A Novel MBAS-RF Approach to Predict Mechanical Properties of Geopolymer-Based Compositions
Abstract
1. Introduction
2. Methodology
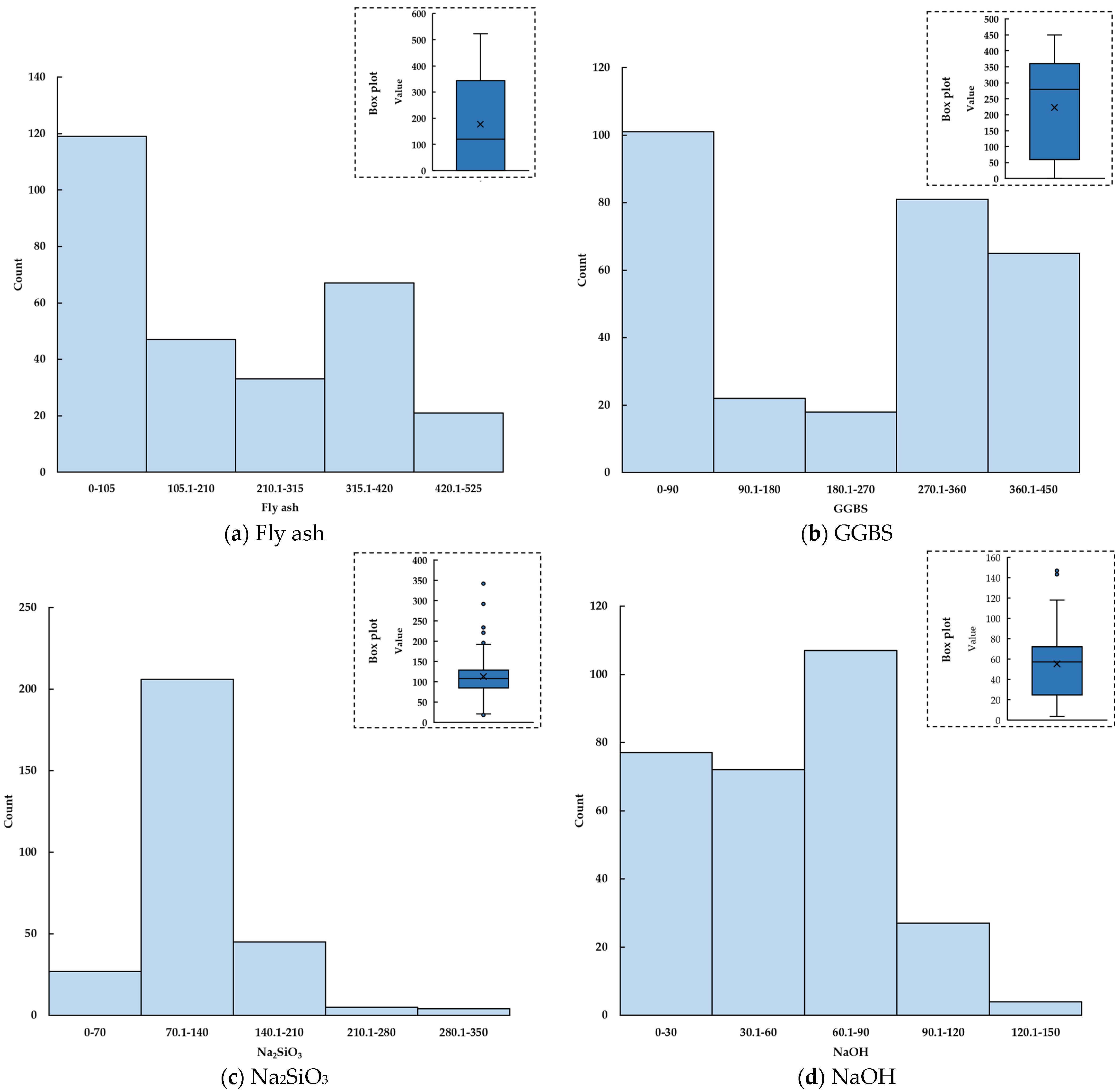
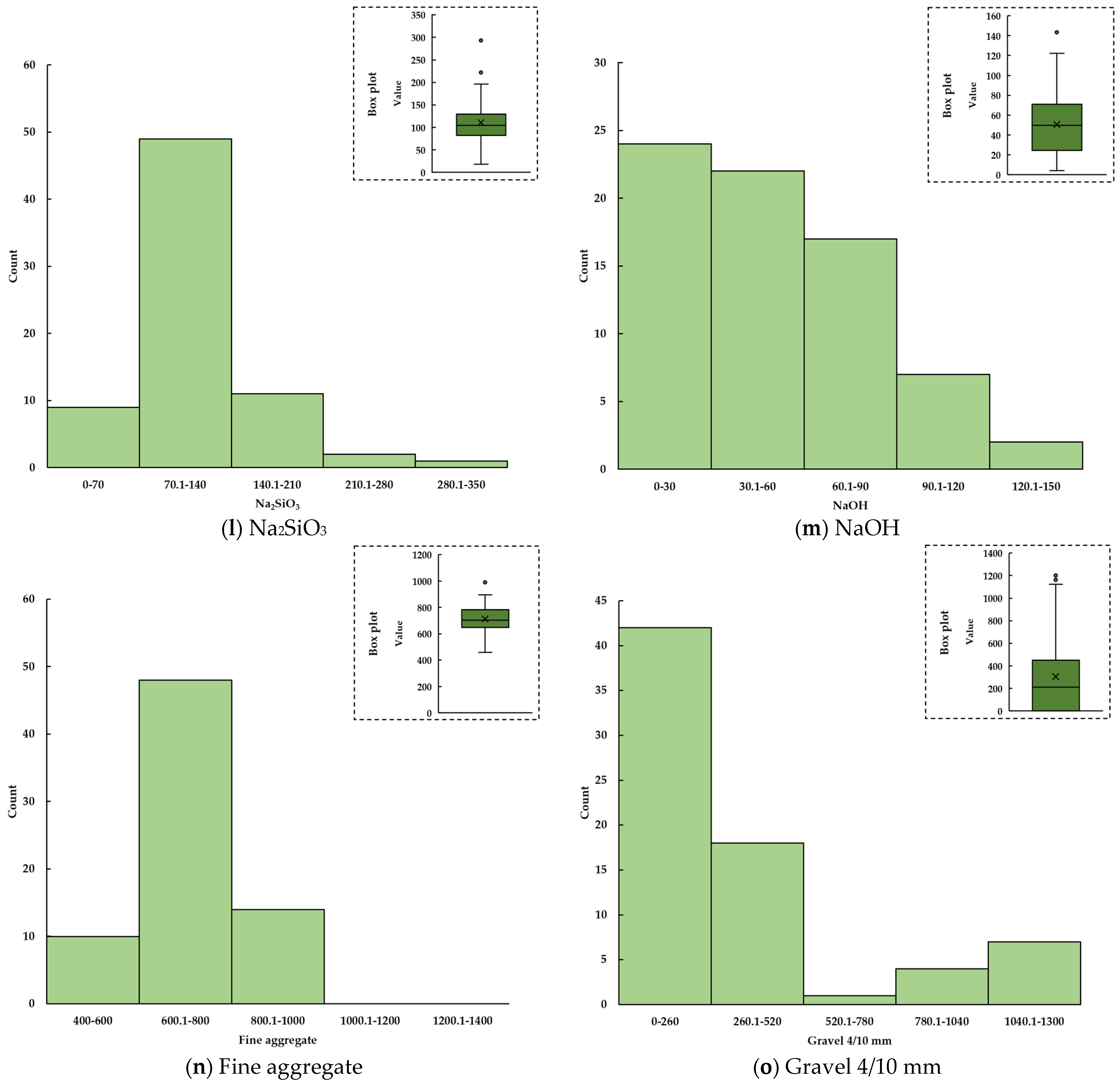
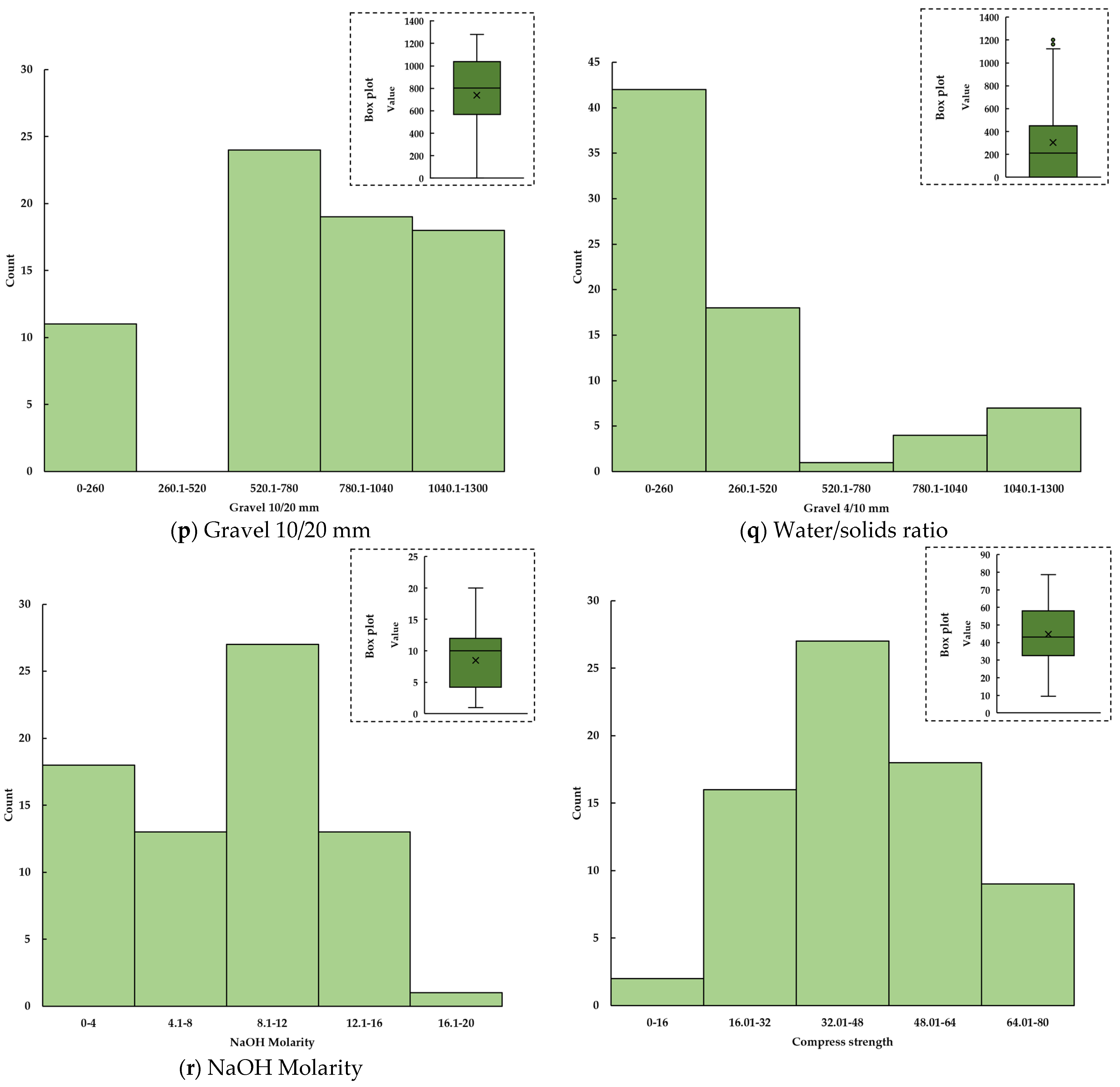
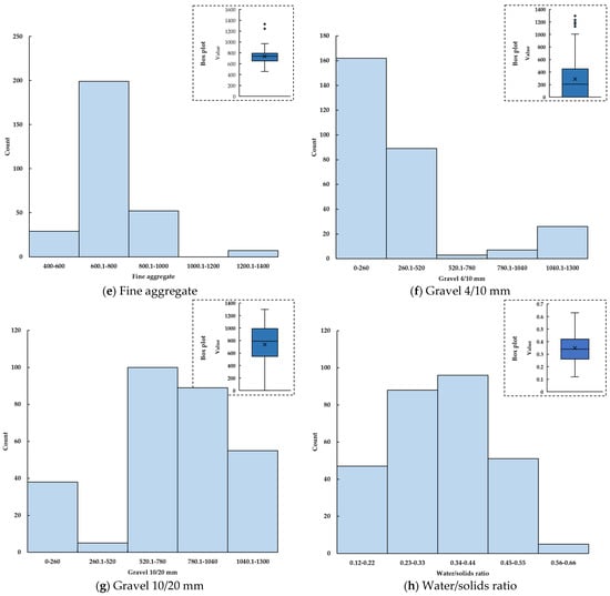
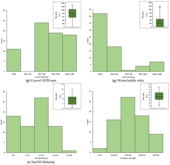
2.1. Data Collection and Analysis
2.2. Analysis of the Machine Learning Models Employed
2.2.1. Beetle Antennae Search (BAS)
- (1)
- Initialize the location of the beetle, and the formula is as follows:
- (2)
- Determine the distance between the whiskers of the beetle:
- (3)
- Simulate the search behavior of the left and right whiskers:
- (4)
- The behavior of the beetle can be determined by the following equation:
- (1)
- Levy flight
- (2)
- Self-adaptive inertia weight
2.2.2. Random Forests (RF)
2.3. Evaluation of Predictive Performance
3. Analysis of Results
3.1. Performance of MBAS
3.2. Evaluating the Prediction Performance
3.3. Models Comparison
3.4. Importance Analysis and Sensitivity Analysis of Input Variables
3.5. Graphical User Interface (GUI) Development
4. Conclusions and Discussion
- (1)
- To avoid the limitation that traditional BAS is prone to fall into local optimum due to premature convergence, Levy flight and the adaptive weight method were used to improve BAS. The rate of convergence and the significant reduction in RMSE values prove the efficiency and accuracy of MBAS;
- (2)
- In terms of the prediction of the CS of geopolymer concrete, there is a good agreement between the predicted values and the actual values, and the error is small, which proves the feasibility of RF-MBAS in this study, and the comparison with DT-MBAS and RF-MBAS also confirms this view;
- (3)
- NaOH molarity and GGBS are the variables that have the greatest impact on the CS of geopolymer concrete, based on the dataset designed in the present study. NaOH and fly ash also show certain influence ability, but the change in the size of gravel (gravel 10/20 mm and gravel 20/40 mm) has a weak influence on the CS;
- (4)
- The high density of samples with a ratio close to 1 between the predicted and the actual values proves that the GUI developed using RF-MBAS is reliable;
- (5)
- By developing an accurate and convenient tool for the CS of geopolymer concrete, the research will promote the application of economical and environmentally friendly geopolymer concrete and promote the construction industry movement towards sustainable development.
Author Contributions
Funding
Data Availability Statement
Conflicts of Interest
References
- Pivinskii, Y.E. Cement-Free Refractory Concretes. Part 1. General Information. Hcbs and Ceramic Concretes. Refract. Ind. Ceram. 2020, 60, 430–438. [Google Scholar] [CrossRef]
- Pivinskii, Y.E.; Dyakin, P.V. Cement-Free Refractory Concretes. Part 5. Cement-Free Refractory Concretes Based on Hydraulic Alumina Binders. Refract. Ind. Ceram. 2020, 61, 374–383. [Google Scholar] [CrossRef]
- Singh, N.B.; Kumar, M.; Rai, S. Geopolymer cement and concrete: Properties. In Proceedings of the 11th National Conference on Solid State Chemistry and Allied Areas (NCSCA), Nagpur, India, 20–21 December 2019; pp. 743–748. [Google Scholar]
- Zhang, S.; Fan, Y.; Huang, J.; Shah, S.P. Effect of nano-metakaolinite clay on hydration behavior of cement-based materials at early curing age. Constr. Build. Mater. 2021, 291, 123107. [Google Scholar] [CrossRef]
- Tan, B.; Okoronkwo, M.U.; Kumar, A.; Ma, H. Durability of calcium sulfoaluminate cement concrete. J. Zhejiang Univ. Sci. A 2020, 21, 118–128. [Google Scholar] [CrossRef]
- Tang, Z.; Huang, F.; Peng, H. Mode I Fracture Behaviors between Cement Concrete and Asphalt Concrete Layer. Adv. Civ. Eng. 2021, 2021, 6658023. [Google Scholar] [CrossRef]
- Wang, G.; Chen, S.; Xia, M.; Zhong, W.; Han, X.; Luo, B.; Sabri, M.M.; Huang, J. Experimental Study on Durability Degradation of Geopolymer-Stabilized Soil under Sulfate Erosion. Materials 2022, 15, 5114. [Google Scholar] [CrossRef] [PubMed]
- Wagner, S.; Wickizer, G.; Cleary, D.; Lomboy, G.R.; Kennedy, D.; Watts, B.; Bly, P. Use of Coarse Recycled Concrete Aggregate in Ternary Blended Portland Cement Concrete. Transp. Res. Rec. 2020, 2674, 705–714. [Google Scholar] [CrossRef]
- Tanash, A.O.A.A.R.; Muthusamy, K. Concrete Industry, Environment Issue, and Green Concrete: A Review. Construction 2022, 2, 1–9. [Google Scholar]
- Satpathy, H.P.; Patel, S.K.; Nayak, A.N. Development of sustainable lightweight concrete using fly ash cenosphere and sintered fly ash aggregate. Constr. Build. Mater. 2019, 202, 636–655. [Google Scholar] [CrossRef]
- Albiajawi, M.I.; Embong, R.; Muthusamy, K. Influence of Mineral Admixtures on the Properties of Self-Compacting Concrete: An Overview. Construction 2021, 1, 62–75. [Google Scholar] [CrossRef]
- Alqahtani, F.K. Sustainable Green Lightweight Concrete Containing Plastic-Based Green Lightweight Aggregate. Materials 2021, 14, 3304. [Google Scholar] [CrossRef]
- Carevic, V.; Ignjatovic, I. Evaluation of concrete cover depth for green concretes exposed to carbonation. Struct. Concr. 2020. [Google Scholar] [CrossRef]
- De Sam, A.; Deepa, R.S. Studies on ambient cured geopolymer concrete. In Proceedings of the 5th Biennial International Conference on Emerging Trends in Engineering, Science and Technology (ICETEST), Thrissur, India, 18–20 January 2018; pp. 3–6. [Google Scholar]
- Ganesh, A.C.; Kumar, M.V.; Devi, R.K.; Srikar, P.; Prasad, S.; Kumar, M.M.; Sarath, R.P. Pervious Geopolymer Concrete under Ambient Curing. In Proceedings of the 2nd International Conference on Smart and Sustainable Developments in Materials, Manufacturing and Energy Engineering (SME), Nitte, India, 22–23 December 2020; pp. 2737–2741. [Google Scholar]
- Ghinangju, B.; Liyanapathirana, R.; Salama, R. Microwave Material Characterization of Geopolymer Concrete. In Proceedings of the International Conference on Electrical Engineering Research and Practice (ICEERP), Sydney, NSW, Australia, 24–28 November 2019; pp. 54–59. [Google Scholar]
- Imtiaz, L.; Kashif-ur-Rehman, S.; Alaloul, W.S.; Nazir, K.; Javed, M.F.; Aslam, F.; Musarat, M.A. Life Cycle Impact Assessment of Recycled Aggregate Concrete, Geopolymer Concrete, and Recycled Aggregate-Based Geopolymer Concrete. Sustainability 2021, 13, 13515. [Google Scholar] [CrossRef]
- Mohd Tahir, M.F.; Abdullah, M.M.A.B.; Abd Rahim, S.Z.; Mohd Hasan, M.R.; Saafi, M.A.; Putra Jaya, R.; Mohamed, R. Potential of industrial By-Products based geopolymer for rigid concrete pavement application. Constr. Build. Mater. 2022, 344, 128190. [Google Scholar] [CrossRef]
- Jeevanandan, K.; Sreevidya, V. Experimental investigation on concrete and geopolymer concrete. In Proceedings of the International Conference on Recent Trends in Nanomaterials for Energy, Environmental and Engineering Applications (ICONEEEA), Tiruchirappalli, India, 28–29 March 2019; pp. 307–312. [Google Scholar]
- Kalinowska-Wichrowska, K.; Pawluczuk, E.; Boltryk, M.; Nietupski, A. Geopolymer Concrete with Lightweight Artificial Aggregates. Materials 2022, 15, 3012. [Google Scholar] [CrossRef]
- Kishore, Y.S.N.; Nadimpalli, S.G.D.; Potnuru, A.K.; Vemuri, J.; Khan, M.A. Statistical analysis of sustainable geopolymer concrete. In Proceedings of the Conference on Environment Concerns and its Remediation—Materials Science (F-EIR), Chandigarh, India, 18–22 October 2021; pp. 212–223. [Google Scholar]
- Lyu, X.; Robinson, N.; Elchalakani, M.; Johns, M.L.; Dong, M.; Nie, S. Sea sand seawater geopolymer concrete. J. Build. Eng. 2022, 50, 104141. [Google Scholar] [CrossRef]
- Shi, X.; Yu, X.; Esmaeili-Falak, M. Improved arithmetic optimization algorithm and its application to carbon fiber reinforced polymer-steel bond strength estimation. Compos. Struct. 2022, 306, 116599. [Google Scholar] [CrossRef]
- Aneja, S.; Sharma, A.; Gupta, R.; Yoo, D. Bayesian Regularized Artificial Neural Network Model to Predict Strength Characteristics of Fly-Ash and Bottom-Ash Based Geopolymer Concrete. Materials 2021, 14, 1729. [Google Scholar] [CrossRef]
- Indu, P.; Greeshma, S. Elevated temperature study on geopolymer concrete with ferrochrome slag aggregates. Cem. Wapno Beton 2021, 26, 340–351. [Google Scholar] [CrossRef]
- Khoa Tan, N.; Quang Dang, N.; Tuan Anh, L.; Shin, J.; Lee, K. Analyzing the compressive strength of green fly ash based geopolymer concrete using experiment and machine learning approaches. Constr. Build. Mater. 2020, 247, 118581. [Google Scholar]
- Yaswanth, K.K.; Revathy, J.; Gajalakshmi, P. Artificial intelligence for the compressive strength prediction of novel ductile geopolymer composites. Comput. Concr. 2021, 28, 55–68. [Google Scholar]
- Awoyera, P.O.; Kirgiz, M.S.; Viloria, A.; Ovallos-Gazabon, D. Estimating strength properties of geopolymer self-compacting concrete using machine learning techniques. J. Mater. Res. Technol. 2020, 9, 9016–9028. [Google Scholar] [CrossRef]
- Huynh, A.T.; Nguyen, Q.D.; Xuan, Q.L.; Magee, B.; Chung, T.; Tran, K.T.; Nguyen, K.T. A Machine Learning-Assisted Numerical Predictor for Compressive Strength of Geopolymer Concrete Based on Experimental Data and Sensitivity Analysis. Appl. Sci. 2020, 10, 7726. [Google Scholar] [CrossRef]
- Ghosh, A.; Ransinchung, G. Application of machine learning algorithm to assess the efficacy of varying industrial wastes and curing methods on strength development of geopolymer concrete. Constr. Build. Mater. 2022, 341, 127828. [Google Scholar] [CrossRef]
- Gu, G.; Xu, F.; Huang, X.; Ruan, S.; Peng, C.; Lin, J. Foamed geopolymer: The relationship between rheological properties of geopolymer paste and pore-formation mechanism. J. Clean. Prod. 2020, 277, 123238. [Google Scholar] [CrossRef]
- Rafeet, A.; Vinai, R.; Soutsos, M.; Sha, W. Guidelines for mix proportioning of fly ash/GGBS based alkali activated concretes. Constr. Build. Mater. 2017, 147, 130–142. [Google Scholar] [CrossRef]
- Reddy, M.S.; Dinakar, P.; Rao, B.H. Mix design development of fly ash and ground granulated blast furnace slag based geopolymer concrete. J. Build. Eng. 2018, 20, 712–722. [Google Scholar] [CrossRef]
- Fang, G.H.; Ho, W.K.; Tu, W.L.; Zhang, M.Z. Workability and mechanical properties of alkali-activated fly ash-slag concrete cured at ambient temperature. Constr. Build. Mater. 2018, 172, 476–487. [Google Scholar] [CrossRef]
- Pilehvar, S.; Cao, V.D.; Szczotok, A.M.; Carmona, M.; Valentini, L.; Lanzon, M.; Pamies, R.; Kjoniksen, A.L. Physical and mechanical properties of fly ash and slag geopolymer concrete containing different types of micro-encapsulated phase change materials. Constr. Build. Mater. 2018, 173, 28–39. [Google Scholar] [CrossRef]
- Saavedra, W.G.V.; Angulo, D.E.; de Gutierrez, R.M. Fly Ash Slag Geopolymer Concrete: Resistance to Sodium and Magnesium Sulfate Attack. J. Mater. Civ. Eng. 2016, 28, 4016148. [Google Scholar] [CrossRef]
- Deb, P.S.; Nath, P.; Sarker, P.K. The effects of ground granulated blast-furnace slag blending with fly ash and activator content on the workability and strength properties of geopolymer concrete cured at ambient temperature. Mater. Des. 2014, 62, 32–39. [Google Scholar] [CrossRef]
- Lee, N.K.; Lee, H.K. Setting and mechanical properties of alkali-activated fly ash/slag concrete manufactured at room temperature. Constr. Build. Mater. 2013, 47, 1201–1209. [Google Scholar] [CrossRef]
- Nath, P.; Sarker, P.K. Effect of GGBFS on setting, workability and early strength properties of fly ash geopolymer concrete cured in ambient condition. Constr. Build. Mater. 2014, 66, 163–171. [Google Scholar] [CrossRef]
- Vijai, K.; Kumutha, R.; Vishnuram, B.G. Effect of types of curing on strength of geopolymer concrete. Int. J. Phys. Sci. 2010, 5, 1419–1423. [Google Scholar]
- Kar, A. Characterizations of Concretes with Alkali-Activated Binder and Correlating Their Properties from Micro- to Specimen Level. Ph.D. Thesis, West Virginia University, Morgantown, WV, USA, 2013. [Google Scholar]
- Phoo-Ngernkham, T.; Phiangphimai, C.; Damrongwiriyanupap, N.; Hanjitsuwan, S.; Thumrongvut, J.; Chindaprasirt, P. A Mix Design Procedure for Alkali-Activated High-Calcium Fly Ash Concrete Cured at Ambient Temperature. Adv. Mater. Sci. Eng. 2018, 2018, 2460403. [Google Scholar] [CrossRef]
- Huri, G.; Rao, K.S. Engineering Properties of Alkali Activated Slag Concrete Under Ambient and Heat Curing. Int. J. Eng. Trends Technol. 2017, 50, 161–166. [Google Scholar] [CrossRef]
- Gu, L.; Visintin, P.; Bennett, T. Evaluation of accelerated degradation test methods for cementitious composites subject to sulfuric acid attack; application to conventional and alkali-activated concretes. Cem. Concr. Compos. 2018, 87, 187–204. [Google Scholar] [CrossRef]
- Ding, Y. Experimental study on fracture properties of alkali-activated concrete. Ph.D. Thesis, Hong Kong Polytechnic University, Hong Kong, China, 2017. [Google Scholar]
- Nagaraj, V.K.; Babu, D.L.V. Assessing the performance of molarity and alkaline activator ratio on engineering properties of self-compacting alkaline activated concrete at ambient temperature. J. Build. Eng. 2018, 20, 137–155. [Google Scholar]
- Shahrajabian, F.; Behfarnia, K. The effects of nano particles on freeze and thaw resistance of alkali-activated slag concrete. Constr. Build. Mater. 2018, 176, 172–178. [Google Scholar] [CrossRef]
- Alzeebaree, R.; Cevik, A.; Nematollahi, B.; Sanjayan, J.; Mohammedameen, A.; Gulsan, M.E. Mechanical properties and durability of unconfined and confined geopolymer concrete with fiber reinforced polymers exposed to sulfuric acid. Constr. Build. Mater. 2019, 215, 1015–1032. [Google Scholar] [CrossRef]
- Bhardwaj, B.; Kumar, P. Comparative study of geopolymer and alkali activated slag concrete comprising waste foundry sand. Constr. Build. Mater. 2019, 209, 555–565. [Google Scholar] [CrossRef]
- Farhan, N.A.; Sheikh, M.N.; Hadi, M.N.S. Investigation of engineering properties of normal and high strength fly ash based geopolymer and alkali-activated slag concrete compared to ordinary Portland cement concrete. Constr. Build. Mater. 2019, 196, 26–42. [Google Scholar] [CrossRef]
- Gopalakrishnan, R.; Chinnaraju, K. Durability of ambient cured alumina silicate concrete based on slag/fly ash blends against sulfate environment. Constr. Build. Mater. 2019, 204, 70–83. [Google Scholar] [CrossRef]
- Gulsan, M.E.; Alzeebaree, R.; Rasheed, A.A.; Nis, A.; Kurtoglu, A.E. Development of fly ash/slag based self-compacting geopolymer concrete using nano-silica and steel fiber. Constr. Build. Mater. 2019, 211, 271–283. [Google Scholar] [CrossRef]
- Gunasekara, C.; Law, D.; Bhuiyan, S.; Setunge, S.; Ward, L. Chloride induced corrosion in different fly ash based geopolymer concretes. Constr. Build. Mater. 2019, 200, 502–513. [Google Scholar] [CrossRef]
- Okoye, F.N.; Durgaprasad, J.; Singh, N.B. Mechanical properties of alkali activated flyash/Kaolin based geopolymer concrete. Constr. Build. Mater. 2015, 98, 685–691. [Google Scholar] [CrossRef]
- Shaikh, F. Mechanical and durability properties of fly ash geopolymer concrete containing recycled coarse aggregates. Int. J. Sustain. Built Environ. 2016, 5, 277–287. [Google Scholar] [CrossRef]
- Gunasekara, C.; Law, D.W.; Setunge, S. Long term permeation properties of different fly ash geopolymer concretes. Constr. Build. Mater. 2016, 124, 352–362. [Google Scholar] [CrossRef]
- Okoye, F.N.; Durgaprasad, J.; Singh, N.B. Fly ash/Kaolin based geopolymer green concretes and their mechanical properties. Data Brief 2015, 5, 739–744. [Google Scholar] [CrossRef]
- Xie, T.; Ozbakkaloglu, T. Behavior of low-calcium fly and bottom ash-based geopolymer concrete cured at ambient temperature. Ceram. Int. 2015, 41, 5945–5958. [Google Scholar] [CrossRef]
- Ramagiri, K.K.; Chauhan, D.R.; Gupta, S.; Kar, A.; Adak, D.; Mukherjee, A. High-temperature performance of ambient-cured alkali-activated binder concrete. Innov. Infrastruct. Solut. 2021, 6, 71. [Google Scholar] [CrossRef]
- Humad, A.M.; Kothari, A.; Provis, J.L.; Ćwirzeń, A. The Effect of Blast Furnace Slag/Fly Ash Ratio on Setting, Strength, and Shrinkage of Alkali-Activated Pastes and Concretes. Front. Mater. 2019, 6, 9. [Google Scholar] [CrossRef]
- Farhan, N.A.; Sheikh, M.N.; Hadi, M.N.S. Engineering Properties of Ambient Cured Alkali-Activated Fly Ash–Slag Concrete Reinforced with Different Types of Steel Fiber. J. Mater. Civ. Eng. 2018, 30, 4018142. [Google Scholar] [CrossRef]
- Ghanmi, K.; Nedeljković, M.; Zuo, Y.; Ye, G. Durability of Alkali-Activated Fly Ash and Slag Concrete; Delft University of Technology: Delft, The Netherlands, 2016. [Google Scholar]
- Nedeljković, M. Carbonation Mechanism of Alkali-Activated Fly Ash and Slag Materials: In View of Long-Term Performance Predictions. Ph.D. Thesis, Delft University of Technology, Delft, The Netherlands, 2019. [Google Scholar]
- Kothari, A. Effects of Fly Ash on the Properties of Alkali Activated Slag Concrete. Master’s Thesis, Luleå University of Technology, Luleå, Sweden, 2017. [Google Scholar]
- Mithun, B.M.; Narasimhan, M.C. SELF-Cured Alkali Activated Slag Concrete Mixes- An Experimental Study. J. Civ. Environ. Eng. 2014, 8, 477–482. [Google Scholar]
- Orosz, K.; Humad, A.; Hedlund, H.; Cwirzen, A. Autogenous Deformation of Alkali-Activated Blast Furnace Slag Concrete Subjected to Variable Curing Temperatures. Adv. Civ. Eng. 2019, 2019, 6903725. [Google Scholar] [CrossRef]
- Aslani, F.; Asif, Z. Properties of Ambient-Cured Normal and Heavyweight Geopolymer Concrete Exposed to High Temperatures. Materials 2019, 12, 740. [Google Scholar] [CrossRef]
- Adam, A.A. Strength and Durability Properties of Alkali Activated Slag and Fly Ash-Based Geopolymer Concrete. Ph.D. Thesis, RMIT University, Melbourne, VIC, Australia, 2009. [Google Scholar]
- Sathanandam, T.; Awoyera, P.O.; Vijayan, V.K.; Sathishkumar, K. Low carbon building: Experimental insight on the use of fly ash and glass fibre for making geopolymer concrete. Sustain. Environ. Res. 2017, 27, 146–153. [Google Scholar] [CrossRef]
- Puertas, F.; González-Fonteboa, B.; González-Taboada, I.; Alonso, M.d.M.; Torres-Carrasco, M.; Rojo, G.; Martínez-Abella, F. Alkali-activated slag concrete: Fresh and hardened behaviour. Cem. Concr. Compos. 2018, 85, 22–31. [Google Scholar] [CrossRef]
- Aliabdo, A.A.; Abd Elmoaty, A.E.M.; Emam, M.A.E.-G. Factors affecting the mechanical properties of alkali activated ground granulated blast furnace slag concrete. Constr. Build. Mater. 2019, 197, 339–355. [Google Scholar] [CrossRef]
- Thunuguntla, C.S.; Rao, T.D.G. Mix Design Procedure for Alkali-Activated Slag Concrete Using Particle Packing Theory. J. Mater. Civ. Eng. 2018, 30, 04018113. [Google Scholar] [CrossRef]
- Wardhono, A. The Durability of Fly Ash Geopolymer and Alkali-Activated Slag Concretes. Ph.D. Thesis, RMIT University, Melbourne, VIC, Australia, 2014. [Google Scholar]
- Wardhono, A.; Law, D.W.; Sutikno; Dani, H. The effect of slag addition on strength development of Class C fly ash geopolymer concrete at normal temperature. AIP Conf. Proc. 2017, 1887, 20030. [Google Scholar]
- Huang, J.; Xue, J. Optimization of SVR functions for flyrock evaluation in mine blasting operations. Environ. Earth Sci. 2022, 81, 434. [Google Scholar] [CrossRef]
- Huang, J.; Zhou, M.; Zhang, J.; Ren, J.; Vatin, N.I.; Sabri, M.M.S. The use of GA and PSO in evaluating the shear strength of steel fiber reinforced concrete beams. KSCE J. Civ. Eng. 2022, 26, 3918–3931. [Google Scholar] [CrossRef]
- Bondar, D.; Nanukuttan, S.V.; Soutsos, M.; Basheer, P.A.M.; Provis, J.L. Suitability of Alkali Activated GGBS/Fly Ash Concrete for Chloride Environments. In SP-320:10th ACI/RILEM International Conference on Cementitious Materials and Alternative Binders for Sustainable Concrete; American Concrete Institute: Farmington Hills, MI, USA, 2017. [Google Scholar]
- Mundra, S. Corrosion of steel in alkali-activated materials. Ph.D. Thesis, University of Sheffield, Sheffield, UK, 2018. [Google Scholar]
- Bondar, D.; Nanukuttan, S.V.; Provis, J.L.; Soutsos, M. Efficient mix design of alkali activated slag concretes based on packing fraction of ingredients and paste thickness. J. Clean. Prod. 2019, 218, 438–449. [Google Scholar] [CrossRef]
- Zhu, F.; Wu, X.; Zhou, M.; Sabri, M.M.; Huang, J. Intelligent Design of Building Materials: Development of an AI-Based Method for Cement-Slag Concrete Design. Materials 2022, 15, 3833. [Google Scholar] [CrossRef]
- Ma, H.; Liu, J.; Zhang, J.; Huang, J. Estimating the Compressive Strength of Cement-Based Materials with Mining Waste Using Support Vector Machine, Decision Tree, and Random Forest Models. Adv. Civ. Eng. 2021, 2021, 6629466. [Google Scholar] [CrossRef]
- Huang, J.; Zhou, M.; Sabri, M.M.S.; Yuan, H. A Novel Neural Computing Model Applied to Estimate the Dynamic Modulus (DM) of Asphalt Mixtures by the Improved Beetle Antennae Search. Sustainability 2022, 14, 5938. [Google Scholar] [CrossRef]
- Ge, D.; Zhao, L.-C.; Esmaeili-Falak, M. Estimation of rapid chloride permeability of SCC using hyperparameters optimized random forest models. J. Sustain. Cem. Based Mater. 2022, 12, 542–560. [Google Scholar] [CrossRef]
- Huang, J.; Zhou, M.; Zhang, J.; Ren, J.; Vatin, N.; Sabri, M. Development of a new stacking model to evaluate the strength parameters of concrete samples in laboratory. Iran. J. Sci. Technol.-Trans. Civ. Eng. 2022, 46, 4355–4370. [Google Scholar] [CrossRef]
- Huang, J.; Zhang, J.; Li, X.; Qiao, Y.; Zhang, R.; Kumar, G.S. Investigating the effects of ensemble and weight optimization approaches on neural networks’ performance to estimate the dynamic modulus of asphalt concrete. Road Mater. Pavement Des. 2022, 1–21. [Google Scholar] [CrossRef]
- Xu, W.; Huang, X.; Yang, Z.; Zhou, M.; Huang, J. Developing Hybrid Machine Learning Models to Determine the Dynamic Modulus (E*) of Asphalt Mixtures Using Parameters in Witczak 1-40D Model: A Comparative Study. Materials 2022, 15, 1791. [Google Scholar] [CrossRef]
- Wu, X.; Zhu, F.; Zhou, M.; Sabri, M.M.S.; Huang, J. Intelligent Design of Construction Materials: A Comparative Study of AI Approaches for Predicting the Strength of Concrete with Blast Furnace Slag. Materials 2022, 15, 4582. [Google Scholar] [CrossRef]
- Huang, J.; Zhou, M.; Yuan, H.; Sabri, M.M.S.; Li, X. Prediction of the Compressive Strength for Cement-Based Materials with Metakaolin Based on the Hybrid Machine Learning Method. Materials 2022, 15, 3500. [Google Scholar] [CrossRef]
- Huang, J.; Zhou, M.; Yuan, H.; Sabri, M.M.; Li, X. Towards Sustainable Construction Materials: A Comparative Study of Prediction Models for Green Concrete with Metakaolin. Buildings 2022, 12, 772. [Google Scholar] [CrossRef]
- Wang, Q.-A.; Zhang, J.; Huang, J. Simulation of the Compressive Strength of Cemented Tailing Backfill through the Use of Firefly Algorithm and Random Forest Model. Shock Vib. 2021, 2021, 5536998. [Google Scholar] [CrossRef]
- Zhang, J.F.; Li, D.; Wang, Y.H. Predicting uniaxial compressive strength of oil palm shell concrete using a hybrid artificial intelligence model. J. Build. Eng. 2020, 30, 101282. [Google Scholar] [CrossRef]
- Sun, P.; Zhang, Y.; Liu, J.L.; Bi, J. An Improved Atom Search Optimization with Cellular Automata, a Levy Flight and an Adaptive Weight Strategy. IEEE Access 2020, 8, 49137–49159. [Google Scholar] [CrossRef]
- Ahmad, A.; Ahmad, W.; Aslam, F.; Joyklad, P. Compressive strength prediction of fly ash-based geopolymer concrete via advanced machine learning techniques. Case Stud. Constr. Mater. 2022, 16, e00840. [Google Scholar] [CrossRef]






















| No. | Name | Type | Aggregation Unit Structure |
|---|---|---|---|
| 1 | Poly(sialate) | PS | ![]() |
| 2 | Poly(sialate-siloxo) | PSS | ![]() |
| 3 | Poly(sialate-disiloxo) | PSDS | ![]() |
| Data | Statistical Indicators | Inputs | Output CS | ||||||||
|---|---|---|---|---|---|---|---|---|---|---|---|
| Fly Ash | GGBS | Na2SiO3 | NaOH | Fine Aggregate | Gravel 4/10 mm | Gravel 10/20 mm | W/S | NaOH Molarity | |||
| Training dataset | Min | 0 | 0 | 18 | 3.5 | 460 | 0 | 0 | 0.12 | 1 | 8 |
| Max | 523 | 450 | 342 | 147 | 1360 | 1293.4 | 1298 | 0.63 | 16 | 86.06 | |
| Range | 523 | 450 | 342 | 143.5 | 900 | 1293.4 | 1298 | 0.51 | 15 | 78.06 | |
| Median | 120 | 280 | 108 | 51.14 | 742 | 208 | 789 | 0.34 | 8.4 | 42 | |
| Average | 176.95 | 222.64 | 113.19 | 55.05 | 735.68 | 286.08 | 736.97 | 0.35 | 8.15 | 43.19 | |
| St. Dev | 168.50 | 163.05 | 47.54 | 31.56 | 136.37 | 370.19 | 356.92 | 0.11 | 4.4 | 18.15 | |
| Test dataset | Min | 0 | 0 | 18 | 4.3 | 459 | 0 | 0 | 0.2 | 1 | 9.5 |
| Max | 523 | 450 | 293 | 143.33 | 990 | 1209 | 1280 | 0.53 | 20 | 78.5 | |
| Range | 523 | 450 | 275 | 139.03 | 531 | 1209 | 1280 | 0.33 | 19 | 69 | |
| Median | 120 | 277.50 | 104.41 | 49.74 | 704.53 | 210.16 | 802 | 0.34 | 10 | 43 | |
| Average | 173.65 | 225.41 | 110.38 | 50.63 | 711.26 | 302.80 | 736.68 | 0.34 | 8.47 | 44.8 | |
| St. Dev | 164.09 | 156.90 | 47.14 | 32.45 | 105.75 | 387.21 | 371.97 | 0.10 | 4.43 | 16.32 | |
| Models | Evaluation Indexes | Total Rank | ||||||
|---|---|---|---|---|---|---|---|---|
| MSE | RMSE | MAE | MAPE | R | MPE | PI | ||
| RF-MBAS | 93.38(1) | 9.66(1) | 7.00(1) | 0.16(1) | 0.87(1) | 4.79(2) | 0.160(1) | 8 |
| DT-MBAS | 97.18(3) | 9.86(3) | 7.52(3) | 0.18(2) | 0.85(3) | 6.19(3) | 0.165(3) | 20 |
| KNN-MBAS | 94.19(2) | 9.71(2) | 7.09(2) | 0.18(2) | 0.86(2) | 4.68(1) | 0.162(2) | 13 |
Disclaimer/Publisher’s Note: The statements, opinions and data contained in all publications are solely those of the individual author(s) and contributor(s) and not of MDPI and/or the editor(s). MDPI and/or the editor(s) disclaim responsibility for any injury to people or property resulting from any ideas, methods, instructions or products referred to in the content. |
© 2023 by the authors. Licensee MDPI, Basel, Switzerland. This article is an open access article distributed under the terms and conditions of the Creative Commons Attribution (CC BY) license (https://creativecommons.org/licenses/by/4.0/).
Share and Cite
Chen, S.; Zhou, M.; Shi, X.; Huang, J. A Novel MBAS-RF Approach to Predict Mechanical Properties of Geopolymer-Based Compositions. Gels 2023, 9, 434. https://doi.org/10.3390/gels9060434
Chen S, Zhou M, Shi X, Huang J. A Novel MBAS-RF Approach to Predict Mechanical Properties of Geopolymer-Based Compositions. Gels. 2023; 9(6):434. https://doi.org/10.3390/gels9060434
Chicago/Turabian StyleChen, Shuzhao, Mengmeng Zhou, Xuyang Shi, and Jiandong Huang. 2023. "A Novel MBAS-RF Approach to Predict Mechanical Properties of Geopolymer-Based Compositions" Gels 9, no. 6: 434. https://doi.org/10.3390/gels9060434
APA StyleChen, S., Zhou, M., Shi, X., & Huang, J. (2023). A Novel MBAS-RF Approach to Predict Mechanical Properties of Geopolymer-Based Compositions. Gels, 9(6), 434. https://doi.org/10.3390/gels9060434




