Bile Acid Sequestrants Based on Natural and Synthetic Gels
Abstract
1. Introduction
- biological hydrogels
- synthetic hydrogels: organic (neutral, ionic, and conductive polymers, based on the types of charged pendant groups to or within the main polymer chain) or inorganic
- hybrid hydrogels (combining the specific features of both natural and synthetic polymers from their formulations).
| Possible Applications | Observations | Reference |
|---|---|---|
| BASs | drug carrier formulations that are based on electrostatically assisted assembly; biocompatible block copolymers and biosurfactants (such as bile salts) are particularly interesting, as well as surface-functionalized layered double-hydroxide nanocontainers as BASs for lowering hyperlipidemia; the most promising BASs are biopolymer-based BASs, mainly those based on polysaccharides | [14,17,18,19] |
| sustainable agriculture | hydrogels, and sensors for controlled agrochemical release, promoting growth, soil conditioning, sensing of soil condition, and other combined multiple actions in agriculture | [20] |
| energy storage devices (batteries, supercapacitors) | hydrogels should be paintable, elastic, transparent, super-safe, bio-friendly for customized structural energy storage (ultrathin and flexible, mobile appliance, weavable) and transparent attachable storage (artificial organs, digital health analyzers, wearable devices) | [21] |
| solar water purification | hydrogel-based evaporators (polymeric networks tailored to regulate the water state as a function of functional additives, monomer/polymer functional groups, cross-linking density); their micro- or nanostructure and surface topography can be also tailored by interfacial synthesis, freeze-drying, and surface coating | [22,23,24] |
| drug delivery | in situ forming delivery systems (e.g., bioorthogonal cross-linking strategies); multicomponent hydrogels; stimuli-responsive hydrogels; nanogels; release of therapeutics from 3D printed hydrogels | [25,26,27] |
| wound healing | advanced functions of hydrogel dressings such as: antimicrobial property, adhesion and hemostasis, anti-inflammatory and antioxidation, substance delivery, self-healing, stimulus response and the recently emerged wound monitoring feature; new wound healing devices can combine smart hydrogel dressings with physical therapies | [28,29,30] |
2. Lipid-Lowering Drugs
2.1. Statins
2.2. Niacin (Nicotinic Acid, Vitamin B3)
2.3. Bile Acid Sequestrants
2.3.1. Bile Acids
2.3.2. Bile Acid Sequestrants: Characteristics and Mechanism of Action
2.3.3. BASs in Clinical Use
2.3.4. BASs under Research
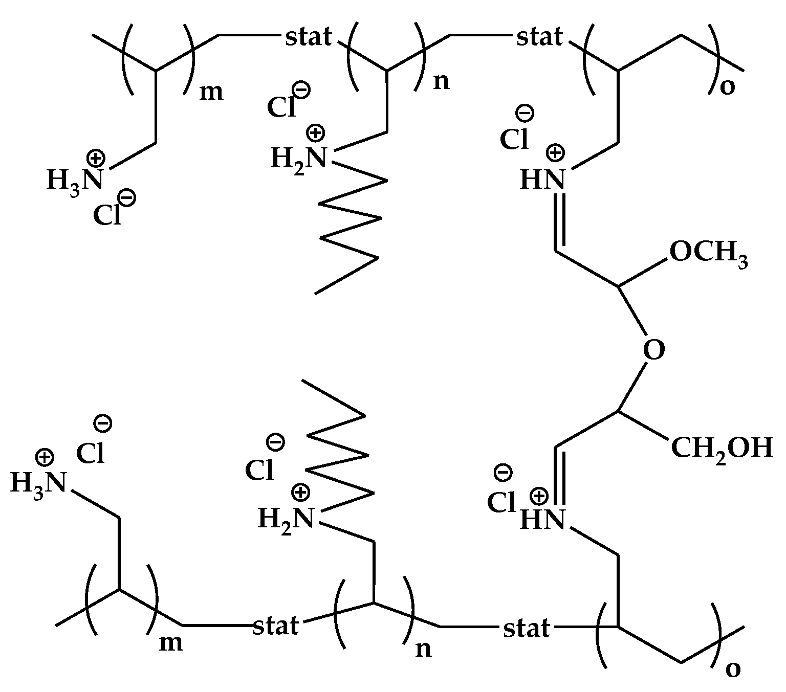
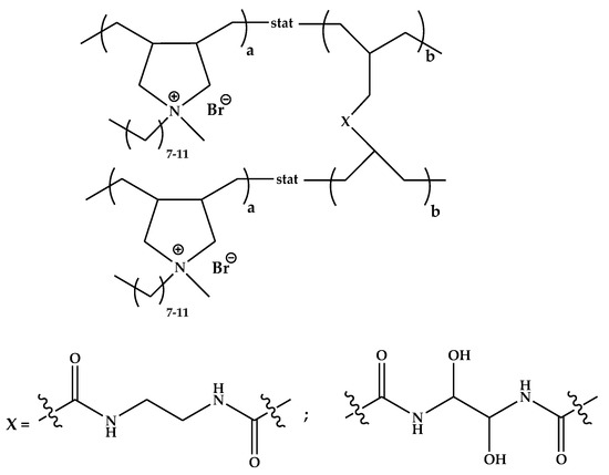
Poly(meth)acrylates and Poly(meth)acrylamides
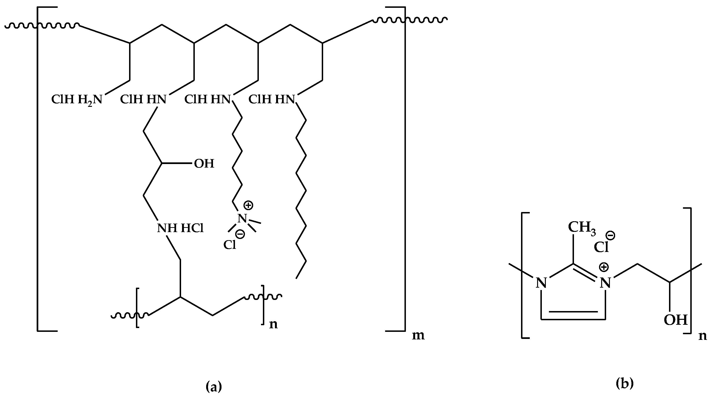
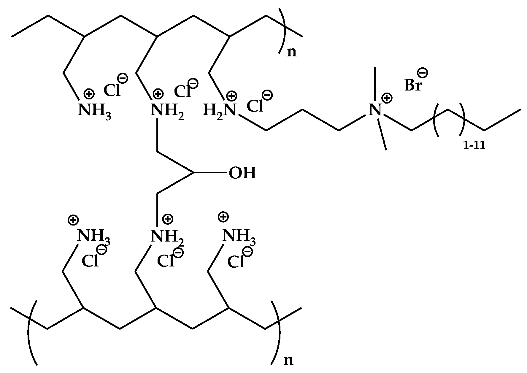
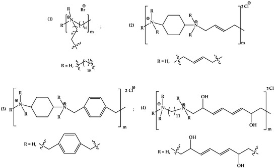
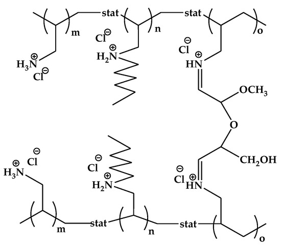
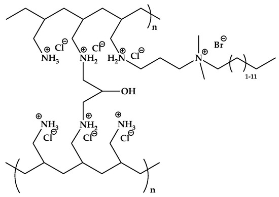
Polyalkylamines
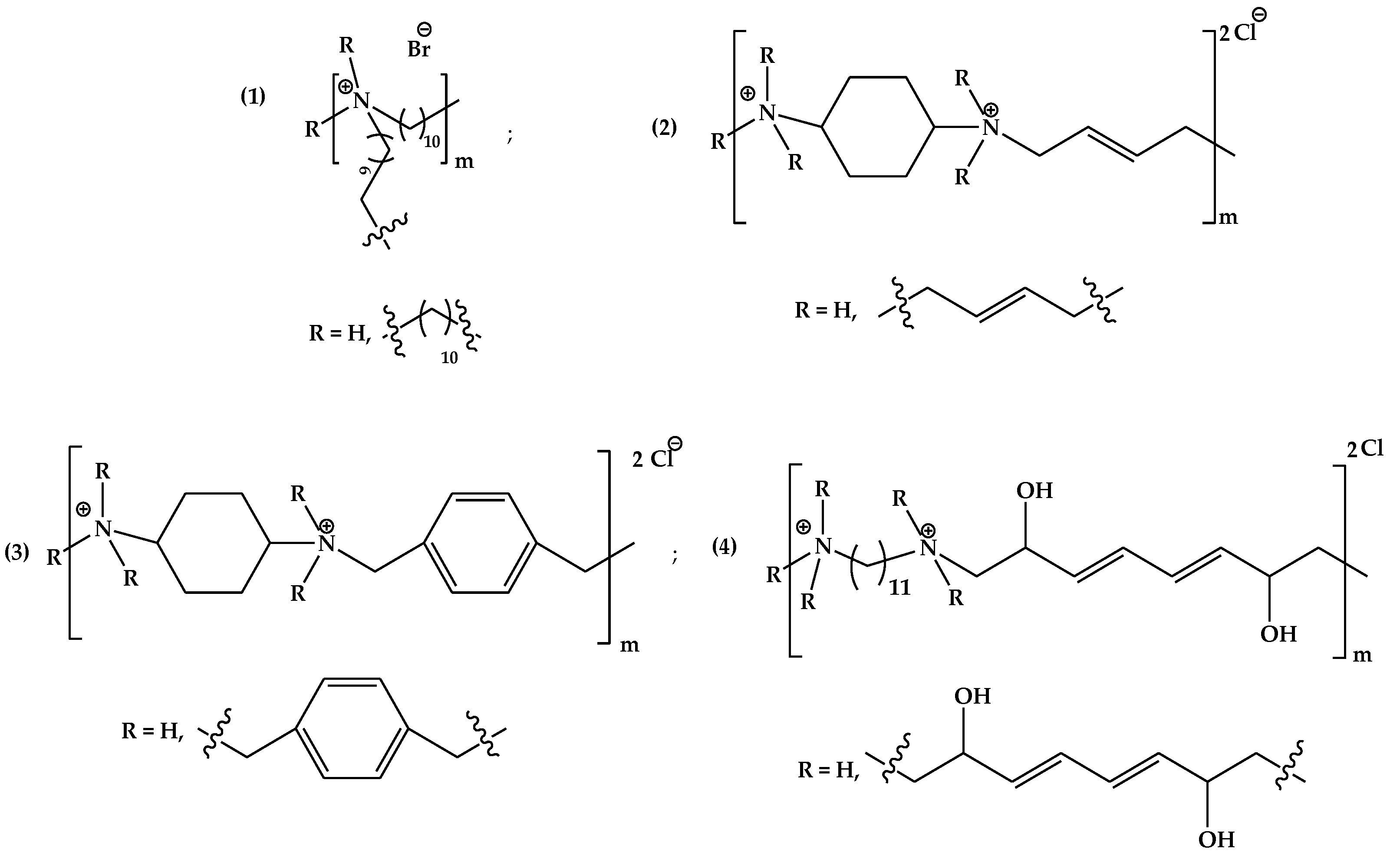
Vinyl Benzyl Amino Polymers
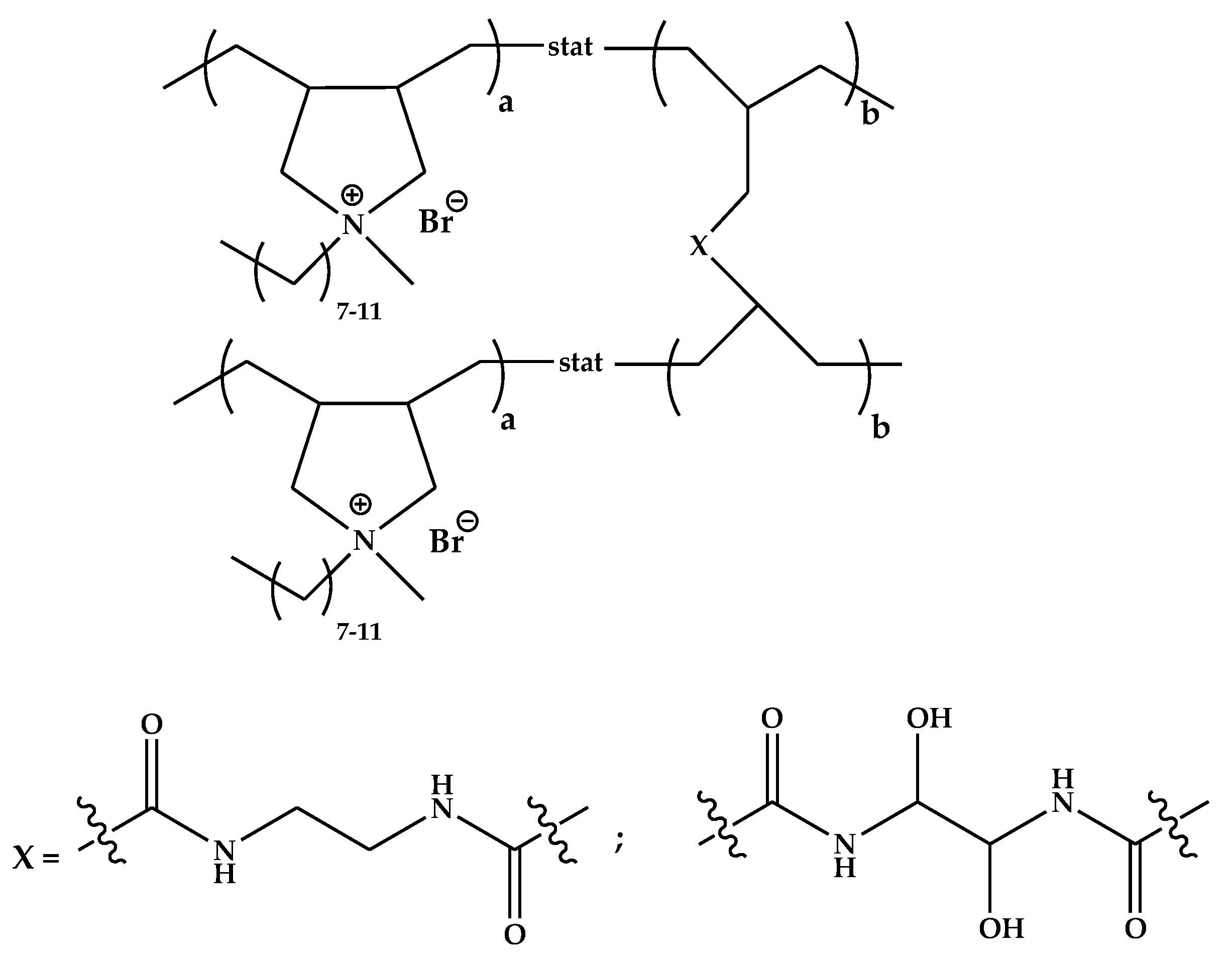
Polyallylamines
Molecular Imprinting Polymers (MIPs)
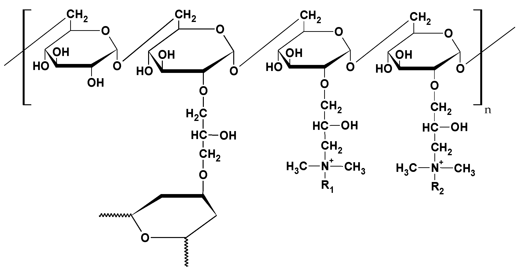
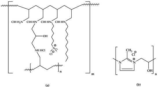
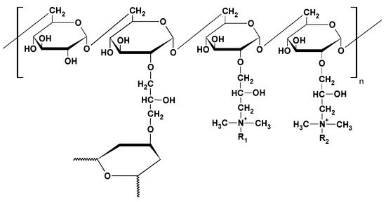
Polysaccharide-Based BASs
3. Summary and Future Perspectives
Author Contributions
Funding
Institutional Review Board Statement
Informed Consent Statement
Data Availability Statement
Conflicts of Interest
References
- Kaith, B.S.; Singh, A.; Sharma, A.K.; Sud, D. Hydrogels: Synthesis, classification, properties and potential applications-A brief review. J. Polym. Environ. 2021, 29, 3827–3841. [Google Scholar] [CrossRef]
- Guo, Y.; Fang, Z.; Yu, G. Multifunctional hydrogels for sustainable energy and environment. Polym. Int. 2021, 70, 1425–1432. [Google Scholar] [CrossRef]
- Guo, Y.; Bae, J.; Fang, Z.; Li, P.; Zhao, F.; Yu, G. Hydrogels and hydrogel-derived materials for energy and water sustainability. Chem. Rev. 2020, 120, 7642–7707. [Google Scholar] [CrossRef]
- Ghorpade, V.S. Preparation of hydrogels based on natural polymers via chemical reaction and cross-linking. In Hydrogels Based on Natural Polymers; Chen, Y., Ed.; Elsevier: Oxford, UK, 2020; pp. 91–118. [Google Scholar] [CrossRef]
- Ko, D.Y.; Shinde, U.P.; Yeon, B.; Jeong, B. Recent progress of in situ formed gels for biomedical applications. Prog. Polym. Sci. 2013, 38, 672–701. [Google Scholar] [CrossRef]
- Li, Y.; Rodrigues, J.; Tomás, H. Injectable and biodegradable hydrogels: Gelation, biodegradation and biomedical applications. Chem. Soc. Rev. 2012, 41, 2193–2221. [Google Scholar] [CrossRef] [PubMed]
- Duceac, I.A.; Stanciu, M.-C.; Nechifor, M.; Tanasă, F.; Teacă, C.-A. Insights on some polysaccharide gel type materials and their structural peculiarities. Gels 2022, 8, 771. [Google Scholar] [CrossRef]
- Shen, J.; Dai, Y.; Xia, F.; Zhang, X. Role of divalent metal ions in the function and application of hydrogels. Prog. Polym. Sci. 2022, 135, 101622. [Google Scholar] [CrossRef]
- Martín-Illana, A.; Notario-Pérez, F.; Cazorla-Luna, R.; Ruiz-Caro, R.; Bonferoni, M.C.; Tamayo, A.; Veiga, M.D. Bigels as drug delivery systems: From their components to their applications. Drug Discov. Today 2021, 27, 1008–1026. [Google Scholar] [CrossRef]
- Ghauri, Z.H.; Islam, A.; Qadir, M.A.; Gull, N.; Haider, B.; Khan, R.U.; Riaz, T. Development and evaluation of ph-sensitive biodegradable ternary blended hydrogel films (chitosan/guar gum/PVP) for drug delivery application. Sci. Rep. 2021, 111, 21255. [Google Scholar] [CrossRef]
- Bhullar, N.; Rani, S.; Kumari, K.; Sud, D. Amphiphilic chitosan/acrylic acid/thiourea based semi-interpenetrating hydrogel: Solvothermal synthesis and evaluation for controlled release of organophosphate pesticide, triazophos. J. Appl. Polym. Sci. 2021, 138, e50595. [Google Scholar] [CrossRef]
- Resmi, R.; Parvathy, J.; John, A.; Joseph, R. Injectable self-crosslinking hydrogels for meniscal repair: A study with oxidized alginate and gelatin. Carbohydr. Polym. 2020, 234, 115902. [Google Scholar] [CrossRef] [PubMed]
- Song, Y.; Nagai, N.; Saijo, S.; Kaji, H.; Nishizawa, M.; Abe, T. In situ formation of injectable chitosan-gelatin hydrogels through double crosslinking for sustained intraocular drug delivery. Mater. Sci. Eng. C 2018, 88, 1–12. [Google Scholar] [CrossRef] [PubMed]
- Nie, J.; Pei, B.; Wang, Z.; Hu, Q. Construction of ordered structure in polysaccharide hydrogel: A review. Carbohydr. Polym. 2019, 205, 225–235. [Google Scholar] [CrossRef] [PubMed]
- Defesche, J.; Gidding, S.; Harada-Shiba, M.; Hegele, R.; Santos, R.D.; Wierzbicki, A.S. Familial hypercholesterolaemia. Nat. Rev. Dis. Prim. 2017, 3, 17093. [Google Scholar] [CrossRef]
- Yu, Y.; Zhu, S.-J.; Dong, H.-T.; Zhang, X.-Q.; Li, J.-A.; Guan, S.-K. A novel MgF2/PDA/S-HA coating on the bio-degradable ZE21B alloy for better multi-functions on cardiovascular application. J. Magnes. Alloys 2023, 11, 480–492. [Google Scholar] [CrossRef]
- Islam, M.S.; Sharif, A.; Kwan, N.; Tam, K.C. Bile acid sequestrants for hypercholesterolemia treatment using sustainable biopolymers: Recent advances and future perspectives. Mol. Pharm. 2022, 19, 1248–1272. [Google Scholar] [CrossRef]
- Lin, C.-W.; Lin, S.-X.; Kankala, R.K.; Busa, P.; Deng, J.-P.; Lue, S.-I.; Liu, C.-L.; Weng, C.-F.; Lee, C.-H. Surface-functionalized layered double hydroxide nanocontainers as bile acid sequestrants for lowering hyperlipidemia. Int. J. Pharm. 2020, 590, 119921. [Google Scholar] [CrossRef]
- Schillen, K.; Galantini, L.; Du, G.; Del Giudice, A.; Alfredsson, V.; Carnerup, A.M.; Pavel, N.V.; Masci, G.; Nyström, B. Block copolymers as bile salt sequestrants: Intriguing structures formed in a mixture of an oppositely charged amphiphilic block copolymer and bile salt. Phys. Chem. Chem. Phys. 2019, 21, 12518–12529. [Google Scholar] [CrossRef]
- Dhiman, A.; Sharma, K.; Agrawal, G. Polymer based engineered materials for sustainable agriculture. ACS Agric. Sci. Technol. 2022, 2, 693–711. [Google Scholar] [CrossRef]
- Guo, Y.; Bae, J.; Zhao, F.; Yu, G. Functional hydrogels for next-generation batteries and supercapacitors. Trends Chem. 2019, 1, 335–348. [Google Scholar] [CrossRef]
- Zhou, X.; Guo, Y.; Zhao, F.; Yu, G. Hydrogels as an emerging material platform for solar water purification. Acc. Chem. Res. 2019, 52, 3244–3253. [Google Scholar] [CrossRef] [PubMed]
- Guo, Y.; Zhou, X.; Zhao, F.; Bae, J.; Rosenberger, B.; Yu, G. Synergistic energy nanoconfinement and water activation in hydrogels for efficient solar water desalination. ACS Nano 2019, 13, 7913–7919. [Google Scholar] [CrossRef]
- Zhou, X.; Zhao, F.; Guo, Y.; Zhang, Y.; Yu, G.A. Hydrogel-based antifouling solar evaporator for highly efficient water desalination. Energy Environ. Sci. 2018, 11, 1985–1992. [Google Scholar] [CrossRef]
- Buwalda, S.J.; Vermonden, T.; Hennink, W.E. Hydrogels for therapeutic delivery: Current developments and future directions. Biomacromolecules 2017, 18, 316–330. [Google Scholar] [CrossRef] [PubMed]
- Calori, I.R.; Braga, G.; de Jesus PD, C.C.; Bi, H.; Tedesco, A.C. Polymer scaffolds as drug delivery systems. Eur. Polym. J. 2020, 129, 109621. [Google Scholar] [CrossRef]
- Yu, Y.; Cheng, Y.; Tong, J.; Zhang, L.; Wei, Y.; Tian, M. Recent advances in thermo-sensitive hydrogels for drug delivery. J. Mater. Chem. B 2021, 9, 2979–2992. [Google Scholar] [CrossRef]
- Liang, Y.; He, J.; Guo, B. Functional hydrogels as wound dressing to enhance wound healing. ACS Nano 2021, 15, 12687–12722. [Google Scholar] [CrossRef]
- Gao, Y.; Li, Z.; Huang, J.; Zhao, M.; Wu, J. In situ formation of injectable hydrogels for chronic wound healing. J. Mater. Chem. B 2020, 8, 8768–8780. [Google Scholar] [CrossRef]
- Stan, D.; Tanase, C.; Avram, M.; Apetrei, R.; Mincu, N.B.; Mateescu, A.L.; Stan, D. Wound healing applications of creams and “smart” hydrogels. Exp. Dermatol. 2021, 30, 1218–1232. [Google Scholar] [CrossRef] [PubMed]
- Golomb, B.A.; Evans, M.A. Statin adverse effects: A review of the literature and evidence for a mitochondrial mechanism. Am. J. Cardiovasc. Drugs. 2008, 8, 373–418. [Google Scholar] [CrossRef] [PubMed]
- Jacobson, T.A.; Ito, M.K.; Maki, K.C.; Orringer, C.E.; Bays, H.E.; Jones, P.H.; McKenney, J.M.; Grundy, S.M.; Gill, E.A.; Wild, R.A.; et al. National lipid association recommendations for patient-centered management of dyslipidemia: Part 1-full report. J. Clin. Lipidol. 2015, 9, 129–169. [Google Scholar] [CrossRef] [PubMed]
- Catapano, A.L.; Reiner, Z.; De Backer, G.; Graham, I.; Taskinen, M.-R.; Wiklund, O.S.; Alegria, A.E.; Chapman, M.J.; Durrington, P.; Erdine, S.; et al. ESC/EAS guidelines for the management of dyslipidaemias: The task force for the management of dyslipidaemias of the European Society of Cardiology (ESC) and the European Atherosclerosis Society (EAS). Atherosclerosis 2011, 217, 3–46. [Google Scholar] [CrossRef] [PubMed]
- Zafrir, B.; Jain, M. Lipid-lowering therapies, glucose control and incident diabetes: Evidence, mechanisms and clinical implications. Cardiovasc. Drugs Ther. 2014, 28, 361–377. [Google Scholar] [CrossRef]
- Mazidi, M.; Rezaie, P.; Karimi, E.; Kengne, A.P. The effects of bile acid sequestrants on lipid profile and blood glucose concentrations: A systematic review and meta-analysis of randomized controlled trials. Int. J. Cardiol. 2017, 227, 50–857. [Google Scholar] [CrossRef]
- García-Fernández-Bravo, I.; Torres-Do-Rego, A.; López-Farré, A.; Galeano-Valle, F.; Demelo-Rodriguez, P.; Alvarez-Sala-Walther, L.A. Undertreatment or Overtreatment With Statins: Where Are We? Front. Cardiovasc. Med. 2022, 9, 808712. [Google Scholar] [CrossRef] [PubMed]
- Vuorio, A.; Kuoppala, J.; Kovanen, P.T.; Humphries, S.E.; Tonstad, S.; Wiegman, A.; Drogari, E.; Ramaswami, U. Statins for children with familial hypercholesterolemia. Cochrane Database Syst. Rev. 2019, 11, CD006401. [Google Scholar] [CrossRef]
- Zeman, M.; Vecka, M.; Perlik, F.; Hromadka, R.; Stankova, B.; Tvrzicka, E.; Zak, A. Niacin in the treatment of hyperlipidemias in light of new clinical trials: Has niacin lost its place? Med. Sci. Monit. 2015, 21, 2156–2162. [Google Scholar] [CrossRef]
- Zeman, M.; Vecka, M.; Perlik, F.; Stankova, B.; Hromadka, R.; Tvrzicka, E.; Sirc, J.; Hrib, J.; Zak, A. Pleiotropic effects of niacin: Current possibilities for its clinical use. Acta Pharm. 2016, 66, 449–469. [Google Scholar] [CrossRef]
- Bays, H.E.; Goldberg, R.B. The ‘forgotten’ bile acid sequestrants: Is now a good time to remember? Am. J. Ther. 2007, 14, 567–580. [Google Scholar] [CrossRef]
- Monte, M.J.; Marin, J.J.; Antelo, A.; Vazquez-Tato, J. Bile acids: Chemistry, physiology, and pathophysiology. World J Gastroenterol. 2009, 15, 804–816. [Google Scholar] [CrossRef]
- Hofmann, A.F.; Hagey, L.R. Bile acids: Chemistry, pathochemistry, biology, pathobiology, and therapeutics. Cell. Mol. Life Sci. 2008, 65, 2461–2483. [Google Scholar] [CrossRef] [PubMed]
- Mukhopadhyay, S.; Maitra, U. Chemistry and biology of bile acids. Curr. Sci. 2004, 87, 1666–1683. [Google Scholar]
- di Gregorio, M.C.; Cautela, J.; Galantini, L. Physiology and Physical Chemistry of Bile Acids. Int. J. Mol. Sci. 2021, 22, 1780. [Google Scholar] [CrossRef] [PubMed]
- Shansky, Y.; Bespyatykh, J. Bile Acids: Physiological Activity and Perspectives of Using in Clinical and Laboratory Diagnostics. Molecules 2022, 27, 7830. [Google Scholar] [CrossRef]
- Camilleri, M.M.D.; Vijayvargiya, P.M.D. The Role of Bile Acids in Chronic Diarrhea. Am. J. Gastroenterol. 2020, 115, 1596–1603. [Google Scholar] [CrossRef]
- Hansen, M.; Sonne, D.P.; Mikkelsen, K.H.; Gluud, L.L.; Vilsbøll, T.; Knop, F.K. Bile acid sequestrants for glycemic control in patients with type 2 diabetes: A systematic review with meta-analysis of randomized controlled trials. J. Diabetes Complicat. 2017, 31, 918–927. [Google Scholar] [CrossRef]
- Li, Y.; Dias, J.R. Dimeric and oligomeric steroids. Chem. Rev. 1997, 97, 283–304. [Google Scholar] [CrossRef]
- Maitra, U. Unlocking the potential of bile acids in synthesis, supramolecular/materials chemistry and nanoscience. Org. Biomol. Chem. 2008, 6, 657–669. [Google Scholar] [CrossRef]
- Rinco, O.; Kleinman, M.H.; Bohne, C. Reactivity of Benzophones in the Different Binding Sites of Sodium Cholate Aggregates. Langmuir 2001, 17, 5781–5790. [Google Scholar] [CrossRef]
- Terech, P.; Sangeetha, N.M.; Demé, B.; Maitra, U. Self-Assembled Networks of Ribbons in Molecular Hydrogels of Cationic Deoxycholic Acid Analogues. J. Phys. Chem. B. 2005, 109, 12270–12276. [Google Scholar] [CrossRef]
- Sayyed-Ahmad, A.; Lichtenberger, L.M.; Gorfe, A.A. Structure and Dynamics of Cholic Acid and Dodecylphosphocholine −Cholic Acid Aggregates. Langmuir 2010, 26, 13407. [Google Scholar] [CrossRef]
- Dhal, P.K.; Polomoscanik, S.C.; Avila, L.Z.; Randall Holmes-Farley, S.; Miller, R.J. Functional polymers as therapeutic agents: Concept to market place. Adv. Drug Deliv. Rev. 2009, 61, 1121–1130. [Google Scholar] [CrossRef] [PubMed]
- Heřmánková, E.; Žák, A.; Poláková, L.; Hobzová, R.; Hromádka, R.; Širc, J. Polymeric bile acid sequestrants: Review of design, in vitro binding activities, and hypocholesterolemic effects. Eur. J. Med. Chem. 2018, 144, 300–317. [Google Scholar] [CrossRef]
- Mendonça, P.V.; Serra, A.C.; Silva, C.L.; Simões, S.; Coelho, J.F.J. Polymeric bile acid sequestrants-Synthesis using conventional methods and new approaches based on “controlled”/living radical polymerization. Progr. Polym. Sci. 2013, 38, 445–461. [Google Scholar] [CrossRef]
- Feng, Y.; Li, Q.; Ou, G.; Yang, M.; Du, L. Bile acid sequestrants: A review of mechanism and design. J. Pharm. Pharmacol. 2021, 73, 855–861. [Google Scholar] [CrossRef] [PubMed]
- Racovita, S.; Popa, M.; Atanase, L.I.; Vasiliu, S. Chapter 14—Synthetic macromolecules with biological activity. In Biological Macromolecules. Biactivity and Biological Applications; Nayak, A.K., Dhara, A.K., Pal, D., Eds.; Academic Press: Cambridge, MA, USA, 2022; pp. 305–335. [Google Scholar] [CrossRef]
- Kumar, A.; Galbraith, N.; Al-Hassi, H.O.; Jain, M.; Phipps, O.; Butterworth, J.; Steed, H.; McLaughlin, J.; Brookes, M.J. The impact of treatment with bile acid sequestrants on quality of life in patients with bile acid diarrhoea. BMC Gastroenterol 2022, 22, 325. [Google Scholar] [CrossRef] [PubMed]
- Northcutt, M.J.; Gentile, N.M.; Goldstein, J.L.; Yen, E.F. Bile Acid Sequestrant Therapy in Microscopic Colitis. J. Clin. Gastroenterol. 2022, 56, 161–165. [Google Scholar] [CrossRef]
- Tome, J.; Sehgal, K.; Kamboj, A.K.; Harmsen, W.S.; Khanna, S.; Pardi, D.S. Bile Acid Sequestrants in Microscopic Colitis: Clinical Outcomes and Utility of Bile Acid Testing. Clin. Gastroenterol. Hepatol. 2023, in press. [Google Scholar] [CrossRef]
- Staels, B.; Handelsman, Y.; Fonseca, V. Bile Acid Sequestrants for Lipid and Glucose Control. Curr. Diab. Rep. 2010, 10, 70–77. [Google Scholar] [CrossRef] [PubMed]
- Takahashi, S.; Luo, Y.; Ranjit, S.; Xie, C.; Libby, A.E.; Orlicky, D.J.; Dvornikov, A.; Wang, X.X.; Myakala, K.; Jones, B.A.; et al. Bile acid sequestration reverses liver injury and prevents progression of nonalcoholic steatohepatitis in Western diet–fed mice. J. Biol. Chem. 2020, 295, 4733–4747. [Google Scholar] [CrossRef] [PubMed]
- Sunny, R.; Ashish, M.; Supriya, H.; Nancy, P. High-performance liquid chromatography method applied to investigate mechanism, kinetics, isotherm, and thermodynamics of bile acid adsorption onto bile acid sequestrants. Drug Dev. Ind. Pharm. 2019, 45, 1437–1443. [Google Scholar] [CrossRef]
- Mena Bares, L.; Benítez Cantero, J.; Iglesias Flores, E.; Gros Alcalde, B.; Moreno Ortega, E.; Maza Muret, F. Bile acid malabsorption in patients with chronic diarrhea and Crohn’s disease. Rev. Esp. Enferm. Dig. 2019, 111, 4–45. [Google Scholar] [CrossRef]
- Insull, W. Clinical utility of bile acid sequestrants in the treatment of dyslipidemia: A scientific review. South. Med. J. 2006, 99, 257–273. [Google Scholar] [CrossRef]
- Abdul-Rahman, T.; Bukhari, S.M.A.; Cantu, E.; Awuah, W.A.; Lawrence, J.; de Andrade, H.; Patel, N.; Shah, R.; Shaikh, R.; Capriles, C.A.; et al. Lipid Lowering Therapy: An Era Beyond Statins. Curr. Probl. Cardiol. 2022, 47, 101342. [Google Scholar] [CrossRef]
- Nishida, S.; Horinouchi, A.; Higashimura, Y.; Akahori, R.; Matsumoto, K. Cholestyramine, a Bile Acid Sequestrant, Increases Cecal Short Chain Fatty Acids and Intestinal Immunoglobulin A in Mice. Biol. Pharm. Bull. 2020, 43, 565–568. [Google Scholar] [CrossRef] [PubMed]
- Wilcox, C.; Turner, J.; Green, J. Systematic review: The management of chronic diarrhoea due to bile acid malabsorption. Aliment. Pharmacol. Ther. 2014, 39, 923–939. [Google Scholar] [CrossRef] [PubMed]
- Mandeville, W.H.; Goldberg, D.I. The sequestration of bile acids, a non-absorbed method for cholesterol reduction. A review. Curr. Pharm. Design 1997, 3, 15–26. [Google Scholar] [CrossRef]
- Handelsman, Y. Role of bile acid sequestrants in the treatment of type 2 diabetes. Diabetes Care. 2011, 34, S244–S250. [Google Scholar] [CrossRef] [PubMed]
- Dhal, P.K.; Huval, C.C.; Holmes-Farley, S.R. Functional Polymers as Human Therapeutic Agents. Ind. Eng. Chem. 2005, 44, 8593–8604. [Google Scholar] [CrossRef]
- Esan, O.; Viljoen, A.; Wierzbicki, A.S. Colesevelam—A bile acid sequestrant for treating hypercholesterolemia and improving hyperglycemia. Expert Opin. Pharmacother. 2022, 23, 1363–1370. [Google Scholar] [CrossRef] [PubMed]
- Hartmann, P.; Duan, Y.; Miyamoto, Y.; Münevver, D.; Lang, S.; Hasa, E.; Stern, P.; Yamashita, D.; Conrad, M.; Eckmann, L. Colesevelam ameliorates non-alcoholic steatohepatitis and obesity in mice. Hepatol. Int. 2022, 16, 359–370. [Google Scholar] [CrossRef]
- Fonseca, V.A.; Rosenstock, J.; Wang, A.C.; Truitt, K.E.; Jones, M.R. Colesevelam HCl Improves Glycemic Control and Reduces LDL Cholesterol in Patients with Inadequately Controlled Type 2 Diabetes on Sulfonylurea-Based Therapy. Diabetes Care. 2008, 31, 1479–1484. [Google Scholar] [CrossRef]
- Pavlou, P.; Koutroukas, V.; Lissett, C.; Smith, J.C. Colesevelam-induced hypoglycaemia in a patient with type 1 diabetes mellitus. Clin. Case Rep. 2021, 9, e04830. [Google Scholar] [CrossRef]
- Bouhairie, V.E.; Goldberg, A.C. Familial Hypercholesterolemia. Endocrinol. Metab. Clin. N. Am. 2016, 45, 1–16. [Google Scholar] [CrossRef] [PubMed]
- Colca, J.R.; Kletzien, R.F. Current and Emerging Strategies for Treating Dyslipidemia and Macrovascular Disease. In Advances in Pharmacology; Enna, S.J., Williams, M., Eds.; Academic Press: Cambridge, MA, USA, 2009; Volume 57, pp. 237–251. [Google Scholar] [CrossRef]
- BeMiller, J.N. (Ed.) 5—Polysaccharides: Properties. In Carbohydrate Chemistry for Food Scientists, AACC International Press: Washington, DC, USA, 2019, 3rd ed.; AACC International Press: Washington, DC, USA, 2019; pp. 103–157. [Google Scholar] [CrossRef]
- Aravamudhan, A.; Ramos, D.M.; Nada, A.A.; Kumbar, S.G. Natural and Synthetic Biomedical Polymers. In Chapter 4—Natural Polymers: Polysaccharides and Their Derivatives for Biomedical Applications; Kumbar, S.G., Laurencin, C.T., Deng, M., Eds.; Elsevier: Amsterdam, The Netherlands, 2014; pp. 67–89. [Google Scholar] [CrossRef]
- Silva, I.M.V.; Machado, F.; Moreno, M.J.; Nunes, C.; Coimbra, M.A.; Coreta-Gomes, F. Polysaccharide Structures and Their Hypocholesterolemic Potential. Molecules 2021, 26, 4559. [Google Scholar] [CrossRef]
- Stedronsky, E.R. Interaction of bile acids and cholesterol with non-systemic agents having hypocholesterolemic properties. Biochim Biophys Acta. 1994, 1210, 255–287. [Google Scholar] [CrossRef]
- Benson, G.M.; Alston, D.R.; Hickey, D.M.; Jaxa-Chamiec, A.A.; Whittaker, C.M.; Haynes, C.; Glen, A.; Blanchard, S.; Cresswell, S.R.; Suckling, K.E. SK&F 97426-A: A novel bile acid sequestrant with higher affinities and slower dissociation rates for bile acids in vitro than cholestyramine. J. Pharm. Sci. 1997, 86, 76–81. [Google Scholar] [CrossRef] [PubMed]
- Benson, G.M.; Alston, D.R.; Bond, B.C.; Gee, A.N.; Glen, A.; Haynes, C.; Hickey, D.M.B.; Iqbal, S.; Jackson, B.; Jaxa-Chamiec, A.A.; et al. SK&F 97426-A a more potent bile acid sequestrant and hypocholesterolaemic agent than cholestyramine in the hamster. Atherosclerosis 1993, 101, 51–60. [Google Scholar] [CrossRef] [PubMed]
- Mendonça, P.V.; Moreno, M.J.; Serra, A.C.; Simões, S.; Coelho, J.F.J. Synthesis of tailor-made bile acid sequestrants by supplemental activator and reducing agent atom transfer radical polymerization. RSC Advances 2016, 6, 52143–52153. [Google Scholar] [CrossRef]
- Gao, H.; Chan, N.; Oh, J.; Matyjaszewski, K. Designing Hydrogels by ATRP. In In-Situ Gelling Polymers; Loh, X., Ed.; Springer: Singapore, 2015; pp. 69–105. [Google Scholar] [CrossRef]
- Gao, H.; Min, K.; Matyjaszewski, K. Determination of Gel Point during Atom Transfer Radical Copolymerization with Cross-Linker. Macromolecules 2007, 40, 7763–7770. [Google Scholar] [CrossRef]
- Jiang, C.; Shen, Y.; Zhu, S.; Hunkeler, D. Gel formation in atom transfer radical polymerization of 2-(N,N-dimethylamino)ethyl methacrylate and ethylene glycol dimethacrylate. J. Polym. Sci. Part A Polym. Chem. 2001, 39, 3780–3788. [Google Scholar] [CrossRef]
- Mendonça, P.V.; Matos, A.; Sousa, A.F.; Serra, A.C.; Simões, S.; Coelho, J.F.J. Increasing the Bile Acid Sequestration Performance of Cationic Hydrogels by Using an Advanced/Controlled Polymerization Technique. Pharm. Res. 2017, 34, 1934–1943. [Google Scholar] [CrossRef] [PubMed]
- Figuly, G.D.; Royce, S.D.; Khasat, N.P.; Schock, L.E.; Wu, S.D.; Davidson, F.; Campbell, G.C.; Keating, M.Y.; Chen, H.W.; Shimshick, E.J.; et al. Preparation and characterization of novel poly(alkylamine)-based hydrogels designed for use as bile acid sequestrants. Macromolecules 1997, 30, 6174–6184. [Google Scholar] [CrossRef]
- Schreiber, M.A.; Moyer, K.L.; Mueller, B.J.; Ramos, M.A.; Green, J.S.; White, L.; Hedgepeth, W.; Juliano, K.; Scull, J.R.; Hovsepian, P.K. Development and validation of a cholate binding capacity method for DMP 504, a bile acid sequestrant. J. Pharm. Biomed. Anal. 2001, 25, 343–351. [Google Scholar] [CrossRef] [PubMed]
- Juliano, K.; Champion, W.L.; Schreiber, M.A.; Blackwell, J.A. Quantitation and determination of molecular weight distribution of residual water soluble extractable polyamines in DMP 504, a poly-alkylamine bile acid sequestrant, by aqueous high performance size exclusion chromatography. J. Pharm. Biomed. Anal. 1997, 16, 499–506. [Google Scholar] [CrossRef]
- Shimshick, E.J.; Figuly, G.D.; Grimminger, L.C.; Hainer, J.W.; Jensen, J.H.; Leipold, R.J.; Royce, S.D.; Gillies, P.J. DMP 504, a novel hydrogel bile acid sequestrant: I. Equilibrium binding properties and computer simulation of human bile flow. Drug Dev. Res. 1997, 41, 58–64. [Google Scholar] [CrossRef]
- Gillies, P.J.; Billheimer, J.T.; Blackston, V.A.; Cromley, D.A.; Figuly, G.D.; Fischer, R.T.; Germain, S.J.; Godonis, H.E.; Gorko, M.A.; Grimminger, L.C.; et al. DMP 504, a novel hydrogel bile acid sequestrant: II. Lipid lowering pharmacology in the hamster. Drug Dev. Res. 1997, 41, 65–75. [Google Scholar] [CrossRef]
- Hainer, J.W.; Hunninghake, D.B.; Benedek, I.H.; Broyles, F.E.; Garner, D.M.; Jenkins, R.M.; McGinn, A.; Pieniaszek, H.J.; London, E.; Gillies, P.J. DMP 504, a novel hydrogel bile acid sequestrant: III. Safety, tolerability, and cholesterol lowering in healthy hypercholesterolemic subjects. Drug Dev. Res. 1997, 41, 76–84. [Google Scholar] [CrossRef]
- Zarras, P. Polycationic salts. VI. Synthesis and in vitro studies of 2-ionene oligomer derivatives of styrene as bile acid sequestering agents. J. Polym.Sci. Part A Polym. Chem. 2004, 42, 701–713. [Google Scholar] [CrossRef]
- Zhang, L.H.; Janout, V.; Renner, J.L.; Uragami, M.; Regen, S.L. Enhancing the “stickiness” of bile acids to cross-linked polymers: A bioconjugate approach to the design of bile acid sequestrants. Bioconjug Chem. 2000, 11, 397–400. [Google Scholar] [CrossRef]
- Huval, C.C.; Holmes-Farley, S.R.; Mandeville, W.H.; Sacchiero, R.; Dhal, P.K. Syntheses of hydrophobically modified cationic hydrogels by copolymerization of alkyl substituted diallylamine monomers and their use as bile acid sequestrants. Eur. Polym. J. 2004, 40, 693–701. [Google Scholar] [CrossRef]
- Polomoscanik, S.C.; Holmes-Farley, S.R.; Petersen, J.S.; Sacchiero, R.J.; Dhal, P.K. Hydrophobically modified poly(allylamine) hydrogels containing internal quaternary ammonium groups as cholesterol lowering agents: Synthesis, characterization, and biological studies. J. Macromol. Sci. Part A Pure Appl. Chem. 2012, 49, 1011–1021. [Google Scholar] [CrossRef]
- Wang, X.; Jing, S.; Qiu, X.; Zhao, S.; Liu, Y.; Tan, Y. Novel bile acid sequestrant: A biodegradable hydrogel based on amphiphilic allylamine copolymer. Chem. Eng. J. 2016, 304, 493–502. [Google Scholar] [CrossRef]
- Vasapollo, G.; Del Sole, R.; Mergola, L.; Lazzoi, M.R.; Scardino, A.; Scorrano, S.; Mele, G. Molecularly imprinted polymers: Present and future prospective. Int. J. Mol. Sci. 2011, 12, 5908. [Google Scholar] [CrossRef] [PubMed]
- Yang, S.; Wang, Y.; Jiang, Y.; Li, S.; Liu, W. Molecularly imprinted polymers for the identification and separation of chiral drugs and biomolecules. Polymers 2016, 8, 216. [Google Scholar] [CrossRef]
- Whitcombe, M.J.; Rodriguez, M.E.; Villar, P.; Vulfson, E.N. A new method for the introduction of recognition site functionality into polymers prepared by molecular imprinting—Synthesis and characterization of polymeric receptors for cholesterol. J. Am. Chem. Soc. 1995, 117, 7105–7111. [Google Scholar] [CrossRef]
- Huval, C.C.; Bailey, M.J.; Braunlin, W.H.; Holmes-Farley, S.R.; Mandeville, W.H.; Petersen, J.S.; Polomoscanik, S.C.; Sacchiro, R.J.; Chen, X.; Dhal, P.K. Novel cholesterol lowering polymeric drugs obtained by molecular imprinting. Macromolecules 2001, 34, 1548–1550. [Google Scholar] [CrossRef]
- Wang, Y.; Zhang, J.; Zhu, X.X.; Yu, A. Specific binding of cholic acid by crosslinked polymers prepared by the hybrid imprinting method. Polymer 2007, 48, 5565–5571. [Google Scholar] [CrossRef]
- Idziak, I.; Gravel, D.; Zhu, X.X. Polymer-catalyzed aminolysis of covalently imprinted cholic acid derivative. Tetrahedron Lett. 1999, 40, 9167–9170. [Google Scholar] [CrossRef]
- Yaňez, F.; Chianella, I.; Piletsky, S.A.; Concheiro, A.; Alvarez-Lorenzo, C. Computational modeling and molecular imprinting for the development of acrylic polymers with high affinity for bile salts. Anal. Chim. Acta 2010, 659, 178–185. [Google Scholar] [CrossRef]
- Green, B.; Priwler, M. Molecularly Imprinted Polymers for the Treatment and Diagnosis of Medical Conditions. U.S. Patent 6,638,498 B2, 28 October 2003. [Google Scholar]
- Nguyen, T.T.L.; Anton, N.; Vandamme, T.F. Chapter 8—Oral pellets loaded with nanoemulsions. In Micro and Nano Technologies, Nanostructures for Oral Medicine; Andronescu, E., Grumezescu, A.M., Eds.; Elsevier: Amsterdam, The Netherlands, 2017; pp. 203–230. [Google Scholar] [CrossRef]
- Nichifor, M.; Cristea-Csergo, D.; Carpov, A. In vitro bile acid binding on aminated microcrystalline cellulose. STP Pharma Sci. 1994, 44, 447–452. [Google Scholar]
- Kazlauske, J.; Ramanauskiene, K.; Liesiene, J. Binding of Bile Acids by Cellulose-Based Cationic Adsorbents. Cellul. Chem. Technol. 2014, 48, 11–17. [Google Scholar]
- Šėrys, A.; Liesienė, J.; Urbonavičienė, J.; Maruška, A.; Radzevičius, K.; Vaiatkevičiubartė, D.; Bumelis, V. Preparation and Characterization of Cellulose Based Adsorbents for Large Scale Hydrophobic Interaction Chromatography. J. Liq. Chromatogr. 1994, 17, 749–760. [Google Scholar] [CrossRef]
- Shen, J.; Yang, X.; Sun, X.; Gong, Y.; Ma, L.; Liu, Y.J. Amino-functionalized cellulose: A novel and high-efficiency scavenger for sodium cholate sorption. Cellulose 2020, 27, 4019–4028. [Google Scholar] [CrossRef]
- Nichifor, M.; Cristea, D.; Mocanu, G.; Carpov, A. Aminated polysaccharides as bile acid sorbents: In vitro study. J. Biomat. Sci. Polym. 1998, 9, 519–534. [Google Scholar] [CrossRef]
- Nechifor, M.; Filip, C.; Paduraru, I.; Nichifor, M.; Carpov, A. Synthesis and pharmacological action of some cholestyramine analogs. In Polymers in Medicine: Biomedical and Pharmaceutical Applications; Ottenbrite, R.M., Chiellini, E., Eds.; Technomic Publishing Company: Lancaster, UK, 1992; pp. 145–165. [Google Scholar]
- Nichifor, M.; Stanciu, M.C.; Simionescu, B.C. New cationic hydrophilic and amphiphilic polysaccharides synthesized by one pot procedure. Carbohydr. Polym. 2010, 82, 965–975. [Google Scholar] [CrossRef]
- Nichifor, M.; Stanciu, M.C.; Ghimici, L.; Simionescu, B.C. Hydrodynamic properties of some cationic amphiphilic polysaccharides in dilute and semi-dilute aqueous solutions. Carbohydr. Polym. 2011, 83, 1887–1894. [Google Scholar] [CrossRef]
- Nichifor, M.; Zhu, X.X.; Cristea, D.; Carpov, A. Interaction of hydrophobically modified cationic dextran hydrogels with biological surfactants. J. Phys. Chem. B 2001, 105, 2314–2321. [Google Scholar] [CrossRef]
- Nichifor, M.; Cristea, D.; Carpov, A. Sodium cholate sorption on cationic dextran hydrogel microspheres. 1. Influence of the chemical structure of functional groups. Int. J. Biol. Macromol. 2000, 28, 15–21. [Google Scholar] [CrossRef]
- Nichifor, M.; Zhu, X.X.; Baille, W.; Cristea, D.; Carpov, A. Bile Acid Sequestrants Based on Cationic Dextran Hydrogel Microspheres. 2. Influence of the Length of Alkyl Substituents at the Amino Groups of the Sorbents on the Sorption of Bile Salts. J. Pharm. Sci. 2001, 90, 681–689. [Google Scholar] [CrossRef]
- Mocanu, G.; Nichifor, M. Cationic amphiphilic dextran hydrogels with potential biomedical applications. Carbohyd. Polym. 2014, 99, 235–241. [Google Scholar] [CrossRef] [PubMed]
- Stanciu, M.C.; Nichifor, M. Influence of dextran hydrogel characteristics on adsorption capacity for anionic dyes. Carbohyd. Polym. 2018, 199, 75–83. [Google Scholar] [CrossRef] [PubMed]
- Stanciu, M.C.; Nichifor, M. Adsorption of anionic dyes on a cationic amphiphilic dextran hydrogel: Equilibrium, kinetic, and thermodynamic studies. Colloid Polym. Sci. 2019, 297, 45–57. [Google Scholar] [CrossRef]
- Stanciu, M.C.; Nichifor, M.; Ailiesei, G.L. Bile salts adsorption on dextran-based hydrogels. Int. J. Biol. Macromol. 2021, 190, 270–283. [Google Scholar] [CrossRef]
- Stanciu, M.C.; Nichifor, M.; Prisacaru, A.-I. Adsorption of Sodium Cholate on Cationic Dextran Gels: Comparison of Isotherm Binding Models. Mater. Plast. 2020, 57, 181–192. [Google Scholar] [CrossRef]
- Zhu, X.; Wen, Y.; Cheng, D.; Li, C.; An, X.; Ni, Y. Cationic amphiphilic microfibrillated cellulose (MFC) for potential use for bile acid sorption. Carbohydr. Polym. 2015, 132, 598–605. [Google Scholar] [CrossRef]
- Lee, J.K.; Kim, S.Y.; Kim, S.U.; Kim, J.H. Synthesis of cationic polysaccharide derivatives and their hypocholesterolaemic capacity. Biotechnol. Appl. Biochem. 2002, 35, 181–189. [Google Scholar] [CrossRef]
- Zhu, X.X.; Brizard, F.; Wen, C.C.; Brown, G.R. Binding of bile acids by polymerized cyclodextrin resins. J. Macromol. Sci. Appl. Chem. 1997, A34, 335–347. [Google Scholar] [CrossRef]
- Baille, W.E.; Huang, W.Q.; Nichifor, M.; Zhu, X.X. Functionalized b-cyclodextrin polymers for the sorption of bile salts. J. Macromol. Sci. Part A 2000, 37, 677–690. [Google Scholar] [CrossRef]
- Morales-Sanfrutos, J.; Lopez-Jaramillo, F.J.; Elremaily, M.A.A.; Hernandez-Mateo, F.; Santoyo-Gonzalez, F. Divinyl sulfone cross-linked cyclodextrin-based polymeric materials: Synthesis and applications as sorbents and encapsulating agents. Molecules 2015, 20, 3565–3581. [Google Scholar] [CrossRef]
- Lopez-Jaramillo, F.J.; Giron-Gonzalez, M.D.; Salto-Gonzalez, R.; Hernandez-Mateo, F.; Santoyo-Gonzalez, F. In vitro and in vivo evaluation of novel crosslinked saccharide based polymers as bile acid sequestrants. Molecules 2015, 20, 3716–3729. [Google Scholar] [CrossRef] [PubMed]


















Disclaimer/Publisher’s Note: The statements, opinions and data contained in all publications are solely those of the individual author(s) and contributor(s) and not of MDPI and/or the editor(s). MDPI and/or the editor(s) disclaim responsibility for any injury to people or property resulting from any ideas, methods, instructions or products referred to in the content. |
© 2023 by the authors. Licensee MDPI, Basel, Switzerland. This article is an open access article distributed under the terms and conditions of the Creative Commons Attribution (CC BY) license (https://creativecommons.org/licenses/by/4.0/).
Share and Cite
Stanciu, M.-C.; Nichifor, M.; Teacă, C.-A. Bile Acid Sequestrants Based on Natural and Synthetic Gels. Gels 2023, 9, 500. https://doi.org/10.3390/gels9060500
Stanciu M-C, Nichifor M, Teacă C-A. Bile Acid Sequestrants Based on Natural and Synthetic Gels. Gels. 2023; 9(6):500. https://doi.org/10.3390/gels9060500
Chicago/Turabian StyleStanciu, Magdalena-Cristina, Marieta Nichifor, and Carmen-Alice Teacă. 2023. "Bile Acid Sequestrants Based on Natural and Synthetic Gels" Gels 9, no. 6: 500. https://doi.org/10.3390/gels9060500
APA StyleStanciu, M.-C., Nichifor, M., & Teacă, C.-A. (2023). Bile Acid Sequestrants Based on Natural and Synthetic Gels. Gels, 9(6), 500. https://doi.org/10.3390/gels9060500

