Tragacanth Gum Hydrogel-Derived Trimetallic Nanoparticles Supported on Porous Carbon Catalyst for Urea Electrooxidation
Abstract
:1. Introduction
2. Experimental
2.1. Materials and Reagents
2.2. Synthesis of NiCoFe@PC
2.3. Characterization of NiCoFe@PCs
2.4. Electrochemical Measurements
3. Results and Discussion
3.1. Characterization of the Catalyst
3.1.1. Morphology of NiCoFe@PC
3.1.2. XRD and EDX Analysis of NiCoFe@PC
3.1.3. Thermogravimetric Analysis of NiCoFe@PC
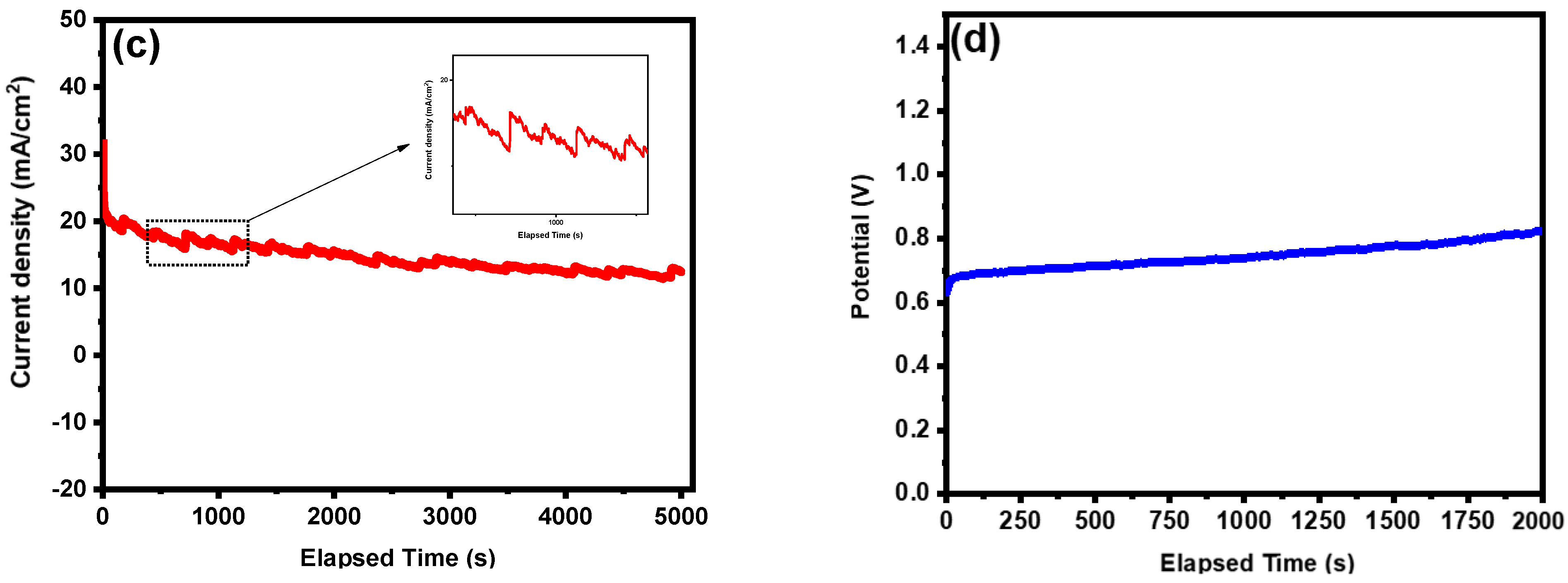
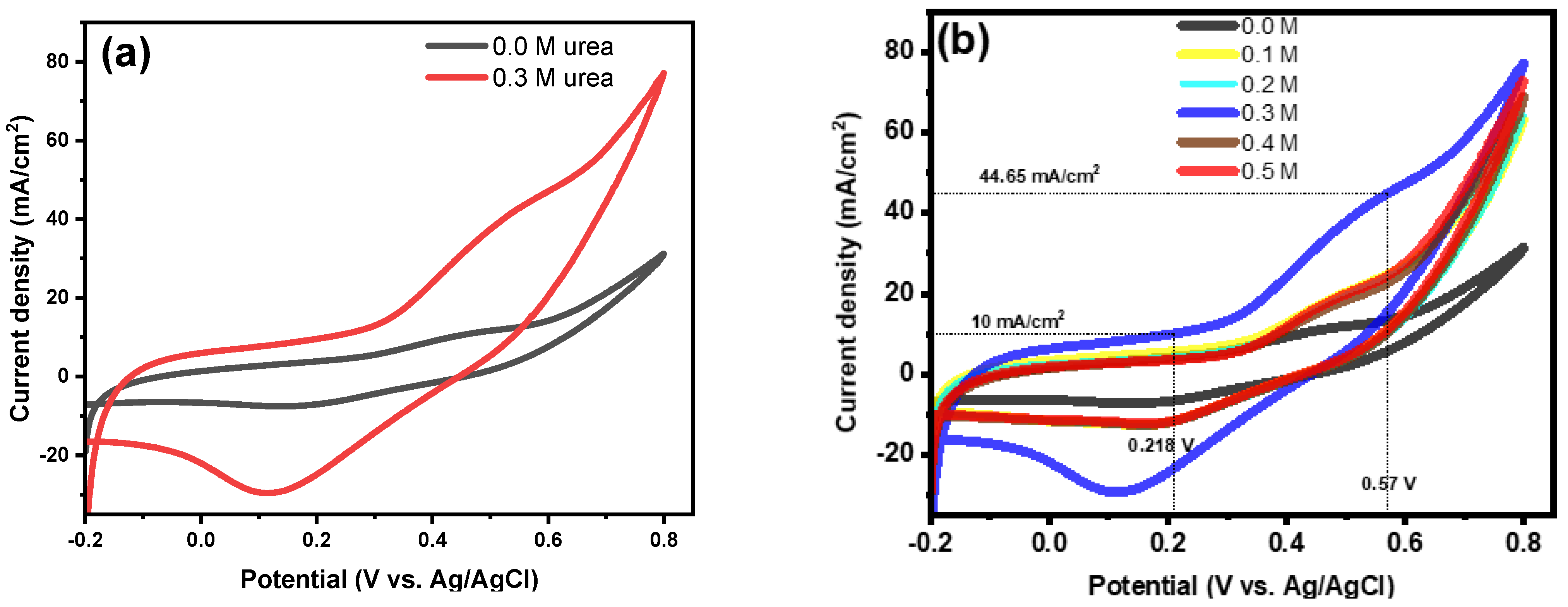
3.2. Electrochemical Activity Study
4. Conclusions
Supplementary Materials
Author Contributions
Funding
Data Availability Statement
Acknowledgments
Conflicts of Interest
References
- Schäfer, A.; Heywood, J.B.; Weiss, M.A. Future fuel cell and internal combustion engine automobile technologies: A 25-year life cycle and fleet impact assessment. Energy 2006, 31, 2064–2087. [Google Scholar] [CrossRef]
- Rollinson, A.N.; Jones, J.; Dupont, V.; Twigg, M.V. Urea as a hydrogen carrier: A perspective on its potential for safe, sustainable and long-term energy supply. Energy Environ. Sci. 2011, 4, 1216–1224. [Google Scholar] [CrossRef] [Green Version]
- Thamer, B.M.; El-Newehy, M.H.; Barakat, N.A.M.; Abdelkareem, M.A.; Al-Deyab, S.S.; Kim, H.Y. Influence of Nitrogen doping on the Catalytic Activity of Ni-incorporated Carbon Nanofibers for Alkaline Direct Methanol Fuel Cells. Electrochim. Acta 2014, 142, 228–239. [Google Scholar] [CrossRef]
- Thamer, B.M.; El-Newehy, M.H.; Al-Deyab, S.S.; Abdelkareem, M.A.; Kim, H.Y.; Barakat, N.A.M. Cobalt-incorporated, nitrogen-doped carbon nanofibers as effective non-precious catalyst for methanol electrooxidation in alkaline medium. Appl. Catal. A Gen. 2015, 498, 230–240. [Google Scholar] [CrossRef]
- Kumar, G.G.; Farithkhan, A.; Manthiram, A. Direct Urea Fuel Cells: Recent Progress and Critical Challenges of Urea Oxidation Electrocatalysis. Adv. Energy Sustain. Res. 2020, 1, 2000015. [Google Scholar] [CrossRef]
- Lan, R.; Tao, S.; Irvine, J.T.S. A direct urea fuel cell—Power from fertiliser and waste. Energy Environ. Sci. 2010, 3, 438–441. [Google Scholar] [CrossRef] [Green Version]
- Singh, R.K.; Rajavelu, K.; Montag, M.; Schechter, A. Advances in Catalytic Electrooxidation of Urea: A Review. Energy Technol. 2021, 9, 2100017. [Google Scholar] [CrossRef]
- Simka, W.; Piotrowski, J.; Nawrat, G. Influence of anode material on electrochemical decomposition of urea. Electrochim. Acta 2007, 52, 5696–5703. [Google Scholar] [CrossRef]
- Chen, J.; Zhang, W.; Li, H.; Li, W.; Zhao, D. Recent advances in TiO2-based catalysts for N2 reduction reaction. SusMat 2021, 1, 174–193. [Google Scholar] [CrossRef]
- Du, L.; Xing, L.; Zhang, G.; Liu, X.; Rawach, D.; Sun, S. Engineering of electrocatalyst/electrolyte interface for ambient ammonia synthesis. SusMat 2021, 1, 150–173. [Google Scholar] [CrossRef]
- Muhammed Safeer, N.K.; Alex, C.; Jana, R.; Datta, A.; John, N.S. Remarkable COx tolerance of Ni3+ active species in a Ni2O3 catalyst for sustained electrochemical urea oxidation. J. Mater. Chem. A 2022, 10, 4209–4221. [Google Scholar] [CrossRef]
- Li, J.; Wang, S.; Chang, J.; Feng, L. A review of Ni based powder catalyst for urea oxidation in assisting water splitting reaction. Adv. Powder Mater. 2022, 1, 100030. [Google Scholar] [CrossRef]
- Wang, L.; Liu, Z.; Zhu, S.; Shao, M.; Yang, B.; Chen, J.G. Tungsten Carbide and Cobalt Modified Nickel Nanoparticles Supported on Multiwall Carbon Nanotubes as Highly Efficient Electrocatalysts for Urea Oxidation in Alkaline Electrolyte. ACS Appl. Mater. Interfaces 2018, 10, 41338–41343. [Google Scholar] [CrossRef] [PubMed]
- Hao, Y.R.; Xue, H.; Lv, L.; Sun, J.; Guo, N.; Song, T.; Dong, H.; Zhang, J.; Wang, Q. Unraveling the synergistic effect of defects and interfacial electronic structure modulation of pealike CoFe@Fe3N to achieve superior oxygen reduction performance. Appl. Catal. B Environ. 2021, 295, 120314. [Google Scholar] [CrossRef]
- Ying, Y.; Luo, X.; Qiao, J.; Huang, H. “More is Different:” Synergistic Effect and Structural Engineering in Double-Atom Catalysts. Adv. Funct. Mater. 2021, 31, 2007423. [Google Scholar] [CrossRef]
- Hagos Gebre, S.; Getaye Sendeku, M. Trimetallic nanostructures and their applications in electrocatalytic energy conversions. J. Energy Chem. 2022, 65, 329–351. [Google Scholar] [CrossRef]
- King, R.L.; Botte, G.G. Investigation of multi-metal catalysts for stable hydrogen production via urea electrolysis. J. Power Sources 2011, 196, 9579–9584. [Google Scholar] [CrossRef]
- Yan, W.; Wang, D.; Botte, G.G. Electrochemical decomposition of urea with Ni-based catalysts. Appl. Catal. B Environ. 2012, 127, 221–226. [Google Scholar] [CrossRef]
- Basumatary, P.; Lee, U.H.; Konwar, D.; Yoon, Y.S. An efficient tri-metallic anodic electrocatalyst for urea electro-oxidation. Int. J. Hydrogen Energy 2020, 45, 32770–32779. [Google Scholar] [CrossRef]
- Yang, J.; Wang, X.; Li, B.; Ma, L.; Shi, L.; Xiong, Y.; Xu, H. Novel Iron/Cobalt-Containing Polypyrrole Hydrogel-Derived Trifunctional Electrocatalyst for Self-Powered Overall Water Splitting. Adv. Funct. Mater. 2017, 27, 1606497. [Google Scholar] [CrossRef]
- Guo, Y.; Bae, J.; Fang, Z.; Li, P.; Zhao, F.; Yu, G. Hydrogels and Hydrogel-Derived Materials for Energy and Water Sustainability. Chem. Rev. 2020, 120, 7642–7707. [Google Scholar] [CrossRef] [PubMed]
- Xie, Z.; Zhu, W.; Zhu, B.; Xia, C. FexCo0.5−xNi0.5–SDC anodes for low-temperature solid oxide fuel cells. Electrochim. Acta 2006, 51, 3052–3057. [Google Scholar] [CrossRef]
- Khalid, M.; Honorato, A.M.B.; Tremiliosi Filho, G.; Varela, H. Trifunctional catalytic activities of trimetallic FeCoNi alloy nanoparticles embedded in a carbon shell for efficient overall water splitting. J. Mater. Chem. A 2020, 8, 9021–9031. [Google Scholar] [CrossRef]
- McCrory, C.C.L.; Jung, S.; Peters, J.C.; Jaramillo, T.F. Benchmarking heterogeneous electrocatalysts for the oxygen evolution reaction. J. Am. Chem. Soc. 2013, 135, 16977–16987. [Google Scholar] [CrossRef] [PubMed]
- Wang, G.; Ye, K.; Shao, J.; Zhang, Y.; Zhu, K.; Cheng, K.; Yan, J.; Wang, G.; Cao, D. Porous Ni2P nanoflower supported on nickel foam as an efficient three-dimensional electrode for urea electro-oxidation in alkaline medium. Int. J. Hydrogen Energy 2018, 43, 9316–9325. [Google Scholar] [CrossRef]
- Theres, G.S.; Velayutham, G.; Suresh, C.; Krishnan, P.S.; Shanthi, K. Promotional effect of Ni–Co/ordered mesoporous carbon as non-noble hybrid electrocatalyst for methanol electro-oxidation. J. Appl. Electrochem. 2020, 50, 639–653. [Google Scholar] [CrossRef]
- Thamer, B.M.; El-Newehy, M.H.; Barakat, N.A.M.; Abdelkareem, M.A.; Al-Deyab, S.S.; Kim, H.Y. In-situ synthesis of Ni/N-doped CNFs-supported graphite disk as effective immobilized catalyst for methanol electrooxidation. Int. J. Hydrogen Energy 2015, 40, 14845–14856. [Google Scholar] [CrossRef]
- Xie, L.; Liu, Q.; Luo, Y.; Liu, Z.; Xu, Y.; Asiri, A.M.; Sun, X.; Xie, F. Bimetallic NiCoP Nanosheets Array for High-Performance Urea Electro-Oxidation and Less Energy-Intensive Electrolytic Hydrogen Production. ChemistrySelect 2017, 2, 10285–10289. [Google Scholar] [CrossRef]
- Zhao, L.; Chang, Y.; Jia, M.; Jia, J.; Wen, Z. Monodisperse Ni0·85Se nanocrystals on rGO for high-performance urea electrooxidation. J. Alloys Compd. 2021, 852, 156751. [Google Scholar] [CrossRef]
- Basumatary, P.; Konwar, D.; Yoon, Y.S. A novel NiCu/ZnO@MWCNT anode employed in urea fuel cell to attain superior performances. Electrochim. Acta 2018, 261, 78–85. [Google Scholar] [CrossRef]
- Barakat, N.A.M.; Amen, M.T.; Al-Mubaddel, F.S.; Karim, M.R.; Alrashed, M. NiSn nanoparticle-incorporated carbon nanofibers as efficient electrocatalysts for urea oxidation and working anodes in direct urea fuel cells. J. Adv. Res. 2019, 16, 43–53. [Google Scholar] [CrossRef] [PubMed]
- Mohamed, I.M.A.; Liu, C. Chemical design of novel electrospun CoNi/Cr nanoparticles encapsulated in C-nanofibers as highly efficient material for urea oxidation in alkaline media. Appl. Surf. Sci. 2019, 475, 532–541. [Google Scholar] [CrossRef]
- Modak, A.; Mohan, R.; Rajavelu, K.; Cahan, R.; Bendikov, T.; Schechter, A. Metal−Organic polymer-derived interconnected Fe−Ni alloy by carbon nanotubes as an advanced design of urea oxidation catalysts. ACS Appl. Mater. Interfaces 2021, 13, 8461–8473. [Google Scholar] [CrossRef] [PubMed]
- Forslund, R.P.; Mefford, J.T.; Hardin, W.G.; Alexander, C.T.; Johnston, K.P.; Stevenson, K.J. Nanostructured LaNiO3 Perovskite Electrocatalyst for Enhanced Urea Oxidation. ACS Catal. 2016, 6, 5044–5051. [Google Scholar] [CrossRef]
- Yang, D.; Gu, Y.; Yu, X.; Lin, Z.; Xue, H.; Feng, L. Nanostructured Ni2P-C as an Efficient Catalyst for Urea Electrooxidation. ChemElectroChem 2018, 5, 659–664. [Google Scholar] [CrossRef]
- Abdel Hameed, R.M.; Mohamed, I.M.A.; Al-Enizi, A.M.; Abutaleb, A.; Shaikh, S.F.; Yousef, A. Fabrication of electrospun nickel sulphide nanoparticles onto carbon nanofibers for efficient urea electro-oxidation in alkaline medium. Int. J. Hydrogen Energy 2021, 46, 12944–12960. [Google Scholar] [CrossRef]









| Catalyst | Concentration of KOH/Urea (M) | Potential at 10 mA/cm2 vs. RHE | Anodic Peak Current Density (mA/cm2) vs. RHE | Ref. |
|---|---|---|---|---|
| MnNiFe/rGO | 1.0/0.33 | - | 2.86 at 1.523 V | [19] |
| NiCoP NS/CC | 1.0/0.33 | 1.29 | 50 at 1.38 | [28] |
| Ni0.85 Se/rGO | 1.0/0.5 | 1.36 | - | [29] |
| NiCu/ZnO@MWCNT | 0.4/0.07 | 1.36 | 30.02 at 1.38 V | [30] |
| CoNiCr/CNFs | 1.0/0.33 | - | 21.34 at 1.523 V | [32] |
| NiZnCo | 5.0/0.33 | 1.34 | 24 at 1.485 | [18] |
| NiSe/CNFs | 1.0/0.33 | 1.523 | 17 at 1.623 V | [31] |
| CNT/C@FeN | 1.0/0.05 | - | 3.5 at 1.5 V | [33] |
| LaNiO3 Perovskite | 1.0/0.33 | - | 28.58 at 1.48 V | [34] |
| NiCoFe@PC | 1.0/0.3 | 1.24 | 44.65 at 1.593 V | This work |
Publisher’s Note: MDPI stays neutral with regard to jurisdictional claims in published maps and institutional affiliations. |
© 2022 by the authors. Licensee MDPI, Basel, Switzerland. This article is an open access article distributed under the terms and conditions of the Creative Commons Attribution (CC BY) license (https://creativecommons.org/licenses/by/4.0/).
Share and Cite
Thamer, B.M.; Moydeen Abdulhameed, M.; El-Newehy, M.H. Tragacanth Gum Hydrogel-Derived Trimetallic Nanoparticles Supported on Porous Carbon Catalyst for Urea Electrooxidation. Gels 2022, 8, 292. https://doi.org/10.3390/gels8050292
Thamer BM, Moydeen Abdulhameed M, El-Newehy MH. Tragacanth Gum Hydrogel-Derived Trimetallic Nanoparticles Supported on Porous Carbon Catalyst for Urea Electrooxidation. Gels. 2022; 8(5):292. https://doi.org/10.3390/gels8050292
Chicago/Turabian StyleThamer, Badr M., Meera Moydeen Abdulhameed, and Mohamed H. El-Newehy. 2022. "Tragacanth Gum Hydrogel-Derived Trimetallic Nanoparticles Supported on Porous Carbon Catalyst for Urea Electrooxidation" Gels 8, no. 5: 292. https://doi.org/10.3390/gels8050292
APA StyleThamer, B. M., Moydeen Abdulhameed, M., & El-Newehy, M. H. (2022). Tragacanth Gum Hydrogel-Derived Trimetallic Nanoparticles Supported on Porous Carbon Catalyst for Urea Electrooxidation. Gels, 8(5), 292. https://doi.org/10.3390/gels8050292

