of Composite Gels
2.6. Water Stability
2.7. Oxygen Permeability of Composite Gels on PET
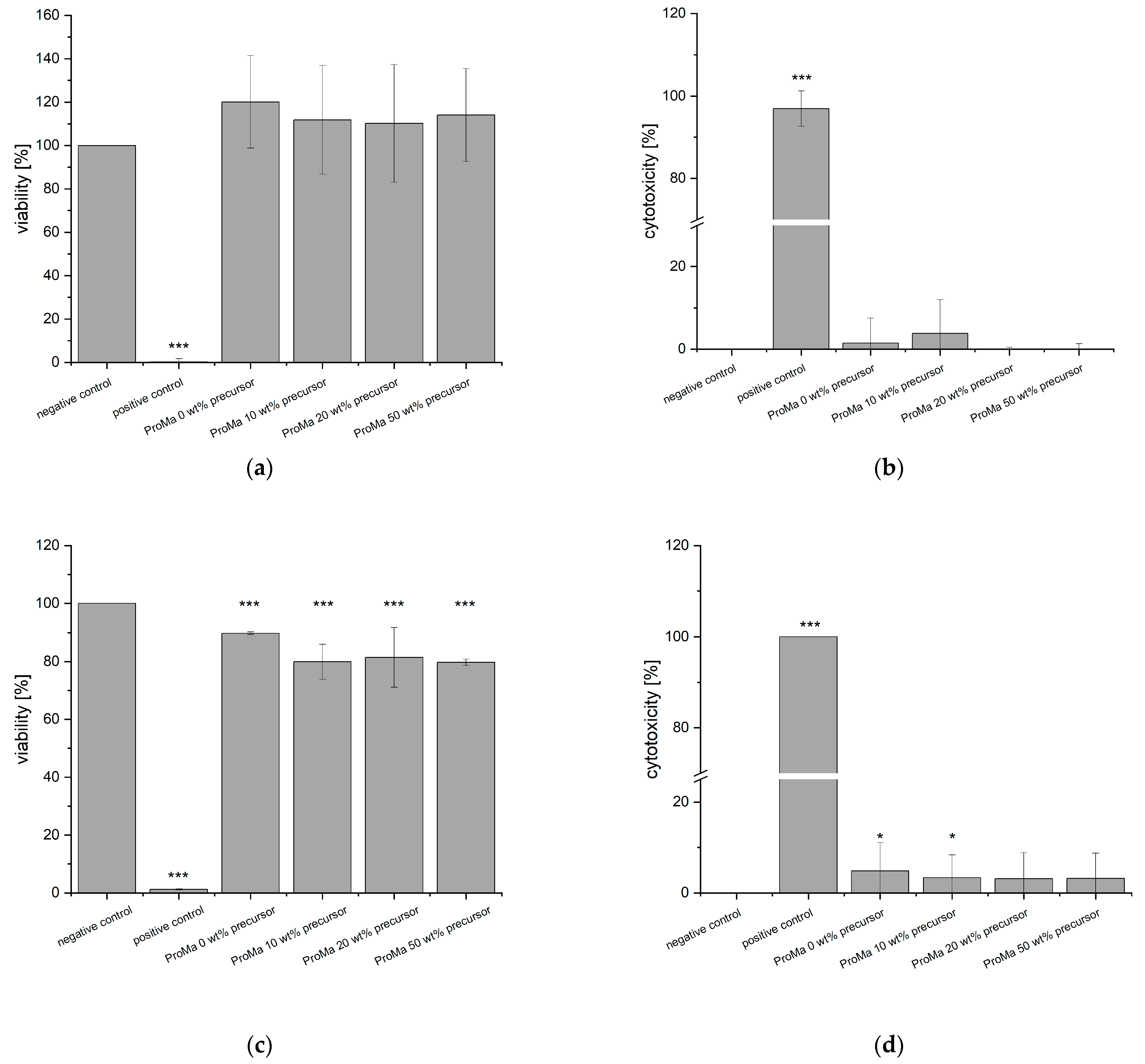
2.8. In-Vitro Cytotoxicity Testing
2.9. In-Vitro Inflammation Potential Testing
3. Conclusions
4. Materials and Methods
4.1. Materials
4.2. Preparation of Composite Gel
4.3. IR Spectroscopy Studies
4.4. Tensile Strength Examinations of Composite Gels
4.5. Atomic Force Microscopy Analysis
4.6. Scanning Electron Microscopy Analysis
4.7. Rheological Investigations of Composite Gel
4.8. Water Solubility of Composite Gels
4.9. Gas Permeability of Composite Gels on PET
4.10. In-Vitro Cytotoxicity Testing
4.11. In-Vitro Inflammation Potential Testing
4.12. Statistical Analysis
Author Contributions
Funding
Institutional Review Board Statement
Informed Consent Statement
Data Availability Statement
Acknowledgments
Conflicts of Interest
References
- R, R.; Philip, E.; Madhavan, A.; Sindhu, R.; Pugazhendhi, A.; Binod, P.; Sirohi, R.; Awasthi, M.K.; Tarafdar, A.; Pandey, A. Advanced Biomaterials for Sustainable Applications in the Food Industry: Updates and Challenges. Environ. Pollut. 2021, 283, 117071. [Google Scholar] [CrossRef]
- Calva-Estrada, S.J.; Jiménez-Fernández, M.; Lugo-Cervantes, E. Protein-Based Films: Advances in the Development of Biomaterials Applicable to Food Packaging. Food Eng. Rev. 2019, 11, 78–92. [Google Scholar] [CrossRef]
- Niranjana Prabhu, T.; Prashantha, K. A Review on Present Status and Future Challenges of Starch Based Polymer Films and Their Composites in Food Packaging Applications. Polym. Compos. 2018, 39, 2499–2522. [Google Scholar] [CrossRef]
- Taherimehr, M.; YousefniaPasha, H.; Tabatabaeekoloor, R.; Pesaranhajiabbas, E. Trends and Challenges of Biopolymer-based Nanocomposites in Food Packaging. Compr. Rev. Food Sci. Food Saf. 2021, 20, 5321–5344. [Google Scholar] [CrossRef]
- Luo, Q.; Hossen, M.A.; Zeng, Y.; Dai, J.; Li, S.; Qin, W.; Liu, Y. Gelatin-Based Composite Films and Their Application in Food Packaging: A Review. J. Food Eng. 2022, 313, 110762. [Google Scholar] [CrossRef]
- Basumatary, I.B.; Mukherjee, A.; Kumar, S. Chitosan-Based Composite Films Containing Eugenol Nanoemulsion, ZnO Nanoparticles and Aloe Vera Gel for Active Food Packaging. Int. J. Biol. Macromol. 2023, 242, 124826. [Google Scholar] [CrossRef] [PubMed]
- Venkatesan, R.; Rajeswari, N. ZnO/PBAT Nanocomposite Films: Investigation on the Mechanical and Biological Activity for Food Packaging: ZnO/PBAT Nanocomposite Films. Polym. Adv. Technol. 2017, 28, 20–27. [Google Scholar] [CrossRef]
- Zhang, W.; Ahari, H.; Zhang, Z.; Jafari, S.M. Role of Silica (SiO2) Nano/Micro-Particles in the Functionality of Degradable Packaging Films/Coatings and Their Application in Food Preservation. Trends Food Sci. Technol. 2023, 133, 75–86. [Google Scholar] [CrossRef]
- Schilling, T.; Habel, C.; Rosenfeldt, S.; Röhrl, M.; Breu, J. Impact of Ultraconfinement on Composite Barriers. ACS Appl. Polym. Mater. 2020, 2, 3010–3015. [Google Scholar] [CrossRef]
- Pinto, L.; Bonifacio, M.A.; De Giglio, E.; Santovito, E.; Cometa, S.; Bevilacqua, A.; Baruzzi, F. Biopolymer Hybrid Materials: Development, Characterization, and Food Packaging Applications. Food Packag. Shelf Life 2021, 28, 100676. [Google Scholar] [CrossRef]
- Sun, M.; Liu, N.; Ni, S.; Bian, H.; Fu, Y.; Chen, X. Poplar Hot Water Extract Enhances Barrier and Antioxidant Properties of Chitosan/Bentonite Composite Film for Packaging Applications. Polymers 2019, 11, 1614. [Google Scholar] [CrossRef] [PubMed]
- Chen, J.; Luo, L.; Cen, C.; Liu, Y.; Li, H.; Wang, Y. The Nano Antibacterial Composite Film Carboxymethyl Chitosan/Gelatin/Nano ZnO Improves the Mechanical Strength of Food Packaging. Int. J. Biol. Macromol. 2022, 220, 462–471. [Google Scholar] [CrossRef] [PubMed]
- Kumari, S.V.G.; Pakshirajan, K.; Pugazhenthi, G. Recent Advances and Future Prospects of Cellulose, Starch, Chitosan, Polylactic Acid and Polyhydroxyalkanoates for Sustainable Food Packaging Applications. Int. J. Biol. Macromol. 2022, 221, 163–182. [Google Scholar] [CrossRef] [PubMed]
- Zhang, W.; Rhim, J.-W. Titanium Dioxide (TiO2) for the Manufacture of Multifunctional Active Food Packaging Films. Food Packag. Shelf Life 2022, 31, 100806. [Google Scholar] [CrossRef]
- Mesgari, M.; Aalami, A.H.; Sathyapalan, T.; Sahebkar, A. A Comprehensive Review of the Development of Carbohydrate Macromolecules and Copper Oxide Nanocomposite Films in Food Nanopackaging. Bioinorg. Chem. Appl. 2022, 2022, 7557825. [Google Scholar] [CrossRef]
- Rovera, C.; Türe, H.; Hedenqvist, M.S.; Farris, S. Water Vapor Barrier Properties of Wheat Gluten/Silica Hybrid Coatings on Paperboard for Food Packaging Applications. Food Packag. Shelf Life 2020, 26, 100561. [Google Scholar] [CrossRef]
- Videira-Quintela, D.; Martin, O.; Montalvo, G. Emerging Opportunities of Silica-Based Materials within the Food Industry. Microchem. J. 2021, 167, 106318. [Google Scholar] [CrossRef]
- Schmid, M.; Dallmann, K.; Bugnicourt, E.; Cordoni, D.; Wild, F.; Lazzeri, A.; Noller, K. Properties of Whey-Protein-Coated Films and Laminates as Novel Recyclable Food Packaging Materials with Excellent Barrier Properties. Int. J. Polym. Sci. 2012, 2012, e562381. [Google Scholar] [CrossRef]
- Liu, J.; Huang, W.; Xing, Y.; Li, R.; Dai, J. Preparation of Durable Superhydrophobic Surface by Sol–Gel Method with Water Glass and Citric Acid. J. Sol-Gel Sci. Technol. 2011, 58, 18–23. [Google Scholar] [CrossRef]
- Lei, B.; Chen, X.; Koh, Y.-H. Effects of Acidic Catalysts on the Microstructure and Biological Property of Sol–Gel Bioactive Glass Microspheres. J. Sol-Gel Sci. Technol. 2011, 58, 656–663. [Google Scholar] [CrossRef]
- Coradin, T.; Allouche, J.; Boissiere, M.; Livage, J. Sol-Gel Biopolymer/Silica Nanocomposites in Biotechnology. Curr. Nanosci. 2006, 2, 219–230. [Google Scholar] [CrossRef]
- Mesa, M.; Becerra, N.Y. Silica/Protein and Silica/Polysaccharide Interactions and Their Contributions to the Functional Properties of Derived Hybrid Wound Dressing Hydrogels. Int. J. Biomater. 2021, 2021, 1–13. [Google Scholar] [CrossRef] [PubMed]
- Fluhr, J.W.; Darlenski, R.; Angelova-Fischer, I.; Tsankov, N.; Basketter, D. Skin Irritation and Sensitization: Mechanisms and New Approaches for Risk Assessment. 1. Skin Irritation. Skin Pharmacol. Physiol. 2008, 21, 124–135. [Google Scholar] [CrossRef] [PubMed]
- Esser, P.R.; Wölfle, U.; Dürr, C.; von Loewenich, F.D.; Schempp, C.M.; Freudenberg, M.A.; Jakob, T.; Martin, S.F. Contact Sensitizers Induce Skin Inflammation via ROS Production and Hyaluronic Acid Degradation. PLoS ONE 2012, 7, e41340. [Google Scholar] [CrossRef] [PubMed]
- Watanabe, H.; Unger, M.; Tuvel, B.; Wang, B.; Sauder, D.N. Review: Contact Hypersensitivity: The Mechanism of Immune Responses and T Cell Balance. J. Interferon Cytokine Res. 2002, 22, 407–412. [Google Scholar] [CrossRef]
- Bonneville, M.; Chavagnac, C.; Vocanson, M.; Rozieres, A.; Benetiere, J.; Pernet, I.; Denis, A.; Nicolas, J.-F.; Hennino, A. Skin Contact Irritation Conditions the Development and Severity of Allergic Contact Dermatitis. J. Investig. Dermatol. 2007, 127, 1430–1435. [Google Scholar] [CrossRef]
- Avonto, C.; Chittiboyina, A.G.; Wang, M.; Vasquez, Y.; Rua, D.; Khan, I.A. In Chemico Evaluation of Tea Tree Essential Oils as Skin Sensitizers: Impact of the Chemical Composition on Aging and Generation of Reactive Species. Chem. Res. Toxicol. 2016, 29, 1108–1117. [Google Scholar] [CrossRef]
- Li, Y.; Damodaran, S. In Vitro Digestibility and IgE Reactivity of Enzymatically Cross-Linked Heterologous Protein Polymers. Food Chem. 2017, 221, 1151–1157. [Google Scholar] [CrossRef]
- Mortimer, S.; Reeder, M. Botanicals in Dermatology: Essential Oils, Botanical Allergens, and Current Regulatory Practices. Dermatitis 2016, 27, 317–324. [Google Scholar] [CrossRef]
- Barber, D.; Arias, J.; Boquete, M.; Cardona, V.; Carrillo, T.; Gala, G.; Gamboa, P.; García-Robaina, J.C.; Hernández, D.; Sanz, M.L.; et al. Analysis of Mite Allergic Patients in a Diverse Territory by Improved Diagnostic Tools. Clin. Exp. Allergy 2012, 42, 1129–1138. [Google Scholar] [CrossRef]
- de Weck, A.L.; Sanz, M.L. Cellular Allergen Stimulation Test (CAST) 2003, a Review. J. Investig. Allergol. Clin. Immunol. 2004, 14, 253–273. [Google Scholar] [PubMed]
- Shin, Y.; Lee, D.; Lee, K.; Ahn, K.H.; Kim, B. Surface Properties of Silica Nanoparticles Modified with Polymers for Polymer Nanocomposite Applications. J. Ind. Eng. Chem. 2008, 14, 515–519. [Google Scholar] [CrossRef]
- Gaharwar, A.K.; Rivera, C.P.; Wu, C.-J.; Schmidt, G. Transparent, Elastomeric and Tough Hydrogels from Poly(Ethylene Glycol) and Silicate Nanoparticles. Acta Biomater. 2011, 7, 4139–4148. [Google Scholar] [CrossRef]
- Ji, Y.; Yang, X.; Ji, Z.; Zhu, L.; Ma, N.; Chen, D.; Jia, X.; Tang, J.; Cao, Y. DFT-Calculated IR Spectrum Amide I, II, and III Band Contributions of N -Methylacetamide Fine Components. ACS Omega 2020, 5, 8572–8578. [Google Scholar] [CrossRef] [PubMed]
- Kanou, M.; Nakanishi, K.; Hashimoto, A.; Kameoka, T. Influences of Monosaccharides and Its Glycosidic Linkage on Infrared Spectral Characteristics of Disaccharides in Aqueous Solutions. Appl. Spectrosc. 2005, 59, 885–892. [Google Scholar] [CrossRef]
- Rubio, F.; Rubio, J.; Oteo, J.L. A FT-IR Study of the Hydrolysis of Tetraethylorthosilicate (TEOS). Spectrosc. Lett. 1998, 31, 199–219. [Google Scholar] [CrossRef]
- Freda, M.; Piluso, A.; Santucci, A.; Sassi, P. Transmittance Fourier Transform Infrared Spectra of Liquid Water in the Whole Mid-Infrared Region: Temperature Dependence and Structural Analysis. Appl. Spectrosc. 2005, 59, 1155–1159. [Google Scholar] [CrossRef]
- Wexler, A.S. Infrared Determination of Structural Units in Organic Compounds by Integrated Intensity Measurements: Alkanes, Alkenes and Monosubstituted Alkyl Benzenes. Spectrochim. Acta 1965, 21, 1725–1742. [Google Scholar] [CrossRef]
- Riahi, Z.; Khan, A.; Rhim, J.-W.; Shin, G.H.; Kim, J.T. Gelatin/Poly(Vinyl Alcohol)-Based Dual Functional Composite Films Integrated with Metal-Organic Frameworks and Anthocyanin for Active and Intelligent Food Packaging. Int. J. Biol. Macromol. 2023, 249, 126040. [Google Scholar] [CrossRef]
- Chu, Y.Y.; Song, X.F.; Zhao, H.X. Water-Swellable, Tough, and Stretchable Inorganic–Organic Sulfoaluminate Cement/Polyacrylamide Double-Network Hydrogel Composites. J. Appl. Polym. Sci. 2019, 136, 47905. [Google Scholar] [CrossRef]
- Conradi, M. Nanosilica-Reinforced Polymer Composites. Mater. Tehnol. 2013, 47, 285–293. [Google Scholar]
- Chen, L.; Chai, S.; Liu, K.; Ning, N.; Gao, J.; Liu, Q.; Chen, F.; Fu, Q. Enhanced Epoxy/Silica Composites Mechanical Properties by Introducing Graphene Oxide to the Interface. ACS Appl. Mater. Interfaces 2012, 4, 4398–4404. [Google Scholar] [CrossRef] [PubMed]
- Hashemi Tabatabaei, R.; Jafari, S.M.; Mirzaei, H.; Mohammadi Nafchi, A.; Dehnad, D. Preparation and Characterization of Nano-SiO2 Reinforced Gelatin-k-Carrageenan Biocomposites. Int. J. Biol. Macromol. 2018, 111, 1091–1099. [Google Scholar] [CrossRef] [PubMed]
- Zhang, W.; Zhang, Y.; Cao, J.; Jiang, W. Improving the Performance of Edible Food Packaging Films by Using Nanocellulose as an Additive. Int. J. Biol. Macromol. 2021, 166, 288–296. [Google Scholar] [CrossRef] [PubMed]
- Rouf, T.B.; Schmidt, G.; Cakmak, M.; Kokini, J.L. Design and Mechanistic Understanding of Graphene Oxide Reinforced Zein Nanocomposites with Improved Mechanical, Barrier and Thermal Properties. J. Mater. Sci. 2019, 54, 12533–12552. [Google Scholar] [CrossRef]
- Zhou, H.; Tong, H.; Lu, J.; Cheng, Y.; Qian, F.; Tao, Y.; Wang, H. Preparation of Bio-Based Cellulose Acetate/Chitosan Composite Film with Oxygen and Water Resistant Properties. Carbohydr. Polym. 2021, 270, 118381. [Google Scholar] [CrossRef]
- Beigzadeh Ghelejlu, S.; Esmaiili, M.; Almasi, H. Characterization of Chitosan–Nanoclay Bionanocomposite Active Films Containing Milk Thistle Extract. Int. J. Biol. Macromol. 2016, 86, 613–621. [Google Scholar] [CrossRef]
- Omerović, N.; Djisalov, M.; Živojević, K.; Mladenović, M.; Vunduk, J.; Milenković, I.; Knežević, N.Ž.; Gadjanski, I.; Vidić, J. Antimicrobial Nanoparticles and Biodegradable Polymer Composites for Active Food Packaging Applications. Compr. Rev. Food Sci. Food Saf. 2021, 20, 2428–2454. [Google Scholar] [CrossRef]
- Pasquier, E.; Mattos, B.D.; Koivula, H.; Khakalo, A.; Belgacem, M.N.; Rojas, O.J.; Bras, J. Multilayers of Renewable Nanostructured Materials with High Oxygen and Water Vapor Barriers for Food Packaging. ACS Appl. Mater. Interfaces 2022, 14, 30236–30245. [Google Scholar] [CrossRef]
- Fan, Z.; Cheng, P.; Zhang, P.; Zhang, G.; Han, J. Rheological Insight of Polysaccharide/Protein Based Hydrogels in Recent Food and Biomedical Fields: A Review. Int. J. Biol. Macromol. 2022, 222, 1642–1664. [Google Scholar] [CrossRef]
- Lee, H.; Rukmanikrishnan, B.; Lee, J. Rheological, Morphological, Mechanical, and Water-Barrier Properties of Agar/Gellan Gum/Montmorillonite Clay Composite Films. Int. J. Biol. Macromol. 2019, 141, 538–544. [Google Scholar] [CrossRef] [PubMed]
- Rukmanikrishnan, B.; Ramalingam, S.; Kim, S.S.; Lee, J. Rheological and Anti-Microbial Study of Silica and Silver Nanoparticles-Reinforced k-Carrageenan/Hydroxyethyl Cellulose Composites for Food Packaging Applications. Cellulose 2021, 28, 5577–5590. [Google Scholar] [CrossRef]
- Habib, M.A.; Khoda, B. Rheological Analysis of Bio-Ink for 3D Bio-Printing Processes. J. Manuf. Process. 2022, 76, 708–718. [Google Scholar] [CrossRef] [PubMed]
- Kobelev, V.; Schweizer, K.S. Dynamic Yielding, Shear Thinning, and Stress Rheology of Polymer-Particle Suspensions and Gels. J. Chem. Phys. 2005, 123, 164903. [Google Scholar] [CrossRef] [PubMed]
- Hołowacz, I.; Podbielska, H.; Bauer, J.; Ulatowska-Jar, A. Viscosity, Surface Tension and Refractive Index of Tetraethylorthosilicate-Based Sol-Gel Materials Depending on Ethanol Content. Opt. Appl. 2005, 35, 691–699. [Google Scholar]
- Rahmani-Azad, M.; Najafi, A.; Rahmani-Azad, N.; Khalaj, G. Improvement of ZrB2 Nanopowder Synthesis by Sol-Gel Method via Zirconium Alkoxide/Boric Acid Precursors. J. Sol-Gel Sci. Technol. 2022, 103, 87–96. [Google Scholar] [CrossRef]
- Sharifi, K.A.; Pirsa, S. Biodegradable Film of Black Mulberry Pulp Pectin/Chlorophyll of Black Mulberry Leaf Encapsulated with Carboxymethylcellulose/Silica Nanoparticles: Investigation of Physicochemical and Antimicrobial Properties. Mater. Chem. Phys. 2021, 267, 124580. [Google Scholar] [CrossRef]
- Tunç, S.; Duman, O. Preparation and Characterization of Biodegradable Methyl Cellulose/Montmorillonite Nanocomposite Films. Appl. Clay Sci. 2010, 48, 414–424. [Google Scholar] [CrossRef]
- Azzaoui, K.; Mejdoubi, E.; Lamhamdi, A.; Jodeh, S.; Hamed, O.; Berrabah, M.; Jerdioui, S.; Salghi, R.; Akartasse, N.; Errich, A.; et al. Preparation and Characterization of Biodegradable Nanocomposites Derived from Carboxymethyl Cellulose and Hydroxyapatite. Carbohydr. Polym. 2017, 167, 59–69. [Google Scholar] [CrossRef]
- Yang, M.; Shi, J.; Xia, Y. Effect of SiO2, PVA and Glycerol Concentrations on Chemical and Mechanical Properties of Alginate-Based Films. Int. J. Biol. Macromol. 2018, 107, 2686–2694. [Google Scholar] [CrossRef]
- Kosmulski, M. The pH Dependent Surface Charging and Points of Zero Charge. VII. Update. Adv. Colloid Interface Sci. 2018, 251, 115–138. [Google Scholar] [CrossRef]
- Wu, H.; Lei, Y.; Lu, J.; Zhu, R.; Xiao, D.; Jiao, C.; Xia, R.; Zhang, Z.; Shen, G.; Liu, Y.; et al. Effect of Citric Acid Induced Crosslinking on the Structure and Properties of Potato Starch/Chitosan Composite Films. Food Hydrocoll. 2019, 97, 105208. [Google Scholar] [CrossRef]
- Menzel, C.; Olsson, E.; Plivelic, T.S.; Andersson, R.; Johansson, C.; Kuktaite, R.; Järnström, L.; Koch, K. Molecular Structure of Citric Acid Cross-Linked Starch Films. Carbohydr. Polym. 2013, 96, 270–276. [Google Scholar] [CrossRef] [PubMed]
- Startek, K.; Marczak, J.; Lukowiak, A. Oxygen Barrier Enhancement of Polymeric Foil by Sol-Gel-Derived Hybrid Silica Layers. Polymer 2020, 195, 122437. [Google Scholar] [CrossRef]
- Mohamed, S.A.A.; El-Sakhawy, M.; El-Sakhawy, M.A.-M. Polysaccharides, Protein and Lipid -Based Natural Edible Films in Food Packaging: A Review. Carbohydr. Polym. 2020, 238, 116178. [Google Scholar] [CrossRef] [PubMed]
- Wu, F.; Misra, M.; Mohanty, A.K. Challenges and New Opportunities on Barrier Performance of Biodegradable Polymers for Sustainable Packaging. Prog. Polym. Sci. 2021, 117, 101395. [Google Scholar] [CrossRef]
- Zhuang, L.; Zhi, X.; Du, B.; Yuan, S. Preparation of Elastic and Antibacterial Chitosan–Citric Membranes with High Oxygen Barrier Ability by in Situ Cross-Linking. ACS Omega 2020, 5, 1086–1097. [Google Scholar] [CrossRef] [PubMed]
- Xu, L.; Cao, W.; Li, R.; Zhang, H.; Xia, N.; Li, T.; Liu, X.; Zhao, X. Properties of Soy Protein Isolate/Nano-Silica Films and Their Applications in the Preservation of Flammulina Velutipes. J. Food Process. Preserv. 2019, 43. [Google Scholar] [CrossRef]
- Cui, Y.; Cheng, M.; Han, M.; Zhang, R.; Wang, X. Characterization and Release Kinetics Study of Potato Starch Nanocomposite Films Containing Mesoporous Nano-Silica Incorporated with Thyme Essential Oil. Int. J. Biol. Macromol. 2021, 184, 566–573. [Google Scholar] [CrossRef]
- Wang, J.; Gardner, D.J.; Stark, N.M.; Bousfield, D.W.; Tajvidi, M.; Cai, Z. Moisture and Oxygen Barrier Properties of Cellulose Nanomaterial-Based Films. ACS Sustain. Chem. Eng. 2018, 6, 49–70. [Google Scholar] [CrossRef]
- Trinh, B.M.; Chang, B.P.; Mekonnen, T.H. The Barrier Properties of Sustainable Multiphase and Multicomponent Packaging Materials: A Review. Prog. Mater. Sci. 2023, 133, 101071. [Google Scholar] [CrossRef]
- Huang, H.-D.; Ren, P.-G.; Zhong, G.-J.; Olah, A.; Li, Z.-M.; Baer, E.; Zhu, L. Promising Strategies and New Opportunities for High Barrier Polymer Packaging Films. Prog. Polym. Sci. 2023, 144, 101722. [Google Scholar] [CrossRef]
- Introzzi, L.; Blomfeldt, T.O.J.; Trabattoni, S.; Tavazzi, S.; Santo, N.; Schiraldi, A.; Piergiovanni, L.; Farris, S. Ultrasound-Assisted Pullulan/Montmorillonite Bionanocomposite Coating with High Oxygen Barrier Properties. Langmuir 2012, 28, 11206–11214. [Google Scholar] [CrossRef]
- DIN EN ISO 10993-5:2009-10; Biologische Beurteilung von Medizinprodukten_- Teil_5: Prüfungen Auf In-Vitro-Zytotoxizität (ISO_10993-5:2009). Deutsche Fassung EN_ISO_10993-5:2009; Beuth Verlag GmbH: Berlin, Germany, 2009.
- Wiegand, C.; Hipler, U.-C. Evaluation of Biocompatibility and Cytotoxicity Using Keratinocyte and Fibroblast Cultures. Skin Pharmacol. Physiol. 2009, 22, 74–82. [Google Scholar] [CrossRef]
- Liao, R.; Qi, Z.; Tang, R.; Wang, R.; Wang, Y. Methyl Ferulic Acid Attenuates Human Cardiac Fibroblasts Differentiation and Myocardial Fibrosis by Suppressing pRB-E2F1/CCNE2 and RhoA/ROCK2 Pathway. Front. Pharmacol. 2021, 12. [Google Scholar] [CrossRef] [PubMed]
- Trodtfeld, F.; Tölke, T.; Wiegand, C. Antimicrobial Functionalization of Prolamine–Silica Hybrid Coatings with Fumaric Acid for Food Packaging Materials and Their Biocompatibility. Antibiotics 2022, 11, 1259. [Google Scholar] [CrossRef] [PubMed]
- Sharpe, J.R.; Harris, K.L.; Jubin, K.; Bainbridge, N.J.; Jordan, N.R. The Effect of pH in Modulating Skin Cell Behaviour. Br. J. Dermatol. 2009, 161, 671–673. [Google Scholar] [CrossRef]
- Gröschl, M.; Topf, H.G.; Bohlender, J.; Zenk, J.; Klussmann, S.; Dötsch, J.; Rascher, W.; Rauh, M. Identification of Ghrelin in Human Saliva: Production by the Salivary Glands and Potential Role in Proliferation of Oral Keratinocytes. Clin. Chem. 2005, 51, 997–1006. [Google Scholar] [CrossRef]
- Brand, H.S.; Ligtenberg, A.J.M.; Veerman, E.C.I. Saliva and Wound Healing. Monogr. Oral Sci. 2014, 24, 52–60. [Google Scholar] [CrossRef]
- Pytko-Polonczyk, J.; Jakubik, A.; Przeklasa-Bierowiec, A.; Muszynska, B. Artificial Saliva and Its Use in Biological Experiments. J. Physiol. Pharmacol. 2017, 68, 807–813. [Google Scholar]
- Gal, J.Y.; Fovet, Y.; Adib-Yadzi, M. About a Synthetic Saliva for in Vitro Studies. Talanta 2001, 53, 1103–1115. [Google Scholar] [CrossRef] [PubMed]
- Almståhl, A.; Wikström, M. Electrolytes in Stimulated Whole Saliva in Individuals with Hyposalivation of Different Origins. Arch. Oral Biol. 2003, 48, 337–344. [Google Scholar] [CrossRef] [PubMed]
- Hegde, M.N.; Attavar, S.H.; Shetty, N.; Hegde, N.D.; Hegde, N.N. Saliva as a Biomarker for Dental Caries: A Systematic Review. J. Conserv. Dent. JCD 2019, 22, 2–6. [Google Scholar]
- Duval, D.; Demangel, C.; Munier-Jolain, K.; Miossec, S.; Geahel, I. Factors Controlling Cell Proliferation and Antibody Production in Mouse Hybridoma Cells: I. Influence of the Amino Acid Supply. Biotechnol. Bioeng. 1991, 38, 561–570. [Google Scholar] [CrossRef] [PubMed]
- Meijer, A.J.; Dubbelhuis, P.F. Amino Acid Signalling and the Integration of Metabolism. Biochem. Biophys. Res. Commun. 2004, 313, 397–403. [Google Scholar] [CrossRef]
- Ramos, L.R.; Santos, J.S.; Daguer, H.; Valese, A.C.; Cruz, A.G.; Granato, D. Analytical Optimization of a Phenolic-Rich Herbal Extract and Supplementation in Fermented Milk Containing Sweet Potato Pulp. Food Chem. 2017, 221, 950–958. [Google Scholar] [CrossRef] [PubMed]
- Leukotrienes Orchestrating Allergic Skin Inflammation—Sadik—2013—Experimental Dermatology—Wiley Online Library. Available online: https://onlinelibrary.wiley.com/doi/full/10.1111/exd.12239 (accessed on 1 August 2023).
- 5-Lipoxygenase, a Key Enzyme for Leukotriene Biosynthesis in Health and Disease—ScienceDirect. Available online: https://www.sciencedirect.com/science/article/pii/S138819811400167X (accessed on 1 August 2023).
- Peters-Golden, M.; Henderson, W.R. Leukotrienes. N. Engl. J. Med. 2007, 357, 1841–1854. [Google Scholar] [CrossRef]
- Sasaki, F.; Yokomizo, T. The Leukotriene Receptors as Therapeutic Targets of Inflammatory Diseases. Int. Immunol. 2019, 31, 607–615. [Google Scholar] [CrossRef]
- Honda, T.; Kabashima, K. Prostanoids and Leukotrienes in the Pathophysiology of Atopic Dermatitis and Psoriasis. Int. Immunol. 2019, 31, 589–595. [Google Scholar] [CrossRef]
- Sanz, M.L.; Gamboa, P.M.; Antépara, I.; Uasuf, C.; Vila, L.; Garcia-Avilés, C.; Chazot, M.; De Weck, A.L. Flow Cytometric Basophil Activation Test by Detection of CD63 Expression in Patients with Immediate-Type Reactions to Betalactam Antibiotics. Clin. Exp. Allergy 2002, 32, 277–286. [Google Scholar] [CrossRef]
- Gamboa, P.M.; Sanz, M.L.; Caballero, M.R.; Antepara, I.; Urrutia, I.; Jauregui, I.; Gonzalez, G.; Dieguez, I.; De Weck, A.L. Use of CD63 Expression as a Marker of in Vitro Basophil Activation and Leukotriene Determination in Metamizol Allergic Patients. Allergy 2003, 58, 312–317. [Google Scholar] [CrossRef] [PubMed]
- Ferrer, M.; Sanz, M.L.; Prieto, I.; Oehling, A. In Vitro Antigen-Specific Sulphidoleukotriene Production in Patients Allergic to Dermatophagoides Pteronyssinus. Clin. Exp. Allergy J. Br. Soc. Allergy Clin. Immunol. 1998, 28, 709–714. [Google Scholar] [CrossRef] [PubMed]
- DIN EN ISO 25178-1:2016-12; Geometrische Produktspezifikation_(GPS)_-Oberflächenbeschaffenheit: Flächenhaft_- Teil_1: Angabe von Oberflächenbeschaffenheit (ISO_25178-1:2016). Deutsche Fassung EN_ISO_25178-1:2016; Beuth Verlag GmbH: Berlin, Germany, 2016.
- Mezger, T. The Rheology Handbook: For Users of Rotational and Oscillatory Rheometers; Vincentz Network: Hannover, Germany, 2020; ISBN 978-3-86630-532-8. [Google Scholar]
- Pearson, G.J. Long Term Water Sorption and Solubility of Composite Filling Materials. J. Dent. 1979, 7, 64–68. [Google Scholar] [CrossRef] [PubMed]
- ISO 15105-1:2007—Plastics—Film and Sheeting—Determination of Gas-Transmission Rate—Part 1: Differential-Pressure Methods. Available online: https://www.iso.org/standard/41677.html (accessed on 9 September 2023).
- DIN EN ISO 10993-12:2021-08; Biologische Beurteilung von Medizinprodukten_- Teil_12: Probenvorbereitung Und Referenzmaterialien (ISO_10993-12:2021). Deutsche Fassung EN_ISO_10993-12:2021; Beuth Verlag GmbH: Berlin, Germany, 2021.
- Riedl, R.; Wallert, M.; Lorkowski, S.; Wiegand, C. Effects of Histamine and the α-Tocopherol Metabolite α-13′-COOH in an Atopic Dermatitis Full-Thickness Skin Model. Molecules 2023, 28, 440. [Google Scholar] [CrossRef] [PubMed]











| ProMa 0 wt% p. | ProMa 10 wt% p. | ProMa 20 wt% p. | |
|---|---|---|---|
| Young Modulus MPa | 10.01 | 17.12 | 21.07 |
| SD | 4.96 | 10.07 | 7.28 |
Disclaimer/Publisher’s Note: The statements, opinions and data contained in all publications are solely those of the individual author(s) and contributor(s) and not of MDPI and/or the editor(s). MDPI and/or the editor(s) disclaim responsibility for any injury to people or property resulting from any ideas, methods, instructions or products referred to in the content. |
© 2023 by the authors. Licensee MDPI, Basel, Switzerland. This article is an open access article distributed under the terms and conditions of the Creative Commons Attribution (CC BY) license (https://creativecommons.org/licenses/by/4.0/).
Share and Cite
Trodtfeld, F.; Tölke, T.; Wiegand, C. Developing a Prolamin-Based Gel for Food Packaging: In-Vitro Assessment of Cytocompatibility. Gels 2023, 9, 740. https://doi.org/10.3390/gels9090740
Trodtfeld F, Tölke T, Wiegand C. Developing a Prolamin-Based Gel for Food Packaging: In-Vitro Assessment of Cytocompatibility. Gels. 2023; 9(9):740. https://doi.org/10.3390/gels9090740
Chicago/Turabian StyleTrodtfeld, Franziska, Tina Tölke, and Cornelia Wiegand. 2023. "Developing a Prolamin-Based Gel for Food Packaging: In-Vitro Assessment of Cytocompatibility" Gels 9, no. 9: 740. https://doi.org/10.3390/gels9090740
APA StyleTrodtfeld, F., Tölke, T., & Wiegand, C. (2023). Developing a Prolamin-Based Gel for Food Packaging: In-Vitro Assessment of Cytocompatibility. Gels, 9(9), 740. https://doi.org/10.3390/gels9090740

