Sodium Salt of Partially Carboxymethylated Sodium Alginate-Graft-Poly(Acrylonitrile): II Superabsorbency, Salt Sensitivity and Swelling Kinetics of Hydrogel, H-Na-PCMSA-g-PAN
Abstract
1. Introduction
2. Results and Discussion
2.1. Water Absorbency Measurements
2.2. Swelling in Salt Solutions
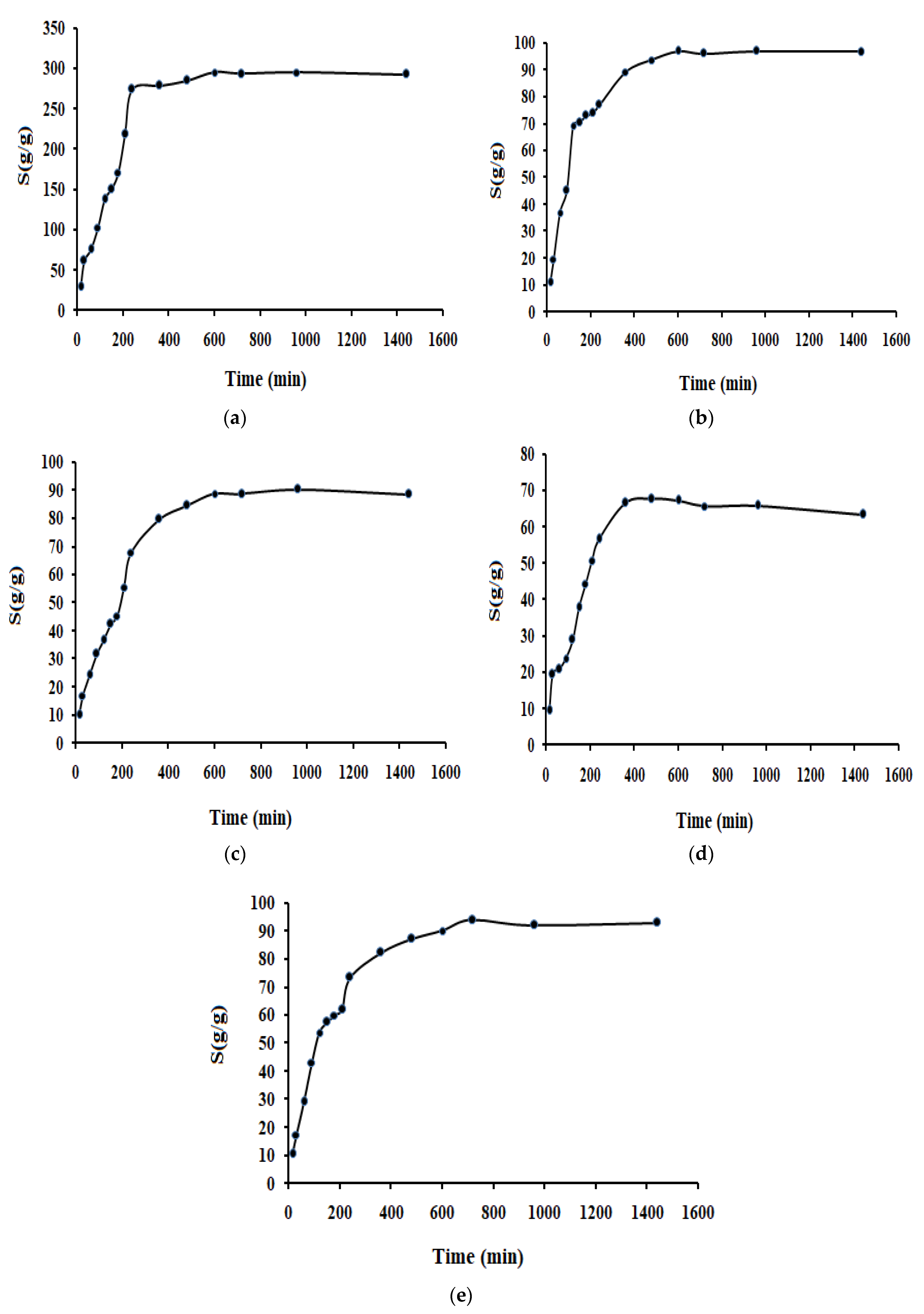
2.3. Kinetic Analysis
Swelling Kinetics in Swelling Media
2.4. Characterization
2.4.1. Infrared Spectroscopy



2.4.2. Scanning Electron Microscopy (SEM)
3. Conclusions
4. Materials and Methods
4.1. Materials
4.2. Methods
4.2.1. Synthesis of Na-PCMSA-g-PAN
4.2.2. Saponification or Alkaline Hydrolysis
4.2.3. Swelling Kinetics
4.2.4. Instrumental Analysis
Author Contributions
Funding
Institutional Review Board Statement
Informed Consent Statement
Data Availability Statement
Conflicts of Interest
References
- Qureshi, M.A.; Nishat, N.; Jadoun, S.; Ansari, M.Z. Polysaccharide based superabsorbent hydrogels and their methods of synthesis: A review. Carbohydr. Polym. Technol. Appl. 2020, 1, 100014. [Google Scholar] [CrossRef]
- Omidian, H.; Park, K. Hydrogels, Fundamental and Applications of Controlled Release Drug Delivery; Siepmann, J., Siegel, R., Rathbone, M., Eds.; Springer: New York, NY, USA, 2012; Chapter 4; pp. 75–106. [Google Scholar]
- Guilherme, M.R.; Aouada, F.A.; Fajardo, A.R.; Martins, A.F.; Muniz, E.C. Superabsorbent hydrogels based on polysaccharides for application in agriculture as soil conditioner and nutrient carrier: A review. Eur. Polym. J. 2015, 72, 365–385. [Google Scholar] [CrossRef]
- Behera, S.; Mahanwar, P.A. Superabsorbent polymers in agriculture and other applications: A review. Polym-Plast. Tech. Mat. 2019, 4, 341–356. [Google Scholar] [CrossRef]
- Vitaliy, E.C.; Khutoryanskiy, V. Biomedical applications of hydrogels: A review of patents and commercial products. Eur. Polym. J. 2015, 65, 252–267. [Google Scholar]
- Sikdar, P.; Uddin, M.M.; Dip, T.M.; Islam, S.; Hoque, M.S.; Dhar, A.K.; Wu, S. Recent Advances in the Synthesis of Smart Hydrogels. Mater. Adv. 2021, 2, 4532–4573. [Google Scholar] [CrossRef]
- Yang, J.; Rao, L.; Wang, Y.; Zhao, Y.; Liu, D.; Wang, Z.; Fu, L.; Wang, Y.; Yang, X.; Li, Y.; et al. Recent Advances in Smart Hydrogel Prepared by Ionizing Radiation Technology for Biomedical Applications. Polymers 2022, 14, 1–18. [Google Scholar] [CrossRef]
- Shah, S.B.; Patel, B.K.; Patel, C.P.; Trivedi, H.C. Saponification of Graft Copolymers of Sodium Salt of Partially Carboxymethylated Amylose and Its Water Absorbency. Starch-Starke 1992, 44, 108–110. [Google Scholar] [CrossRef]
- Deo, H.T.; Gotmare, V.T. Acrylonitrile monomer grafting on gray cotton to impart high water absorbency. J. Appl. Polym. Sci. 1999, 72, 887–894. [Google Scholar] [CrossRef]
- Hashem, A.; Afifi, M.A.; El-Alfy, E.A.; Hebeish, A. Synthesis, Characterization and Saponification of Poly(AN)-Starch Composites and Properties of their Hydrogels. Am. J. Engg. Appl. Sci. 2005, 2, 614–621. [Google Scholar] [CrossRef]
- Sadeghi, M.; Hosseinzadeh, H. Synthesis and super swelling behavior of carboxymethyl cellulose–poly (sodium acrylate -co-acrylamide) hydrogel. J. Appl. Polym. Sci. 2008, 108, 1142–1151. [Google Scholar] [CrossRef]
- Yadav, M.; Singh, S.; Rhee, K.Y. Synthesis of partially hydrolyzed graft copolymer (H-Ipomoea hederacea seedgum-g-polyacrylonitrile). Carbohydr. Polym. 2013, 95, 471–478. [Google Scholar] [CrossRef] [PubMed]
- Trivedi, J.H. Synthesis, characterization, and swelling behavior of superabsorbent hydrogel from sodium salt of partially carboxymethylated tamarind kernel powder-g-PAN. J. Appl. Polym. Sci. 2013, 129, 1992–2003. [Google Scholar] [CrossRef]
- Szekalska, M.; Puciłowska, A.; Szymańska, E.; Ciosek, P. Alginate: Current Use and Future Perspectives in Pharmaceutical and Biomedical Applications. Int. J. Polym. Sci. 2016, 8, 1–17. [Google Scholar] [CrossRef]
- Rao, K.M.; Rao, K.S.K.V.K.; Ramanjaneyulu, G.; Rao, K.C.; Subha, M.C.S.; Ha, C.-S. Biodegradable sodium alginate-based semi-interpenetrating polymer network hydrogen for antibacterial application. J. Biomed Mater. Res. A 2014, 102, 3196–3206. [Google Scholar] [PubMed]
- Samanta, H.S.; Ray, S.K. Synthesis, characterization, swelling and drug release behavior of semi-interpenetrating network hydrogels of sodium alginate and polyacrylamide. Carbohydr. Polym. 2014, 99, 666–678. [Google Scholar] [CrossRef] [PubMed]
- Hua, X.; Chenga, W.; Niea, W.; Shao, Z. Synthesis and characterization of a temperature-sensitive hydrogel based on sodium alginate and N-isopropylacrylamide. Polym. Adv. Technol. 2015, 26, 1340–1345. [Google Scholar] [CrossRef]
- Zhu, L.; Liu, Y.; Wang, F.; He, T. Preparation and the swelling properties of sodium alginate graft poly(acrylicacid-co-2-acrylamide-2-methylpropanesulfonicacid)/graphene oxide hydrogel composite. Adv. Polym. Technol. 2018, 37, 2885–2893. [Google Scholar] [CrossRef]
- Iatridi, Z.; Sofia-Falia, S.; Tsitsilianis, C. Injectable self-assembling hydrogel from alginate grafted by P(Nisopropylacrylamide-co-N-tert-butylacrylamide) random copolymers. Carbohydr. Polym. 2019, 219, 344–352. [Google Scholar] [CrossRef] [PubMed]
- Konstantinos, S.; Sofia-Falia, S.; Zacharoula, I.; Constantinos, T. Thermo-Responsive Injectable Hydrogels Formed by Self-Assembly of Alginate-Based Heterograft Copolymers. Gels 2023, 9, 1–12. [Google Scholar]
- Pourjavadi, A.; Amini-Fazl, M.S.; Hosseinazadeh, H. Partially hydrolyzed crosslinked alginate-graft-polymethacrylamide as a novel biopolymer-based superabsorbent hydrogel having pH-responsive properties. Macromol. Res. 2005, 13, 45–53. [Google Scholar] [CrossRef]
- Sadeghi, M.; Godarzi, A.; Khani, F.; Mirdarikvande, S.; Sadeghi, H. Synthesis of a Novel Biopolymer-based alginate Superabsorbent Hydrogel. Bull. Env. Pharmacol. Life Sci. 2014, 3, 169–174. [Google Scholar]
- Sadeghi, M.; Yarahmadi, M. Synthesis of Alginate-polyacrylonitrile Superabsorbent hydrogel. Orient. J. Chem. 2011, 27, 469–476. [Google Scholar]
- Lin, H.; Zhou, J.; Yingde, C.; Gunasekaran, S. Synthesis and Characterization of pH-and Salt-Responsive Hydrogels Based on Etherificated Sodium Alginate. J. Appl. Polym. Sci. 2010, 115, 3161–3167. [Google Scholar] [CrossRef]
- Trivedi, J.H.; Chourasia, A.V. Sodium salt of Partially Carboxymethylated Sodium Alginate-g-Poly(acrylonitrile): I. Photo-induced Synthesis, Characterization and Alkaline hydrolysis. Gels, 2023; communicated. [Google Scholar]
- Flory, P.J. Phase equilibria in polymeric systems. In Principles of Polymer Chemistry; Flory, P.J., Ed.; Cornell University Press: Ithaca, NY, USA, 1953; pp. 541–544. [Google Scholar]
- Kiatkamjornwong, S.; Mongkolsawat, K.; Sonsuk, M. Synthesis and property characterization of cassava starch grafted poly[acrylamide-co-(maleicacid)] superabsorbent via γ-irradiation. Polymer 2002, 43, 3915–3924. [Google Scholar] [CrossRef]
- Gugliemelli, L.A.; Weaver, M.O.; Russell, C.R.; Rist, C.E. Base-hydrolyzed starch-polyacrylonitrile (S-PAN) graft copolymer. S-PAN-1:1,PANM.W.794,000. J. Appl. Polym. Sci. 1969, 13, 2007–2017. [Google Scholar] [CrossRef]
- Bao, Y.; Ma, J.; Li, N. Synthesis and swelling behaviors of sodium carboxymethyl cellulose-g-poly(AA-co-AMPS)/MMT superabsorbent hydrogel. Carbohydr. Polym. 2011, 84, 76–82. [Google Scholar] [CrossRef]
- Trivedi, J.H.; Min, W.; Huang, Y.; Trivedi, H.C. Photo-induced Sodium salt of Partially Carboxymethylated Psyllium-g-Polyacrylonitrile: II. Synthesis, Characterization and Swelling Behaviour of its Superabsorbent Hydrogel. Int. J. Sci. Res. Publ. 2015, 5, 1–10. [Google Scholar]
- Liu, D.; Li, Z.; Li, W.; Zhong, Z.; Xu, J.; Ren, J.; Ma, Z. Adsorption Behavior of Heavy Metal Ions from Aqueous Solution by Soy Protein Hollow Microspheres. Ind. Eng. Chem. Res. 2013, 52, 11036–11044. [Google Scholar] [CrossRef]
- Evren, M.; Acar, I.; Guclu, K.; Guclu, G. Removal ofCu2+ and Pb2+ ions by N-vinyl2-pyrrolidone/itaconic acid hydrogels from aqueous solutions. Can. J. Chem. Eng. 2014, 92, 52–59. [Google Scholar] [CrossRef]
- Ho, Y.S.; McKay, G. Pseudo-second order model for sorption processes. Process Biochem. 1999, 34, 451–465. [Google Scholar] [CrossRef]
- Singh, T.; Singhal, R. Reuse of a waste adsorbent poly(AAc/AM/SH)-Cu superabsorbent hydrogel, for the potential phosphate ion removal from waste water: Matrix effects, adsorption kinetics, and thermodynamic studies. J. Appl. Polym. Sci. 2013, 129, 3126–3139. [Google Scholar] [CrossRef]
- Wang, W.; Zhai, N.; Wang, A. Preparation and swelling characteristics of a superabsorbent nanocomposite based on naturalguar gum and cation-modified vermiculite. J. Appl. Polym. Sci. 2011, 119, 3675–3686. [Google Scholar] [CrossRef]
- Ziderman, I.I.; Bleayche, J. Role of polyacrylate starch copolymer in water sorption. J. Appl. Polym. Sci. 1986, 32, 5791–5798. [Google Scholar] [CrossRef]










| Time (min) | Average Salt Sensitivity a | ||||
|---|---|---|---|---|---|
| 15 | 0.625 | 0.656 | 0.678 | 0.643 | = 0.626 = 0.709 = 0.755 = 0.668 |
| 30 | 0.679 | 0.724 | 0.682 | 0.717 | |
| 60 | 0.512 | 0.679 | 0.725 | 0.614 | |
| 90 | 0.561 | 0.691 | 0.769 | 0.581 | |
| 120 | 0.496 | 0.733 | 0.789 | 0.609 | |
| 150 | 0.532 | 0.718 | 0.748 | 0.618 | |
| 180 | 0.573 | 0.735 | 0.740 | 0.649 | |
| 210 | 0.661 | 0.746 | 0.767 | 0.716 | |
| 240 | 0.719 | 0.752 | 0.793 | 0.732 | |
| 360 | 0.680 | 0.714 | 0.761 | 0.705 | |
| 480 | 0.671 | 0.704 | 0.762 | 0.694 | |
| 600 | 0.672 | 0.699 | 0.772 | 0.695 | |
| 720 | 0.672 | 0.698 | 0.776 | 0.680 | |
| 960 | 0.672 | 0.694 | 0.777 | 0.688 | |
| 1440 | 0.670 | 0.698 | 0.783 | 0.683 |
| Swelling Media | Experimental Equilibrium Swelling Capacity | Ionic Strength e | kfs × 105 | R2 | ||||
|---|---|---|---|---|---|---|---|---|
| (g water/g gel) | (h) | (g water/g gel) | (%) | [(g water/g gel) min] | (mole-ion dm−3) | [(g.gel/g.water)/min] | ||
| low-conductivity water | 295.31 | 10 | 526.32 | 99.66 | 1.87 | --- | 0.673 | 0.974 |
| NaCl (0.15 M) | 96.90 | 10 | 106.38 | 98.98 | 1.15 | 0.15 | 10.20 | 0.995 |
| CaCl2 (0.15 M) | 90.19 | 16 | 98.04 | 98.90 | 0.63 | 0.45 | 6.55 | 0.995 |
| AlCl3 (0.15 M) | 67.68 | 8 | 71.43 | 98.54 | 0.72 | 0.90 | 14.10 | 0.982 |
| Simulated Urine (SU) | 93.98 | 12 | 100 | 98.95 | 0.87 | 0.18 | 8.68 | 0.998 |
Disclaimer/Publisher’s Note: The statements, opinions and data contained in all publications are solely those of the individual author(s) and contributor(s) and not of MDPI and/or the editor(s). MDPI and/or the editor(s) disclaim responsibility for any injury to people or property resulting from any ideas, methods, instructions or products referred to in the content. |
© 2023 by the authors. Licensee MDPI, Basel, Switzerland. This article is an open access article distributed under the terms and conditions of the Creative Commons Attribution (CC BY) license (https://creativecommons.org/licenses/by/4.0/).
Share and Cite
Trivedi, J.; Chourasia, A. Sodium Salt of Partially Carboxymethylated Sodium Alginate-Graft-Poly(Acrylonitrile): II Superabsorbency, Salt Sensitivity and Swelling Kinetics of Hydrogel, H-Na-PCMSA-g-PAN. Gels 2023, 9, 407. https://doi.org/10.3390/gels9050407
Trivedi J, Chourasia A. Sodium Salt of Partially Carboxymethylated Sodium Alginate-Graft-Poly(Acrylonitrile): II Superabsorbency, Salt Sensitivity and Swelling Kinetics of Hydrogel, H-Na-PCMSA-g-PAN. Gels. 2023; 9(5):407. https://doi.org/10.3390/gels9050407
Chicago/Turabian StyleTrivedi, Jignesh, and Arvind Chourasia. 2023. "Sodium Salt of Partially Carboxymethylated Sodium Alginate-Graft-Poly(Acrylonitrile): II Superabsorbency, Salt Sensitivity and Swelling Kinetics of Hydrogel, H-Na-PCMSA-g-PAN" Gels 9, no. 5: 407. https://doi.org/10.3390/gels9050407
APA StyleTrivedi, J., & Chourasia, A. (2023). Sodium Salt of Partially Carboxymethylated Sodium Alginate-Graft-Poly(Acrylonitrile): II Superabsorbency, Salt Sensitivity and Swelling Kinetics of Hydrogel, H-Na-PCMSA-g-PAN. Gels, 9(5), 407. https://doi.org/10.3390/gels9050407

