Production and In Situ Modification of Bacterial Cellulose Gels in Raisin Side-Stream Extracts Using Nanostructures Carrying Thyme Oil: Their Physicochemical/Textural Characterization and Use as Antimicrobial Cheese Packaging
Abstract
:1. Introduction
2. Results and Discussion
2.1. BC Yields in Synthetic and Natural Substates with Nanostructures/Thyme Oil
2.2. Composition of the Substrates before and after BC Production
2.3. Textural Characteristics of the Produced BCs
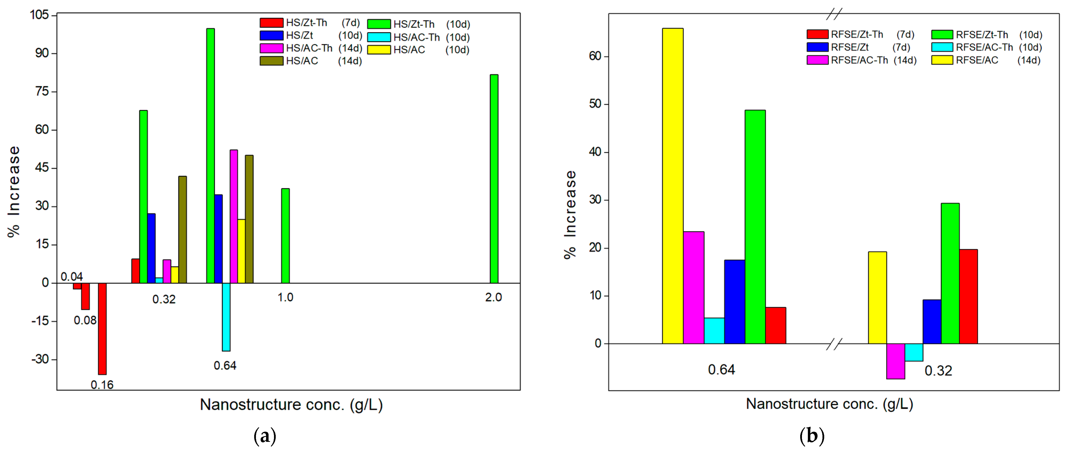
2.4. Antioxidant Activity of the Modified BC Films
2.5. Tensile Properties of the BC Films
2.6. Antimicrobial Activity of the BC Films as Coatings on White Cheese
3. Conclusions
4. Materials and Methods
4.1. Chemicals
4.2. Materials
4.3. Microorganism and Nutrient Media
4.4. BC Gels’ Production and In Situ Modification in Synthetic and Natural Substates
4.5. Soft White Cheese Making and Coating with BC Films
4.6. Analytical Methods
4.6.1. Determination of Sugars and Organic Acids
4.6.2. Determination of Chemical Oxygen Demand
4.6.3. Textural Characteristics of the Produced BC Films
4.6.4. Tensile Measurements of the BC Films
4.6.5. Antioxidant Activity of the BC Films
4.6.6. Microbiological Analysis
4.6.7. Statistical Analysis
Supplementary Materials
Author Contributions
Funding
Institutional Review Board Statement
Informed Consent Statement
Data Availability Statement
Acknowledgments
Conflicts of Interest
References
- Kumar Gupta, G.; De, S.; Franco, A.; Balu, A.M.; Luque, R. Sustainable biomaterials: Current trends, challenges and applications. Molecules 2016, 21, 48. [Google Scholar] [CrossRef] [PubMed]
- Gupta, V.K.; Pandey, A.; Koffas, M.; Mussatto, S.I.; Khare, S. Biobased biorefineries: Sustainable bioprocesses and bioproducts from biomass/bioresources special issue. Renew. Sustain. Energy Rev. 2022, 167, 112683. [Google Scholar] [CrossRef]
- Bekatorou, A.; Plioni, I.; Sparou, K.; Maroutsiou, R.; Tsafrakidou, P.; Petsi, T.; Kordouli, E. Bacterial cellulose production using the Corinthian currant finishing side-stream and cheese whey: Process optimization and textural characterization. Foods 2019, 8, 193. [Google Scholar] [CrossRef] [PubMed]
- Urbina, L.; Corcuera, M.Á.; Gabilondo, N.; Eceiza, A.; Retegi, A. A review of bacterial cellulose: Sustainable production from agricultural waste and applications in various fields. Cellulose 2021, 28, 8229–8253. [Google Scholar] [CrossRef]
- Singhania, R.R.; Patel, A.K.; Tseng, Y.-S.; Kumar, V.; Chen, C.-W.; Haldar, D.; Saini, J.K.; Dong, C.-D. Developments in bioprocess for bacterial cellulose production. Bioresource Technol. 2022, 344, 126343. [Google Scholar] [CrossRef]
- Fernandes, I.; de Pedro, A.C.; Ribeiro, V.R.; Bortolini, D.G.; Ozaki, M.S.; Maciel, G.M.; Haminiuk, C.W. Bacterial cellulose: From production optimization to new applications. Int. J. Biol. Macromol. 2020, 164, 2598–2611. [Google Scholar] [CrossRef]
- Potočnik, V.; Gorgieva, S.; Trček, J. From nature to lab: Sustainable bacterial cellulose production and modification with synthetic biology. Polymers 2023, 15, 3466. [Google Scholar] [CrossRef]
- Mbituyimana, B.; Liu, L.; Ye, W.; Ode Boni, B.O.; Zhang, K.; Chen, J.; Thomas, S.; Vasilievich, R.V.; Shi, Z.; Yang, G. Bacterial cellulose-based composites for biomedical and cosmetic applications: Research progress and existing products. Carbohyd. Polym. 2021, 273, 118565. [Google Scholar] [CrossRef]
- Lee, S.; Abraham, A.; Lim, A.C.S.; Choi, O.; Seo, J.G.; Sang, B.-I. Characterisation of bacterial nanocellulose and nanostructured carbon produced from crude glycerol by Komagataeibacter sucrofermentans. Bioresource Technol. 2021, 342, 125918. [Google Scholar] [CrossRef]
- Adepu, S.; Khandelwal, M. Bacterial cellulose with microencapsulated antifungal essential oils: Novel double barrier release system. Materialia 2020, 9, 100585. [Google Scholar] [CrossRef]
- Jang, E.J.; Padhan, B.; Patel, M.; Pandey, J.K.; Xu, B.; Patel, R. Antibacterial and biodegradable food packaging film from bacterial cellulose. Food Control 2023, 153, 109902. [Google Scholar] [CrossRef]
- Zhang, X.; Wang, D.; Liu, S.; Tang, J. Bacterial cellulose nanofibril-based pickering emulsions: Recent trends and applications in the food industry. Foods 2022, 11, 4064. [Google Scholar] [CrossRef] [PubMed]
- Salmas, C.E.; Giannakas, A.E.; Karabagias, V.K.; Moschovas, D.; Karabagias, I.K.; Gioti, C.; Georgopoulos, S.; Leontiou, A.; Kehayias, G.; Svgeropoulos, A.; et al. Development and evaluation of a novel-thymol@natural-zeolite/low-density-polyethylene active packaging film: Applications for pork fillets preservation. Antioxidants 2023, 12, 523. [Google Scholar] [CrossRef] [PubMed]
- Salmas, C.E.; Leontiou, A.; Kollia, E.; Zaharioudakis, K.; Kopsacheili, A.; Avdylaj, L.; Georgopoulos, S.; Karabagias, V.K.; Karydis-Messinis, A.; Kehayias, G.; et al. Active Coatings development based on chitosan/polyvinyl alcohol polymeric matrix incorporated with thymol modified activated carbon nanohybrids. Coatings 2023, 13, 1503. [Google Scholar] [CrossRef]
- Saad, H.; Ayed, A.; Srasra, M.; Attia, S.; Srasra, E.; Charrier-El Bouhtoury, F.; Tabbene, O. New trends in clay-based nanohybrid applications: Essential oil encapsulation strategies to improve their biological activity. In Nanoclay-Recent Advances, New Perspectives and Applications; IntechOpen: London, UK, 2022. [Google Scholar] [CrossRef]
- Pinto, L.; Tapia-Rodríguez, M.R.; Baruzzi, F.; Ayala-Zavala, J.F. Plant antimicrobials for food quality and safety: Recent views and future challenges. Foods 2023, 12, 2315. [Google Scholar] [CrossRef] [PubMed]
- Al-Moghazy, M.; El-sayed, H.S.; Salama, H.H.; Nada, A.A. Edible packaging coating of encapsulated thyme essential oil in liposomal chitosan emulsions to improve the shelf life of Karish cheese. Food Biosci. 2021, 43, 101230. [Google Scholar] [CrossRef]
- Sharma, S.; Mulrey, L.; Byrne, M.; Jaiswal, A.K.; Jaiswal, S. Encapsulation of essential oils in nanocarriers for active food packaging. Foods 2022, 11, 2337. [Google Scholar] [CrossRef]
- Sharma, P.; Sutar, P.P.; Xiao, H.; Zhang, Q. The untapped potential of zeolites in techno-augmentation of the biomaterials and food industrial processing operations: A review. J. Future Foods 2023, 3, 127–141. [Google Scholar] [CrossRef]
- Sobhan, A.; Muthukumarappan, K.; Cen, Z.; Wei, L. Characterization of nanocellulose and activated carbon nanocomposite films’ biosensing properties for smart packaging. Carbohyd. Polym. 2019, 225, 115189. [Google Scholar] [CrossRef]
- Vassiliou, E.; Awoleye, O.; Davis, A.; Mishra, S. Anti-inflammatory and antimicrobial properties of thyme oil and its main constituents. Int. J. Mol. Sci. 2023, 24, 6936. [Google Scholar] [CrossRef]
- Xie, Z.; Meng, X.; Ding, H.; Cao, Q.; Chen, Y.; Liu, X.; Li, D. The synergistic effect of rumen cellulolytic bacteria and activated carbon on thermophilic digestion of cornstalk. Bioresource Technol. 2021, 338, 125566. [Google Scholar] [CrossRef] [PubMed]
- Plioni, I.; Bekatorou, A.; Mallouchos, A.; Kandylis, P.; Chiou, A.; Panagopoulou, E.A.; Dede, V.; Styliara, P. Corinthian currants finishing side-stream: Chemical characterization, volatilome, and valorisation through wine and baker’s yeast production-technoeconomic evaluation. Food Chem. 2021, 342, 128161. [Google Scholar] [CrossRef] [PubMed]
- Gorgieva, S.; Trček, J. Bacterial cellulose: Production, modification and perspectives in biomedical applications. Nanomaterials 2019, 9, 1352. [Google Scholar] [CrossRef]
- Agustin, Y.E.; Padmawijaya, K.S. Effect of acetic acid and ethanol as additives on bacterial cellulose production by Acetobacter xylinum. IOP Conf. Ser. Earth Environ. Sci. 2018, 209, 012045. [Google Scholar] [CrossRef]
- Ul-Islam, M.; Khan, T.; Park, J.K. Water holding and release properties of bacterial cellulose obtained by in situ and ex situ modification. Carbohyd. Polym. 2012, 88, 596–603. [Google Scholar] [CrossRef]
- Salmas, C.E.; Kollia, E.; Avdylaj, L.; Kopsacheili, A.; Zaharioudakis, K.; Georgopoulos, S.; Leontiou, A.; Katerinopoulou, K.; Kehayias, G.; Karakassides, A.; et al. Thymol@natural zeolite nanohybrids for chi-tosan/polyvinyl-alcohol-based hydrogels applied as active pads. Gels 2023, 9, 570. [Google Scholar] [CrossRef]
- Yim, S.M.; Song, J.E.; Kim, H.R. Production and characterization of bacterial cellulose fabrics by nitrogen sources of tea and carbon sources of sugar. Process Biochem. 2017, 59, 26–36. [Google Scholar] [CrossRef]
- Jiji, S.; Udhayakumar, S.; Rose, C.; Muralidharan, C.; Kadirvelu, K. Thymol enriched bacterial cellulose hydrogel as effective material for third degree burn wound repair. Int. J. Biol. Macromol. 2019, 122, 452–460. [Google Scholar] [CrossRef]
- Rezaei, A.; Khavari, S.; Sami, M. Incorporation of thyme essential oil into the β-cyclodextrin nanosponges: Preparation, characterization and antibacterial activity. J. Mol. Struct. 2021, 1241, 130610. [Google Scholar] [CrossRef]
- Giannakas, A.; Tsagkalias, I.; Achilias, D.S.; Ladavos, A. A novel method for the preparation of inorganic and organo-modified montmorillonite essential oil hybrids. Appl. Clay Sci. 2017, 146, 362–370. [Google Scholar] [CrossRef]
- Cometa, S.; Bonifacio, M.A.; Bellissimo, A.; Pinto, L.; Petrella, A.; De Vietro, N.; Iannaccone, G.; Baruzzi, F.; De Giglio, E. A green approach to develop zeolite-thymol antimicrobial composites: Analytical characterization and antimicrobial activity evaluation. Heliyon 2022, 8, e09551. [Google Scholar] [CrossRef] [PubMed]
- Kavas, G.; Kavas, N.; Saygili, D. The Effects of thyme and clove essential oil fortified edible films on the physical, chemical and microbiological characteristics of Kashar cheese. J. Food Qual. 2015, 38, 405–412. [Google Scholar] [CrossRef]
- Hassan, A.H.A.; Korany, A.M.; Zeinhom, M.M.A.; Mohamed, D.S.; Abdel-Atty, N.S. Effect of chitosan-gelatin coating fortified with papaya leaves and thyme extract on quality and shelf life of chicken breast fillet and Kareish cheese during chilled storage. Int. J. Food Microbiol. 2022, 371, 109667. [Google Scholar] [CrossRef]



| Incubation Time (Days) | NS Concentration in the Substrate (g/L; dry wt) | Type of NS Studied in Each Substrate | |
|---|---|---|---|
| HS | RFSE | ||
| 7 | 0.04 | Zt-Th | |
| 0.08 | Zt-Th | ||
| 0.16 | Zt-Th | ||
| 0.32 | Zt-Th | Zt-Th, Zt | |
| 0.64 | Zt-Th | Zt-Th, Zt | |
| 10 | 0.32 | Zt-Th, AC-Th, AC | Zt-Th, Zt, AC-Th, AC |
| 0.64 | Zt-Th, AC-Th, AC | Zt-Th, Zt, AC-Th, AC | |
| 1.00 | Zt-Th | ||
| 2.00 | Zt-Th | ||
| 14 | 0.32 | AC-Th, AC | AC-Th, AC |
| 0.64 | AC-Th, AC | AC-Th, AC | |
| Substrate | NS Concentration in the Substrate (g/L) | Incubation Time (days) | BC Yield (g/L) | ||||
|---|---|---|---|---|---|---|---|
| C | Zt-Th | Zt | AC-Th | AC | |||
| HS | 0.04 | 7 | 1.72 ± 0.10 a | 1.68 ± 0.03 a | |||
| 0.08 | 7 | 1.72 ± 0.10 a | 1.37 ± 0.13 b,c | ||||
| 0.16 | 7 | 1.17 ± 0.10 c | 0.75 ± 0.11 d | ||||
| 0.32 | 7 | 1.17 ± 0.10 c | 1.28 ± 0.06 c,b | ||||
| 0.64 | 7 | 1.17 ± 0.10 c | 1.32 ± 0.03 c,b | ||||
| 0.32 | 10 | 1.28 ± 0.06 e | 2.14 ± 0.10 f,h | ||||
| 0.64 | 10 | 1.28 ± 0.06 e | 2.56 ± 0.12 g | ||||
| 1.0 | 10 | 1.28 ± 0.06 e | 1.75 ± 0.12 f | ||||
| 2.0 | 10 | 1.28 ± 0.06 e | 2.32 ± 0.10 g,h | ||||
| 0.32 | 10 | 1.78 ± 0.24 f | 2.26 ± 0.12 h,i | ||||
| 0.64 | 10 | 1.78 ± 0.24 f | 2.39 ± 0.04 g,i | ||||
| 0.32 | 10 | 2.15 ± 0.12 j | 2.20 ± 0.02 j | ||||
| 0.64 | 10 | 2.15 ± 0.12 j | 1.58 ± 0.04 k,l | ||||
| 0.32 | 10 | 1.55 ± 0.02 k | 1.65 ± 0.03 l | ||||
| 0.64 | 10 | 1.55 ± 0.02 k | 1.94 ± 0.06 j | ||||
| 0.32 | 14 | 1.76 ± 0.25 m | 1.92 ± 0.10 m | ||||
| 0.64 | 14 | 1.76 ± 0.25 m | 2.68 ± 0.15 n | ||||
| 0.32 | 14 | 1.35 ± 0.06 m | 1.91 ± 0.02 m | ||||
| 0.64 | 14 | 1.35 ± 0.06 m | 2.02 ± 0.04 m | ||||
| RFSE | 0.32 | 7 | 1.12 ± 0.08 a | 1.45 ± 0.10 b | |||
| 0.64 | 7 | 1.12 ± 0.08 a | 1.67 ± 0.06 c | ||||
| 0.32 | 7 | 1.15 ± 0.05 a | 1.26 ± 0.05 a,d | ||||
| 0.64 | 7 | 1.15 ± 0.05 a | 1.36 ± 0.05 b,d | ||||
| 0.32 | 10 | 1.33 ± 0.06 e | 1.60 ± 0.05 f | ||||
| 0.64 | 10 | 1.33 ± 0.06 e | 1.43 ± 0.01 g | ||||
| 0.32 | 10 | 1.55 ± 0.10 h | 1.49 ± 0.02 h | ||||
| 0.64 | 10 | 1.55 ± 0.10 h | 1.63 ± 0.03 h | ||||
| 0.32 | 14 | 1.64 ± 0.13 i | 1.52 ± 0.06 i | ||||
| 0.64 | 14 | 1.64 ± 0.13 i | 2.03 ± 0.04 j | ||||
| 0.32 | 14 | 2.11 ± 0.06 j | 2.52 ± 0.13 k | ||||
| 0.64 | 14 | 2.11 ± 0.06 j | 3.50 ± 0.17 l | ||||
| Parameter | Initial RFSE | Substrate after BC Production | |||||||
|---|---|---|---|---|---|---|---|---|---|
| RFSE | HS | ||||||||
| Zt-Th | Zt | AC-Th | AC | Zt-Th | Zt | AC-Th | AC | ||
| Sugars (% w/v) | |||||||||
| Glucose | 4.36 ± 0.07 a | 0.11 ± 0.01 d | 0.14 ± 0.01 e | 0.08 ± 0.01 f | 0.14 ± 0.02 e | 0.24 ± 0.01 b | 0.19 ± 0.02 c | 0.06 ± 0.02 f | 0.15 ± 0.01 e |
| Fructose | 3.86 ± 0.02 a | 0.12 ± 0.02 b | 0.16 ± 0.02 c | 0.10 ± 0.01 b | 0.16 ± 0.01 c | nf | nf | nf | nf |
| Total | 8.22 ± 0.08 a | 0.23 ± 0.03 b | 0.30 ± 0.03 d | 0.18 ± 0.02 c,f | 0.30 ± 0.03 d | 0.24 ± 0.01 b | 0.19 ± 0.02 c | 0.06 ± 0.02 e | 0.15 ± 0.01 f |
| Organic acids (g/L) | |||||||||
| Citric | 0.09 ± 0.01 a | 0.05 ± 0.02 c | 0.05 ± 0.01 c | 0.05 ± 0.01 c | 0.05 ± 0.01 c | 1.06 ± 0.03 b | 1.09 ± 0.02 b | 1.05 ± 0.04 b | 1.06 ± 0.04 b |
| Tartaric | 1.32 ± 0.03 a | 1.19 ± 0.03 b | 1.10 ± 0.03 c | 1.17 ± 0.02 b | 1.15 ± 0.04 b | nf | nf | nf | nf |
| Malic | 1.43 ± 0.07 a | 0.59 ± 0.02 b | 0.45 ± 0.04 c | 0.58 ± 0.02 b | 0.75 ± 0.04 d | nf | nf | nf | nf |
| COD (g/L) | 1.6 ± 0.0 c | 1.3 ± 0.0 d | 0.7 ± 0.1 e | 0.9 ± 0.0 f | 1.1 ± 0.1 a | 1.2 ± 0.1 b | 0.7 ± 0.0 e | 0.7 ± 0.1 e | |
| Parameter | Substrate/Nanostructure | |||||||||||
|---|---|---|---|---|---|---|---|---|---|---|---|---|
| HS | RFSE | |||||||||||
| C* [3] | Zt-Th | Zt | AC-Th | AC | C | Zt-Th | Zt | Zt-Th/2 M | AC-Th | AC | AC-Th/2 M | |
| Textural properties | ||||||||||||
| SA (m2/g) | 6.5–6.0 | 0.7 | 0.8 | 0.7 | 0.8 | 5.74 | 0.5 | 0.7 | 0.6 | 0.2 | 0.4 | 0.3 |
| APD (Å) | 201–204 | 190.2 | 203.1 | 165.2 | 174.6 | 264.4 | 99.3 | 110.2 | 101.1 | 123.1 | 138.4 | 130.9 |
| CPV (cm3/g) | 0.04 | 0.006 | 0.007 | 0.008 | 0.01 | 0.084 | 0.004 | 0.006 | 0.005 | 0.003 | 0.005 | 0.004 |
| CI (%) | 70.6–72.4 | 62.1 | 59.8 | 65.6 | 64.7 | 72.1 | 69.0 | 69.6 | 69.0 | 65.0 | 65.2 | 65.0 |
| CS (Å) | 32.4–31.9 | 72.7 | 72.2 | 75.0 | 75.7 | 77.5 | 72.0 | 71.7 | 72 | 73.0 | 73.8 | 73.0 |
| AA (%) | 29.4 ± 0.3 a | 50.8 ± 0.6 b | 86.0 ± 0.3 c | |||||||||
| Tensile properties | ||||||||||||
| E (MPa) | 1737 ± 41 a | 1916 ± 26 c | 273 ± 54 d | 1136 ± 73 f | 311 ± 21 e | 747 ± 24 b | 479 ± 25 e | 423 ± 107 e | 153 ± 21 g | 157 ± 11 g | ||
| σuts | 54 ± 11 a | 30 ± 13 a,b | 29 ± 3 c | 26 ± 4 c | 21 ± 1 c | 34 ± 1 b | 17 ± 3 c | 25 ± 8 b,c | 18 ± 1 c | 25 ± 4 c | ||
| %ε | 1.8 ± 0.2 a | 2.3 ± 0.9 a,b | 4.7 ± 1.0 b,c | 2.7 ± 0.5 a,b | 2.8 ± 0.3 a,b | 3.7 ± 0.3 b | 3.2 ± 0.2 b | 6.2 ± 0.8 c | 7.9 ± 1.1 c | 1.8 ± 0.3 a | ||
| Microbial Group | Storage Day | Cheese Sample with BC Coating | |||||
|---|---|---|---|---|---|---|---|
| C | Log cfu/g Trend | RFSE/Zt-Th | Log cfu/g Trend | RFSE/AC-Th | Log cfu/g Trend | ||
| Coliforms | 0 | 4.41 ± 0.02 | 0.00 | 4.41 ± 0.02 | 0 | 4.41 ± 0.02 | 0 |
| 5 | 5.33 ± 0.01 | 0.92 | 3.77 ± 0.05 | −0.64 | 2.67 ± 0.06 | −1.74 | |
| 14 | 5.86 ± 0.03 | 1.45 | 3.07 ± 0.06 | −1.34 | 2.46 ± 0.07 | −1.95 | |
| 21 | 6.23 ± 0.01 | 1.82 | 3.32 ± 0.02 | −1.09 | 2.18 ± 0.03 | −2.23 | |
| 30 | 6.47 ± 0.01 | 2.06 | 4.31 ± 0.01 | −0.1 | 1.85 ± 0.22 | −2.56 | |
| 60 | 6.72 ± 0.01 | 2.31 | 4.46 ± 0.01 | 0.05 | 1.85 ± 0.13 | −2.56 | |
| Enterobacteria | 0 | 4.40 ± 0.01 | 0.00 | 4.40 ± 0.01 | 0 | 4.40 ± 0.01 | 0 |
| 5 | 5.37 ± 0.01 | 0.97 | 3.33 ± 0.09 | −1.07 | 2.67 ± 0.06 | −1.73 | |
| 14 | 6.07 ± 0.02 | 1.67 | 2.30 ± 0.07 | −2.1 | 2.07 ± 0.02 | −2.33 | |
| 21 | 6.30 ± 0.00 | 1.90 | 2.42 ± 0.06 | −1.98 | 2.07 ± 0.02 | −2.33 | |
| 30 | 6.47 ± 0.01 | 2.07 | 3.45 ± 0.00 | −0.95 | 1.82 ± 0.19 | −2.58 | |
| 60 | 6.76 ± 0.01 | 2.36 | 4.46 ± 0.01 | 0.06 | 1.63 ± 0.06 | −2.77 | |
| Lactobacilli | 0 | 1.96 ± 0.02 | 0.00 | 1.96 ± 0.02 | 0 | 1.96 ± 0.02 | 0 |
| 5 | 2.26 ± 0.01 | 0.30 | 1.93 ± 0.03 | −0.03 | 1.69 ± 0.08 | −0.27 | |
| 14 | 2.36 ± 0.00 | 0.40 | 0.89 ± 0.19 | −1.07 | 1.14 ± 0.11 | −0.82 | |
| 21 | 3.06 ± 0.02 | 1.10 | 1.34 ± 0.08 | −0.62 | 0.69 ± 0.09 | −1.27 | |
| 30 | 3.18 ± 0.03 | 1.22 | 2.04 ± 0.06 | 0.08 | 0.63 ± 0.06 | −1.33 | |
| 60 | 3.38 ± 0.01 | 1.42 | 2.46 ± 0.01 | 0.5 | 0.63 ± 0.06 | −1.33 | |
| Lactococci | 0 | 4.41 ± 0.02 | 0.00 | 4.41 ± 0.02 | 0 | 4.41 ± 0.02 | 0 |
| 5 | 4.60 ± 0.03 | 0.19 | 2.51 ± 0.03 | −1.9 | 3.05 ± 0.01 | −1.36 | |
| 14 | 5.31 ± 0.02 | 0.90 | 2.10 ± 0.02 | −2.31 | 2.06 ± 0.02 | −2.35 | |
| 21 | 5.46 ± 0.01 | 1.05 | 2.53 ± 0.05 | −1.88 | 1.52 ± 0.01 | −2.89 | |
| 30 | 5.92 ± 0.05 | 1.51 | 2.95 ± 0.05 | −1.46 | 1.31 ± 0.16 | −3.1 | |
| 60 | 6.09 ± 0.01 | 1.68 | 3.05 ± 0.02 | −1.36 | 1.04 ± 0.04 | −3.37 | |
| Yeasts and molds | 0 | 5.29 ± 0.02 | 0.00 | 5.29 ± 0.02 | 0 | 5.29 ± 0.02 | 0 |
| 5 | 5.83 ± 0.05 | 0.54 | 3.48 ± 0.05 | −1.81 | 3.62 ± 0.09 | −1.67 | |
| 14 | 6.03 ± 0.01 | 0.74 | 3.05 ± 0.02 | −2.24 | 3.26 ± 0.05 | −2.03 | |
| 21 | 6.28 ± 0.01 | 0.99 | 3.03 ± 0.01 | −2.26 | 3.12 ± 0.03 | −2.17 | |
| 30 | 6.53 ± 0.02 | 1.24 | 3.34 ± 0.14 | −1.95 | 2.62 ± 0.05 | −2.67 | |
| 60 | 6.74 ± 0.02 | 1.45 | 3.71 ± 0.06 | −1.58 | 2.53 ± 0.05 | −2.76 | |
| Total mesophilic bacteria | 0 | 5.41 ± 0.01 | 0.00 | 5.41 ± 0.01 | 0 | 5.41 ± 0.01 | 0 |
| 5 | 6.23 ± 0.02 | 0.82 | 4.30 ± 0.01 | −1.11 | 4.18 ± 0.03 | −1.23 | |
| 14 | 6.31 ± 0.01 | 0.90 | 3.88 ± 0.11 | −1.53 | 3.39 ± 0.05 | −2.02 | |
| 21 | 6.41 ± 0.02 | 1.00 | 4.26 ± 0.03 | −1.15 | 3.28 ± 0.02 | −2.13 | |
| 30 | 6.65 ± 0.03 | 1.24 | 4.72 ± 0.05 | −0.69 | 2.87 ± 0.03 | −2.54 | |
| 60 | 6.95 ± 0.03 | 1.54 | 5.07 ± 0.03 | −0.34 | 2.74 ± 0.04 | −2.67 | |
Disclaimer/Publisher’s Note: The statements, opinions and data contained in all publications are solely those of the individual author(s) and contributor(s) and not of MDPI and/or the editor(s). MDPI and/or the editor(s) disclaim responsibility for any injury to people or property resulting from any ideas, methods, instructions or products referred to in the content. |
© 2023 by the authors. Licensee MDPI, Basel, Switzerland. This article is an open access article distributed under the terms and conditions of the Creative Commons Attribution (CC BY) license (https://creativecommons.org/licenses/by/4.0/).
Share and Cite
Adamopoulou, V.; Salvanou, A.; Bekatorou, A.; Petsi, T.; Dima, A.; Giannakas, A.E.; Kanellaki, M. Production and In Situ Modification of Bacterial Cellulose Gels in Raisin Side-Stream Extracts Using Nanostructures Carrying Thyme Oil: Their Physicochemical/Textural Characterization and Use as Antimicrobial Cheese Packaging. Gels 2023, 9, 859. https://doi.org/10.3390/gels9110859
Adamopoulou V, Salvanou A, Bekatorou A, Petsi T, Dima A, Giannakas AE, Kanellaki M. Production and In Situ Modification of Bacterial Cellulose Gels in Raisin Side-Stream Extracts Using Nanostructures Carrying Thyme Oil: Their Physicochemical/Textural Characterization and Use as Antimicrobial Cheese Packaging. Gels. 2023; 9(11):859. https://doi.org/10.3390/gels9110859
Chicago/Turabian StyleAdamopoulou, Vasiliki, Anastasia Salvanou, Argyro Bekatorou, Theano Petsi, Agapi Dima, Aris E. Giannakas, and Maria Kanellaki. 2023. "Production and In Situ Modification of Bacterial Cellulose Gels in Raisin Side-Stream Extracts Using Nanostructures Carrying Thyme Oil: Their Physicochemical/Textural Characterization and Use as Antimicrobial Cheese Packaging" Gels 9, no. 11: 859. https://doi.org/10.3390/gels9110859
APA StyleAdamopoulou, V., Salvanou, A., Bekatorou, A., Petsi, T., Dima, A., Giannakas, A. E., & Kanellaki, M. (2023). Production and In Situ Modification of Bacterial Cellulose Gels in Raisin Side-Stream Extracts Using Nanostructures Carrying Thyme Oil: Their Physicochemical/Textural Characterization and Use as Antimicrobial Cheese Packaging. Gels, 9(11), 859. https://doi.org/10.3390/gels9110859

