Biocompatible Self-Assembled Hydrogen-Bonded Gels Based on Natural Deep Eutectic Solvents and Hydroxypropyl Cellulose with Strong Antimicrobial Activity
Abstract
1. Introduction
2. Results and Discussion
2.1. FT-IR Spectroscopy
2.2. 1H NMR and ROESY Spectra
2.3. Thermal Stability
2.4. DSC Analysis
2.5. Rheological Properties
2.5.1. Flow Curves
2.5.2. Dynamic Oscillatory Measurements
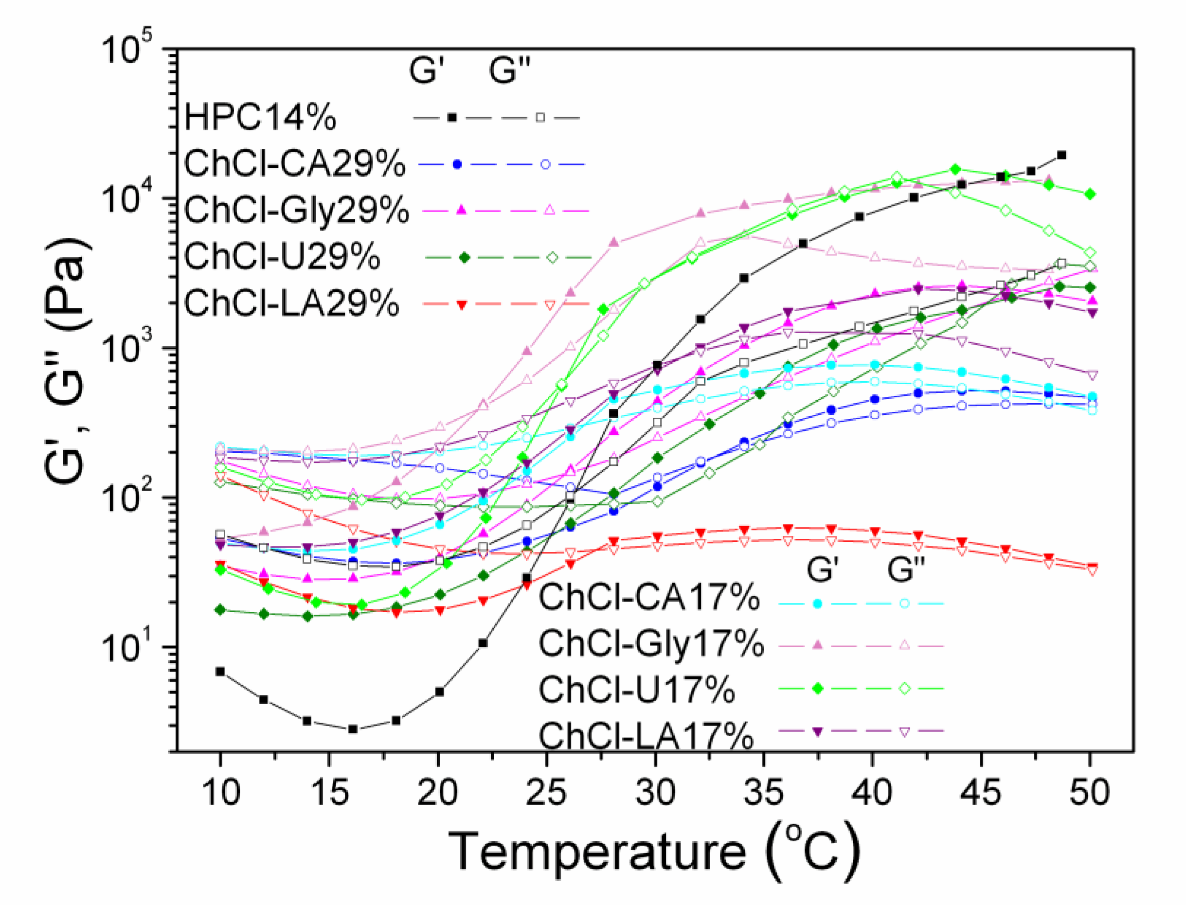
2.5.3. Effect of Temperature
2.6. Antibacterial and Antifungal Activities
2.7. Evaluation of Biocompatibility
3. Conclusions
4. Experimental Part
4.1. Materials
4.2. Preparation of Aqueous HPC-NADES Gel Solutions
4.3. Measurements
4.3.1. Antimicrobial Susceptibility Tests
4.3.2. MTS Assay
Supplementary Materials
Author Contributions
Funding
Institutional Review Board Statement
Informed Consent Statement
Data Availability Statement
Conflicts of Interest
Abbreviation
| NADES | Natural Deep Eutectic Solvents | HBD | Hydrogen-Bond Donor |
| HPC | Hydroxypropyl cellulose | HBA | Hydrogen-Bond Acceptor |
| LCST | Lower Critical Solution Temperature | HGF | Human Gingival Fibroblast |
| ChCl | Choline chloride | DSC | Differential Scanning Calorimetry |
| U | Urea | TGA | Thermogravimetric analysis |
| CA | Citric acid | DTG | Differential thermogravimetric analysis |
| LA | Lactic acid | FT-IR | Fourier-Transform Infrared |
| Gly | Glycerol | NMR | Nuclear Magnetic Resonance |
References
- Abbott, A.P.; Capper, G.; Davies, D.L.; Rasheed, R.K. Ionic Liquid Analogues Formed from Hydrated Metal Salts. Chem. Eur. J. 2004, 10, 3769–3774. [Google Scholar] [CrossRef] [PubMed]
- Choi, Y.H.; van Spronsen, J.; Dai, Y.; Verberne, M.; Hollmann, F.; Arends, I.W.C.E.; Witkamp, G.-J.; Verpoorte, R. Are natural deep eutectic solvents the missing link in understanding cellular metabolism and physiology? Plant Physiol. 2011, 156, 1701–1705. [Google Scholar] [CrossRef] [PubMed]
- Francisco, M.; van den Bruinhorst, A.; Kroon, M.C. Low-Transition-Temperature Mixtures (LTTMs): A New Generation of Designer Solvents. Angew. Chem. Int. Ed. 2013, 52, 3074–3085. [Google Scholar] [CrossRef]
- Dias, A.M.A.; Cortez, A.R.; Barsan, M.M.; Santos, J.B.; Brett, C.M.A.; de Sousa, H.C. Development of Greener Multi-Responsive Chitosan Biomaterials Doped with Biocompatible Ammonium Ionic Liquids. ACS Sustain. Chem. Eng. 2013, 1, 1480–1492. [Google Scholar] [CrossRef]
- Marques Silva, J.M.; Reis, R.L.; Paiva, A.; Duarte, A.R.C. Design of functional therapeutic deep eutectic solvents based on choline chloride and ascorbic acid. ACS Sustain. Chem. Eng. 2018, 6, 10355–10363. [Google Scholar] [CrossRef]
- Ruiz-Olles, J.; Slavik, P.; Whitelaw, N.K.; Smith, D.K. Self-Assembled Gels formed in Deep Eutectic Solvents—Supramolecular Eutectogels with High Ionic Conductivities. Angew. Chem. Int. Ed. 2019, 58, 4173–4178. [Google Scholar] [CrossRef] [PubMed]
- Lomba, L.; García, C.B.; Ribate, M.P.; Giner, B.; Zuriaga, E. Applications of Deep Eutectic Solvents Related to Health,Synthesis, and Extraction of Natural Based Chemicals. Appl. Sci. 2021, 11, 10156. [Google Scholar] [CrossRef]
- Blusztajn, J.K. Choline, A Vital Amine. Science 1998, 281, 794–795. [Google Scholar] [CrossRef]
- Paiva, A.; Craveiro, R.; Aroso, I.; Martins, M.; Reis, R.L.; Duarte, A.R.C. Natural deep eutectic solvents-solvents for the 21st century. ACS Sustain. Chem. Eng. 2014, 2, 1063–1071. [Google Scholar] [CrossRef]
- Dai, Y.; Witkamp, G.-J.; Verpoorte, R.; Choi, Y.H. Tailoring properties of natural deep eutectic solvents with water to facilitate their applications. Food Chem. 2015, 187, 14–19. [Google Scholar] [CrossRef] [PubMed]
- Hayyan, M.; Mbous, Y.P.; Looi, C.Y.; Wong, W.F.; Hayyan, A.; Salleh, Z.; Mohd-Ali, O. Natural deep eutectic solvents: Cytotoxic profile. Springerplus 2016, 5, 913–924. [Google Scholar] [CrossRef]
- Agatemor, C.; Ibsen, K.N.; Tanner, E.E.L.; Mitragotri, S. Ionic liquids for addressing unmet needs in healthcare. Bioeng. Transl. Med. 2018, 3, 7–25. [Google Scholar] [CrossRef]
- Chowdhury, M.R.; MdMoshikur, R.; Wakabayashi, R.; Tahara, Y.; Kamiya, N.; Moniruzzaman, M.; Goto, M. In vivo biocompatibility, pharmacokinetics, antitumor efficacy, and hypersensitivity evaluation of ionic liquid-mediated paclitaxel formulations. Int. J. Pharm. 2019, 565, 219–226. [Google Scholar] [CrossRef]
- Majee, S.B. (Ed.) Emerging Concepts in Analysis and Applications of Hydrogels; IntechOpen: Rijeka, Croatia, 2016. [Google Scholar]
- Alharbi, N.D.; Guirguis, O.W. Macrostructure and optical studies of hydroxypropyl cellulose in pure and Nano-composites forms. Results Phys. 2019, 15, 102637. [Google Scholar] [CrossRef]
- Yue, D.; Jia, Y.; Yao, Y.; Sun, J.; Jing, Y. Structure and electrochemical behavior of ionic liquid analogue based on choline chloride and urea. Electrochim. Acta 2012, 65, 30–36. [Google Scholar] [CrossRef]
- Aissaoui, T. Novel Contribution to the Chemical Structure of Choline Chloride Based Deep Eutectic Solvents. Pharm. Anal. Acta 2015, 6, 1000448. [Google Scholar] [CrossRef]
- Azevedo, A.M.O.; Costa, S.P.F.; Dias, A.F.P.; Marques, A.H.O.; Pinto, P.C.A.G.; Bica, K.; Ressmann, A.K.; Passos, M.L.C.; Araújo, A.R.T.S.; Reis, S.; et al. Anti-inflammatory choline based ionic liquids: Insights into their lipophilicity, solubility and toxicity parameters. J. Mol. Liq. 2017, 232, 20–26. [Google Scholar] [CrossRef]
- Filip, D.; Macocinschi, D.; Zaltariov, M.F.; Ciubotaru, B.I.; Bargan, A.; Varganici, C.D.; Vasiliu, A.L.; Peptanariu, D.; Balan-Porcarasu, M.; Timofte-Zorila, M.M. Hydroxypropyl Cellulose/Pluronic-Based Composite Hydrogels as Biodegradable Mucoadhesive Scaffolds for Tissue Engineering. Gels 2022, 8, 519. [Google Scholar] [CrossRef]
- López, N.; Delso, I.; Matute, D.; Lafuente, C.; Artal, M. Characterization of xylitol or citric acid:choline chloride:water mixtures: Structure, thermophysical properties, and quercetin solubility. Food Chem. 2020, 306, 125610. [Google Scholar] [CrossRef] [PubMed]
- Jangir, A.K.; Mandviwala, H.; Patel, P.; Sharma, S.; Kuperkar, K. Acumen into the effect of alcohols on choline chloride: L-lactic acid-based natural deep eutectic solvent (NADES): A spectral investigation unified with theoretical and thermophysical characterization. J. Mol. Liq. 2020, 317, 113923. [Google Scholar] [CrossRef]
- Posada, E.; López-Salas, N.; Jiménez Riobóo, R.J.; Ferrer, M.L.; Gutiérrez, M.C.; del Monte, F. Reline aqueous solutions behaving as liquid mixtures of H-bond co-solvents: Microphase segregation and formation of co-continuous structures as indicated by Brillouin and 1H NMR spectroscopies. Phys. Chem. Chem. Phys. 2017, 19, 17103–17110. [Google Scholar] [CrossRef]
- Delso, I.; Lafuente, C.; Muñoz-Embid, J.; Artal, M. NMR study of choline chloride-based deep eutectic solvents. J. Mol. Liq. 2019, 290, 111236. [Google Scholar] [CrossRef]
- Liu, P.; Pedersen, C.M.; Zhang, J.; Liu, R.; Zhang, Z.; Hou, X.; Wang, Y. Ternary deep eutectic solvents catalyzed D-glucosamine self-condensation todeoxyfructosazine: NMR study. Green Energy Environ. 2021, 6, 261–270. [Google Scholar] [CrossRef]
- Delgado-Mellado, N.; Larriba, M.; Navarro, P.; Rigual, V.; Ayuso, M.; Garcia, J.; Rodriguez, F. Thermal stability of choline chloride deep eutectic solvents by TGA/FTIR-ATR analysis. J. Mol. Liq. 2018, 260, 37–43. [Google Scholar] [CrossRef]
- Hammond, O.S.; Mudring, A.-V. Ionic liquids and deep eutectics as a transformative platform for the synthesis of nanomaterials. Chem. Comm. 2022, 58, 3865–3892. [Google Scholar] [CrossRef] [PubMed]
- Florindo, C.; Oliveira, F.S.; Rebelo, L.P.N.; Fernandes, A.M.; Marrucho, I.M. Insights into the synthesis and properties of deep eutectic solvents based on chlinium chloride and carboxylic acids. ACS Sustain. Chem. Eng. 2014, 2, 2416–2425. [Google Scholar] [CrossRef]
- Coats, A.W.; Redfern, J.T. Kinetics parameters from thermogravimetric data. Nature 1964, 201, 68–69. [Google Scholar] [CrossRef]
- Flynn, J.H.; Wall, L.A. A Quick, Direct Method for the Determination of Activation Energy from Thermogravimetric Data. Polym. Lett. 1966, 4, 323–328. [Google Scholar] [CrossRef]
- Urbanovici, E.; Segal, E. Is classical non-isothermal kinetics with constant heating rate actually non-isothermal kinetics with quasi-constant heating rate. Thermochim. Acta 1990, 159, 369–372. [Google Scholar] [CrossRef]
- Gilmore, M.; Swadzba-Kwasny, M.; Holbrey, J.D. Thermal Properties of Choline Chloride/Urea System Studied under Moisture-Free Atmosphere. J. Chem. Eng. Data 2019, 64, 5248–5255. [Google Scholar] [CrossRef]
- Maneffa, A.J.; Harrison, A.B.; Radford, S.J.; Whitehouse, A.S.; Clark, J.H.; Matharu, A.S. Deep Eutectic Solvents Based on Natural Ascorbic Acid Analogues and Choline Chloride. Chem. Open 2020, 9, 559–567. [Google Scholar] [CrossRef] [PubMed]
- Wang, L.F.; Pearce, E.M.; Kwei, T.K. Glass transitions in Hydrogen-Bonded Polymer Complexes. J. Polym. Sci. Part B Polym. Phys. 1991, 29, 619–626. [Google Scholar] [CrossRef]
- van der Sman, R.G.M. Predictions of Glass Transition Temperature for Hydrogen Bonding Biomaterials. J. Phys. Chem. B 2013, 117, 16303–16313. [Google Scholar] [CrossRef]
- Tamburic, S.; Craig, D.Q.M. The effects of ageing on the rheological,dielectric and mucoadhesive properties of poly(acrylic acid) gel systems. Pharm. Res. 1996, 13, 279–283. [Google Scholar] [CrossRef] [PubMed]
- Thorgeirsdottir, T.O.; Kjoniksen, A.L.; Knudsen, K.D.; Kristmundsdottir, T.; Nystrom, B. Viscoelastic and Structural Properties of Pharmaceutical Hydrogels Containing Monocaprin. Eur. J. Pharm. Biopharm. 2005, 59, 333–342. [Google Scholar] [CrossRef]
- Walicka, A.; Falicki, J.; Iwanowska-Chomiak, B. Rheology of drugs for topical and transdermal delivery. Int. J. Appl. Mech. Eng. 2019, 24, 179–198. [Google Scholar] [CrossRef]
- Chhabra, R.P.; Richardson, J.F. Non-Newtonian Flow in Process Industries; Butterworth-Heinemann: Oxford, UK, 1999. [Google Scholar]
- Gallegos, C.; Franco, J.M. Rheology of food, cosmetics and pharmaceuticals. Curr. Opin. Colloid Interface 1999, 4, 288–293. [Google Scholar] [CrossRef]
- Bingham, E.C. Fluidity and Plasticity; MC Graw-Hill: New York, NY, USA, 1922. [Google Scholar]
- Hershel, W.H.; Bulkley, R. Konsistenzmessungen von Gummi Benzollosungen. Kolloid Z. 1926, 39, 291–300. [Google Scholar] [CrossRef]
- Vocadlo, J.J.; Charles, M.E. Characterization and Laminar Flow of Fluid-Like Viscoplastic Substances. Can. J. Chem. 1973, 51, 116–121. [Google Scholar] [CrossRef]
- Casson, N. The Rheology of Disperse Systems; Pergamon Press: London, UK, 1959. [Google Scholar]
- Patural, L.; Marchal, P.; Govin, A.; Grosseau, P.; Ruot, B.; Deves, O. Cellulose ethers influence on water retention and consistency in cement-based mortars. Cem. Concr. Res. 2011, 41, 46–55. [Google Scholar] [CrossRef]
- Elhamarnah, Y.A.; Nasser, M.; Qiblawey, H.; Benamor, H.; Atilhan, A.; Aparicio, M. A comprehensive review on the rheological behavior of imidazolium based ionic liquids and natural deep eutectic solvents. J. Mol. Liq. 2019, 277, 932–958. [Google Scholar] [CrossRef]
- Ramachandran, S.; Chen, S.; Etzler, F. Rheological Characterization of Hydroxypropyl cellulose Gels. Drug. Dev. Ind. Pharm. 1999, 25, 153–161. [Google Scholar] [CrossRef] [PubMed]
- Altamash, T.; Nasser, M.S.; Elhamarnah, Y.; Magzoub, M.; Ullah, R.; Anaya, B.; Aparicio, S.; Atilhan, M. Gas Solubility and Rheological Behavior of Natural Deep Eutectic Solvents (NADES) via Combined Experimental and Molecular Simulation Tech. Chem. Select 2017, 2, 7278–7295. [Google Scholar]
- Tao, R.; Simon, S.L. Rheology of Imidazolium-Based Ionic Liquids with Aromatic Functionality. J. Phys. Chem. B 2015, 119, 11953–11959. [Google Scholar] [CrossRef] [PubMed]
- Cox, W.P.; Merz, E.H. Correlation of dynamic and steady flow viscosities. J. Polym. Sci. 1958, 28, 619–622. [Google Scholar] [CrossRef]
- Wissbrun, K.F.; Griffin, A.C. Rheology of a Thermotropic Polyester in the Nematic and Isotropic States. J. Polym. Sci. Polym. Phys. 1982, 20, 1835–1845. [Google Scholar] [CrossRef]
- Tan, L.; Wan, A.; Pan, D. Viscoelasticity of concentrated polyacrylonitrile solutions: Effects of solution composition and temperature. Polym. Int. 2011, 60, 1047–1052. [Google Scholar] [CrossRef]
- Xia, X.; Tang, S.; Lu, X.; Hu, Z. Formation and Volume Phase Transition of Hydroxypropyl cellulose Microgels in Salt Solution. Macromolecules 2003, 36, 3695–3698. [Google Scholar] [CrossRef]
- Gao, J.; Haidar, G.; Lu, X.; Hu, Z. Self-Association of Hydroxypropyl cellulose in Water. Macromolecules 2001, 34, 2242–2247. [Google Scholar] [CrossRef]
- Fairclough, J.P.A.; Yu, H.; Kelly, O.; Ryan, A.J.; Sammler, R.L.; Radler, M. Interplay between gelation and phase separation in aqueous solutions of methylcellulose and hydroxypropyl methylcellulose. Langmuir 2012, 28, 10551–10557. [Google Scholar] [CrossRef]
- Silva, J.M.; Silva, E.; Reis, R.L.; Duarte, A.R.C. A closer look in the antimicrobial properties of deep eutectic solvents based on fatty acids. Sustain. Chem. Pharm. 2019, 14, 100192. [Google Scholar] [CrossRef]
- Wikene, K.O.; Rukke, H.V.; Bruzell, E.; Tonnesen, H.H. Investigation of the antimicrobial effect of natural deep eutectic solvents (NADES) as solvents in antimicrobial photodynamic therapy. J. Photochem. Photobiol. B Biol. 2017, 171, 27–33. [Google Scholar] [CrossRef] [PubMed]
- Radosevic, K.; Canak, I.; Panic, M.; Markov, K.; Bubalo, M.C.; Frece, J.; Srcek, V.G.; Redovnikovic, I.R. Antimicrobial, cytotoxic and antioxidative evaluation of natural deep eutectic solvents. Environ. Sci. Pollut. Res. 2018, 25, 14188–14196. [Google Scholar] [CrossRef]
- Burel, C.; Kala, A.; Purevdorj-Gage, L. Impact of pH on citric acid antimicrobial activity against Gram-negative bacteria. Lett. Appl. Microbiol. 2021, 72, 332–340. [Google Scholar] [CrossRef]
- Wang, C.; Chang, T.; Yang, H.; Cui, M. Antibacterial mechanism of lactic acid on physiological and morphological properties of Salmonella Enteritidis, Escherichia Coli and Listeria monocytogenes. Food Control 2015, 47, 231–236. [Google Scholar] [CrossRef]
- Piquero-Casals, J.; Morgado-Carrasco, D.; Granger, C.; Trullas, C.; Jesus-Silva, A.; Krutmann, J. Urea in Dermatology: A Review of its Emollient, Moisturizing, Keratolytic, Skin Barrier Enhancing and Antimicrobial Properties. Dermatol. Ther. 2021, 11, 1905–1915. [Google Scholar] [CrossRef] [PubMed]
- Linser, A. Glycerine as fungicide or bactericide active substance. U.S. Patent 02/069708, 12 September 2002. [Google Scholar]
- Zhao, B.Y.; Xu, P.; Yang, F.X.; Wu, H.; Zong, M.H.; Lou, W.Y. Biocompatible deep eutectic solvents based on choline chloride: Characterization and application to the extraction of rutin from Sophora Japonica. ACS Sustain. Chem. Eng. 2015, 3, 2746–2755. [Google Scholar] [CrossRef]
- Clinical and Laboratory Standard Institute. Method for Antifungal Disk Diffusion Susceptibility Testing of Yeasts, Approved Guideline, 2nd ed.; Clinical and Laboratory Standard Institute: Wayne, PA, USA, 2009. [Google Scholar]
- Clinical and Laboratory Standards Institute. Performance Standards for Antimicrobial Susceptibility Testing, CLSI Supplement M100, 30th ed.; Clinical and Laboratory Standard Institute: Wayne, PA, USA, 2020. [Google Scholar]
- Egorova, K.S.; Gordeev, E.G.; Ananikov, V.P. Biological Activity of Ionic Liquids and Their Application in Pharmaceutics and Medicine. Chem. Rev. 2017, 117, 7132–7189. [Google Scholar] [CrossRef]
- Moshikur, R.M.; Chowdhury, M.R.; Moniruzzaman, M.; Goto, M. Biocompatible ionic liquids and their application in pharmaceutics. Green Chem. 2020, 22, 8116–8139. [Google Scholar] [CrossRef]














| Sample | HPC-NADES (Dry State) | HPC-NADES (in Solution) | ||
|---|---|---|---|---|
| EH (kJ) | R(Å) | EH (kJ) | R(Å) | |
| HPC | 27.832 | 2.753 | 15.318 | 2.792 |
| HPC-ChCl-U 17% | 20.401 (N-H) | 2.717 (N-H) | 14.885 (N-H) | 2.851 (N-H) |
| 22.151 (O-H) | 2.769 (O-H) | 20.281 (O-H) | 2.776 (O-H) | |
| HPC-ChCl-U 29% | 20.552 (N-H) | 2.714 (N-H) | 15.860 (N-H) | 2.827 (N-H) |
| 22.366 (O-H) | 2.770 (O-H) | 20.568 (O-H) | 2.775 (O-H) | |
| HPC-ChCl-Gly 17% | 21.863 | 2.771 | 20.065 | 2.777 |
| HPC-ChCl-Gly 29% | 20.281 | 2.776 | 20.136 | 2.776 |
| HPC-ChCl-LA17% | 19.633 | 2.778 | 19.921 | 2.777 |
| HPC-ChCl-LA 29% | 18.482 | 2.782 | 19.489 | 2.778 |
| HPC-ChCl-CA 17% | 18.770 | 2.781 | 18.627 | 2.782 |
| HPC-ChCl-CA 29% | 16.397 | 2.788 | 18.770 | 2.781 |
| Original NADES | in dry state | in solution | ||
| ChCl-U | 21.006 (N-H) | 2.703 (N-H) | 16.623 (N-H) | 2.808 (N-H) |
| 23.373 (O-H) | 2.766 (O-H) | 21.001 (O-H) | 2.774 (O-H) | |
| ChCl-Gly | 24.092 | 2.764 | 22.150 | 2.770 |
| ChCl-LA | 22.798 | 2.768 | 20.424 | 2.775 |
| ChCl-CA | 21.575 | 2.772 | 18.771 | 2.781 |
| Sample | Stages, °C | Tmax a, °C | Δw b, % |
|---|---|---|---|
| ChCl-CA 100% | I 36.8–121.6 | 61.7 | 6.8 |
| II 171.7–200.9 | 191.6 | 40.9 | |
| III 225.5–277.2 | 262.5 | 41.2 | |
| IV 307.8–419.0 | 364.3 | 3.2 | |
| ChCl-Gly 100% | I 109.7–176.9 | 128.0 | 5.5 |
| II 228.2–318.9 | 296.3 | 92.5 | |
| ChCl-LA 100% | I 74.5–143 | 89.1 | 4.87 |
| II 171.3–232.9 | 206.1 | 14.5 | |
| III 232.9–315.0 | 284.6 | 78.1 | |
| ChCl-U 100% | I 127.9–223.2 | 179.0 | 10.9 |
| II 223.2–269.3 | 237.0 | 24.8 | |
| III 269.3–320.8 | 280.7 | 62.4 | |
| HPC | I 26.7–122.7 | 72.6 | 6.7 |
| II 306.3–399.7 | 374.0 | 85.1 | |
| ChCl-CA 17% | I 157.3–177.2 | 162.8 | 8.9 |
| II 194.4–216.2 | 210.4 | 16.6 | |
| III 236.6–282.7 | 260.5 | 18.2 | |
| IV 328.2–391.6 | 369.5 | 51.8 | |
| ChCl-Gly 17% | I 43.5–120.4 | 90.8 | 17.2 |
| II 249.3–301.5 | 277.3 | 47.8 | |
| III 334.7–398.6 | 382.2 | 31.9 | |
| ChCl-LA 17% | I 61.6–143.3 | 89.8 | 9.48 |
| II 231.4–280.0 | 261.6 | 27.3 | |
| III 301.3–396.3 | 372.2 | 55.8 | |
| ChCl-U 17% | I 36.3–121.6 | 88.0 | 12.8 |
| II 184.3–259.1 | 214.0 | 14.4 | |
| III 259.1–298.2 | 270.5 | 39.6 | |
| IV 298.2–404.3 | 380.1 | 25.7 | |
| ChCl-CA 29% | I 69.7–135.5 | 90.0 | 3.4 |
| II 135.5–156.8 | 147.2 | 4.95 | |
| III 191.7–216.8 | 210.1 | 28.8 | |
| IV 238.5–285.3 | 266.1 | 23.0 | |
| V 320.7–391.6 | 368.9 | 35.3 | |
| ChCl-Gly 29% | I 55.5–126.9 | 95.8 | 15.9 |
| II 249.7–287.0 | 278.2 | 31.1 | |
| III 287.0–303.5 | 295.0 | 26.7 | |
| IV 303.5–393.7 | 366.7 | 20.6 | |
| ChCl-LA 29% | I 40.9–125.8 | 79.8 | 12.1 |
| II 223.3–281.1 | 264.4 | 40.2 | |
| III 298.5–398.6 | 374.2 | 42.3 | |
| ChCl-U 29% | I 38.9–116.6 | 83.7 | 15.5 |
| II 182.1–247.5 | 206.9 | 13.5 | |
| III 254.6–292.6 | 269.4 | 57.3 | |
| IV 334.9–402.9 | 377.6 | 8.4 |
| Sample | Activation Energy (kJ/mol)/ln A/Order of Reaction | |||
|---|---|---|---|---|
| Coats–Redfern | Flynn–Wall | Van Krevelen | Urbanovici–Segal | |
| ChCl-CA 100% | II 367.1/92.13/1.7 | 356.2/90.35/1.7 | 382.2/96.0/1.7 | 354.9/88.8/1.5 |
| III 211.2/43.69/1.3 | 209.0/43.26/1.3 | 233.0/48.72/1.4 | 214.2/44.43/1.3 | |
| ChCl-Gly 100% | 163.98/30.17/1.1 | 164.5/30.32/1.1 | 182.8/34.2/1.1 | 165.67/30.6/1.1 |
| ChCl-LA 100% | 96.8/16.31/0.9 | 100.2/17.38/0.9 | 120.8/21.74/1.0 | 96.1/16.18/0.8 |
| ChCl-U 100% | 51.3/4.86/0.1 | 55.8/6.84/0.0 | 70.4/9.42/0.4 | 53.4/5.55/0.2 |
| HPC | 222.2/36.71/1.1 | 221.1/36.53/1.1 | 251.3/42.23/1.2 | 224.0/37.1/1.1 |
| ChCl-CA 17% a | 305.7/53.15/1.4 | 300.6/52.37/1.4 | 337.8/59.25/1.5 | 309.3/53.89/1.4 |
| ChCl-Gly 17% a | 235.8/39.55/1.4 | 234.3/39.3/1.4 | 263.7/44.84/1.5 | 239.9/40.37/1.4 |
| ChCl-LA 17% a | 160.4/25.64/1.3 | 156.8/24.96/1.2 | 178.6/29.09/1.3 | 157.2/25.0/1.2 |
| ChCl-U 17% a | 186.6/30.47/1.4 | 187.4/30.67/1.4 | 213.9/35.7/1.5 | 189.8/31.16/1.4 |
| ChCl-CA 29% a | 192.4/31.60/1.2 | 192.8/31.70/1.2 | 214.0/35.65/1.2 | 194.4/32.03/1.2 |
| ChCl-Gly 29% a | 108.1/15.57/1.1 | 112.6/16.78/1.1 | 122.6/18.36/1.1 | 111.2/16.26/1.1 |
| ChCl-LA 29% a | 150.8/23.79/1.3 | 153.2/24.36/1.3 | 168.9/27.22/1.3 | 153.3/24.35/1.3 |
| ChCl-U 29% a | 234.0/39.27/1.5 | 232.6/39.04/1.5 | 252.7/42.71/1.5 | 237.3/39.95/1.5 |
| Sample | Tg, °C | Tm, °C | Sample | Tg, °C | Tm, °C |
|---|---|---|---|---|---|
| ChCl-CA 100% | −34.1 | - | ChCl-LA 100% | −64.7 | -a |
| HPC-ChCl-CA 17% | −28.7; 13.9 | - | HPC-ChCl-LA 17% | −63.5;0.8; 28.2 | -b |
| HPC-ChCl-CA 29% | −27.6; 9.9 | - | HPC-ChCl-LA 29% | −79.5; −14.5; 24.2 | - |
| ChCl-Gly 100% | −96.2 | - | ChCl-U 100% | −73.7 | - |
| HPC-ChCl-Gly 17% | −93.3; −5.5 | - | HPC-ChCl-U 17% | −44.8; −0.2; 28.1 | - |
| HPC-ChCl-Gly 29% | −93.9; 23.7 | - | HPC-ChCl-U 29% | −45.7; 5.0; 23.5 | - |
| HPC | 4.8 | 197.2 | - | - | - |
| Sample | Bingham | Herschel-Bulkley | Vocadlo | Casson | τ0exp, Pa |
|---|---|---|---|---|---|
| HPC 14% | τ0 = 14.78; μ = 5.11; R = 0.999 | τ0 = 13.90; μ = 4.93; n = 0.97; R = 0.9997 | τ0 = 13.89; μ = 6.40; n = 0.96; R = 0.9999 | τ0 = 14.00; μ = 3.70; R = 0.9957 | 14.18 |
| ChCl-Gly 29% | τ0 = 18.18; μ = 6.44; R = 0.99648 | τ0 = 15.00; μ = 6.49; n = 1.04; R = 0.98892 | τ0 = 7.81; μ = 34.06; n = 0.79; R = 0.99989 | τ0 = 5.77; μ = 5.38; R = 0.99964 | 10.62 |
| ChCl-CA 29% | τ0 = 23.92;μ = 14.22; R = 0.99859 | τ0 =24.40; μ = 11.35; n = 1.09; R = 0.9902 | τ0 =11.74; μ = 30.10; n = 0.91; R = 0.99971 | τ0 = 6.67; μ = 12.29; R = 0.99974 | 13.70 |
| ChCl-U 29% | τ0 = 12.07; μ = 8.72; R = 0.99848 | τ0 = 3.40; μ = 14.30; n = 0.88; R = 0.99998 | τ0 = 3.63; μ = 21.76; n = 0.88; R = 0.99998 | τ0 = 2.21; μ = 7.96; R = 0.99976 | 5.38 |
| ChCl-LA 29% | τ0 = 10.55; μ = 2.31; R = 0.98363 | τ0 = 1.10; μ = 9.96; n = 0.66; R = 0.99994 | τ0 = 1.53; μ = 38.74; n = 0.65; R = 0.9999 | τ0 = 2.88; μ = 2.02; R = 0.9924 | 3.33 |
| ChCl-CA 17% | τ0 = 79.95;μ = 12.57; R = 0.9961 | τ0 = 62.70; μ = 17.92; n = 0.97; R = 0.9912 | τ0 = 59.01; μ = 208.06; n = 0.71; R = 0.9996 | τ0 = 80.00; μ = 8.17; R = 0.9989 | 64.53 |
| ChCl-Gly 17% | τ0 = 23.81;μ = 15.22; R = 0.9984 | τ0 = 11.50; μ = 17.18; n = 1.02; R = 0.9926 | τ0 = 8.87; μ = 39.49; n = 0.88; R = 0.9999 | τ0 = 23.00; μ = 13.59; R = 0.9998 | 11.68 |
| ChCl-U 17% | τ0 = 28.67;μ = 12.17; R = 0.9998 | τ0 = 27.50; μ = 9.65; n = 1.09; R = 0.9936 | τ0 = 24.82; μ = 19.27; n = 0.94; R = 0.9999 | τ0 = 28.00; μ = 9.15; R = 0.9969 | 26.24 |
| ChCl-LA 17% | τ0 = 24.38;μ = 13.99; R = 0.9998 | τ0 = 22.60; μ = 11.43; n = 1.09; R = 0.9944 | τ0 = 20.45; μ = 19.78; n = 0.95; R = 0.9999 | τ0 = 24.00; μ = 11.16; R = 0.9978 | 22.56 |
| Compounds | Diameter of Inhibition Zones (mm) | |||
|---|---|---|---|---|
| S. aureus ATCC 25923 | E. coli ATCC 25922 | Pseudomonas aeruginosa ATCC 27853 | C. albicans ATCC 90028 | |
| ChCl-CA 29% | 20.30 ± 0.57 | 19.00 ± 0.00 | 0.00 | 17.50 ± 0.50 |
| ChCl-Gly 29% | 0.00 | 0.00 | 0.00 | 0.00 |
| ChCl-LA 29% | 16.00 ± 0.00 | 15.10 ± 0.05 | 0.00 | 18.30 ± 0.57 |
| ChCl-U 29% | 10.10 ± 0.05 | 0.00 | 0.00 | 12.00 ± 0.00 |
| ChCl-CA 100% | 29.00 ± 0.00 | 26.00 ± 0.00 | 30.00 ± 0.00 | 28.00 ± 0.00 |
| ChCl-Gly 100% | 0.00 | 0.00 | 0.00 | 13.00 ± 0.00 |
| ChCl-LA100% | 20.00 ± 0.00 | 23.00 ± 0.00 | 15.00 ± 0.00 | 21.10 ± 0.05 |
| ChCl-U 100% | 12.00 ± 0.00 | 0.00 | 0.00 | 15.00 ± 0.00 |
| Ciprofloxacin (5 µg/disc) | 26.70 ± 0.06 | 30.00 ± 0.00 | 32.00 ± 0.00 | * NT |
| Fluconazol (25 µg/disc) | NT * | NT * | NT * | 28.00 ± 0.00 |
| Voriconazol (1 µg/disc) | NT * | NT * | NT * | 32.50 ± 0.50 |
| HPC-NADES Components | HPC-NADES Systems | |
|---|---|---|
| HPC-NADES 17% | HPC-NADES 29% | |
| HPC | 1.36 g | 1.12 g |
| ChCl-U 100% | 0.73 g choline chloride + 0.63 g urea (1:2 molar ratio) | 1.25 g choline chloride + 1.07 g urea (1:2 molar ratio) |
| ChCl-Gly 100% | 0.58 g choline chloride + 0.77 g glycerol (1:2 molar ratio) | 1.00 g choline chloride + 1.32 g glycerol (1:2 molar ratio) |
| ChCl-LA 100% | 0.83 g choline chloride + 0.53 g lactic acid (1:1 molar ratio) | 1.41 g choline chloride + 0.91 g lactic acid (1:1 molar ratio) |
| ChCl-CA 100% | 0.57 g choline chloride + 0.78 g citric acid (1:1 molar ratio) | 0.98 g choline chloride + 1.34 g citric acid (1:1 molar ratio) |
| water | 5.28 g | 4.56 g |
Publisher’s Note: MDPI stays neutral with regard to jurisdictional claims in published maps and institutional affiliations. |
© 2022 by the authors. Licensee MDPI, Basel, Switzerland. This article is an open access article distributed under the terms and conditions of the Creative Commons Attribution (CC BY) license (https://creativecommons.org/licenses/by/4.0/).
Share and Cite
Filip, D.; Macocinschi, D.; Balan-Porcarasu, M.; Varganici, C.-D.; Dumitriu, R.-P.; Peptanariu, D.; Tuchilus, C.G.; Zaltariov, M.-F. Biocompatible Self-Assembled Hydrogen-Bonded Gels Based on Natural Deep Eutectic Solvents and Hydroxypropyl Cellulose with Strong Antimicrobial Activity. Gels 2022, 8, 666. https://doi.org/10.3390/gels8100666
Filip D, Macocinschi D, Balan-Porcarasu M, Varganici C-D, Dumitriu R-P, Peptanariu D, Tuchilus CG, Zaltariov M-F. Biocompatible Self-Assembled Hydrogen-Bonded Gels Based on Natural Deep Eutectic Solvents and Hydroxypropyl Cellulose with Strong Antimicrobial Activity. Gels. 2022; 8(10):666. https://doi.org/10.3390/gels8100666
Chicago/Turabian StyleFilip, Daniela, Doina Macocinschi, Mihaela Balan-Porcarasu, Cristian-Dragos Varganici, Raluca-Petronela Dumitriu, Dragos Peptanariu, Cristina Gabriela Tuchilus, and Mirela-Fernanda Zaltariov. 2022. "Biocompatible Self-Assembled Hydrogen-Bonded Gels Based on Natural Deep Eutectic Solvents and Hydroxypropyl Cellulose with Strong Antimicrobial Activity" Gels 8, no. 10: 666. https://doi.org/10.3390/gels8100666
APA StyleFilip, D., Macocinschi, D., Balan-Porcarasu, M., Varganici, C.-D., Dumitriu, R.-P., Peptanariu, D., Tuchilus, C. G., & Zaltariov, M.-F. (2022). Biocompatible Self-Assembled Hydrogen-Bonded Gels Based on Natural Deep Eutectic Solvents and Hydroxypropyl Cellulose with Strong Antimicrobial Activity. Gels, 8(10), 666. https://doi.org/10.3390/gels8100666

