Properties of Cellulose Pulp and Polyurethane Composite Films Fabricated with Curcumin by Using NMMO Ionic Liquid
Abstract
:1. Introduction
2. Experimental Section
2.1. Materials
2.2. Preparation of CP/PU/Curcumin Composite Films
3. Results and Discussion
3.1. FT-IR Spectroscopy
3.2. XRD Analysis
3.3. UV Spectroscopy
3.4. Water Vapor Permeability
3.5. Swelling Ratio
3.6. Contact Angle
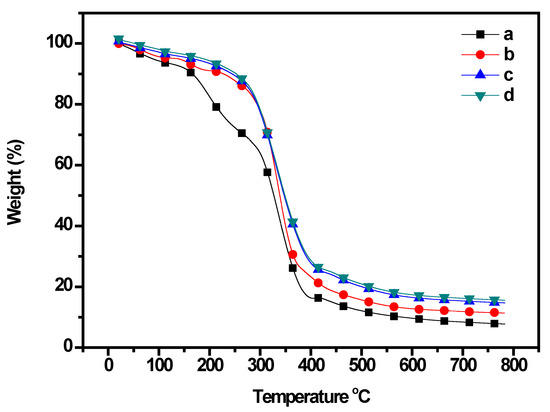
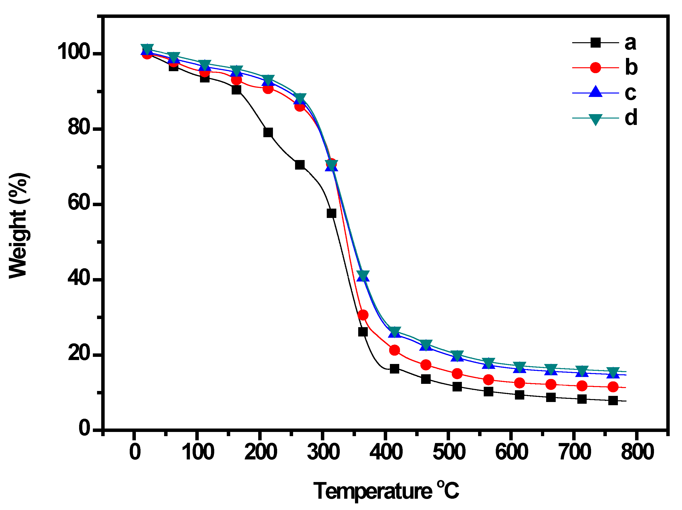
3.7. Thermogravimetric Analysis
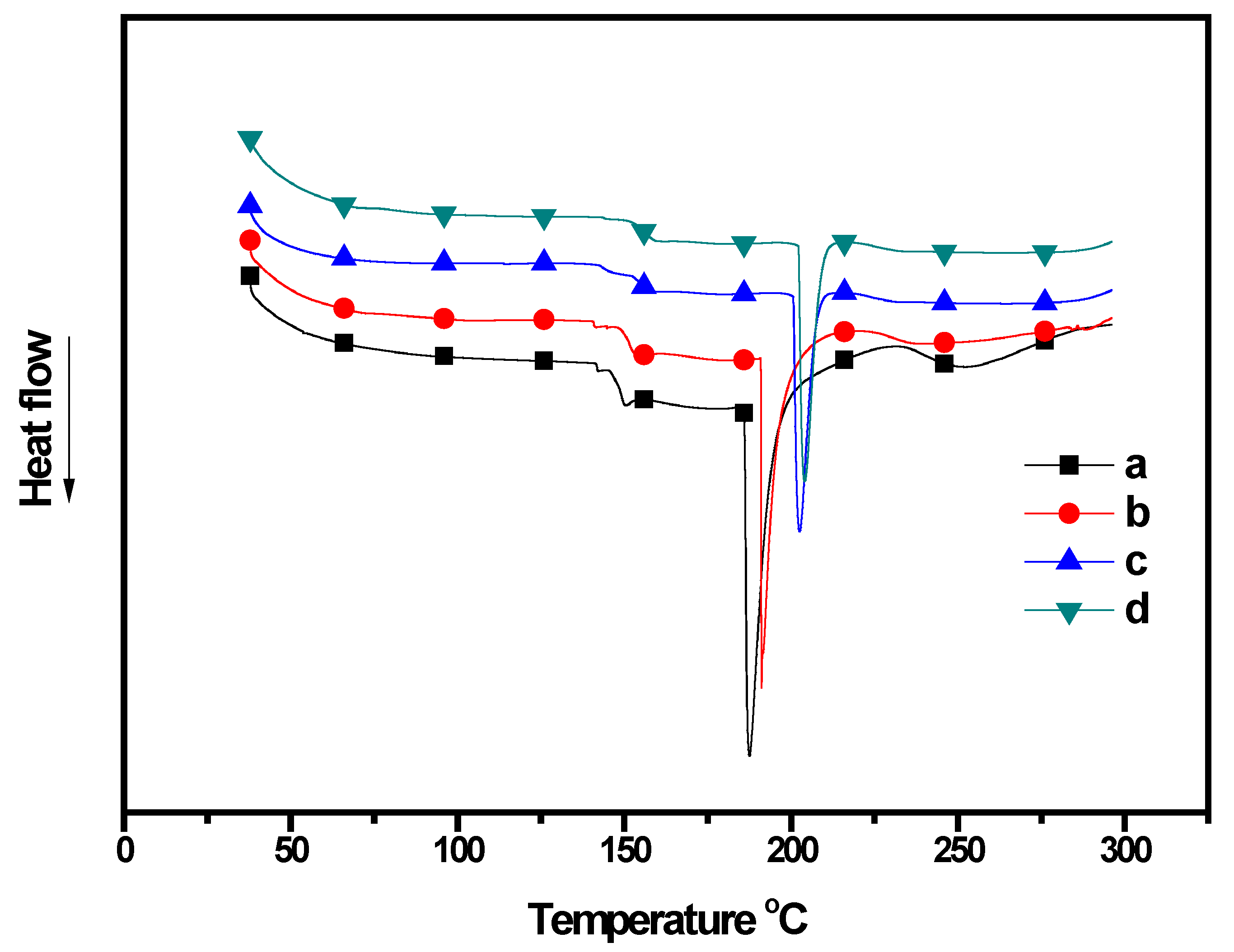
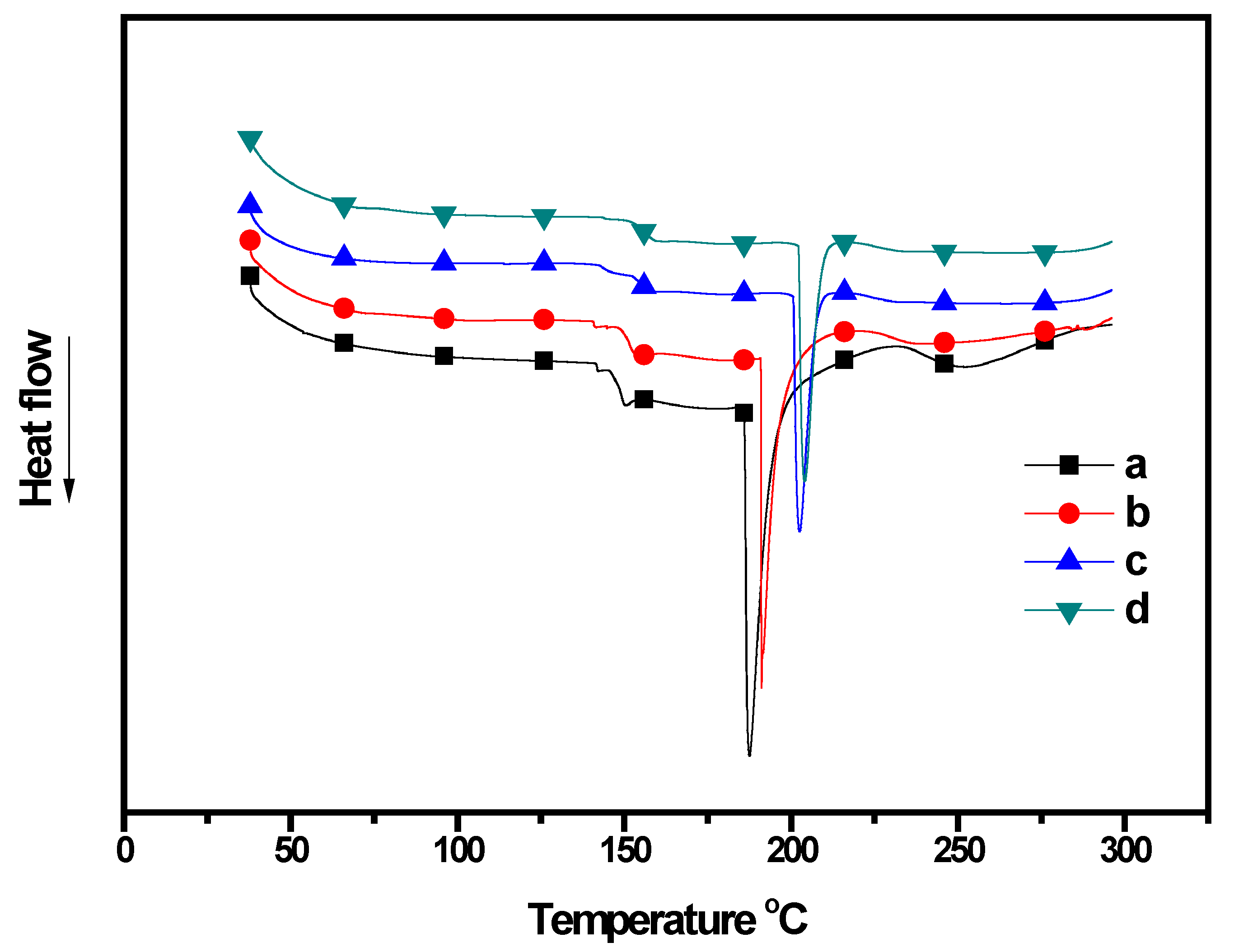
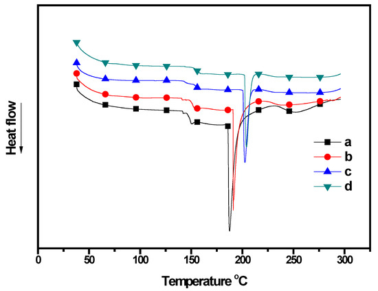
3.8. Differential Scanning Calorimetry
3.9. Mechanical Properties
3.10. SEM Analysis
3.11. Antioxidant Activity
3.12. Cytotoxicity
4. Conclusions
Supplementary Materials
Author Contributions
Funding
Institutional Review Board Statement
Informed Consent Statement
Data Availability Statement
Acknowledgments
Conflicts of Interest
References
- Sha, D.; Jinrui, M.; Yilan, G.; Feng, C.; Qiang, F. One-step modification and nanofibrillation of microfibrillated cellulose for simultaneously reinforcing and toughening of poly(ε-caprolactone). Compos. Sci. Technol. 2018, 157, 168–177. [Google Scholar]
- Antonio, N.N.; Hiroyuki, Y. The effect of fiber content on the mechanical and thermal expansion properties of biocomposites based on microfibrillated cellulose. Cellulose 2008, 15, 555–559. [Google Scholar]
- Natalia, H.; Aji, P.M.; Kristiina, O. Plasticized polylactic acid/cellulose nanocomposites prepared using melt-extrusion and liquid feeding: Mechanical, thermal and optical properties. Compos. Sci. Technol. 2015, 106, 149–155. [Google Scholar]
- Juho, A.S.; Miikka, V. Highly Transparent Nanocomposites Based on Poly(vinyl alcohol) and Sulfated UV-Absorbing Wood Nanofibers. Biomacromolecules 2019, 20, 2413–2420. [Google Scholar]
- Rong-Lan, W.; Xiu-Li, W.; Fang, L.; Hui-Zhang, L.; Yu-Zhong, W. Green composite films prepared from cellulose, starch and lignin in room-temperature ionic liquid. Bioresour. Technol. 2009, 100, 2569–2574. [Google Scholar]
- Quanqing, H.; Xin, G.; Heng, Z.; Keli, C.; Lincai, P.; Qingmin, J. Preparation and comparative assessment of regenerated cellulose films from corn (Zea mays) stalk pulp fines in DMAc/LiCl solution. Carbohydr. Polym. 2019, 218, 315–323. [Google Scholar]
- Cortés-Triviño, E.; Valencia, C.; Delgado, M.A.; Franco, J.M. Rheology of epoxidized cellulose pulp gel-like dispersions in castor oil: Influence of epoxidation degree and the epoxide chemical structure. Carbohydr. Polym. 2018, 199, 563–571. [Google Scholar] [CrossRef]
- Sara, R.L.; Jari, S.K.; Katja, S.; Janne, A.; Ilkka, K. Reactive dissolution of cellulose and pulp through acylation in pyridine. Cellulose 2012, 19, 1295–1304. [Google Scholar]
- Anwar, J.S.; Lalaso, V.M.; Niteen, A.D.; Dipak, V.P. Structural characterization of cellulose pulp in aqueous NMMO solution under the process conditions of lyocell slurry. Carbohydr. Polym. 2019, 206, 220–228. [Google Scholar]
- Wil, V.S.I.; Srikanth, P.; Zachary, C.W.; Cecily, A.R.; Joseph, P.G.; Curtis, W.F.; Sarah, L.B. Mechanisms and impact of fiber–matrix compatibilization techniques on the material characterization of PHBV/oak wood flour engineered biobased composites. Compos. Sci. Technol. 2012, 72, 708–715. [Google Scholar]
- Xinping, L.; Xin, Z.; Shuangquan, Y.; Hui, C.; Yaoyu, W.; Zhao, Z. UV-blocking, transparent and hazy cellulose nanopaper with superior strength based on varied components of poplar mechanical pulp. Cellulose 2020, 27, 6563–6576. [Google Scholar]
- Anamaria, S.; Raluca, N.D.; Marian, T.; Georgeta, C.; Cornelia, V. Low density polyethylene composites containing cellulose pulp fibers. Compos. Part B Eng. 2012, 43, 1873–1880. [Google Scholar]
- Helena, N.; Sylvain, G.; Larsson, P.T.; Kristofer, G.E.; Tommy, I. Compression molded wood pulp biocomposites: A study of hemicellulose influence on cellulose supramolecular structure and material properties. Cellulose 2012, 19, 751–760. [Google Scholar]
- Qiyang, W.; Jie, C.; Lina, Z.; Min, X.; He, C.; Charles, C.H.; Shigenori, K.; Jun, X.; Rui, X. A bioplastic with high strength constructed from a cellulose hydrogel by changing the aggregated structure. J. Mater. Chem. A 2013, 1, 6678–6686. [Google Scholar]
- Alcala, M.; Gonza’lez, I.; Boufi, S.; Vilaseca, F.; Mutje, P. All-cellulose composites from unbleached hardwood kraft pulp reinforced with nanofibrillated cellulose. Cellulose 2013, 20, 2909–2921. [Google Scholar] [CrossRef]
- Hasan, M.; Tze, K.L.; Deepu, A.G.; Jawaid, M.; Owolabi, F.A.T.; Mistar, E.M.; Tata, A.; Noriman, N.Z.; Haafiz, M.K.M.; Abdul Khalil, H.P. Micro Crystalline Bamboo Cellulose Based Seaweed Biodegradable Composite Films for Sustainable Packaging Material. J. Polym. Environ. 2019, 27, 1602–1612. [Google Scholar] [CrossRef]
- Prodyut, D.; Debashis, T.; Amit, K.; Vimal, K. Effect of cellulose nanocrystal polymorphs on mechanical, barrier and thermal properties of poly(lactic acid) based bionanocomposites. RSC Adv. 2015, 5, 60426–60440. [Google Scholar]
- Ronny, W.; Alistair, K.; Arno, P.; Kristiina, K.; Anna, S. Cellulose hydrolysis with thermo- and alkali-tolerant cellulases in cellulose-dissolving superbase ionic liquids. RSC Adv. 2013, 3, 20001–20009. [Google Scholar]
- Xiaofei, L.; Zongbao, L.; Li, W.; Shengsheng, Z.; Hai, Z. Preparation and performance of composite films based on 2-(2-aminoethoxy) ethyl chitosan and cellulose. RSC Adv. 2017, 7, 13707–13713. [Google Scholar]
- Sanches, A.O.; Ricco, L.H.S.; Malmonge, L.F.; da Silva, M.J.; Sakamoto, W.K.; Malmonge, J.A. Influence of cellulose nanofibrils on soft and hard segments of polyurethane/cellulose nanocomposites and effect of humidity on their mechanical properties. Polym. Testing. 2014, 40, 99–105. [Google Scholar]
- He, L.; Shuqin, C.; Shibin, S.; Dan, W.; Jie, S. Properties of rosin-based waterborne polyurethanes/cellulose nanocrystals composites. Carbohydr. Polym. 2013, 96, 510–515. [Google Scholar]
- Zhenzhong, G.; Jun, P.; Tuhua, Z.; Jin, S.; Xiaobo, W.; Chao, Y. Biocompatible elastomer of waterborne polyurethane based on castor oil and polyethylene glycol with cellulose nanocrystals. Carbohydr. Polym. 2012, 87, 2068–2075. [Google Scholar]
- Dan, C.; Pingdong, W.; Lina, Z.; Jie, C. New Approach for the Fabrication of Carboxymethyl Cellulose Nanofibrils and the Reinforcement Effect in Water-Borne Polyurethane. ACS Sustain. Chem. Eng. 2019, 7, 11850–11860. [Google Scholar]
- Andres, I.C.; Javier, I.A.; Elena, F.; Jose, M.K.; Leonel, M.C. The role of nanocrystalline cellulose on the microstructure of foamed castor-oil polyurethane nanocomposites. Carbohydr. Polym. 2015, 134, 110–118. [Google Scholar]
- Seydibeyoglu, M.O.; Oksman, K. Novel nanocomposites based on polyurethane and micro fibrillated cellulose. Compos. Sci. Technol. 2008, 68, 908–914. [Google Scholar] [CrossRef] [Green Version]
- Kai, L.; Pingdong, W.; Junchao, H.; Duoduo, X.; Yi, Z.; Lei, H.; Lina, Z.; Jie, C. Mechanically Strong Shape-Memory and Solvent-Resistant Double-Network Polyurethane/Nanoporous Cellulose Gel Nanocomposites. ACS Sustain. Chem. Eng. 2019, 7, 15974–15982. [Google Scholar]
- Sang, H.; Park, K.; Wha, O.; Seong, H.K. Reinforcement effect of cellulose nanowhisker on bio-based polyurethane. Compos. Sci. Technol. 2013, 86, 82–88. [Google Scholar]
- Yao, X.; Qi, X.; He, Y.; Tan, D.; Cheng, F.; Fu, Q. Simultaneous Reinforcing and Toughening of Polyurethane via Grafting on the Surface of Microfibrillated Cellulose. ACS Appl. Mater. Interfaces 2014, 6, 2497–2507. [Google Scholar]
- Saralegi, A.; Rueda, L.; Martin, L.; Arbelaiz, A.; Eceiza, A.; Corcuera, M.A. From elastomeric to rigid polyurethane/cellulose nanocrystal bionanocomposites. Compos. Sci. Technol. 2013, 88, 39–47. [Google Scholar] [CrossRef]
- Izaskun, L.; Julen, V.; Arantzazu, S.E.; Alvaro, T.; Maider, A.; Eneritz, V.; Ander, O.; Ainara, S.; Aitor, A.; Arantxa, E. The effect of the carboxylation degree on cellulose nanofibers and waterborne polyurethane/cellulose nanofiber nanocomposites properties. Polym. Degrad. Stab. 2020, 173, 109084. [Google Scholar]
- Kangkang, Z.; Huilan, Y.; Zhongguo, S.; Kerang, H.; Min, Z.; Xiaodong, X. Dual-modified starch nanospheres encapsulated with curcumin by self-assembly: Structure, physicochemical properties and anti-inflammatory activity. Int. J. Biol. Macromol. 2021, 191, 305–314. [Google Scholar]
- Gao, Y.Z.; Chen, J.C.; Wu, Y.X. Amphiphilic Graft Copolymers of Quaternized Alginate-g-Polytetrahydrofuran for Anti-protein Surfaces, Curcumin Carriers, and Antibacterial Materials. ACS Appl. Polym. Mater. 2021, 3, 3465–3477. [Google Scholar] [CrossRef]
- Balasubramanian, R.; Srinivasan, R.; Sam, S.K.; Jaewoong, L. Rheological and anti-microbial study of silica and silver nanoparticles-reinforced k-carrageenan/hydroxyethyl cellulose composites for food packaging applications. Cellulose 2021, 28, 5577–5590. [Google Scholar]
- Balasubramanian, R.; Srinivasan, R.; Jaewoong, L. Quaternary ammonium silane-reinforced agar/polyacrylamide composites for packaging applications. Int. J. Biol. Macromol. 2021, 182, 1301–1309. [Google Scholar]
- Chaehyun, J.; Balasubramanian, R.; Prabakaran, D.S.; Srinivasan, R.; Jaewoong, L. Cellulose pulp-based stretchable composite film with hydroxyethyl cellulose and turmeric powder for packaging applications. ACS Sustain. Chem. Eng. 2021, 9, 13653–13662. [Google Scholar]
- Balasubramanian, R.; Srinivasan, R.; Jaewoong, L. Barrier, rheological and antimicrobial properties of sustainable nanocomposites based on gellan gum/polyacrylamide/zinc oxide. Polym. Eng. Sci. 2021, 61, 2477–2486. [Google Scholar] [CrossRef]
- Ahmed, A.O.; Jong-Whan, R. Preparation and characterization of sodium carboxymethyl cellulose/cotton linter cellulose nanofibril composite films. Carbohydr. Polym. 2015, 127, 101–109. [Google Scholar]
- Shiv, S.; Jong-Whan, R. Preparation of nanocellulose from micro-crystalline cellulose: The effect on the performance and properties of agar-based composite films. Carbohydr. Polym. 2016, 135, 18–26. [Google Scholar]
- Mehran, G.; Fugen, D.; Elena, P.I.; Billy, J.M.; Benu, A. Use of Synergistic Interactions to Fabricate Transparent and Mechanically Robust Nanohybrids Based on Starch, Non-Isocyanate Polyurethanes, and Cellulose Nanocrystals. ACS Appl. Mater. Interfaces 2020, 12, 47865–47878. [Google Scholar]
- Qiuju, W.; Marielle, H.; Xiaohui, L.; Lars, A.B. A High Strength Nanocomposite Based on Microcrystalline Cellulose and Polyurethane. Biomacromolecules 2007, 8, 3687–3692. [Google Scholar]
- Ni, Z.; Peng, T.; Yanxv, L.; Shuangxi, N. Effect of lignin on the thermal stability of cellulose nanofibrils produced from bagasse pulp. Cellulose 2019, 26, 7823–7835. [Google Scholar]
- Yanxu, L.; Peng, T.; Ni, Z.; Shuangxi, N. Preparation and thermal stability evaluation of cellulose nanofibrils from bagasse pulp with differing hemicelluloses contents. Carbohydr. Polym. 2020, 245, 116463. [Google Scholar]
- Balasubramanian, R.; Chaehyun, J.; Seungjin, C.; Srinivasan, R.; Jaewoong, L. Flexible ternary combination of gellan gum sodium carboxymethyl cellulose and silicon dioxide nanocompositesfabricated by quaternary ammonium silane: Rheological, thermal and antimicrobial properties. ACS Omega 2020, 5, 28767–28775. [Google Scholar]
- Francisco, L.; Dejin, J.; Jiaqi, G.; Daniel, H.; Alexander, E.; Andreas, W. Outstanding Synergies in Mechanical Properties of Bioinspired Cellulose Nanofibril Nanocomposites using Self-Cross-Linking Polyurethanes. ACS Appl. Polym. Mater. 2019, 1, 3334–3342. [Google Scholar]
- Ru, L.; Yao, P.; Jinzhen, C.; Yu, C. Comparison on properties of lignocellulosic flour/polymer composites by using wood, cellulose, and lignin flours as fillers. Compos. Sci. Technol. 2014, 103, 1–7. [Google Scholar]
- Wu, G.M.; Liu, G.F.; Chena, J.; Kong, Z.W. Preparation and properties of thermoset composite films from two-component waterborne polyurethane with low loading level nanofibrillated cellulose. Prog. Org. Coat. 2017, 106, 170–176. [Google Scholar] [CrossRef]
- Aji, P.M.; Kristiina, O.; Mohini, S. Mechanical Properties of Biodegradable Composites from Poly Lactic Acid (PLA) and Microcrystalline Cellulose (MCC). J. Appl. Polym. Sci. 2005, 97, 2014–2025. [Google Scholar]
- Prince, C.; Agnieszka, N.; Aarti, B.; Renata, N.W.; Ravinder, K.; Mansuri, M.T. Potential of Gum Arabic Functionalized Iron Hydroxide Nanoparticles Embedded Cellulose Paper for Packaging of Paneer. Nanomaterials 2021, 11, 1308. [Google Scholar]










| Sample | Thickness (mm) | T (%) at 600 nm | Water Vapor Permeability (×10−9 gm/m2 Pas) | Water Contact Angle (o) | Swelling Ratio (%) |
|---|---|---|---|---|---|
| Only CP | 0.07 | 86.2 | 3.96 | 51.4 | 285 |
| 1:0.5 CP/PU | 0.09 | 65.1 | 2.34 | 55.6 | 262 |
| 1:1 CP/PU | 0.10 | 41.2 | 1.81 | 58.2 | 215 |
| 1:1 CP/PU with 10 wt% of curcumin | 0.09 | 32.9 | 1.75 | 60.1 | 202 |
| Sample | TGA | DSC | Tensile Strength (MPa) | Elongation at Break (%) | |||
|---|---|---|---|---|---|---|---|
| T5% | T10% | CY (%) | Tg (°C) | Tm (°C) | |||
| Only CP | 87.2 | 166.7 | 7.8 | 147.4 | 187.3 | 93.2 | 8.1 |
| 1:0.5 CP/PU | 136.8 | 227.7 | 11.5 | 151.2 | 191.1 | 14.1 | 3.7 |
| 1:1 CP/PU | 172.1 | 247.5 | 14.8 | 153.4 | 202.4 | 29.5 | 3.9 |
| 1:1 CP/PU with 10 wt% of curcumin | 182.3 | 249.8 | 15.7 | 154.2 | 204.2 | 30.5 | 3.7 |
Publisher’s Note: MDPI stays neutral with regard to jurisdictional claims in published maps and institutional affiliations. |
© 2022 by the authors. Licensee MDPI, Basel, Switzerland. This article is an open access article distributed under the terms and conditions of the Creative Commons Attribution (CC BY) license (https://creativecommons.org/licenses/by/4.0/).
Share and Cite
Jo, C.; Kim, S.S.; Rukmanikrishnan, B.; Ramalingam, S.; D. S., P.; Lee, J. Properties of Cellulose Pulp and Polyurethane Composite Films Fabricated with Curcumin by Using NMMO Ionic Liquid. Gels 2022, 8, 248. https://doi.org/10.3390/gels8040248
Jo C, Kim SS, Rukmanikrishnan B, Ramalingam S, D. S. P, Lee J. Properties of Cellulose Pulp and Polyurethane Composite Films Fabricated with Curcumin by Using NMMO Ionic Liquid. Gels. 2022; 8(4):248. https://doi.org/10.3390/gels8040248
Chicago/Turabian StyleJo, Chaehyun, Sam Soo Kim, Balasubramanian Rukmanikrishnan, Srinivasan Ramalingam, Prabakaran D. S., and Jaewoong Lee. 2022. "Properties of Cellulose Pulp and Polyurethane Composite Films Fabricated with Curcumin by Using NMMO Ionic Liquid" Gels 8, no. 4: 248. https://doi.org/10.3390/gels8040248
APA StyleJo, C., Kim, S. S., Rukmanikrishnan, B., Ramalingam, S., D. S., P., & Lee, J. (2022). Properties of Cellulose Pulp and Polyurethane Composite Films Fabricated with Curcumin by Using NMMO Ionic Liquid. Gels, 8(4), 248. https://doi.org/10.3390/gels8040248

