Correlation between Physical Properties of 12-Hydroxystearic Acid Organogels and Hansen Solubility Parameters
Abstract
1. Introduction
2. Results and Discussion
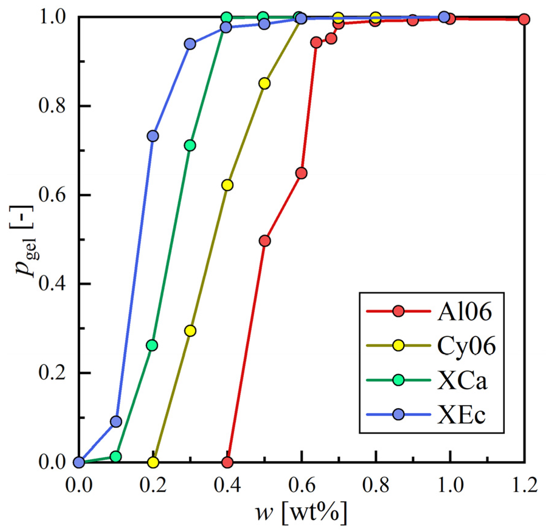
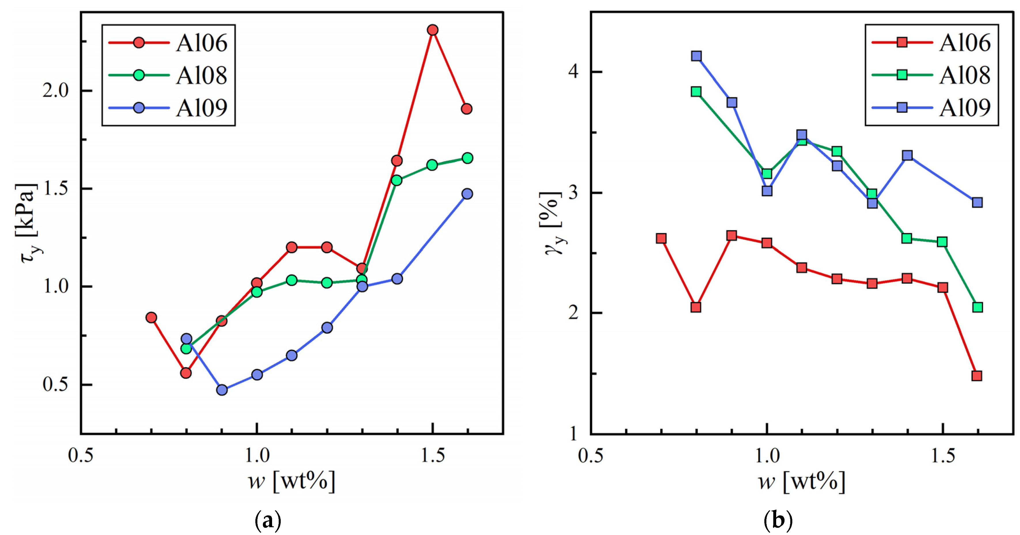
2.1. Properties of 12HSA Organogels
2.2. Correlation with Hansen Solubility Parameter
3. Conclusions
4. Materials and Methods
4.1. Materials
4.2. Preparation of Organogels
4.3. Characterization of Gelation Degree
Supplementary Materials
Author Contributions
Funding
Institutional Review Board Statement
Informed Consent Statement
Data Availability Statement
Acknowledgments
Conflicts of Interest
References
- Christoff-Tempesta, T.; Lew, A.J.; Ortony, J.H. Beyond Covalent Crosslinks: Applications of Supramolecular Gels. Gels 2018, 4, 40. [Google Scholar] [CrossRef] [PubMed]
- Panja, S.; Adams, D.J. Stimuli Responsive Dynamic Transformations in Supramolecular Gels. Chem. Soc. Rev. 2021, 50, 5165–5200. [Google Scholar] [CrossRef] [PubMed]
- Lin, Y.; Li, L.; Li, G. A New Supramolecular Gel via Host-Guest Complexation with Cucurbit[8]Uril and N-(4-Diethylaminobenzyl)Chitosan. Carbohydr. Polym. 2013, 92, 429–434. [Google Scholar] [CrossRef] [PubMed]
- Horii, A.; Wang, X.; Gelain, F.; Zhang, S. Biological Designer Self-Assembling Peptide Nanofiber Scaffolds Significantly Enhance Osteoblast Proliferation, Differentiation and 3-D Migration. PLoS ONE 2007, 2, e190. [Google Scholar] [CrossRef]
- Ashwanikumar, N.; Kumar, N.A.; Saneesh Babu, P.S.; Sivakumar, K.C.; Vadakkan, M.V.; Nair, P.; Saranya, I.H.; Nair, S.A.; Vinod Kumar, G.S. Self-Assembling Peptide Nanofibers Containing Phenylalanine for the Controlled Release of 5-Fluorouracil. Int. J. Nanomed. 2016, 11, 5583–5594. [Google Scholar] [CrossRef]
- Ye, Y.S.; Huang, Y.J.; Cheng, C.C.; Chang, F.C. A New Supramolecular Sulfonated Polyimide for Use in Proton Exchange Membranes for Fuel Cells. Chem. Commun. 2010, 46, 7554–7556. [Google Scholar] [CrossRef]
- Kumar, G.G.; Hashmi, S.; Karthikeyan, C.; GhavamiNejad, A.; Vatankhah-Varnoosfaderani, M.; Stadler, F.J. Graphene Oxide/Carbon Nanotube Composite Hydrogels-Versatile Materials for Microbial Fuel Cell Applications. Macromol. Rapid Commun. 2014, 35, 1861–1865. [Google Scholar] [CrossRef]
- Boland, C.S.; Khan, U.; Ryan, G.; Barwich, S.; Charifou, R.; Harvey, A.; Backes, C.; Li, Z.; Ferreira, M.S.; Möbius, M.E.; et al. Sensitive Electromechanical Sensors Using Viscoelastic Graphene-Polymer Nanocomposites. Science 2016, 354, 1257–1260. [Google Scholar] [CrossRef]
- Wu, Q.; Wei, J.; Xu, B.; Liu, X.; Wang, H.; Wang, W.; Wang, Q.; Liu, W. A Robust, Highly Stretchable Supramolecular Polymer Conductive Hydrogel with Self-Healability and Thermo-Processability. Sci. Rep. 2017, 7, 41566. [Google Scholar] [CrossRef]
- Darabi, M.A.; Khosrozadeh, A.; Mbeleck, R.; Liu, Y.; Chang, Q.; Jiang, J.; Cai, J.; Wang, Q.; Luo, G.; Xing, M. Skin-Inspired Multifunctional Autonomic-Intrinsic Conductive Self-Healing Hydrogels with Pressure Sensitivity, Stretchability, and 3D Printability. Adv. Mater. 2017, 29, 1700533. [Google Scholar] [CrossRef]
- Diring, S.; Camerel, F.; Donnio, B.; Dintzer, T.; Toffanin, S.; Capelli, R.; Muccini, M.; Ziessel, R. Luminescent Ethynyl-Pyrene Liquid Crystals and Gels for Optoelectronic Devices. J. Am. Chem. Soc. 2009, 131, 18177–18185. [Google Scholar] [CrossRef]
- Lee, J.; Aida, T. “Bucky Gels” for Tailoring Electroactive Materials and Devices: The Composites of Carbon Materials with Ionic Liquids. Chem. Commun. 2011, 47, 6757–6762. [Google Scholar] [CrossRef]
- Kruusamäe, K.; Sugino, T.; Asaka, K. Ionic and Viscoelastic Mechanisms of a Bucky-Gel Actuator. J. Appl. Phys. 2015, 118, 014502. [Google Scholar] [CrossRef]
- Fameau, A.L.; Rogers, M.A. The Curious Case of 12-Hydroxystearic Acid—The Dr. Jekyll & Mr. Hyde of Molecular Gelators. Curr. Opin. Colloid Interface Sci. 2020, 45, 68–82. [Google Scholar] [CrossRef]
- Ajay Mallia, V.; Weiss, R.G. Self-Assembled Fibrillar Networks and Molecular Gels Employing 12-Hydroxystearic Acid and Its Isomers and Derivatives. J. Phys. Org. Chem. 2014, 27, 310–315. [Google Scholar] [CrossRef]
- Terech, P.; Weiss, R.G. Low Molecular Mass Gelators of Organic Liquids and the Properties of Their Gels. Chem. Rev. 1997, 97, 3133–3159. [Google Scholar] [CrossRef]
- Aggeli, A.; Bel, M.; Boden, N.; Keen, J.N.; Knowles, P.F.; McLeish, T.C.; Pitkeathly, M.; Radford, S.E. Responsive Gels Formed by The Spontaneous Self-assembly of Peptides into Polymeric Beta-sheet Tapes. Nature 1997, 386, 259–262. [Google Scholar] [CrossRef]
- Makarević, J.; Jokić, M.; Perić, B.; Tomišić, V.; Kojić-Prodić, B.; Žinić, M. Bis(Amino Acid) Oxalyl Amides as Ambidextrous Gelators of Water and Organic Solvents: Supramolecular Gels with Temperature Dependent Assembly/Dissolution Equilibrium. Chem. A Eur. J. 2001, 7, 3328–3341. [Google Scholar] [CrossRef]
- Hirst, A.R.; Smith, D.K. Solvent Effects on Supramolecular Gel-Phase Materials: Two-Component Dendritic Gel. Langmuir 2004, 20, 10851–10857. [Google Scholar] [CrossRef]
- Fräßdorf, W.; Fahrländer, M.; Fuchs, K.; Friedrich, C. Thermorheological Properties of Self-Assembled Dibenzylidene Sorbitol Structures in Various Polymer Matrices: Determination and Prediction of Characteristic Temperatures. J. Rheol. 2003, 47, 1445–1454. [Google Scholar] [CrossRef]
- Raynal, M.; Bouteiller, L. Organogel Formation Rationalized by Hansen Solubility Parameters. Chem. Commun. 2011, 47, 8271–8273. [Google Scholar] [CrossRef] [PubMed]
- Gao, J.; Wu, S.; Rogers, M.A. Harnessing Hansen Solubility Parameters to Predict Organogel Formation. J. Mater. Chem. 2012, 22, 12651–12658. [Google Scholar] [CrossRef]
- Lan, Y.; Corradini, M.G.; Weiss, R.G.; Raghavan, S.R.; Rogers, M.A. To Gel or Not to Gel: Correlating Molecular Gelation with Solvent Parameters. Chem. Soc. Rev. 2015, 44, 6035–6058. [Google Scholar] [CrossRef] [PubMed]
- Wu, S.; Gao, J.; Emge, T.J.; Rogers, M.A. Influence of Solvent on the Supramolecular Architectures in Molecular Gels. Soft Matter 2013, 9, 5942–5950. [Google Scholar] [CrossRef]
- Liu, C.; Corradini, M.; Rogers, M.A. Self-Assembly of 12-Hydroxystearic Acid Molecular Gels in Mixed Solvent Systems Rationalized Using Hansen Solubility Parameters. Colloid Polym. Sci. 2015, 293, 975–983. [Google Scholar] [CrossRef]
- Zhang, M.; Selvakumar, S.; Zhang, X.; Sibi, M.P.; Weiss, R.G. Structural and Solubility Parameter Correlations of Gelation Abilities for Dihydroxylated Derivatives of Long-Chain, Naturally Occurring Fatty Acids. Chem. A Eur. J. 2015, 21, 8530–8543. [Google Scholar] [CrossRef]
- Rosa Nunes, D.; Raynal, M.; Isare, B.; Albouy, P.A.; Bouteiller, L. Organogel Formation Rationalized by Hansen Solubility Parameters: Improved Methodology. Soft Matter 2018, 14, 4805–4809. [Google Scholar] [CrossRef]
- Rosa Nunes, D.; Reche-Tamayo, M.; Ressouche, E.; Raynal, M.; Isare, B.; Foury-Leylekian, P.; Albouy, P.A.; Brocorens, P.; Lazzaroni, R.; Bouteiller, L. Organogel Formation Rationalized by Hansen Solubility Parameters: Shift of the Gelation Sphere with the Gelator Structure. Langmuir 2019, 35, 7970–7977. [Google Scholar] [CrossRef]
- Diehn, K.K.; Oh, H.; Hashemipour, R.; Weiss, R.G.; Raghavan, S.R. Insights into Organogelation and Its Kinetics from Hansen Solubility Parameters. Toward a Priori Predictions of Molecular Gelation. Soft Matter 2014, 10, 2632–2640. [Google Scholar] [CrossRef]
- Krevelen, D.W. Chapter 7—Cohesive Properties and Sulubility. In Properties of Polymer, 4th ed.; Elsevier: New York, NY, USA, 2009; pp. 189–227. [Google Scholar]
- Hansen, C.M. 50 Years with Solubility Parameters-Past and Future. Prog. Org. Coat. 2004, 51, 77–84. [Google Scholar] [CrossRef]







| Name of Solvent | Abbr. | [MPa0.5] | [MPa0.5] | [MPa0.5] | [wt%] | [mol%] | [mmol/L-Solvent] |
|---|---|---|---|---|---|---|---|
| Hexane | Al06 | 29.8 | 0.0 | 0.0 | 0.70 | 2.40 | 53.5 |
| Heptane | Al07 | 30.6 | 0.0 | 0.0 | 0.90 | 2.65 | 62.0 |
| Octane | Al08 | 31.0 | 0.0 | 0.0 | 0.80 | 2.08 | 49.6 |
| Nonane | Al09 | 31.4 | 0.0 | 0.0 | 0.80 | 1.85 | 45.1 |
| Decane | Al10 | 31.4 | 0.0 | 0.0 | 0.70 | 1.47 | 36.2 |
| Cyclohexene | Cy06 | 34.4 | 1.0 | 2.0 | 0.60 | 2.16 | 59.5 |
| o-Xylene | CyOx | 35.6 | 1.0 | 3.1 | 0.90 | 2.49 | 74.9 |
| m-Xylene | CyMx | 35.6 | 1.0 | 3.1 | 1.00 | 2.78 | 81.7 |
| p-Xylene | CyPx | 35.6 | 1.0 | 3.1 | 0.90 | 2.50 | 73.5 |
| Styrene | CySt | 37.2 | 1.0 | 4.1 | 1.00 | 2.83 | 88.0 |
| a-Methyl Styrene | CyMs | 37.0 | 2.4 | 2.4 | 0.90 | 2.26 | 70.0 |
| n-Butylbenzene | CyBb | 34.8 | 0.1 | 1.1 | 0.90 | 1.99 | 58.0 |
| Di-Isononyl Adipate | HcDi | 33.4 | 1.8 | 4.9 | 1.60 | 1.21 | 37.6 |
| d-Limonene | HcLn | 34.4 | 1.8 | 4.3 | 0.90 | 1.96 | 55.9 |
| Hexachloroacetone | XCa | 36.6 | 3.0 | 3.0 | 0.40 | 0.45 | 21.7 |
| Methyl Chloroformate | XMc | 32.6 | 9.5 | 8.5 | 0.30 | 0.94 | 38.5 |
| Ethyl Chloroformate | XEc | 32.8 | 11.0 | 8.0 | 0.50 | 1.37 | 52.7 |
| Fluorobenzene | XFb | 36.2 | 6.1 | 2.0 | 0.89 | 2.72 | 95.3 |
| Epichlorohydrin | XEp | 35.0 | 7.6 | 7.6 | 0.70 | 2.23 | 89.6 |
| Methylene Dichloride | XDc | 34.0 | 7.3 | 7.1 | 1.00 | 3.43 | 157.4 |
| 2-Methylfuran | Mf | 34.6 | 2.8 | 7.4 | 0.90 | 3.20 | 102.1 |
| Acetone | At | 31.0 | 10.4 | 7.0 | insoluble * | insoluble * | insoluble * |
| Water | Wt | 31.0 | 16.0 | 42.3 | insoluble * | insoluble * | insoluble * |
| γ-Butyrolactone | Gb | 36.0 | 16.6 | 7.4 | insoluble * | insoluble * | insoluble * |
| Correlation of D with | ||
|---|---|---|
| 0.267 | 0.660 | |
| 0.106 | 0.648 | |
| 0.046 | 0.760 | |
| (only alkene and aromatics) | 0.195 | 0.638 |
| (only alkene and aromatics) | 0.650 | 0.479 |
| (only alkene and aromatics) | 0.261 | 0.688 |
| () | 0.037 | 0.843 |
| () | 0.317 | 0.746 |
| () | 0.228 | 0.677 |
| () | 0.917 | 0.218 |
| () | 0.798 | 0.376 |
| () | 0.597 | 0.485 |
| () | 0.673 | 0.433 |
| () | 0.737 | 0.357 |
| () | 0.676 | 0.426 |
| Abbr. | |||
|---|---|---|---|
| Al06 | 0.086 | 1018 | 0.026 |
| Al07 | 0.091 | 1109 | 0.031 |
| Al08 | 0.154 | 972 | 0.032 |
| Al09 | 0.157 | 551 | 0.030 |
| Al10 | 0.045 | 394 | 0.028 |
| CyOx | 0.316 | 349 | 0.014 |
| CyMx | 0.316 | 391 | 0.017 |
| CyPx | 0.466 | 391 | 0.016 |
| CySt | 0.375 | 303 | 0.015 |
| CyMs | 0.216 | 562 | 0.019 |
| CyBb | 0.504 | 371 | 0.021 |
| HcLn | 0.547 | 403 | 0.022 |
| XFb | 0.111 | 537 | 0.013 |
| Mf | 0.122 | 1066 | 0.020 |
| Abbr. | |||
|---|---|---|---|
| Al06 | 0.084 | 615 | 0.022 |
| Al07 | 0.106 | 987 | 0.031 |
| Al08 | 0.137 | 1023 | 0.034 |
| Al09 | 0.213 | 821 | 0.032 |
| Al10 | 0.121 | 724 | 0.029 |
| Cy06 | 0.149 | 659 | 0.021 |
| CyOx | 0.321 | 354 | 0.014 |
| CyMx | 0.322 | 397 | 0.017 |
| CyPx | 0.468 | 408 | 0.016 |
| CySt | 0.375 | 303 | 0.015 |
| CyMs | 0.320 | 567 | 0.021 |
| Abbr. | |||
|---|---|---|---|
| Al06 | 0.066 | 1095 | 0.025 |
| Al07 | 0.075 | 1199 | 0.027 |
| Al08 | 0.121 | 1032 | 0.030 |
| Al09 | 0.173 | 1060 | 0.033 |
| Al10 | 0.257 | 849 | 0.029 |
| Cy06 | 0.141 | 659 | 0.021 |
| CyOx | 0.359 | 321 | 0.014 |
| CyMx | 0.316 | 391 | 0.017 |
| CyPx | 0.456 | 386 | 0.017 |
| CyMs | 0.243 | 555 | 0.019 |
Disclaimer/Publisher’s Note: The statements, opinions and data contained in all publications are solely those of the individual author(s) and contributor(s) and not of MDPI and/or the editor(s). MDPI and/or the editor(s) disclaim responsibility for any injury to people or property resulting from any ideas, methods, instructions or products referred to in the content. |
© 2023 by the authors. Licensee MDPI, Basel, Switzerland. This article is an open access article distributed under the terms and conditions of the Creative Commons Attribution (CC BY) license (https://creativecommons.org/licenses/by/4.0/).
Share and Cite
Murakami, Y.; Uchiyama, T.; Shono, A. Correlation between Physical Properties of 12-Hydroxystearic Acid Organogels and Hansen Solubility Parameters. Gels 2023, 9, 314. https://doi.org/10.3390/gels9040314
Murakami Y, Uchiyama T, Shono A. Correlation between Physical Properties of 12-Hydroxystearic Acid Organogels and Hansen Solubility Parameters. Gels. 2023; 9(4):314. https://doi.org/10.3390/gels9040314
Chicago/Turabian StyleMurakami, Yuya, Taisei Uchiyama, and Atsushi Shono. 2023. "Correlation between Physical Properties of 12-Hydroxystearic Acid Organogels and Hansen Solubility Parameters" Gels 9, no. 4: 314. https://doi.org/10.3390/gels9040314
APA StyleMurakami, Y., Uchiyama, T., & Shono, A. (2023). Correlation between Physical Properties of 12-Hydroxystearic Acid Organogels and Hansen Solubility Parameters. Gels, 9(4), 314. https://doi.org/10.3390/gels9040314

