Synthesis and Characteristics of a pH-Sensitive Sol-Gel Transition Colloid for Coal Fire Extinguishing
Abstract
1. Introduction
2. Results and Discussion
2.1. LMP-Bt Colloid Microstructures
2.2. pH Sensitivity of LMP-Bt Colloid
2.2.1. Mechanism for pH Sensitivity of LMP-Bt
2.2.2. The Critical pH Value for Gelation
2.2.3. Experimental Results of Gelation by Absorbing Gas Products of Coal Combustion
2.3. Rheology of LMP-Bt Colloid
2.3.1. Rheological Properties in Different pH Environments
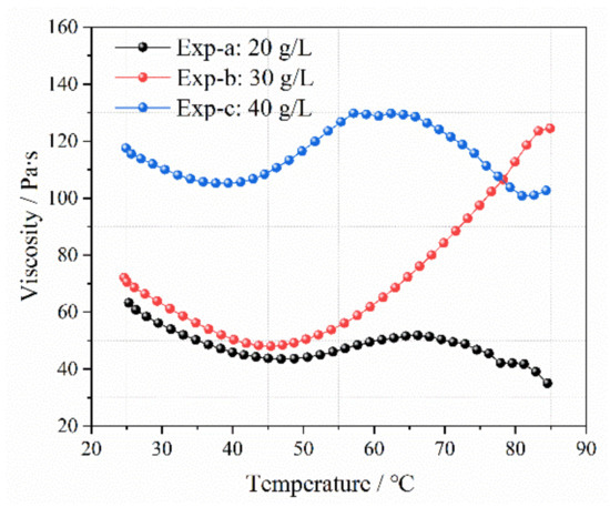
2.3.2. Rheological Properties at Different Ca-Bt Contents
2.3.3. Rheological Properties under Different LMP Content
2.4. Water Retention of LMP-Bt Colloid
2.5. Oxygen Isolation of LMP-Bt Colloid
2.6. Adhesion of LMP-Bt Colloid
2.7. Thermal Stability of LMP-Bt Colloid
2.8. Inhibition of Coal Combustion
3. Conclusions
4. Materials and Methods
4.1. Materials
- (1)
- LMP (95%, purchased from Henan Weiduomei Biotechnology Co., LTD., Zhengzhou, China)
- (2)
- Ca-Bt (analytically pure, purchased from Tianjin Balance Biotechnology Co., LTD., Tianjin, China)
- (3)
- Na-Bt (purchased from Yanxin Mineral Co., LTD., Shijiazhuang, China)
- (4)
- Acetic acid (HAC, analytically pure, Tianjin Damao Chemical Reagent Factory, Tianjin, China).
4.2. Colloid Preparation
- (1)
- Dissolution of LMP to form collosol: an appropriate amount of LMP powder and 100 mL water were added into the beaker and stirred with an electric stirrer until there were no obvious LMP particles in the beaker.
- (2)
- Addition of Ca-Bt: an appropriate amount of Ca-Bt was added to the collosol and stirred with electric stirrer until there were no obvious Ca-Bt particles in the collosol.
- (3)
- Addition of Na-Bt: Na-Bt was added to the collosol and stirred with an electric stirrer until there were no obvious Na-Bt particles in the collosol.
- (4)
- Ultrasonication: the prepared collosol was put into an ultrasonic dispersion instrument for 30 min, allowing the LMP molecules to be inserted between the Bt layers to form the LMP-Bt collosol.
- (5)
- Validation of the pH sensitivity of the LMP-Bt colloid: acidic gases, such as CO2 and SO2, or a pre-configured acetic acid solution, were added into the LMP-Bt collosol to reduce the pH value of the collosol. When the pH value of the collosol was lower than the critical pH value for gelation, the collosol turned into the LMP-Bt gel.

4.3. Determination of Colloid Microstructures
4.4. Preliminary Testing
- (1)
- When the LMP content was less than 6 g/L, the sol-gel transition could not be achieved regardless of the content of Ca-Bt. Otherwise, the critical pH for gelation increased with increasing Ca-Bt content. The critical pH for gelation was 6 when the Ca-Bt content was 10 g/L.
- (2)
- A precipitation phenomenon in sol state occurred when the total content of Ca-Bt and Na-Bt was more than 80 g/L. Therefore, the maximums of both the Ca-Bt and Na-Bt contents were set to 40 g/L.
- (3)
- The LMP-Bt colloid samples were put in a water bath at 95 °C. A phenomenon of water draining occurred when the LMP content was 6 g/L. An unexpected sol-gel transition phenomenon occurred when the LMP content was 14 g/L. Therefore, the range of LMP content was set to 8~12 g/L.
- (4)
- The LMP-Bt colloid samples with LMP content between 8 and 12 g/L were put in a water bath at 95 °C. The unexpected sol-gel transition phenomenon occurred when the Ca-Bt content was 10 g/L. Therefore, the range of Ca-Bt content was set to 20~40 g/L. Water draining was the most serious when the LMP content was 8 g/L and the Ca-Bt content was 20 g/L, which could be restrained by increasing the Na-Bt content to 20 g/L. Therefore, the range of Na-Bt content was also set 20~40 g/L.
4.5. Performance Testing
4.5.1. pH Sensitivity
Orthogonal Experiments to Determine the Critical pH for Gelation
Experimental Verification of Gelation by Absorbing Gas Products of Coal Combustion
- (1)
- Coal sample (20 g) with particle size of 2~3 mm was stored in a coal sample container of 42 mm internal diameter and 150 mm height. A 10 mL aliquot of the prepared LMP-Bt colloid was placed in a 50 mL beaker. The experimental device was constructed as shown in Figure 16.
- (2)
- The coal sample was heated using a temperature controller. When the coal temperature (the value of the thermocouple) reached 300 °C, the gas products were passed through the outlet inserted into the LMP-Bt colloid for 5 min.

4.5.2. Rheology
4.5.3. Water Retention
4.5.4. Oxygen Isolation
- (1)
- Sample preparation: the coal was broken into particles with a diameter of 2~3 mm. Two groups of coal samples (10 g) were obtained. One coal sample was placed in a beaker. The LMP-Bt colloid was added into the beaker to cover the upper layer of the coal sample. Then, 0.2% acetic acid solution was added dropwise until the LMP-Bt colloid underwent gelation. The other sample was not processed. Two coal samples were put into the drying oven at 130 °C for 7 h to achieve complete water loss.
- (2)
- Pretreatment: two groups of samples was degassed by vacuum at 100 °C for 1 h.
- (3)
- Physical adsorption test: the physical adsorption instrument ASAP 2460 3.01 (Mack Company, NY, USA) was used to measure the specific surface area of the two groups of samples by the BET method. Here, nitrogen was selected as the adsorbent.
4.5.5. Adhesion
- (1)
- Preparation of colloid: the LMP-Bt colloid and sodium carboxymethyl cellulose (CMC-Na) with the same LMP content were prepared for the test.
- (2)
- Weighing of coal samples: six coal samples of the same style were weighed and denoted as ma.
- (3)
- Adhesion: the pH value of the LMP-Bt colloid was adjusted to 8, and then a critical LMP-Bt colloid that was about to turn into gel was obtained by decreasing the pH value. The coal samples were placed in the critical LMP-Bt colloid/CMC-Na colloid for 30 s. Then, the coal samples were removed from the colloid and kept until no more colloid fell from the surface of the coal. These coal samples were weighed and denoted as mb. Each test was repeated three times.
- (4)
- Calculation: the adhesion rates of the two kinds of colloids were calculated by the Equation (5).
4.5.6. Thermal Stability
- (1)
- Sample preparation: the LMP-Bt colloid was mixed with 0.2% acetic acid solution to adjust its pH value to 6 for gelation.
- (2)
- Thermogravimetric differential scanning calorimetry (TG-DSC) experiments were conducted using the STA 449 F5 thermogravimetric analyzer (Netzsch, Bavaria, Germany) with the temperature ranging from 30 to 900 C° and a heating rate of 10℃/min. The test atmosphere was air.
4.5.7. Inhibition
- (1)
- The coal was broken into particles with a diameter of 2~3 mm. Two groups of coal samples (10 g) were obtained. One coal sample was placed in a beaker. The LMP-Bt colloid was added to the beaker to cover the upper layer of the coal sample. Then, 0.2% acetic acid solution was added dropwise until the LMP-Bt colloid underwent gelation. The other sample was not processed.
- (2)
- TG-DSC experiments were conducted on the two groups of coal samples using the thermogravimetric analyzer with the temperature ranging from 30 to 900 C° and a heating rate of 10 C°/min. The test atmosphere was air.
Author Contributions
Funding
Institutional Review Board Statement
Informed Consent Statement
Data Availability Statement
Acknowledgments
Conflicts of Interest
References
- Deng, J.; Xiao, Y.; Lu, J.; Wen, H.; Jin, Y. Application of composite fly ash gel to extinguish outcrop coal fires in China. Nat. Hazards 2015, 79, 881–898. [Google Scholar] [CrossRef]
- Shi, Q.; Qin, B.; Hao, Y.; Li, H. Experimental investigation of the flow and extinguishment characteristics of gel-stabilized foam used to control coal fire. Energy 2022, 247, 123484. [Google Scholar] [CrossRef]
- He, X.; Yang, X.; Luo, Z.; Guan, T. Application of unmanned aerial vehicle (UAV) thermal infrared remote sensing to identify coal fires in the Huojitu coal mine in Shenmu city, China. Sci. Rep. 2020, 10, 13895. [Google Scholar] [CrossRef] [PubMed]
- Adamus, A.; Šancer, J.; Guřanová, P.; Zubiček, V. An investigation of the factors associated with interpretation of mine atmosphere for spontaneous combustion in coal mines. Fuel Process. Technol. 2011, 92, 663–670. [Google Scholar] [CrossRef]
- Makwarela, M.; Bada, S.; Falcon, R. Co-firing combustion characteristics of different ages of Bambusa balcooa relative to a high ash coal. Renew. Energy 2017, 105, 656–664. [Google Scholar] [CrossRef]
- Qi, X.; Xin, H.; Wang, D.; Qi, G. A rapid method for determining the R70 self-heating rate of coal. Thermochim. Acta 2013, 571, 21–27. [Google Scholar] [CrossRef]
- Qin, B.; Wang, H.; Yang, J.; Liu, L. Large-area goaf fires: A numerical method for locating high-temperature zones and assessing the effect of liquid nitrogen fire control. Environ. Earth Sci. 2016, 75, 1396. [Google Scholar] [CrossRef]
- Szurgacz, D.; Tutak, M.; Brodny, J.; Sobik, L.; Zhironkina, O. The Method of Combating Coal Spontaneous Combustion Hazard in Goafs—A Case Study. Energies 2020, 13, 4538. [Google Scholar] [CrossRef]
- Wang, S.; Li, X.; Wang, D. Mining-induced void distribution and application in the hydro-thermal investigation and control of an underground coal fire: A case study. Process. Saf. Environ. Prot. 2016, 102, 734–756. [Google Scholar] [CrossRef]
- Yan, L.; Wen, H.; Liu, W.; Jin, Y.; Liu, Y.; Li, C. Adiabatic spontaneous coal combustion period derived from the thermal effect of spontaneous combustion. Energy 2021, 239, 122101. [Google Scholar] [CrossRef]
- Li, Q.-W.; Xiao, Y.; Zhong, K.-Q.; Shu, C.-M.; Lü, H.-F.; Deng, J.; Wu, S. Overview of commonly used materials for coal spontaneous combustion prevention. Fuel 2020, 275, 117981. [Google Scholar] [CrossRef]
- Kuenzer, C.; Stracher, G.B. Geomorphology of coal seam fires. Geomorphology 2012, 138, 209–222. [Google Scholar] [CrossRef]
- Zheng, W.; Yang, S.; Li, W.; Wang, J. Research of inorganic fire-extinguishing materials on preventing and controlling gas and coal spontaneous combustion in the narrow coal pillar and adjacent goaf. Fire Mater. 2020, 44, 660–672. [Google Scholar] [CrossRef]
- Huang, Z.; Sun, C.; Gao, Y.; Ji, Y.; Wang, H.; Zhang, Y.; Yang, R. R&D of colloid components of composite material for fire prevention and extinguishing and an investigation of its performance. Process Saf. Environ. Prot. 2018, 113, 357–368. [Google Scholar]
- Dong, K.; Wang, J.; Zhang, Y.; Liang, Z.; Shi, Q. Performance of Fire Extinguishing Gel with Strong Stability for Coal Mine. Combust. Sci. Technol. 2020, 194, 1661–1677. [Google Scholar] [CrossRef]
- Li, H.; Wu, M.; Liu, Z.; Wang, F.; Yang, N.; Lou, R.; Qin, C.; Yu, M.; Yu, Y. Permeation-diffusion characteristics and air-leakage blocking mechanism for the fire-extinguishing inorganic gel flows in loose broken coal particles. Fuel 2022, 328, 125245. [Google Scholar] [CrossRef]
- Ren, X.; Hu, X.; Xue, D.; Li, Y.; Shao, Z.; Dong, H.; Cheng, W.; Zhao, Y.; Xin, L.; Lu, W. Novel sodium silicate/polymer composite gels for the prevention of spontaneous combustion of coal. J. Hazard. Mater. 2019, 371, 643–654. [Google Scholar] [CrossRef]
- Guo, Q.; Ren, W.; Zhu, J.; Shi, J. Study on the composition and structure of foamed gel for fire prevention and extinguishing in coal mines. Process. Saf. Environ. Prot. 2019, 128, 176–183. [Google Scholar] [CrossRef]
- Qiao, J.; Hu, X.-M.; Liang, Y.-T.; Zhang, Q.; Wang, W.; Zhao, Y.-Y.; Ju, S.; Tian, F.-C. Preparation and characterization of PVA-H18 gel foam for preventing spontaneous combustion of coal based on interfacial self-assembly. Fuel 2022, 327, 125081. [Google Scholar] [CrossRef]
- Xue, D.; Hu, X.; Cheng, W.; Wei, J.; Zhao, Y.; Shen, L. Fire prevention and control using gel-stabilization foam to inhibit spontaneous combustion of coal: Characteristics and engineering applications. Fuel 2020, 264, 116903. [Google Scholar] [CrossRef]
- Lu, W.; Zhang, X.; Yuan, Y.; Qi, G.; Hu, X.; Li, J.; Liang, Y.; Guo, B. Study on the characteristics and mechanism of a new type of antioxidant gel foam for coal spontaneous combustion prevention. Colloids Surf. A Physicochem. Eng. Asp. 2021, 628, 127254. [Google Scholar] [CrossRef]
- Xue, D.; Hu, X.; Cheng, W.; Wu, M.; Shao, Z.; Li, Y.; Zhao, Y.; Zhang, K. Carbon dioxide sealing-based inhibition of coal spontaneous combustion: A temperature-sensitive micro-encapsulated fire-retardant foamed gel. Fuel 2020, 266, 117036. [Google Scholar] [CrossRef]
- Cheng, W.; Hu, X.; Xie, J.; Zhao, Y. An intelligent gel designed to control the spontaneous combustion of coal: Fire prevention and extinguishing properties. Fuel 2017, 210, 826–835. [Google Scholar] [CrossRef]
- Li, Y.; Hu, X.; Cheng, W.; Shao, Z.; Xue, D.; Zhao, Y.; Lu, W. A novel high-toughness, organic/inorganic double-network fire-retardant gel for coal-seam with high ground temperature. Fuel 2019, 263, 116779. [Google Scholar] [CrossRef]
- Ma, L.; Huang, X.; Sheng, Y.; Liu, X.; Wei, G. Experimental Study on Thermosensitive Hydrogel Used to Extinguish Class A Fire. Polymers 2021, 13, 367. [Google Scholar] [CrossRef]
- Li, S.; Zhou, G.; Wang, Y.; Jing, B.; Qu, Y. Synthesis and characteristics of fire extinguishing gel with high water absorption for coal mines. Process. Saf. Environ. Prot. 2019, 125, 207–218. [Google Scholar] [CrossRef]
- Han, C.; Nie, S.; Liu, Z.; Liu, S.; Zhang, H.; Li, J.; Zhang, H.; Wang, Z. A novel biomass sodium alginate gel foam to inhibit the spontaneous combustion of coal. Fuel 2021, 314, 122779. [Google Scholar] [CrossRef]
- Caroço, R.F.; Kim, B.; Santacoloma, P.A.; Abildskov, J.; Lee, J.H.; Huusom, J.K. Analysis and model-based optimization of a pectin extraction process. J. Food Eng. 2018, 244, 159–169. [Google Scholar] [CrossRef]
- Vithanage, C.; Grimson, M.; Wills, P.; Harrison, P.; Smith, B. Rheological and structural properties of high-methoxyl esterified, low-methoxyl esterified and low-methoxyl amidated pectin gels. J. Texture Stud. 2010, 41, 899–927. [Google Scholar] [CrossRef]
- Wang, H.; Fei, S.; Wang, Y.; Zan, L.; Zhu, J. Comparative study on the self-assembly of pectin and alginate molecules regulated by calcium ions investigated by atomic force microscopy. Carbohydr. Polym. 2019, 231, 115673. [Google Scholar] [CrossRef]
- Ventura, I.; Jammal, J.; Bianco-Peled, H. Insights into the nanostructure of low-methoxyl pectin–calcium gels. Carbohydr. Polym. 2013, 97, 650–658. [Google Scholar] [CrossRef]
- Yuliarti, O.; Hoon, A.L.S.; Chong, S.Y. Influence of pH, pectin and Ca concentration on gelation properties of low-methoxyl pectin extracted from Cyclea barbata Miers. Food Struct. 2017, 11, 16–23. [Google Scholar] [CrossRef]
- Cao, L.; Lu, W.; Mata, A.; Nishinari, K.; Fang, Y. Egg-box model-based gelation of alginate and pectin: A review. Carbohydr. Polym. 2020, 242, 116389. [Google Scholar] [CrossRef]
- Pavlovic, I.; Pérez, M.; Barriga, C.; Ulibarri, M. Adsorption of Cu2+, Cd2+ and Pb2+ ions by layered double hydroxides intercalated with the chelating agents diethylenetriaminepentaacetate and meso-2,3-dimercaptosuccinate. Appl. Clay Sci. 2009, 43, 125–129. [Google Scholar] [CrossRef]
- Al-Degs, Y.S.; Tutunju, M.F.; Shawabkeh, R.A. The feasibility of using diatomite and Mn–diatomite for Remediation of Pb2+, Cu2+, and Cd2+ from water. Sep. Sci. Technol. 2000, 35, 2299–2310. [Google Scholar] [CrossRef]
- Cheng, W.-M.; Hu, X.-M.; Zhao, Y.-Y.; Wu, M.-Y.; Hu, Z.-X.; Yu, X.-T. Preparation and swelling properties of poly (acrylic acid-co-acrylamide) composite hydrogels. e-Polymers 2017, 17, 95–106. [Google Scholar] [CrossRef]
- Farrokhi-Rad, M.; Mohammadalipour, M.; Shahrabi, T. Electrophoretically deposited halloysite nanotubes coating as the adsorbent for the removal of methylene blue from aqueous solution. J. Eur. Ceram. Soc. 2018, 38, 3650–3659. [Google Scholar] [CrossRef]
- Ström, A.; Schuster, E.; Goh, S.M. Rheological characterization of acid pectin samples in the absence and presence of monovalent ions. Carbohydr. Polym. 2014, 113, 336–343. [Google Scholar] [CrossRef]
- Pan, M.-K.; Zhou, F.-F.; Liu, Y.; Wang, J.-H. Na+-induced gelation of a low-methoxyl pectin extracted from Premna microphylla Turcz. Food Hydrocoll. 2020, 110, 106153. [Google Scholar] [CrossRef]
- Zhang, Y.-N.; Chen, L.; Deng, J.; Zhao, J.-Y.; Li, H.-T.; Yang, H. Influence of granularity on thermal behaviour in the process of lignite spontaneous combustion. J. Therm. Anal. Calorim. 2018, 135, 2247–2255. [Google Scholar] [CrossRef]
- Zhou, C.; Tang, Y. A novel sodium carboxymethyl ellulose/aluminium citrate gel for extinguishing spontaneous fire in coal mines. Fire Mater. 2018, 42, 760–769. [Google Scholar] [CrossRef]














| Experiment ID | Exp-1 | Exp-2 | Exp-3 | Exp-4 | Exp-5 | Exp-6 | Exp-7 | Exp-8 | Exp-9 | |
|---|---|---|---|---|---|---|---|---|---|---|
| Group | ||||||||||
| First group | 6.5 | 6.5 | 7.5 | 6.5 | 7.0 | 7.5 | 6.5 | 7.5 | 7.5 | |
| Second group | 6.5 | 7.0 | 7.5 | 6.5 | 7.0 | 7.5 | 6.5 | 7.0 | 8.0 | |
| Factor | LMP Content | Ca-Bt Content | Na-Bt Content | |
|---|---|---|---|---|
| Level | ||||
| L-1 | 6.92 | 6.50 | 7.08 | |
| L-2 | 7.00 | 7.00 | 7.00 | |
| L-3 | 7.17 | 7.58 | 7.00 | |
| Deviation Point | Quadratic Sum | DOF | Mean Square | F | p | Significance |
|---|---|---|---|---|---|---|
| LMP content | 0.194 | 2 | 0.097 | 2.333 | 0.153 | - |
| Ca-Bt content | 3.528 | 2 | 1.764 | 42.333 | 0.000 | ** |
| Na-Bt content | 0.028 | 2 | 0.014 | 0.333 | 0.725 | - |
| Blank group | 0.111 | 2 | 0.056 | 1.333 | 0.311 | - |
| Residual Error | 0.375 | 9 | 0.042 | - | - | - |
| Experiment ID | Ca-Bt Content, g/L | Average Viscosity, Pa∙s |
|---|---|---|
| Exp-a | 20 | 48.16 |
| Exp-b | 30 | 70.03 |
| Exp-c | 40 | 115.01 |
| Experiment ID | LMP Content, g/L | Average Viscosity, Pa∙s |
|---|---|---|
| Exp-d | 8 | 53.42 |
| Exp-b | 10 | 70.03 |
| Exp-e | 12 | 52.77 |
| Experiment ID | /% | /% |
|---|---|---|
| Wtr-1 | 57.99 | 59.53 |
| Wtr-2 | 59.75 | |
| Wtr-3 | 59.64 | |
| Wtr-4 | 60.49 | |
| Wtr-5 | 59.77 |
| Component | Specific Surface Area, |
|---|---|
| Coal | 7.56 |
| Coal + LMP-Bt | 5.34 |
| Sample | ||||
|---|---|---|---|---|
| Sample 1 (Coal + LMP-Bt) | 6.51 | 10.47 | 60.83 | 65.10 |
| Sample 2 (Coal + LMP-Bt) | 6.52 | 10.93 | 67.64 | |
| Sample 3 (Coal + LMP-Bt) | 6.36 | 10.61 | 66.82 | |
| Sample 4 (Coal + CMC-Na) | 6.62 | 7.62 | 15.11 | 16.14 |
| Sample 5 (Coal + CMC-Na) | 6.52 | 7.52 | 15.34 | |
| Sample 6 (Coal + CMC-Na) | 6.45 | 7.61 | 17.98 |
| Factor | LMP Content, g/L | Ca-Bt Content, g/L | Na-Bt Content, g/L | |
|---|---|---|---|---|
| Level | ||||
| L-1 | 8 | 20 | 20 | |
| L-2 | 10 | 30 | 30 | |
| L-3 | 12 | 40 | 40 | |
| Experiment ID | LMP Content Level | Ca-Bt Content Level | Na-Bt Content Level |
|---|---|---|---|
| Exp-1 | L-1 | L-1 | L-1 |
| Exp-2 | L-1 | L-2 | L-2 |
| Exp-3 | L-1 | L-3 | L-3 |
| Exp-4 | L-2 | L-1 | L-2 |
| Exp-5 | L-2 | L-2 | L-3 |
| Exp-6 | L-2 | L-3 | L-1 |
| Exp-7 | L-3 | L-1 | L-3 |
| Exp-8 | L-3 | L-2 | L-1 |
| Exp-9 | L-3 | L-3 | L-2 |
| Experiment ID | LMP Content, g/L | Ca-Bt Content, g/L | Na-Bt Content, g/L | pH |
|---|---|---|---|---|
| Exp-a | 10 | 20 | 30 | 6 |
| Exp-b | 10 | 30 | 30 | 6 |
| Exp-c | 10 | 40 | 30 | 6 |
| Exp-d | 8 | 30 | 30 | 6 |
| Exp-e | 12 | 30 | 30 | 6 |
| Exp-f | 10 | 30 | 30 | 9 |
Disclaimer/Publisher’s Note: The statements, opinions and data contained in all publications are solely those of the individual author(s) and contributor(s) and not of MDPI and/or the editor(s). MDPI and/or the editor(s) disclaim responsibility for any injury to people or property resulting from any ideas, methods, instructions or products referred to in the content. |
© 2023 by the authors. Licensee MDPI, Basel, Switzerland. This article is an open access article distributed under the terms and conditions of the Creative Commons Attribution (CC BY) license (https://creativecommons.org/licenses/by/4.0/).
Share and Cite
Wang, Y.; Zheng, Q.; Su, H.; Huang, Z.; Wang, G. Synthesis and Characteristics of a pH-Sensitive Sol-Gel Transition Colloid for Coal Fire Extinguishing. Gels 2023, 9, 69. https://doi.org/10.3390/gels9010069
Wang Y, Zheng Q, Su H, Huang Z, Wang G. Synthesis and Characteristics of a pH-Sensitive Sol-Gel Transition Colloid for Coal Fire Extinguishing. Gels. 2023; 9(1):69. https://doi.org/10.3390/gels9010069
Chicago/Turabian StyleWang, Yiru, Qinglin Zheng, Hetao Su, Zijun Huang, and Gengyu Wang. 2023. "Synthesis and Characteristics of a pH-Sensitive Sol-Gel Transition Colloid for Coal Fire Extinguishing" Gels 9, no. 1: 69. https://doi.org/10.3390/gels9010069
APA StyleWang, Y., Zheng, Q., Su, H., Huang, Z., & Wang, G. (2023). Synthesis and Characteristics of a pH-Sensitive Sol-Gel Transition Colloid for Coal Fire Extinguishing. Gels, 9(1), 69. https://doi.org/10.3390/gels9010069

