Response Surface Methodology for Optimization of Buspirone Hydrochloride-Loaded In Situ Gel for Pediatric Anxiety
Abstract
:1. Introduction
2. Results and Discussion
2.1. DSC Studies
2.2. Physicochemical Evaluation of In Situ Gelling Solutions
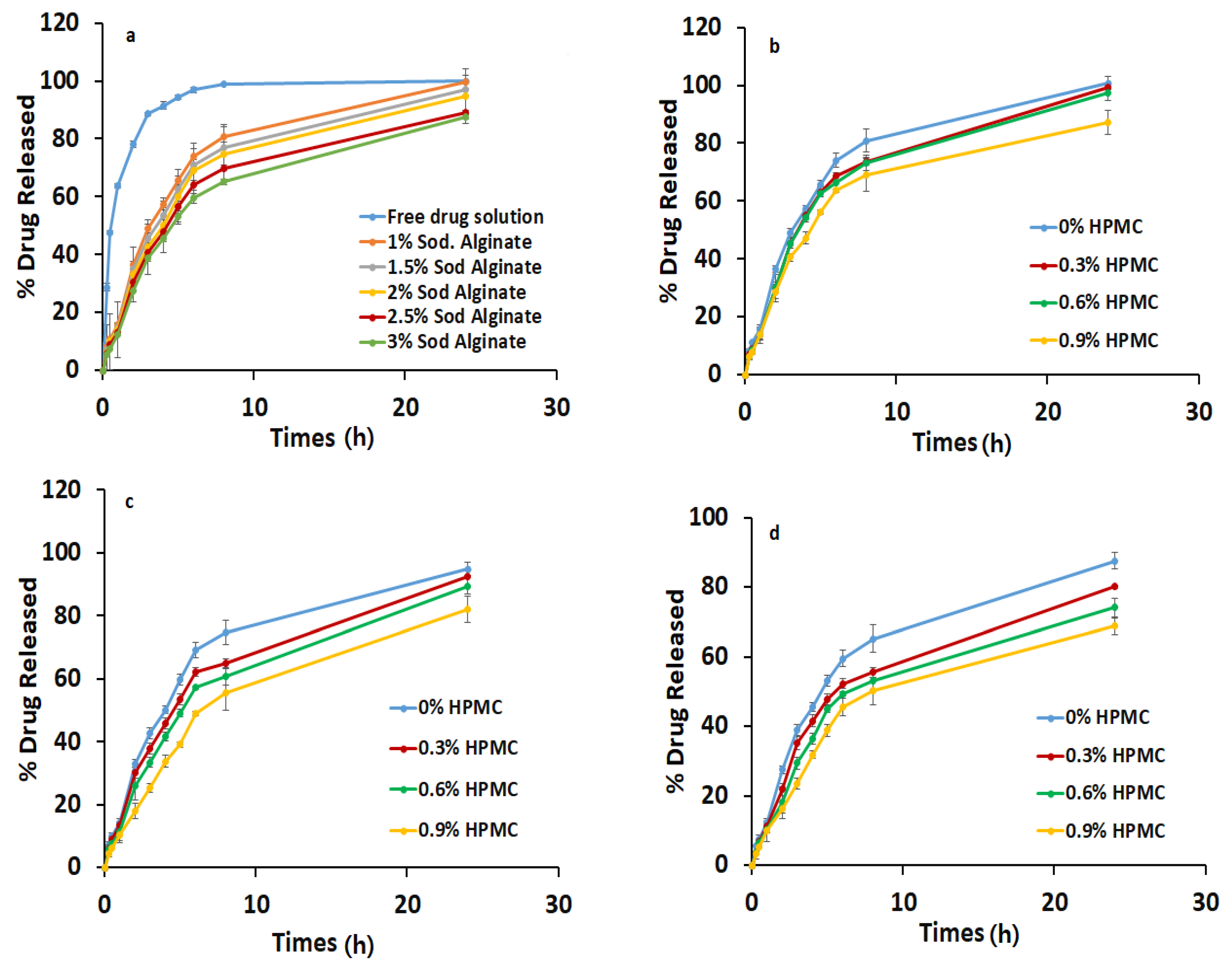
2.3. In Vitro Release of BH from In Situ Forming Gels
2.3.1. Effect of Sodium Alginate Concentration on the In Vitro Release of BH from In Situ Gelling Formulations
2.3.2. Effect of HPMC Concentration on the In Vitro Release of BH from In Situ Gelling Formulations
2.4. Data Analysis
2.4.1. Full Factorial Experimental Design
2.4.2. The Optimum Formulation
2.5. Bioavailability of Orally Administered BH
3. Conclusions
4. Materials and Methods
4.1. Materials
4.2. Preparation of In Situ Gelling Solution
4.3. Differential Scanning Calorimetry Studies (DSC)
4.4. Determination of Drug Content
4.5. Measurement of pH
4.6. Gelling Capacity
4.7. Measurement of Viscosity
4.8. In Vitro Drug Release Study from In Situ Gels
4.9. Data Analysis
4.9.1. Factorial Experimental Design
4.9.2. Statistics
4.10. Bioavailability Study of BH after Oral Administration to Experimental Animals
Supplementary Materials
Author Contributions
Funding
Institutional Review Board Statement
Informed Consent Statement
Data Availability Statement
Conflicts of Interest
References
- Sweetman, S.C. Martindale: The Complete Drug Reference; Pharmaceutical Press: London, UK, 2005. [Google Scholar]
- Rathod, H.; Patel, V.; Modasiya, M. In Situgel: Development, Evaluation and Optimization Using 3 2 Factorial Design. J. Pharm. Sci. Res. 2011, 3, 1156. [Google Scholar]
- Takka, S.; Sakr, A.; Goldberg, A. Development and validation of an in vitro–in vivo correlation for buspirone hydrochloride extended release tablets. J. Control. Release 2003, 88, 147–157. [Google Scholar] [CrossRef]
- Andrade, C. Sustained-release, extended-release, and other time-release formulations in neuropsychiatry. J. Clin. Psychiatry 2015, 76, 20558. [Google Scholar] [CrossRef] [PubMed] [Green Version]
- Remya, P.; Damodharan, N.; Venkata, M. Oral Sustained Delivery of Ranitidine From In-Situ Gelling Sodium-Alginate Formulation. J. Chem. Pharm. Res. 2011, 3, 814–821. [Google Scholar]
- Batchelor, H.K.; Marriott, J.F. Formulations for children: Problems and solutions. Br. J. Clin. Pharmacol. 2015, 79, 405–418. [Google Scholar] [CrossRef] [PubMed] [Green Version]
- Kaur, P.; Garg, T.; Rath, G.; Goyal, A.K. In situ nasal gel drug delivery: A novel approach for brain targeting through the mucosal membrane. Artif. Cells Nanomed. Biotechnol. 2016, 44, 1167–1176. [Google Scholar] [CrossRef] [PubMed]
- Vigani, B.; Rossi, S.; Sandri, G.; Bonferoni, M.C.; Caramella, C.M.; Ferrari, F. Recent advances in the development of in situ gelling drug delivery systems for non-parenteral administration routes. Pharmaceutics 2020, 12, 859. [Google Scholar] [CrossRef]
- Modasiya, M.K.; Prajapati, B.G.; Patel, V.M.; Patel, J.K. Sodium alginate based insitu gelling system of famotidine. J. Sci. Technol. 2010, 5, 27–42. [Google Scholar]
- Supare, V.; Wadher, K.; Umekar, M. Experimental Design: Approaches and Applications in Development of Pharmaceutical Drug Delivery System. J. Drug Deliv. Ther. 2021, 11, 154–161. [Google Scholar] [CrossRef]
- Abdallah, M.H.; Abu Lila, A.S.; Shawky, S.M.; Almansour, K.; Alshammari, F.; Khafagy, E.-S.; Makram, T.S. Experimental Design and Optimization of Nano-Transfersomal Gel to Enhance the Hypoglycemic Activity of Silymarin. Polymers 2022, 14, 508. [Google Scholar] [CrossRef]
- Kim, D.Y.; Kwon, D.Y.; Kwon, J.S.; Kim, J.H.; Min, B.H.; Kim, M.S. Stimuli-responsive injectable in situ-forming hydrogels for regenerative medicines. Polym. Rev. 2015, 55, 407–452. [Google Scholar] [CrossRef]
- Swathi, G.; Lakshmi, P. Design and optimization of hydrodynamically balanced oral in situ gel of glipizide. J. Appl. Pharm. Sci. 2015, 5, 31–38. [Google Scholar] [CrossRef]
- Jaipal, A.; Pandey, M.; Charde, S.; Raut, P.; Prasanth, K.; Prasad, R. Effect of HPMC and mannitol on drug release and bioadhesion behavior of buccal discs of buspirone hydrochloride: In-vitro and in-vivo pharmacokinetic studies. Saudi Pharm. J. 2015, 23, 315–326. [Google Scholar] [CrossRef] [PubMed] [Green Version]
- Abdelnabi, D.M.; Abdallah, M.H.; Elghamry, H.A. Buspirone hydrochloride loaded in situ nanovesicular gel as an anxiolytic nasal drug delivery system: In vitro and animal studies. AAPS PharmSciTech 2019, 20, 134. Available online: https://link.springer.com/article/10.1208/s12249-018-1211-0 (accessed on 4 March 2019). [CrossRef] [PubMed]
- Rao, K.M.; Rao, K.K.; Sudhakar, P.; Rao, K.C.; Subha, M. Synthesis and Characterization of biodegradable Poly (Vinyl caprolactam) grafted on to sodium alginate and its microgels for controlled release studies of an anticancer drug. J. Appl. Pharm. Sci. 2013, 3, 61–69. [Google Scholar]
- Chandak, A.R.; Verma, P.R.P. Design and development of hydroxypropyl methycellulose (HPMC) based polymeric films of methotrexate: Physicochemical and pharmacokinetic evaluations. Yakugaku Zasshi 2008, 128, 1057–1066. [Google Scholar] [CrossRef] [Green Version]
- Alhamdany, A.T.N.; Maraie, N.K.; Msheimsh, B.A.R. Development and in vitro/in vivo evaluation of floating in situ gelling oral liquid extended release formulation of furosemide. Pharm. Biosci. J. 2014, 2, 1–11. [Google Scholar] [CrossRef]
- El Maghraby, G.M.; Elsisi, A.E.; Elmeshad, G.A. Development of liquid oral sustained release formulations of nateglinide: In Vitro and In Vivo evaluation. J. Drug Deliv. Sci. Technol. 2015, 29, 70–77. [Google Scholar] [CrossRef]
- Pandya, K.; Aggarwal, P.; Dashora, A.; Sahu, D.; Garg, R.; Pareta, L.K.; Menaria, M.; Joshi, B. Formulation and evaluation of oral floatable in-situ gel of ranitedine hydrochloride. J. Drug Deliv. Ther. 2013, 3, 90–97. [Google Scholar] [CrossRef]
- Madan, J.R.; Adokar, B.R.; Dua, K. Development and evaluation of in situ gel of pregabalin. Int. J. Pharm. Investig. 2015, 5, 226. [Google Scholar] [CrossRef] [Green Version]
- Nokhodchi, A.; Tailor, A. In situ cross-linking of sodium alginate with calcium and aluminum ions to sustain the release of theophylline from polymeric matrices. Il Farm. 2004, 59, 999–1004. [Google Scholar] [CrossRef] [PubMed]
- Xu, H.; Shi, M. A novel in situ gel formulation of ranitidine for oral sustained delivery. Biomol. Ther. 2014, 22, 161. [Google Scholar] [CrossRef] [PubMed] [Green Version]
- Pandey, M.; Choudhury, H.; Binti Abd Aziz, A.; Bhattamisra, S.K.; Gorain, B.; Su, J.S.T.; Tan, C.L.; Chin, W.Y.; Yip, K.Y. Potential of stimuli-responsive in situ gel system for sustained ocular drug delivery: Recent progress and contemporary research. Polymers 2021, 13, 1340. [Google Scholar] [CrossRef] [PubMed]
- Sharma, A.; Sharma, J.; Kaur, R.; Saini, V. Development and characterization of in situ oral gel of spiramycin. BioMed Res. Int. 2014, 2014, 876182. [Google Scholar] [CrossRef] [PubMed] [Green Version]
- Abdallah, M.H.; Sabry, S.A.; Hasan, A.A. Enhancing Transdermal Delivery of Glimepiride Via Entrapment in Proniosomal Gel. J. Young Pharm. 2016, 8, 335. [Google Scholar] [CrossRef] [Green Version]
- Husseiny, R.A.; Lila, A.S.A.; Abdallah, M.H.; Hamed, E.E.; El-ghamry, H.A. Design, in vitro/in vivo evaluation of meclizine HCl-loaded floating microspheres targeting pregnancy-related nausea and vomiting. J. Drug Deliv. Sci. Technol. 2018, 47, 395–403. [Google Scholar] [CrossRef]
- Ibrahim, T.M.; Abdallah, M.H.; El-Megrab, N.A.; El-Nahas, H.M. Upgrading of dissolution and anti-hypertensive effect of Carvedilol via two combined approaches: Self-emulsification and liquisolid techniques. Drug Dev. Ind. Pharm. 2018, 44, 873–885. [Google Scholar] [CrossRef]
- Wamorkar, V.; Varma, M.M.; Manjunath, S. Formulation and evaluation of stomach specific in-situ gel of metoclopramide using natural, bio-degradable polymers. Int. J. Res. Pharm. Biomed. Sci. 2011, 2, 193–201. [Google Scholar]
- Abdallah, M.H.; Lila, A.S.A.; Anwer, M.K.; Khafagy, E.-S.; Mohammad, M.; Soliman, M.S. Formulation, development and evaluation of ibuprofen loaded nano-transferosomal gel for the treatment of psoriasis. J. Pharm. Res 2019, 31, 1–8. [Google Scholar] [CrossRef]
- Abdallah, M.H.; Lila, A.S.A.; Unissa, R.; Elsewedy, H.S.; Elghamry, H.A.; Soliman, M.S. Brucine-Loaded Ethosomal Gel: Design, Optimization, and Anti-inflammatory Activity. AAPS PharmSciTech 2021, 22, 269. [Google Scholar] [CrossRef]
- Ayoub, A.M.; Ibrahim, M.M.; Abdallah, M.H.; Mahdy, M.A. Sulpiride microemulsions as antipsychotic nasal drug delivery systems: In-vitro and pharmacodynamic study. J. Drug Deliv. Sci. Technol. 2016, 36, 10–22. [Google Scholar] [CrossRef]
- Abdallah, M.H.; Elsewedy, H.S.; AbuLila, A.S.; Almansour, K.; Unissa, R.; Elghamry, H.A.; Soliman, M.S. Quality by Design for Optimizing a Novel Liposomal Jojoba Oil-Based Emulgel to Ameliorate the Anti-Inflammatory Effect of Brucine. Gels 2021, 7, 219. [Google Scholar] [CrossRef] [PubMed]
- Karemore, M.N.; Avari, J.G. In-situ gel of nifedipine for preeclampsia: Optimization, in-vitro and in-vivo evaluation. J. Drug Deliv. Sci. Technol. 2019, 50, 78–89. [Google Scholar] [CrossRef]
- Bhattacharjee, A.; Das, P.J.; Dey, S.; Nayak, A.K.; Roy, P.K.; Chakrabarti, S.; Marbaniang, D.; Das, S.K.; Ray, S.; Chattopadhyay, P. Development and optimization of besifloxacin hydrochloride loaded liposomal gel prepared by thin film hydration method using 32 full factorial design. Colloids Surf. A Physicochem. Eng. Asp. 2020, 585, 124071. [Google Scholar] [CrossRef]
- Abdallah, M.H. Box-behnken design for development and optimization of acetazolamide microspheres. India 2014, 5, 1228–1239. [Google Scholar] [CrossRef]
- Abdallah, M.H.; Lila, A.S.A.; Unissa, R.; Elsewedy, H.S.; Elghamry, H.A.; Soliman, M.S. Preparation, characterization and evaluation of anti-inflammatory and anti-nociceptive effects of brucine-loaded nanoemulgel. Colloids Surf. B Biointerfaces 2021, 205, 111868. [Google Scholar] [CrossRef] [PubMed]
- Kumar, Y.S.; Adukondalu, D.; Latha, A.B.; Vishnu, Y.V.; Ramesh, G.; Kumar, R.S.; Rao, Y.M.; Sarangapani, M. Effect of pomegranate pretreatment on the oral bioavailability of buspirone in male albino rabbits. DARU J. Fac. Pharm. Tehran Univ. Med. Sci. 2011, 19, 266. [Google Scholar]
- Bshara, H.; Osman, R.; Mansour, S.; El-Shamy, A.E.-H.A. Chitosan and cyclodextrin in intranasal microemulsion for improved brain buspirone hydrochloride pharmacokinetics in rats. Carbohydr. Polym. 2014, 99, 297–305. [Google Scholar] [CrossRef]
- Ibrahim, M.M.; Ayoub, A.M.; Mahdy, M.A.E.; Abdallah, M.H. Solid Lipid Nanoparticles of Sulpiride: Improvement of Pharmacokinetic Properties. Int. J. Pharm. Investig. 2019, 9, 122–127. [Google Scholar] [CrossRef] [Green Version]







| Na Alginate Conc. % w/v | HPMC K-15M Conc. % (w/v) | Viscosity (cP) | pH | Drug Content % (w/v) | Gelling Capacity |
|---|---|---|---|---|---|
| 1 | 0.0 | 30.00 ± 0.50 | 6.90 | 96.00 ± 0.20 | ++ |
| 0.3 | 38.33 ± 1.53 | 7.25 | 98.96 ± 0.37 | ++ | |
| 0.6 | 50.33 ± 3.06 | 7.30 | 97.20 ± 0.55 | +++ | |
| 0.9 | 52.33 ± 0.58 | 7.41 | 95.89 ± 0.63 | +++ | |
| 1.5 | 0.0 | 49.00 ± 3.60 | 7.32 | 99.00 ± 1.15 | ++ |
| 0.3 | 103.6 ± 3.00 | 7.40 | 99.27 ± 0.24 | +++ | |
| 0.6 | 125.0 ± 2.55 | 7.46 | 98.85 ± 0.62 | +++ | |
| 0.9 | 139.6 ± 1.40 | 7.50 | 89.60 ± 0.46 | +++ | |
| 2 | 0.0 | 100.5 ± 0.44 | 7.44 | 98.00 ± 0.88 | +++ |
| 0.3 | 169.0 ± 1.00 | 7.53 | 96.40 ± 0.38 | +++ | |
| 0.6 | 199.7 ± 1.53 | 7.55 | 99.52 ± 0.42 | +++ | |
| 0.9 | 227.0 ± 1.00 | 7.62 | 92.40 ± 0.49 | +++ | |
| 2.5 | 0.0 | 177.0 ± 2.00 | 7.70 | 98.00 ± 1.36 | +++ |
| 0.3 | 308.0 ± 2.32 | 7.73 | 95.20 ± 0.57 | +++ | |
| 0.6 | 377.0 ± 2.88 | 7.75 | 92.70 ± 0.90 | +++ | |
| 0.9 | 401.4 ± 3.00 | 7.77 | 90.50 ± 0.53 | +++ | |
| 3 | 0.0 | 300.0 ± 4.00 | 7.70 | 97.00 ± 0.36 | +++ |
| 0.3 | 447.0 ± 6.08 | 7.76 | 85.00 ± 0.24 | +++ | |
| 0.6 | 555.0 ± 5.00 | 7.77 | 87.00 ± 0.78 | +++ | |
| 0.9 | 575.7 ± 5.13 | 7.78 | 88.42 ± 0.73 | +++ |
| Formulation No. | Independent Variables | Dependent Variables | |||||
|---|---|---|---|---|---|---|---|
| X1 | X2 | X3 | Observed Value of Y1 | Predicted Value of Y1 | Observed Value of Y2 | Predicted Value of Y2 | |
| 1 | 3 | 0.9 | 0.15 | 1660 ± 135 | 1647.7 | 35.25 ± 0.68 | 35.69 |
| 2 | 3 | 0.9 | 0.11 | 1020 ± 98 | 991.73 | 41.41 ± 1.07 | 41.15 |
| 3 | 3 | 0.9 | 0.075 | 575 ± 45 | 613.00 | 45.48 ± 0.74 | 45.49 |
| 4 | 3 | 0.6 | 0.15 | 1130 ± 103 | 1113.1 | 40.61 ± 1.87 | 40.38 |
| 5 | 3 | 0.6 | 0.11 | 610 ± 40 | 693.72 | 45.41 ± 0.97 | 45.08 |
| 6 | 3 | 0.6 | 0.075 | 555 ± 37 | 494.63 | 49.19 ± 0.92 | 49.39 |
| 7 | 3 | 0.3 | 0.15 | 787 ± 30 | 814.33 | 45.88 ± 1.89 | 45.71 |
| 8 | 3 | 0.3 | 0.11 | 609 ± 29 | 559.21 | 48.20 ± 0.80 | 48.73 |
| 9 | 3 | 0.3 | 0.075 | 447 ± 16 | 467.54 | 52.26 ± 1.67 | 52.09 |
| 10 | 2 | 0.9 | 0.15 | 509 ± 21 | 526.24 | 39.38 ± 1.17 | 38.79 |
| 11 | 2 | 0.9 | 0.11 | 246 ± 12 | 269.20 | 45.00 ± 0.03 | 44.86 |
| 12 | 2 | 0.9 | 0.075 | 227 ± 12 | 193.72 | 48.98 ± 1.65 | 49.35 |
| 13 | 2 | 0.6 | 0.15 | 299 ± 12 | 309.93 | 45.40 ± 0.83 | 45.92 |
| 14 | 2 | 0.6 | 0.11 | 217 ± 10 | 192.67 | 50.95 ± 1.92 | 51.70 |
| 15 | 2 | 0.6 | 0.075 | 199 ± 13 | 200.07 | 57.17 ± 1.05 | 56.64 |
| 16 | 2 | 0.3 | 0.15 | 261 ± 11 | 238.50 | 53.35 ± 1.11 | 53.36 |
| 17 | 2 | 0.3 | 0.11 | 197 ± 13 | 188.79 | 58.42 ± 0.75 | 57.95 |
| 18 | 2 | 0.3 | 0.075 | 169 ± 13 | 206.87 | 62.33 ± 0.41 | 62.43 |
| 19 | 1 | 0.9 | 0.15 | 90 ± 1.00 | 102.07 | 56.24 ± 1.10 | 56.38 |
| 20 | 1 | 0.9 | 0.11 | 69 ± 1.00 | 40.73 | 60.38 ± 0.94 | 60.82 |
| 21 | 1 | 0.9 | 0.075 | 52 ± 0.58 | 65.28 | 63.63 ± 0.59 | 63.24 |
| 22 | 1 | 0.6 | 0.15 | 112 ± 11 | 83.93 | 59.12 ± 0.21 | 58.87 |
| 23 | 1 | 0.6 | 0.11 | 57 ± 1.00 | 65.61 | 63.99 ± 1.22 | 63.51 |
| 24 | 1 | 0.6 | 0.075 | 50 ± 3.00 | 76.29 | 66.48 ± 0.64 | 66.85 |
| 25 | 1 | 0.3 | 0.15 | 106 ± 11 | 119.83 | 61.21 ± 1.09 | 61.36 |
| 26 | 1 | 0.3 | 0.11 | 47 ± 0.58 | 72.32 | 65.31 ± 0.46 | 65.29 |
| 27 | 1 | 0.3 | 0.075 | 38 ± 2.00 | 38.07 | 68.59 ± 1.36 | 68.64 |
| Independent Variables | Levels | ||
|---|---|---|---|
| Low (−1) | Medium (0) | High (1) | |
| X1 = Sodium alginate concentration (%). X2 = Cacl2 concentration (%). X3 = HPMC concentration (%). | 1 0.075 0.3 | 2 0.1125 0.6 | 3 0.15 0.9 |
| Dependent variables | Constraints | ||
| Y1 = Viscosity. Y2 = % Drug released after 6 h. | Minimize Prolong | ||
Publisher’s Note: MDPI stays neutral with regard to jurisdictional claims in published maps and institutional affiliations. |
© 2022 by the authors. Licensee MDPI, Basel, Switzerland. This article is an open access article distributed under the terms and conditions of the Creative Commons Attribution (CC BY) license (https://creativecommons.org/licenses/by/4.0/).
Share and Cite
Abdallah, M.H.; Abdelnabi, D.M.; Elghamry, H.A. Response Surface Methodology for Optimization of Buspirone Hydrochloride-Loaded In Situ Gel for Pediatric Anxiety. Gels 2022, 8, 395. https://doi.org/10.3390/gels8070395
Abdallah MH, Abdelnabi DM, Elghamry HA. Response Surface Methodology for Optimization of Buspirone Hydrochloride-Loaded In Situ Gel for Pediatric Anxiety. Gels. 2022; 8(7):395. https://doi.org/10.3390/gels8070395
Chicago/Turabian StyleAbdallah, Marwa H., Dina M. Abdelnabi, and Hanaa A. Elghamry. 2022. "Response Surface Methodology for Optimization of Buspirone Hydrochloride-Loaded In Situ Gel for Pediatric Anxiety" Gels 8, no. 7: 395. https://doi.org/10.3390/gels8070395
APA StyleAbdallah, M. H., Abdelnabi, D. M., & Elghamry, H. A. (2022). Response Surface Methodology for Optimization of Buspirone Hydrochloride-Loaded In Situ Gel for Pediatric Anxiety. Gels, 8(7), 395. https://doi.org/10.3390/gels8070395

