Next Article in Journal
Synthesis and In Vitro Evaluation of Aspartic Acid Based Microgels for Sustained Drug Delivery
Next Article in Special Issue
Insights into the Role of Biopolymer-Based Xerogels in Biomedical Applications
Previous Article in Journal
The Effect of Salt on the Gelling Properties and Protein Phosphorylation of Surimi-Crabmeat Mixed Gels
 
 
Font Type:
Arial Georgia Verdana
Font Size:
Aa Aa Aa
Line Spacing:
Column Width:
Background:
Article

4-Dialkylamino-2,5-dihydroimidazol-1-oxyls with Functional Groups at the Position 2 and at the Exocyclic Nitrogen: The pH-Sensitive Spin Labels

by
Dmitrii G. Trofimov
1,
Yuri I. Glazachev
2,
Artem A. Gorodetsky
1,
Denis A. Komarov
1,
Tatyana V. Rybalova
1 and
Igor A. Kirilyuk
1,*
1
N. N. Vorozhtsov Novosibirsk Institute of Organic Chemistry SB RAS, 630090 Novosibirsk, Russia
2
Voevodsky Institute of Chemical Kinetics and Combustion SB RAS, 630090 Novosibirsk, Russia
*
Author to whom correspondence should be addressed.
Submission received: 2 December 2021 / Revised: 17 December 2021 / Accepted: 17 December 2021 / Published: 23 December 2021
(This article belongs to the Special Issue Advances in Xerogels: From Design to Applications)

Abstract

Local acidity and electrostatic interactions are associated both with catalytic properties and the adsorption activity of various materials, and with the vital functions of biomolecules. The observation of acid–base equilibria in stable free radicals using EPR spectroscopy represents a convenient method for monitoring pH changes and the investigation of surface electrostatics, the advantages of which are especially evident in opaque and turbid samples and in porous materials such as xerogels. Imidazoline nitroxides are the most commonly used pH-sensitive spin probes and labels due to the high sensitivity of the parameters of the EPR spectra to pH changes, their small size, and their well-developed chemistry. In this work, several new derivatives of 4-(N,N-dialkylamino)-2,5-dihydrioimidazol-1-oxyl, with functional groups suitable for specific binding, were synthesized. The dependence of the parameters of their EPR spectra on pH was studied. Several showed a pKa close to 7.4, following the pH changes in a normal physiological range, and some demonstrated a monotonous change of the hyperfine coupling constant by 0.14 mT upon pH variation by four units.

1. Introduction

Interfacial phenomena and local protonation effects play an important role in biophysics, biochemistry, and in the chemistry of heterogeneous systems [1]. Catalytic and sorption properties of various materials are dependent on the local acidity and electrostatic interactions inside the pores [2]. Measurements of the local acidity and electrostatic potential of the inner pore surfaces represent a problem of great practical interest. Several methods have been developed for the characterization of the acid–base properties of different surface locations [3].
EPR spectroscopy of ionizable nitroxides is a convenient method for the investigation of the above-mentioned phenomena [2,4,5], and is fully applicable to opaque or turbid materials [5,6]. Nitroxide spin probes are small enough to penetrate directly into the pores and to be adsorbed onto the surface of the material under study. The protonation of basic centers in specially designed spin probes affects the hyperfine coupling A-tensor and g-factor matrix, as well as the rotational dynamics of the nitroxide molecule in the proximity of charged surfaces, and this is reflected in the EPR spectra [7]. An analysis of these data gives information about the acidic centers in the material and the local surface electrostatic potential. Recently, EPR studies using pH-sensitive spin probes were successfully used for the investigation of binary TiO2-SiO2 xerogels [8].
Imidazoline nitroxides are the most commonly used pH-sensitive spin probes and labels due to the high sensitivity of the parameters of the EPR spectra to pH changes, their small size, and their well-developed chemistry. A large number of pH-sensitive nitroxides of the imidazoline series have been prepared [1,4,9]. Some of them are highly sensitive to pH changes in physiologically important regions. The development of a convenient method for the synthesis of 4-(N,N-dialkylamino)-2,5-dihydrioimidazol-1-oxyls from 4H-imidazole-3-oxides [10] allowed for easy variation of the substituents in position two of the heterocycle to prepare useful spin probes. Examples illustrating the benefits of this strategy include the synthesis of nitroxides with two pKa values showing high sensitivity in a broad range of pH [11,12], e.g., Scheme 1, label 1, and pH-sensitive alkylating spin, labels 2a–c [13,14,15], which were used to prepare the hydrophilic spin probes from glutathione [13,14], thiol-specific pH-sensitive spin, label 3, for site-directed labeling of proteins and lipids [16,17], and siloxane-derived spin, label 4, capable of binding to silica or alumina surfaces [7]. Despite the significant advances in this area, the broad variety of potential research objects produces a request for new pH-sensitive spin labels capable of specific attachment. Here we describe a new set of pH-sensitive imidazoline nitroxides with various functional groups in the side chain. Some of them may find an application in material science or in biophysics.

2. Results and Discussion

The high reactivity of 2 in nucleophilic substitution reactions offers easy access to new functional derivatives. Expectedly, 2b readily reacts with sodium azide to produce 5 with a nearly quantitative yield. Nitroxide azides can be used for the spin labeling of acetylene-modified molecules via Huisgen 1,3-dipolar cycloaddition [18,19]. In analogy to the literature [20], a reaction of 5 with tetraisopropyl but-3-yne-1,1-diyldiphosphonate 6 in the presence of Cu(II) salt and ascorbic acid after subsequent re-oxidation produced 7 (Scheme 2).
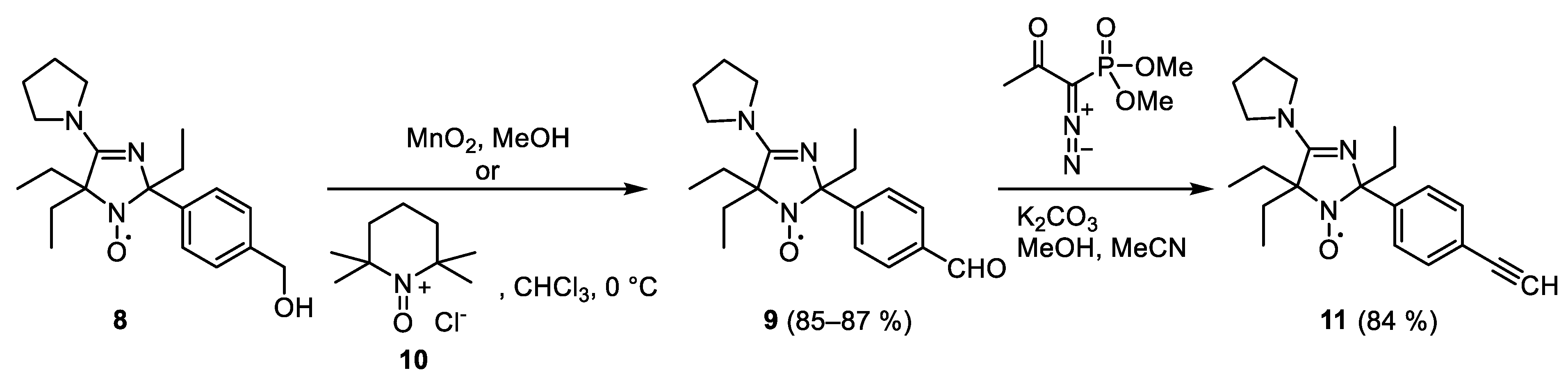
The addition of nitroxides with a terminal acetylene group to azide-modified biomolecules, e.g., nucleic acids, is another way to use the Huisgen-click reaction for spin labeling. Terminal acetylenes can also be attached via Pd-catalyzed coupling [21]. A spin label with a terminal acetylene group was prepared from 8 in two steps (Scheme 3). The oxidation of benzyl alcohol 8 with the activated manganese dioxide in methanol smoothly led to the formation of the corresponding aldehyde 9, with the nitroxyl group and the amidine moiety being unaffected. Alternatively, 8 can be oxidized to the aldehyde 9 with 1-oxo-2,2,6,6-tetramethylpiperidinium chloride 10 with similar yield. The aldehyde 9 readily reacts with Bestmann-Ohira reagent to produce 11 with a yield of 84% [22]. The structure of 11 was confirmed with X-ray analysis data (Figure S1).
Unless the attachment of a pH-sensitive nitroxide to a primary amino group is successfully performed via alkylation with 2b [7], the acylation reaction is more selective, allowing for the binding of a single nitroxide to the site. Carboxylic acids can be easily prepared from 8. Here we used a convenient one-pot process, where the reaction of 8 with an oxoammonium salt 10 was followed by the Lindgren-Kraus-Pinnick procedure [23] (Scheme 4). The carboxylic acid 12 was isolated with a 95% yield. To activate carboxylic group for acylation, the nitroxide 12 was treated with SOCl2 in the presence of pyridine. The chloroanhydride formed readily reacted with ethanol to give ester 14. The reaction of 13 with N-hydroxysuccinimide (NHS) produced spin label 15.
Another nitroxide with a carboxylic group on a longer spacer was prepared in one step from 8 via acylation with succinic anhydride (Scheme 5).
The EPR spectra of nitroxides 7, 11, 12, 15, and 16 are strongly pH-dependent with ΔaN > 0.1 mT, and a pKa between 6 and 6.7 (Table 1). The titration curves demonstrate optimal sensitivity in slightly acidic media [14,15], but the sensitivity is not optimal in the normal physiological range of 7.35–7.45 [24]. Similar structures without aromatic substituents are known to show higher pKa values [11].
To prepare 2-functionalized nitroxides with a pKa above 7, the reaction of 4H-imidazol-3-oxide 17 with Grignard reagents was used (Scheme 6). The treatment of 17 with alkenylmagnesium bromides produced nitroxides with a terminal ethylene bond 18a,b. The hydroboration of 18a,b with 9-BBN, followed by oxidation with hydrogen peroxide, was performed using the protocol developed by Hideg for 2-allyl pyrrolidine nitroxides [25]. The reaction produced alcohols 19a,b, which were then treated with carbonyldiimidazole (CDI) to give 20a,b. To demonstrate the feasibility of the carbonylimidazole pH-sensitive spin labels for binding to primary amino groups, 20b was allowed to react with N,N-diethyl-1,3-diaminopropane.
The nitroxide 21 was isolated with a 60% yield. The oxidative cleavage of the terminal double carbon–carbon bond in 18b with osmium tetraoxide–oxone system yielded carboxylic acid 22.
The addition of 2-(1,3-dioxolan-2-yl) ethylmagnesium bromide to 17 is another convenient way to create 2-functionalized pH-sensitive spin labels. The reaction produced nitroxide 23 with a high yield. The dioxolane protection group in 23 was readily removed under relatively mild conditions to give the corresponding aldehyde 24, which can be either oxidized to carboxylic acid 25 using the Lindgren-Kraus-Pinnick procedure, or reduced with sodium borohydride to 19a. The sequence 17232419a gives a remarkably higher yield of the target nitroxide than the addition of allylmagnesium bromide with subsequent hydroboration. A titration of the nitroxides 20, 22, and 25 showed that they may be valuable spin labels and probes with high sensitivities to changes of pH within the physiological range (see Table 1, Figure 1 and Supplementary Materials).
An investigation of the surfaces of many inorganic and organo-inorganic materials (catalysts, sorbents, etc.) requires nitroxides with a high sensitivity to acidity changes within a broad range of pH. A good example of such a spin probe is two-pKa nitroxide 1, which was successfully used in numerous studies [8,26,27,28,29,30,31]. A covalent attachment of similar nitroxides to the surface of a catalyst or a sorbent may provide a useful method for studies of the near-surface layer in these materials. Here we designed analogs of 1 with a functional group in a substituent at the exocyclic nitrogen atom of the amidine moiety.
N-(4-(1,3-dioxolan-2-yl)benzyl)-N-methylamine 26 was prepared in two steps from tereftaldicarboxaldehyde 27 (Scheme 7).
A reaction of the 5-cyano-4H-imidazole-3-oxide 29 with 26 resulted in cyanide substitution with the formation of 30, and the latter was treated with an excess of ethylmagnesium bromide (Scheme 8). The nitroxide 31 was isolated after a quenching of the reaction mixture with water and oxidation. To hydrolyze the dioxolane ring, 31 was heated to reflux in 0.5 M aqueous HCl. The resulting aldehyde 32 was reduced with sodium borohydride to the corresponding alcohol 34, or oxidized with sodium chlorite to carboxylic acid 33 as described above for 23. Similarly to 11, the nitroxide 33 was converted into succinimidyl ester 35 via a reaction of in situ generated chloroanhydride with NHS.
Titration of the nitroxides 32–35 showed a gradual monotonous increase of HFC on the nitroxide nitrogen atom by ca. 0.14 mT upon a pH change from 1.5 to 5.5 (see Figure 2, Table 2, and Supplementary Materials). The shape of the titration curve perfectly corresponded to a two-step acid–base equilibrium, and fitting with the Henderson-Hassellbalch function (Equation (2), see experimental part) gave two pKa values for each nitroxide (Table 1), corresponding to the sequential protonation of the basic centers, amidine group and pyridine nitrogen.
In accordance with the general concept of basicity, the pKa value of the amidine fragment should be higher than that of the pyridine one. However, according to the simulation, the protonation of the center with a more acidic pKa is accompanied by a change in the hyperfine constant by 0.077–0.092 mT, which is typical of the amidine group in 4-amino-2,5-dihydroimidazol-1-oxyls, while the higher pKa (4.73–4.89) corresponds to a smaller change in the hyperfine constant (0.05–0.063 mT), which may correspond to pyridine moiety protonation. Moreover, the basic pKa showed minor dependence on the nature of the substituent at the exocyclic nitrogen, while the acidic pKa varies from 2.58 for 34 to 2.19 for 35. Meanwhile, a comparison of 34 and 35 shows that an increase in the electron-withdrawing character of the substituent at the exocyclic nitrogen leads to an increase of ΔaN in the more acidic region, and a decrease of that correspondent to higher pKa. A comparison of the titration data for 1 and 36 [11] gives similar results. Data in the literature show that pKa values for 4-amino-2,5-dihydroimidazol-1-oxyls are strongly dependent on substituents at exocyclic nitrogen and can go below four [32,33]. Thus, it is obvious that the pyridine nitrogen and amidine group in 3135 have similar basicity and the contribution of different monoprotonated forms is varying depending on the electronic effect of the substituents at the exocyclic nitrogen.

3. Conclusions

In this paper feasibility of the approach to synthesis of pH-sensitive spin labels of 4-amino-2,5-dihydrioimidazol-1-oxyl series was once again demonstrated. We have showed that various functional groups can be easily placed in the substituents both in position 2 and to exocyclic nitrogen to make the spin probe suitable for a specific purpose. The potential of this synthetic scheme is still far from exhaustion.

4. Materials and Methods

4.1. General Information

The nitroxides and 4H-imidazol-3-oxides 2b, 8, 17 and 29 were prepared according to the literature protocols [10,11,14]. 1,1′-Carbonyldiimidazole and Ohira-Bestmann Reagent (dimethyl (1-diazo-2-oxopropyl)phosphonate, 10% solution in acetonitrile) were purchased from TCI Europe N.V. (Zwijndrecht, Belgium); 2-(2-bromoethyl)-1,3-dioxolan and 9-BBN 0.5 M solution in THF were purchased from Acros Organics B.V.B.A. (Geel, Belgium).
The IR spectra were recorded on a Bruker Vector 22 FT-IR spectrometer (Bruker, Billerica, MA, USA) in KBr pellets (1:150 ratio) or in neat samples (for oily compounds). UV spectra were acquired on a HP Agilent 8453 spectrometer (Agilent Technologies, Santa Clara, CA, USA) in ethanol solutions (concentration ~104 M). NMR spectra 1H and 13C were recorded on a Bruker AV-300 (300.132 and 75.467 MHz), AV-400 (400.134 and 100.614 MHz). 1H and 13C chemical shifts (δ) were internally referenced to the residual solvent peak. The nitroxides were reduced to diamagnetic compounds with PhSH [34], N2D4 [35], Zn/CF3COOH [36], or Zn/ND4Cl/D2O [37] prior to recording the 1H NMR spectra. HRMS analyses were performed with High Resolution Mass Spectrometer DFS (Thermo Electron, Brehmen, Germany). Reactions were monitored by TLC carried out using UV light 254 nm or 1% aqueous permanganate. Column chromatography was performed on silica gel 60 (70−230 mesh).
The X-ray diffraction experiment was carried out on a Bruker KAPPA APEX II (Bruker, Billerica, MA, USA) diffractometer (graphite-monochromated Mo Kα radiation). Reflection intensities were corrected for absorption by SADABS-2016 program [38]. The structure of compound 11 was solved by direct methods using the SHELXT-2014 program [39] and refined by anisotropic (isotropic for all H atoms) full-matrix least-squares method against F2 of all reflections by SHELXL-2018 [40]. The positions of the hydrogen atoms were calculated geometrically and refined in riding model. One of the geminal ethyl groups is disordered due to thermal motion at approximate ratio 3:2. Crystallographic data for 11 have been deposited at the Cambridge Crystallographic Data Centre as supplementary publication no. CCDC 2124865. Copy of the data can be obtained, free of charge, by application to CCDC, 12 Union Road, Cambridge CB21EZ, UK (Fax: +44-122-3336033 or e-mail: deposit@ccdc.cam.ac.uk; internet: www.ccdc.cam.ac.uk (accessed on 29 November 2021)). The details are shown in Supplementary Materials.

4.2. Synthesis

2-(4-(Azidomethyl)phenyl)-2,5,5-triethyl-4-pyrrolidino-2,5-dihydro-1H-imidazol-1-oxyl (5)
A mixture of 2b hydrochloride [15] (320 mg, 0.82 mmol), sodium hydrocarbonate (250 mg, 3 mmol), diethyl ether (30 mL), and water (20 mL) was vigorously stirred until powder of 2b completely dissolved. The ether solution was separated and concentrated in vacuum without heating. The residue was dissolved in DMSO (5 mL), a solution of NaN3 (0.5 g, 7.7 mmol) was added, and the mixture was stirred at 60 °C for 10 h. The mixture was diluted with water (20 mL) and saturated solution of NaCl (50 mL) and extracted with diethyl ether. The extract was washed with saturated solution of NaCl and dried with Na2CO3, concentrated in vacuum, and the residue was separated using column chromatography on silica gel, eluent chloroform, to give 5, yield 290 mg (95%), yellow crystals, m.p. 63–65 °C (hexane). Elemental analysis, found: C, 65.33; H, 8.01; N, 22.47; calcd. for C20H29N6O: C, 65.01; H, 7.91; N, 22.75%. IR (KBr) νmax: 2091 (N3), 1597 and 1574 (C=N, C=C).
Tetraisopropyl but-3-yne-1,1-diyldiphosphonate (6)
(In analogy to procedure by C. Li and C. Yuan [41]) Tetraisopropyl methylenediphosphonate (5 g, 14.5 mmol) was added dropwise to a stirred suspension of NaH (0.8 g 50% content, 16.7 mmol) in dry THF (50 mL) under argon. After hydrogen evolution ceased, propargyl bromide (1.1 mL, 14.5 mmol) was added dropwise under argon to the stirred suspension. The mixture was stirred for 3 h, then the mixture was diluted with water (50 mL) and pH was adjusted to neutral with hydrochloric acid. The mixture was extracted with diethyl ether, the extract was dried with Na2CO3 and concentrated in vacuum. The residue was separated using column chromatography on silica gel, eluent chloroform, to give 6, yield 1.4 g (25%), colorless liquid. Elemental analysis, found: C, 50.35; H, 8.49; P, 16.10; calcd. for C16H32O6P2: C, 50.26; H, 8.44; P, 16.20%; IR (neat) νmax (cm−1): 2122 (C≡C). 1H NMR (400 MHz; CDCl3, δ): 1.25 (24H, m, CH3), 1.93 (1H, t, J 2.3, ≡CH), 2.43 (1H, br tt, Jt1 24, Jt2 5.9, P−CH−P), 2.64 (2H, tdd, Jt 16, Jd1 5.9, Jd2 2.3, CH2), 4.7 (4H, m, O−CH<); 13C{1H} NMR (150 MHz; CDCl3, δ): 15.87 (t, JP 4.8, CH2), 23.70 (dd, JP-1 5.8, JP-2 1.4, CH3), 24.05 (t, JP 3.5, CH3), 37.87 (t, JP 135.7, P2CH), 69.66 (s, ≡CH), 71.36 (dd, JP-1 5.7, JP-2 6.5, OCH), 81.60 (t, JP 9.7, –C≡).
2-(4-((4-(2,2-Bis(diisopropoxyphosphoryl)ethyl)-1H-1,2,3-triazol-1-yl)methyl)phenyl)-2,5,5-triethyl-4-pyrrolidino-2,5-dihydro-1H-imidazol-1-oxyl (7)
Ascorbic acid (140 mg, 0.79 mmol) was added to a mixture of 5 (241 mg, 0.65 mmol), 6 (259 mg, 0.67 mmol), EtOH (1.5 mL), H2O (1.5 mL), and saturated solution of CuSO4 in water (0.15 mL). The mixture was stirred for 2 h, then PbO2 (1 g, 4.17 mmol) was added, the mixture was stirred for 1 h, then the precipitate was filtered off and washed with ethanol. The combined solutions were evaporated in vacuum and the residue was separated using column chromatography on silica gel, eluent chloroform, to give 7, yield 320 mg (65%), yellow oil. Elemental analysis, found: C, 57.23; H, 8.30; N, 10.98; P, 8.35; calcd. for C36H61N6O7P2: C, 57.51; H, 8.18; N, 11.18; P, 8.24%; IR (neat) νmax (cm−1): 1595, 1576 (C=N, C=C). 1H NMR (300 MHz; CD3OD–CDCl3, reduced with Zn in ND4Cl/D2O, δ): 0.76 (3H, t, J 7, CH3), 0.90 (3H, t, J 7, CH3), 1.04 (3H, t, J 7, CH3), 1.26 (24H, m, C(CH3)2), 1.45 (2H, m, CH2Me), 1.83 (1H, m, CH2Me), 2.12 (7H, br m, CH2Me and C-CH2CH2-C), 2.86 (1H (partly exchanged), tt, JP 23, JH 6, P–CH–P), 3.26 (2H, br t, JP 16.5, P2C−CH2−), 3.7 (4H, m, CH2−N−CH2), 4.69 (4H, septet, J 6, O−CH), 5.51 (2H, s, Ar−CH2), 7.32 (2H, d, J 8, CH Ar), 7.39 (1H, s, OH), 7.52 (2H, d, J 8, CH Ar), 7.69 (1H, s, N−CH=); 1H NMR (300 MHz; CD3OD–CDCl3, reduced with Zn/CF3COOH in CD3OD, 65 °C, δ): 0.85 (3H, t, J 7, CH3), 0.89 (3H, t, J 7, CH3), 1.04 (3H, t, J 7, CH3), 1.19 (6H, d, J 6, C(CH3)2), 1.27 (6H, d, J 6, C(CH3)2), 1.33 (12H, d, J 6, C(CH3)2), 1.49 (2H, m, CH2Me), 2.02 (8H, br m, CH2Me and C−CH2CH2−C), 2.99 (1H (partly exchanged), tt, JP 24, JH 6, P−CH-P), 3.26 (2H, m, P2C−CH2−), 3.7 (4H, m, CH2−N−CH2), 4.75 (4H, septet, J 6, O−CH), 5.56 (2H, s, Ar−CH2), 7.37 (2H, d, J 8, CH Ar) and 7.60 (2H, d, J 8, CH Ar), 7.75 (1H, s, N−CH=); 31P NMR (121.497 MHz; CD3OD-CDCl3, reduced with Zn in ND4Cl/D2O, δ): 20.44, 20.47.
2,5,5-Triethyl-2-(4-formylphenyl)-4-pyrrolidino-2,5-dihydro-1H-imidazol-1-oxyl (9)
Method A
Activated manganese dioxide (4 g, 46 mmol) was added to a stirred solution of 8 (0.4 g, 1.16 mmol) in methanol (50 mL). The mixture was stirred for 4 h, manganese oxides were filtered off through celite 281, the solvent was distilled off in vacuum and the residue was separated using column chromatography on silica gel, eluent chloroform, to give 9, yield 340 mg (85%), yellow crystals, m.p. 84–85 °C dec. (chroloform-hexane). Elemental analysis, found: C, 70.20; H, 8.15; N, 12.31; calcd. for C20H28N3O2: C, 70.14; H, 8.24; N, 12.27%. IR (KBr) νmax (cm−1): 1697 (C=O); 1593, 1570 (C=N, C=C); UV (EtOH) λmax (log ε): 229 (4.22), 253 (4.26).
Method B
A powder of 2,2,6,6-tetramethylpiperidinium chloride (0.4 g, 2.03 mmol) was added to a solution of 8 (0.5 g, 1.5 mmol) in chloroform (10 mL) and the solution was stirred for 2 h at room temperature. The solvent was distilled off in vacuum, the residue was separated using column chromatography on silica gel, eluent chloroform, to give 9, yield 440 mg (85%).
2,5,5-Triethyl-2-(4-ethynylphenyl)-4-pyrrolidino-2,5-dihydro-1H-imidazol-1-oxyl (11)
A solution of dimethyl (1-diazo-2-oxopropyl)phosphonate in acetonitrile (10%, 0.7 mL, 0.31 mmol) was added to a mixture of 8 (100 mg, 0.29 mmol), freshly annealed K2CO3 (84 mg, 0.61 mmol) and anhydrous methanol (5 mL). The mixture was stirred overnight, methanol was distilled off in vacuum, the residue was triturated with ethyl acetate, the precipitate was filtered off and washed with ethyl acetate, the combined solution was concentrated in vacuum and separated by column chromatography on silica gel, eluent diethyl ether–hexane 1:1 to give 11, yield 82 mg (84%), orange crystals, m.p. 156–158 °C (hexane-ethyl acetate). Elemental analysis, found: C, 74.81; H, 7.97; N, 12.50; calcd. for C21H28N3O: C, 74.52; H, 8.34; N, 12.41%. IR (KBr) νmax (cm−1): 3151 (≡C–H), 2094 (C≡C); 1587, 1554 (C=N, C=C).
2-(4-Carboxyphenyl)-2,5,5-triethyl-4-pyrrolidino-2,5-dihydro-1H-imidazol-1-oxyl (12)
A solution of 8 (0.5 g, 1.5 mmol) in CHCl3 (10 mL) was cooled to 0 °C and 2,2,6,6-tetramethyloxopiperidinium chloride (10) (0.4 g, 2.0 mmol) was added in one portion. The mixture was stirred for 2 h at 0 °C. Then 2-methylbut-2-ene (1.8 mL, 17.4 mmol) was added to reaction mixture followed by addition of a solution of NaClO2 (0.9 g, 9.8 mmol) and KH2PO4 (1.3 g, 9.8 mmol) in H2O (44 mL). The mixture was stirred for 2 h, the organic layer was separated, washed with saturated aqueous solution of Na2CO3 (3 × 20 mL) and concentrated in vacuum. The residue was separated by column chromatography on silica gel using CHCl3–EtOH mixture (100:16) as an eluent to give light-yellow crystals of 12, yield 463 mg (89%), m.p. 205–207 °C (AcOEt—i-PrOH 10:1). Elemental analysis, found: C, 66.85; H, 7.87; N, 11.71; calcd. for C20H28N3O3: C, 67.01; H, 7.87; N, 11.72%. IR (KBr) νmax (cm−1): 2974 (C–H), 1693 (C=O), 1591 (C=N), 1571 (C=C). UV (EtOH) λmax (log ε): 232 (4.41). 1H NMR (400 MHz; CD3OD–CDCl3, reduced with PhSH, δ): 0.78 (3H, t, J 7.3, CH3), 0.85 (3H, t, J 7.3, CH3), 0.95 (3H, t, J 7.3, CH3), 1.00–1.12 (2H, m, CH2, Et), 1.36, 1.75 (2H, AB, CH2, Et), 1.85–1.99 (2H, m, CH2, Et), 2.00 (4H, m, 4CH2, Pyrr), 3.50–3.55 (4H, m, CH2−N−CH2, Pyrr), 7.66 (2H, d, J 8, CH Ar), 8.01 (2H, d, J 8, CH Ar).
2-(4-(Ethoxycarbonyl)phenyl)-2,5,5-triethyl-4-pyrrolidino-2,5-dihydro-1H-imidazol-1-oxyl (14)
Pyridine (340 μL, 4.2 mmol) was added to a suspension of 12 (0.5 g, 1.4 mmol) acid in dry CHCl3 (10 mL). The resulting solution was stirred at 0 °C, and SOCl2 (130 μL, 1.8 mmol) was added dropwise. The stirring continued for 3 h, then ethanol (1 mL, 17 mmol) was added in one portion. The mixture was stirred for 2 h, the solvent was removed in vacuum, and the residue was separated using column chromatography on silica gel, eluent CHCl3–EtOH 200:1, to give 14, yield 352 mg (65%), yellow crystals, m.p. 85–90 °C (hexane). Elemental analysis, found: C, 68.60; H, 8.10; N, 10.80; calcd. for C23H32N3O3: C, 68.27; H, 8.35; N, 10.87). IR (KBr) νmax (cm−1): 2970 (C–H), 1718 (C=O), 1593 (C=N), 1571 (C=C). UV (EtOH) λmax (log ε): 231 (4.45). 1H NMR (300 MHz; CDCl3-CD3OD, reduced with Zn/CF3COOH in CD3OD, 65 °C, δ): 0.62 (3H, t, J 7.2, CH3), 0.68 (3H, t, J 7.4, CH3), 0.81 (3H, t, J 7.5, CH3), 0.88–1.12 (2H, m, CH2, Et), 1.17 (3H, t, J 7.1, CH3CH2O), 1.2, 1.60–1.84 (4H, m, CH2, Et2), 1.89 (4H, m, C−CH2CH2−C, Pyrr), 3.44 (4H, m, CH2–N–CH2, Pyrr), 4.15 (2H, q, J 7.1, CH2O), 7.44 (2H, d, J 8, CH Ar), 7.80 (2H, d, J 8, CH Ar).
2-(4-((2,5-Dioxopyrrolidinooxy)carbonyl)phenyl)-2,5,5-triethyl-4-pyrrolidino-2,5-dihydro-1H-imidazol-1-oxyl (15)
Pyridine (100 μL, 1.2 mmol) was added to a suspension of 12 (0.138 g, 0.39 mmol) in dry CHCl3 (5 mL), the resulting solution was stirred at 0 °C, and SOCl2 (30 μL, 0.4 mmol) was added dropwise. The reaction mixture was stirred for 3 h, then N-hydroxysuccinimide (44 mg, 0.39 mmol) was added in one portion. The mixture was stirred for 1 h, the solvent was removed in vacuum, and residue was separated using column chromatography on silica gel, eluent CHCl3–EtOH (100:1), to give 15, yield 102 mg (58%), yellow crystals, m.p. 107–108 °C (Et2O—hexane 1:2). Elemental analysis, found: C, 63.09; H, 6.86; N, 11.92; calcd. for C24H31N4O5: C, 63.28; H, 6.86; N, 12.30%. IR (KBr) νmax (cm−1): 2974 (C–H), 1774, 1743 (C=O), 1591 (C=N), 1571 (C=C). UV (EtOH) λmax (log ε): 235 (4.41).
2-(4-((3-Carboxypropanoyloxy)methyl)phenyl)-2,5,5-triethyl-4-pyrrolidino-2,5-dihydro-1H-imidazol-1-oxyl (16)
Succinic anhydride (0.15 g, 1.5 mmol) was added to a solution of 8 (0.2 g, 0.6 mmol) in CHCl3 (10 mL) and the reaction mixture was heated to reflux for 2 h. The resulting solution was washed with H2O (10 mL), dried with Na2SO4, and the solvent was removed in vacuum. The solid residue was triturated with ether, the crystalline precipitate of 16 was filtered off and washed with diethyl ether, yield 213 mg (80%), yellow crystals, m.p. 168–169 °C dec. (Et2O). Elemental analysis, found: C, 64.37; H, 7.52; N, 9.48; calcd. for C24H34N3O5: C, 64.24; H, 7.71; N, 9.45%. IR (KBr) νmax (cm−1): 2969 (C-H), 1731 (C=O ester), 1587 (C=N), 1569 (C=O carboxy). UV (EtOH) λmax (log ε): 220 (4.03). 1H NMR (300 MHz; CDCl3-CD3OD, reduced with Zn/CF3COOH in CD3OD, 65 °C, δ): 0.66 (6H, m, CH3), 0.81 (3H, m, CH3), 1.00, 1.24 (2H, m, CH2, Et), 1.56–1.81 (4H, m, 2 × CH2, Et2), 1.89 (4H, m, C−CH2CH2−C, Pyrr), 2.44 (4H, m, CH2CH2CO2H), 3.44 (4H, m, CH2–N–CH2, Pyrr), 4.9 (2H, m, CH2O), 7.14 (2H, d, J 8, CH Ar), 7.31 (2H, d, J 8, CH Ar).
2-Allyl-2-ethyl-5,5-dimethyl-4-(pyrrolidino)-2,5-dihydroimidazol-1-oxyl (18a)
A solution of allylmagnesium bromide prepared from allyl bromide (1.69 mL, 20 mmol) and Mg (0.5 g, 20.5 mmol) in diethyl ether (15 mL) under argon was added dropwise to a stirred solution of nitrone 17 (0.83 g, 4.0 mmol) in THF (15 mL). The reaction mixture was stirred for 1 h, then water (30 mL) was added dropwise under vigorous stirring. Then manganese dioxide (5 g, 57 mmol) was added and the reaction mixture was stirred for 1 h. The manganese oxides were filtered off and the precipitate was washed with tert-butylmethyl ether. The organic layer was separated, the water solution was saturated with NaCl and extracted with tert-butylmethyl ether. The combined organic extracts were concentrated in vacuum and the residue was separated using column chromatography on Al2O3, eluent tert-butylmethyl ether–hexane (1:1) to give 18a, yield 630 mg (63%), yellow crystals, m.p. 55–57 °C (hexane). Elemental analysis, found: C, 67.22; H, 10.23; N, 16.88; calcd. for C14H24N3O: C, 67.16; H, 9.66; N, 16.78%. IR (KBr) νmax (cm−1): 2975 (C–H), 1645 (C=C), 1590 (C=N). UV (EtOH) λmax (log ε): 225 (4.17). 1H NMR (400 MHz; CD3OD, reduced with N2D4, δ): 0.91 (3H, t, J 7, CH3), 1.47 (6H, d, J 2.2, CH3), 1.60–1.83 (4H, m, CH2, Et), 2.01 (4H, m, CH2–CH2 (pyrr)), 2.39–2.63 (2H, m, CH2–CH=CH2), 3.56 (4H, s, CH2–N–CH2), 5.08 (2H, m, CH2=CH), 5.97 (1H, tdd, Jt 7, Jd1 10.7, Jd2 17.2, CH2=CH).
2-Ethyl-5,5-dimethyl-2-(pent-4-enyl)-4-(pyrrolidino)-2,5-dihydroimidazol-1-oxyl (18b)
A solution of pent-4-enylmagnesium bromide was prepared from 5-bromopentene (1.6 g, 12 mmol) and Mg (335 mg, 14 mmol) in THF (20 mL) under argon. This solution was added dropwise to a stirred solution of 17 (1 g, 4.8 mmol) in THF (20 mL). The reaction mixture was stirred overnight, then water (4 mL) was added dropwise under vigorous stirring. The reaction mixture was vigorously stirred in air for 1 h, then organic layer was separated, and the aqueous layer was extracted with Et2O–EtOH (100:1). The combined organic extracts were dried with Na2SO4, solvents were distilled off in vacuum, and the residue was separated by column chromatography on Al2O3 using hexane–CHCl3 mixture (2:1) as an eluent to give 18b. Yield 931 mg (70%), yellow oil. Elemental analysis, found: C, 68.93; H, 9.80; N, 15.00; calcd. for C16H28N3O: C, 69.02; H, 10.14; N, 15.09%. IR (KBr) νmax (cm−1): 2973 (C–H), 1639 (C=C), 1594 (C=N). UV (EtOH) λmax (log ε): 225 (4.19). 1H NMR (300 MHz; CDCl3-CD3OD, reduced with Zn/CF3COOH in CD3OD, 65 °C, δ): 0.65 (3H, m, CH3, Et), 1.16 (2H, m, CH2, Et), 1.23 (2H, s, CH3), 1.32 (4H, s, CH3), 1.36–1.64 (4H, m, CH2–CH2–Allyl), 1.77 (2H, m, CH2–C=), 1.85 (4H, m, CH2–CH2–CH2–CH2), 3.23, 3.43 (4H, m, CH2–N–CH2), 4.60–4.76 (2H, m, CH2=), 5.48 (1H, tdd, =CH–, Jt 7, Jd1 10.3, Jd2 17,1).
2-Ethyl-2-(3-hydroxypropyl)-5,5-dimethyl-4-(pyrrolidino)-2,5-dihydroimidazol-1-oxyl (19a)
Method A
A solution of 9-BBN in THF (0.5 M, 8 mL, 4.1 mmol) was added dropwise to a stirred solution of 18a (400 mg, 1.6 mmol) in THF (10 mL) under argon. The reaction mixture was vigorously stirred for 4 h, then cooled to 0 °C and cold (0 °C) aqueous NaOH (20%, 10 mL) and cold (0 °C) H2O2 (30%, 3 mL) were added dropwise successively. The mixture was allowed to warm to room temperature upon stirring (ca. 2 h), organic layer was separated, dried with Na2CO3, and the solvent was distilled off in vacuum. The residue was dissolved in CHCl3 (25 mL), anhydrous Na2CO3 (1 g) was added, and mixture was allowed to stand overnight in air. The solution was concentrated in vacuum and separated by column chromatography on silica gel using CHCl3–EtOH mixture (100:4) as an eluent to give 19a. Yield 150 mg (35%), yellow oil. Elemental analysis, found: C, 62.53; H, 9.49; N, 15.45; calcd. for C14H26N3O2: C, 62.65; H, 9.76; N, 15.66%. IR (KBr) νmax (cm−1): 3386 (br., OH), 1592 (C=N). UV (EtOH) λmax (log ε): 225 (4.07). 1H NMR (400 MHz; CD3OD, reduced with N2D4, δ): 0.94 (3H, t, J 7.2, CH3, Et), 1.43 (6H, s, CH3), 1.53–1.92 (6H, m, CH2), 1.98 (4H, m, CH2-CH2-CH2-CH2), 3.52 (4H, s, CH2-N-CH2), 3.57 (2H, br. s, CH2O). 2-Ethyl-2-(5-hydroxypentyl)-5,5-dimethyl-4-(pyrrolidino)-2,5-dihydroimidazol-1-oxyl (19b) was prepared similarly from 18b. Yield 42%, yellow crystals, m.p. 68–73 °C (Et2O). Elemental analysis found: C, 65.17; H, 10.56; N, 14.08; calcd. for C16H30N3O2: C, 64.83; H, 10.20; N, 14.18%. IR (KBr) νmax (cm−1): 3261 (br., OH), 1593 (C=N). UV (EtOH) λmax (log ε): 225 (4.1). 1H NMR (300 MHz; CDCl3–CD3OD, reduced with Zn/CF3COOH in CD3OD, 65 °C, δ): 0.62 (3H, m, CH3, Et), 1.06 (4H, br. m, CH2–CH2–(CH2)2OH), 1.21–1.28 (8H, m, 2 × CH3, CH2, Et), 1.40 (2H, m, CH2–CH2OH), 1.57 (2H, m, >C(Et)–CH2), 1.79 (4H, br. m, C−CH2CH2−C, Pyrr), 3.20, 3.44 (4H, m, CH2–N–CH2, Pyrr), 3.26 (2H, t, J 6.5, CH2O).
Method B
Sodium borohydride (60 mg, 1.6 mmol) was added portionwise to a stirred solution of 24 (400 mg, 1.5 mmol) in EtOH (10 mL) at 0 °C. The reaction was controlled with TLC, Silufol UV-254, eluent CHCl3–EtOH (25:1). Inorganic residue was filtered off, the solution was distilled off in vacuum, and the residue separated by column chromatography as described above to give 19a. Yield 309 mg (72%).
2-(3-(1H-Imidazole-1-carbonyloxy)propyl)-2-ethyl-5,5-dimethyl-4-(pyrrolidino)-2,5-dihydro-1H-imidazol-1-oxyl (20a)
Carbonyldiimidazole (80 mg, 0.49 mmol) was added to a solution of alcohol 19a (114 mg, 0.43 mmol) in dry CHCl3 (5 mL) and the mixture was allowed to stand for 24 h. The solution was washed with brine, dried with Na2SO4, and concentrated in vacuum. The residue was separated by column chromatography on silica gel using CHCl3–EtOH mixture (100:2) as an eluent, producing 20a as yellow oil. Yield 139 mg (90%). Elemental analysis, found: C, 59.69; H, 7.72; N, 19.45; calcd. for C18H28N5O3: C, 59.65; H, 7.79; N, 19.32%. IR (KBr) νmax (cm−1): 1760 (C=O), 1592 (C=N). UV (EtOH) λmax (log ε): 223 (4.17). 2-(5-(1H-Imidazole-1-carbonyloxy)pentyl)-2-ethyl-5,5-dimethyl-4-(pyrrolidino)-2,5-dihydro-1H-imidazol-1-oxyl (20b) was prepared similarly, yield 80%, yellow oil. Elemental analysis, found: C, 61.30; H, 8.26; N, 17.70; cacld. for C20H32N5O3: C, 61.51; H, 8.26; N, 17.93%. IR (KBr) νmax (cm−1): 1762 (C=O), 1593 (C=N). UV (EtOH) λmax (log ε): 226 (3.99).
2-(3-(3-(Diethylamino)propylcarbamoyloxy)propyl)-2-ethyl-5,5-dimethyl-4-(pyrrolidino)-2,5-dihydro-1H-imidazol-1-oxyl (21)
N,N-Diethyl-1,3-diaminopropane (50 mg, 0.38 mmol) was added to a solution of 20a (126 mg, 0.35 mmol) in dry Et2O (5 mL), and mixture was allowed to stay for 24 h. The solution was concentrated in vacuum, and the residue was separated by column chromatography on Al2O3 using CHCl3 as an eluent to give 21 (Figure 3). Yield 82 mg (60%), yellow oil. Elemental analysis, found: C, 62.21; H, 10.01; N, 16.51; calcd. for C22H42N5O3: C, 62.23; H, 9.97; N, 16.49%. IR (KBr) νmax (cm−1): 1718 (C=O), 1593 (C=N). UV (EtOH) λmax (log ε): 225 (4.19). 1H NMR (300 MHz; CDCl3-CD3OD, reduced with Zn/CF3COOH in CD3OD, 65 °C, δ): 0.75 (3H, t, J 7.2, CH3), 1.11 (6H, t, J 7.3, 2 × CH3) 1.33 (6H, br., CH3), 1.40 (6H, br., CH3), 1.43–1.79 (8H, m, CH3CH2C, 1CH2, 2CH2, 5CH2,), 1.90 (4H, br. m, 10CH2, 11CH2), 2.87–3.03 (8H, m, 4CH2, 6CH2, 7CH2, 8CH2), 3.36, 3.52 (4H, m, 9CH2, 12CH2), 3.84 (2H, m, CH2O).
2-(3-Carboxypropyl)-2-ethyl-5,5-dimethyl-4-(pyrrolidino)-2,5-dihydro-1H-imidazol-1-oxyl (22)
Osmium tetroxide (30 mg, 0.4 mmol) and oxone (1.77 g, 5.8 mmol) were added successively to a solution of 18b (400 mg, 1.4 mmol) in DMF (20 mL) and the mixture was stirred for 3 h. A powder of Na2SO3 (10 g, 63 mmol) was added in one portion. Inorganic precipitate was filtered off and washed with EtOH, the combined solution was evaporated to dryness in vacuum and the residue was separated by column chromatography on silica gel using EtOH as an eluent to give 22, yield 90 mg (21%), yellow oil. M+ (cacld./found) 296.1969/296.1972. IR (neat) νmax (cm−1): 2977 (C-H), 1664 (C=O), 1592 (C=N). λmax (EtOH)/nm: 225 (lgε 4.19).
2-(2-(1,3-Dioxolan-2-yl)ethyl)-2-ethyl-5,5-dimethyl-4-(pyrrolidin-1-yl)-2,5-dihydro-1H-imidazol-1-oxyl (23)
A solution of 2-(1,3-dioxolan-2-yl)ethylmagnesium bromide was prepared from 2-(2-bromoethyl)-1,3-dioxolan (4.3 g, 24 mmol) and Mg (670 mg, 28 mmol) in 20 mL THF under a stream of argon. This solution was added dropwise to a stirred solution of nitrone 17 (850 mg, 4 mmol) in 20 mL Et2O and 6 mL THF. The reaction mixture was stirred overnight, then water (5 mL) was added dropwise under vigorous stirring. The reaction mixture was allowed to air for 1 h, then organic layer was separated, inorganic residue was quenched with Et2O–EtOH (100:1). An isolated organic layer was dried over Na2SO4, solvents were removed in vacuum. The residue was separated using column chromatography on Al2O3 using CHCl3 as an eluent to give 23, yield 1.13 g (90%), yellow oil. Elemental analysis, found: C, 62.08; H, 9.21; N, 13.43; calcd for C16H28N3O3: C, 61.91; H, 9.09; N, 13.54%. IR (KBr) νmax (cm−1): 2972 (C-H), 1593 (C=N), 1143 (C–O). λmax (EtOH)/nm: 225 (lgε 3.90).
2-Ethyl-5,5-dimethyl-2-(3-oxopropyl)-4-(pyrrolidin-1-yl)-2,5-dihydro-1H-imidazol-1-oxyl (24)
A solution of oxalic acid (180 mg, 2 mmol) in water (6 mL) was added to a solution of nitroxide 23 (250 mg, 0.8 mmol) in EtOH (4 mL). The reaction mixture was stirred for 3 h under reflux, then ethanol was removed in vacuum, saturated aqueous KHCO3 (10 mL) was added to a residue. The product was extracted with CHCl3i-PrOH mixture (50:1) (3 × 15 mL). An isolated organic layer was dried over Na2SO4, the solvents were removed in vacuum, the residue was separated using column chromatography on silica gel using CHCl3-EtOH mixture (50:1) as an eluent to give 24, yield 161 mg (75%), yellow oil. Elemental analysis, found: %: C, 63.08; H, 9.18; N, 15.63; calcd. for C14H24N3O2: C, 63.13; H, 9.08; N, 15.78. IR (neat) νmax (cm−1): 2972 (C-H), 1720 (C=O), 1593 (C=N). λmax (EtOH)/nm: 225 (lgε 4.16).
2-(2-Carboxyethyl)-2-ethyl-5,5-dimethyl-4-(pyrrolidin-1-yl)-2,5-dihydro-1H-imidazol-1-oxyl (25)
Trimethylethylene (1 mL, 9.0 mmol) was added to a cooled (0 °C) solution of aldehyde 24 (200 mg, 0.8 mmol) in 10 mL CH3CN followed by addition of a solution of NaClO2 (480 mg, 5.3 mmol) and KH2PO4 (710 mg, 5.3 mmol) in H2O (20 mL). Progress of the reaction was monitored by TLC (silica gel, CHCl3–EtOH (50:1), developing with 1% aq KMnO4). CH3CN was removed in vacuum, the product was extracted from water by CHCl3i-PrOH mixture (100:1) (5 × 15 mL). An isolated organic layer was dried over Na2SO4, the solvents were removed in vacuum, the residue was separated using column chromatography on silica gel using CHCl3–EtOH mixture (5:2) as an eluent to give 25, yield 121 mg (57%), yellow oil, M+ (calcd./found) 282.1812/282.1811. IR (neat) νmax (cm−1): 2973 (C–H), 1729 (C=O), 1591 (C=N). λmax (EtOH)/nm: 223 (lgε 4.04). 1H NMR (300 MHz; CDCl3-CD3OD, reduced with Zn/CF3COOH in CD3OD, 65 °C, δ) 0.75 (3H, m, CH3, Et), 0.98–1.14 (2H, m, CH2, Et), 1.34, 1.40 (6H, m, 2 × CH3), 1.47–1.61 (2H, m, CH2CH2CO2H), 1.91 (4H, m, CH2–CH2–CH2–CH2, Pyrr), 2.14–2.27 (2H, m, CH2CH2CO2H), 3.36, 3.55 (4H, m, CH2–N–CH2, Pyrr).
1-(4-(1,3-Dioxolan-2-yl)phenyl)-N-methylmethanamine (26)
p-Toluene sulfonic acid monohydrate (0.5 g, 74.6 mmol) was added to a solution of terephthalic aldehyde 27 (10 g, 74.6 mmol) in 175 mL PhCH3. Water was distilled off with Dean-Stark tube. The reaction mixture was then quenched with aqueous NaHCO3, dried over Na2CO3, the solvent was remove in vacuum, and residue was dissolved in methanol saturated with methylamine (20 mL). The resulting solution was added to the previously maintained under vigorous stirring for 10 min in a solution of Ti(Oi-Pr)4 (14 mL, 47 mmol) in methanol saturated with methylamine (30 mL). The mixture was stirred for 5 h, then NaBH4 (1.34 g, 33.6 mmol) was added portionwise, and mixture was stirred for 2 h. Water (7 mL) was added dropwise, solvents were removed in vacuum, brine was added to a residue, and the product was extracted by ether. Organic layer was dried over NaOH. Residue was separated using column chromatography on silica gel using Et2O–EtOH mixture (10:1) as an eluent, yield 12.24 g (85%), colorless oil. Elemental analysis, found: C, 67.84; H, 7.91; N, 6.94; calcd for C11H15NO2: C, 68.37; H, 7.82; N, 7.25%. 1H NMR (300 MHz; CDCl3, δ): 2.38 (3H, s, CH3), 3.70 (2H, s, N–CH2), 3.95–4.09 (4H, m, –O–CH2–CH2–O–), 5.75 (1H, s, O–CH–O), 7.29, 7.38 (4H, AA’BB’, C6H4)), 13C NMR (75 MHz; CDCl3, δ): 35.77 (N–CH3), 55.56 (N–CH2), 65.06 (O–CH2–CH2–O), 103.44 (O–CH–O), 126.31 (CH–C–CH2NHCH3), 127.89 (CH–C–CH), 136.32 (C–CH2NHCH3), 141.10 (C–CH). IR (neat) νmax (cm−1): 3325 (N–H), 1082 (O–C–O). λmax (EtOH)/nm: 210 (logε 3.94), 260 (logε 2.36).
5-((4-(1,3-Dioxolan-2-yl)benzyl)(methyl)amino)-4,4-dimethyl-2-(pyridin-4-yl)-4H-imidazole 3-oxide (30)
1-(4-(1,3-Dioxolan-2-yl)phenyl)-N-methylmethanamine 26 (6.72 g, 34.8 mmol) was added to a solution of 5-cyano-4,4-dimethyl-2-(pyridin-4-yl)-4H-imidazole 3-oxide 29 (2.98 g, 13.9 mmol) in THF (25 mL) and the mixture was allowed to stand at r.t. for 24 h. The solvent was removed in vacuum, residue was triturated with ether and crystallization from CH3CN to give 30, yield 3.97 g (75%), dirty-yellow crystals, m.p. 160 °C (dec.). Elemental analysis, found: C, 65.81; H, 6.25; N, 14.41; calcd for C21H24N4O3: C, 66.30; H, 6.36; N, 14.73%. 1H NMR (400 MHz; CDCl3, δ) 1.66 (6H, s, 2 × CH3), 3.06 (3H, s, N–CH3), 3.86–4.16 (4H, m, O–CH2–CH2–O), 4.77 (2H, br. s, N–CH2–Ar), 5.75 (1H, s, O–CH–O), 7.26, 7.46 (4H, AA’BB’, C6H4)), 8.46, 8.70 (4H, AA’BB’, Py). 13C NMR (75 MHz; CDCl3, δ) 21.50 (2 × Me), 35.22 (N–CH3), 53.11 (N–CH2), 65.00 (O–CH2–CH2–O), 75.73 (Me2C), 102.82 (O–CH–O), 121.00 (3,5–Py), 126.77 (br., CH (C6H4)), 133.86 (Py, i), 136.36 (C–CH2NCH3), 137.47 (C–CH), 144.67 (C=N→O), 149.82 (2,6-Py), 172.33 (C=N). IR (KBr) νmax (cm−1): 1597 (C=N), 1082 (O–C–O). λmax (EtOH)/nm: 263 (logε 4.30), 389 (logε 3.78).
4-((4-(1,3-Dioxolan-2-yl)benzyl)(methyl)amino)-2-ethyl-5,5-dimethyl-2-(pyridin-4-yl)-2,5-dihydro-1H-imidazol-1-oxyl (31)
A solution of ethylmagnesium bromide was prepared from ethyl bromide (2.73 g, 25 mmol) and Mg (630 mg, 26 mmol) in 35 mL Et2O under a stream of argon. This solution was added dropwise to a stirred solution of nitrone 27 (1 g, 2.6 mmol) in 15 mL THF. The reaction mixture was allowed to stand for 1 h. Then water (3 mL) was added dropwise under vigorous stirring followed by MnO2 (3 g, 34.5 mmol) addition. Progress of the reaction was monitored by TLC (silica gel, CHCl3–EtOH (100:3), developing with 1% aq. KMnO4). The mixture was stirred vigorously for 2 h, the oxidant was filtered off and the residue was washed by CHCl3 and MeOH. The solvent from filtrate was removed in vacuum and the residue was separated by column chromatography on silica gel using CHCl3-EtOH (100:3) as an eluent. The product 31 was isolated as a hydrochloride. Yield 797 mg (68%), yellow oil. Elemental analysis, found: C, 62.18; H, 6.83; N, 12.48; Cl, 6.70; calcd. for C23H30ClN4O3: C, 61.94; H, 6.78; N, 12.56; Cl, 6.95%. IR (neat) νmax (cm−1): 1593 (C=N), 1082 (O–C–O). λmax (EtOH)/nm: 216 (logε 4.34).
2-Ethyl-4-((4-formylbenzyl)(methyl)amino)-5,5-dimethyl-2-(pyridin-4-yl)-2,5-dihydro-1H-imidazol-1-oxyl (32)
A solution of nitroxide 30 (1.8 g, 4.4 mmol) in 15 mL 0.5 M aq. HCl was refluxed for 4 h, then Na2CO3 added to the end of gas evolution. A product was extracted by mixture of 20 mL CHCl3 + 1 mL i-PrOH three times, organic layer was dried over Na2CO3, the solvents were removed in vacuum, and the nitroxide 29 was isolated from the residue by column chromatography on silica gelusing CHCl3 as an eluent. Yield 1.14 g (71%), yellow oil. Elemental analysis, found: C, 68.73; H, 6.88; N, 14.92; calcd. for C21H25N4O2: C, 69.02; H, 6.90; N, 15.33%. IR (KBr) νmax (cm−1): 1701 (C=O), 1593 (C=N). λmax (EtOH)/nm: 252 (logε 4.29).
4-((4-Carboxybenzyl)(methyl)amino)-2-ethyl-5,5-dimethyl-2-(pyridin-4-yl)-2,5-dihydro-1H-imidazol-1-oxyl (33)
Trimethylethylene (1.33 g, 19.2 mmol) was added to a cooled (0 °C) solution of aldehyde 29 (583 mg, 1.6 mmol) in 20 mL CHCl3 followed by addition of a solution of NaClO2 (1.02 g, 11.2 mmol) and KH2PO4 (1.5 g, 11.2 mmol) in H2O (50 mL). Progress of the reaction was monitored by TLC (silica gel, CHCl3–EtOH (50:1), developing with 1% aq. KMnO4). The organic layer was separated, the product was extracted from water by CHCl3i-PrOH mixture (20:1) (2 × 20 mL). A combined organic extracts were washed with brine, dried over Na2SO4, the solvents were removed in vacuum, the residue was separated using column chromatography on silica gel using AcOEt–EtOH mixture (10:1) as an eluent. Yield 285 mg (47%), yellow crystals, compound 33 was isolated as a crystal solvate 3 (33) × 2 EtOH (ether–EtOH 100:2), m.p. 204 °C (dec.). Elemental analysis, found: C, 65.12; H, 6.42; N, 13.12; calcd. for C67H87N12O11: C, 65.08; H, 7.09; N, 13.59%. IR (KBr) νmax (cm−1): 2474 (O–H), 1708 (C=O), 1597 (C=N), λmax (EtOH)/nm: 242 (logε 4.20).
2-Ethyl-4-((4-(hydroxymethyl)benzyl)(methyl)amino)-5,5-dimethyl-2-(pyridin-4-yl)-2,5-dihydro-1H-imidazol-1-oxyl (34)
NaBH4 (54 mg, 1.4 mmol) was added portionwise to a cooled (0 °C) solution of aldehyde 32 (511 mg, 1.4 mmol) in EtOH (20 mL). The reaction mixture was stirred until the reaction was complete (TLC, Silufol UV-254, eluent AcOEt). The solvent was removed in vacuum, the residue was separated using column chromatography on silica gel using AcOEt as an eluent. Yield 308 mg (60%), yellow crystals, compound 34 was isolated as a crystal solvate 2 (34) × 3 H2O (ether), m.p. 147–148 °C. Elemental analysis, found: C, 66.31; H, 7.12; N, 14.55; calcd. for C63H85N12O8: C, 66.47; H, 7.53; N, 14.76%. IR (KBr) νmax (cm−1): 3178 (O-H), 1595 (C=N). λmax (EtOH)/nm: 220 (logε 4.30). 1H NMR (400 MHz; CD3OD–CDCl3, reduced with Zn/CF3COOH in CD3OD, 65 °C, δ): 1.03 (3H, t, J 7.2, CH3 Et2), 1.29 (3H, br s, CH3), 1.79 (2H, q, J 7.2, CH2), 1.90 (3H, s, CH3), 3.20 (3H, br s, NCH3), 4.65 (2H, s CH2OH), 4.97 (2H, br s, N–CH2), 7.26 (2H, m, Ar), 7.46 (2H, m, Ar), 7.94 (2H, d, J 6.5, Py), 8.73 (2H, d, J 6.5, Py)
4-((4-(((2,5-Dioxopyrrolidin-1-yl)oxy)carbonyl)benzyl)(methyl)amino)-2-ethyl-5,5-dimethyl-2-(pyridin-4-yl)-2,5-dihydro-1H-imidazol-1-oxyl (35)
Pyridine (240 μL, 3 mmol) was added to a cooled (0 °C) suspension of acid 33 (228 mg, 0.6 mmol) in 10 mL of dry CHCl3 followed by addition of SOCl2 (90 μL, 1.2 mmol). The reaction mixture was vigorously stirred for 3 h, then N-hydroxysuccinimide (138 mg, 1.2 mmol) was added and the mixture was allowed to stand for 24 h. The solvents were then removed in vacuum, residue was separated using column chromatography on silica gel using CHCl3–EtOH mixture (100:2) as an eluent to give 35, yield 123 mg (40%), yellow crystals, compound 35 was isolated as a hydrochloride (hexane), m.p. 58 °C (dec.). Elemental analysis, found: C, 58.42; H, 5.47; N, 13.25; Cl, 6.56; calcd for C25H29ClN5O5: C, 58.31; H, 5.68; N, 13.60; Cl, 6.88%. IR (KBr) νmax (cm−1): 2976 (C-H), 1770 (O=C-N-C=O), 1741 (C=O), 1593 (C=N). λmax (EtOH)/nm: 239 (logε 4.25)

4.3. EPR Experiments

EPR experiments were performed on X-band EPR (9.8 GHz) spectrometer Bruker ER-200D. Titrations of the radicals (~0.2 mM) were performed in a buffer mixture of acetate-phosphate-borate (0.5 mM of each) in a pH range of 2–10 starting from the acidic value. Small aliquots of NaOH solution were used for titration to a higher pH. The observed hfi constants were measured as a distance between low field and central lines of nitroxide triplet spectra.
Single proton exchange:
R · + H + R · H + ;   p K a
was fitted with single pKa titration curve function:
a N   ( p H ) = a N ( R · ) + a N ( R · H + ) × 10 p K a p H 1 + 10 p K a p H
Double proton exchange implies the serial protonation,
R · + H + R · H + ;   p K a 1
R · H + + H +   R · H 2 2 + ;   p K a 2
which results in the double pKa titration curve function:
a N   ( p H ) = a N ( R · ) + a N ( R · H + ) × 10 p K a 1 p H + a N ( R · H 2 2 + ) × 10 p K a 1 p H × 10 p K a 2 p H 1 + 10 p K a 1 p H + 10 p K a 1 p H × 10 p K a 2 p H
EPR settings. Microwave power, 5 mW; modulation amplitude, 0.08–0.12 mT.
SD for pKa, 0.05; for hfc, 0.005 mT.

Supplementary Materials

The following are available online at https://www.mdpi.com/article/10.3390/gels8010011/s1, Figure S1: “The molecular structure of 2,5,5-triethyl-2-(4-ethynylphenyl)-4-pyrrolidino-2,5-dihydro-1H-imidazol-1-oxyl (11)”, IR and NMR spectra of synthesized compounds, titration curves of pH-sensitive nitroxides.

Author Contributions

Conceptualization, I.A.K.; methodology, D.G.T.; validation, I.A.K., D.G.T., and Y.I.G.; formal analysis, Y.I.G.; investigation, D.G.T., A.A.G., D.A.K. and T.V.R.; writing—original draft preparation, D.G.T.; writing—review and editing, I.A.K. All authors have read and agreed to the published version of the manuscript.

Funding

This research was funded by the Russian Scientific Foundation, grant number 21-14-00219.

Institutional Review Board Statement

Not applicable.

Informed Consent Statement

Not applicable.

Data Availability Statement

Data are shown within the article or in supplementary materials. Crystallographic data for 11 have been deposited at the Cambridge Crystallographic Data Centre as supplementary publication no. CCDC 2124865. Copy of the data can be obtained, free of charge, by application to CCDC, 12 Union Road, Cambridge CB21EZ, UK (fax: +44-122-3336033 or e-mail: deposit@ccdc.cam.ac.uk; internet: www.ccdc.cam.ac.uk (accessed on 29 November 2021)).

Acknowledgments

The authors would like to acknowledge the Multi-Access Chemical Research Center SB RAS for spectral and analytical measurements.

Conflicts of Interest

The authors declare no conflict of interest.

References

  1. Voinov, M.A.; Smirnov, A.I. Spin labels and spin probes for measurements of local pH and electrostatics by EPR. Electron Paramagn. Reson. 2010, 22, 71–106. [Google Scholar]
  2. Kovaleva, E.; Molochnikov, L. pH-Sensitive Nitroxide Radicals for Studying Inorganic and Organo-Inorganic Materials and Systems. In Nitroxides: Applications in Chemistry, Biomedicine and Material Science; Likhtenshtein, G.I., Yamauchi, J., Nakatsuji, S., Smirnov, A., Tamura, R., Eds.; Wiley—VCH Verlag, GmbH & Co. KGaA: Weinheim, Germany, 2008; Chapter 7; pp. 211–246. [Google Scholar] [CrossRef]
  3. Védrine, J.C. Acid–base characterization of heterogeneous catalysts: An up-to-date overview. Res. Chem. Intermed. 2015, 41, 9387–9423. [Google Scholar] [CrossRef]
  4. Khramtsov, V.V.; Volodarsky, L.B. Use of imidazoline nitroxides in studies of chemical reactions: ESR measurements of the concentration and reactivity of protons, thiols and nitric oxide. In Biological Magnetic Resonance; Berliner, L.J., Ed.; Plenum Press: New York, NY, USA, 1998; Volume 14, pp. 109–178. [Google Scholar] [CrossRef]
  5. Smirnova, T.I.; Voinov, M.A.; Smirnov, A. Spin Probes and Spin Labels. In Encyclopedia of Analytical Chemistry: Applications, Theory and Instrumentation; John Wiley & Sons, Ltd.: Chichester, UK, 2009; p. 31. [Google Scholar] [CrossRef]
  6. Khramtsov, V.; Marsh, D.; Weiner, L.; Reznikov, V. The application of pH-sensitive spin labels to studies of surface potential and polarity of phospholipid membranes and proteins. Biochim. Biophys. Acta 1992, 1104, 317–324. [Google Scholar] [CrossRef]
  7. Kovaleva, E.G.; Molochnikov, L.S.; Tambasova, D.; Marek, A.; Chestnut, M.; Osipova, V.A.; Antonov, D.O.; Kirilyuk, I.A.; Smirnov, A. Electrostatic Properties of Inner Nanopore Surfaces of Anodic Aluminum Oxide Membranes upon High Temperature Annealing Revealed by EPR of pH-sensitive Spin Probes and Labels. J. Membr. Sci. 2020, 604, 118084. [Google Scholar] [CrossRef]
  8. Antonov, D.O.; Tambasova, D.P.; Shishmakov, A.B.; Kirilyuk, I.A.; Kovaleva, E.G. Acidic and Electrosurface Properties of Binary TiO2–SiO2 Xerogels Using EPR of pH-Sensitive Nitroxides. Gels 2021, 7, 119. [Google Scholar] [CrossRef]
  9. Khramtsov, V.V.; Vainer, L.M. Photon Transfer Reactions in Free Radicals. Spin pH Probes. Russ. Chem. Rev. 1988, 57, 824–838. [Google Scholar] [CrossRef]
  10. Kirilyuk, I.A.; Shevelev, T.G.; Morozov, D.A.; Khromovskih, E.L.; Skuridin, N.G.; Khramtsov, V.V.; Grigor’ev, I.A. Grignard Reagent Addition to 5-Alkylamino-4H-Imidazole 3-Oxides: Synthesis of New pH-Sensitive Spin Probes. Synthesis 2003, 6, 871–878. [Google Scholar] [CrossRef]
  11. Kirilyuk, I.A.; Bobko, A.A.; Khramtsov, V.V.; Grigor’ev, I.A. Nitroxides with two pK values—Useful spin probes for pH monitoring within a broad range. Org. Biomol. Chem. 2005, 3, 1269–1274. [Google Scholar] [CrossRef]
  12. Potapenko, D.I.; Foster, M.A.; Lurie, D.J.; Kirilyuk, I.A.; Hutchison, J.M.S.; Grigor’ev, I.A.; Bagryanskaya, E.G.; Khramtsov, V.V. Real-time monitoring of drug-induced changes in the stomach acidity of living rats using improved pH-sensitive nitroxides and low-field EPR techniques. J. Magn. Reson. 2006, 182, 1–11. [Google Scholar] [CrossRef]
  13. Woldman, Y.Y.; Semenov, S.V.; Bobko, A.A.; Kirilyuk, I.A.; Polienko, J.F.; Voinov, M.A.; Bagryanskaya, E.G.; Khramtsov, V.V. Design of liposome-based pH sensitive nanoSPIN probes: Nano-sized particles with incorporated nitroxides. Analyst 2009, 134, 904–910. [Google Scholar] [CrossRef][Green Version]
  14. Bobko, A.A.; Eubank, T.D.; Voorhees, J.L.; Efimova, O.V.; Kirilyuk, I.A.; Petryakov, S.; Trofimov, D.G.; Marsh, C.B.; Zweier, J.L.; Grigor’ev, I.A.; et al. In Vivo Monitoring of pH, Redox Status, and Glutathione Using L-Band EPR for Assessment of Therapeutic Effectiveness in Solid Tumors. Magn. Reson. Med. 2012, 67, 1827–1836. [Google Scholar] [CrossRef]
  15. Kovaleva, E.G.; Molochnikov, L.S.; Stepanova, D.P.; Pestov, A.V.; Trofimov, D.G.; Kirilyuk, I.A.; Smirnov, A.I. Interfacial electrostatic properties of hydrated mesoporous and nanostructured alumina powders by spin labeling EPR. Cell BioChem. Biophys. 2017, 75, 159–170. [Google Scholar] [CrossRef] [PubMed]
  16. Smirnov, A.; Voinov, M.; Kirilyuk, I. Spin-labeled pH-sensitive phospholipids for interfacial pKa determination: Synthesis and characterization in aqueous and micellar solutions. J. Phys. Chem. B. 2009, 113, 3453–3460. [Google Scholar]
  17. Voinov, M.A.; Scheid, C.T.; Kirilyuk, I.A.; Trofimov, D.G.; Smirnov, A.I. IKMTSL-PTE, a Phospholipid-Based EPR Probe for Surface Electrostatic Potential of Biological Interfaces at Neutral pH: Effects of Temperature and Effective Dielectric Constant of the Solvent. J. Phys. Chem. B 2017, 121, 2443–2453. [Google Scholar] [CrossRef]
  18. Kálai, T.; Hubbell, W.L.; Hideg, K. Click Reactions with Nitroxides. Synthesis 2009, 8, 1336–1340. [Google Scholar] [CrossRef]
  19. Jakobsen, U.; Shelke, S.A.; Vogel, S.; Sigurdsson, S.T. Site-Directed Spin-Labeling of Nucleic Acids by Click Chemistry: Detection of Abasic Sites in Duplex DNA by EPR Spectroscopy. J. Am. Chem. Soc. 2010, 132, 10424–10428. [Google Scholar] [CrossRef]
  20. Skarpos, H.; Osipov, S.N.; Vorob’eva, D.V.; Odinets, I.L.; Lork, E.; Röschenthaler, G.-V. Synthesis of functionalized bisphosphonates via click chemistry. Org. Biomol. Chem. 2007, 5, 2361–2367. [Google Scholar] [CrossRef]
  21. Shelke, S.A.; Sigurdsson, S.T. Site-Directed Nitroxide Spin Labeling of Biopolymers. In Structural Information from Spin-Labels and Intrinsic Paramagnetic Centres in the Biosciences; Springer: Berlin/Heidelberg, Germany, 2011; pp. 121–162. [Google Scholar] [CrossRef]
  22. Ur, G.; Kálai, T.; Balog, M.; Bognár, B.; Gulyás-Fekete, G.; Hideg, K. Synthesis of New Pyrroline Nitroxides with Ethynyl Functional Group. Synthetic Commun. 2015, 45, 2122–2129. [Google Scholar] [CrossRef]
  23. Bal, B.S.; Childers, W.E., Jr.; Pinnick, H.W. Oxidation of α,β-unsaturated aldehydes. Tetrahedron 1981, 37, 2091. [Google Scholar] [CrossRef]
  24. Hopkins, E.; Sanvictores, T.; Sharma, S. Physiology, Acid Base Balance. In StatPearls; StatPearls Publishing: Treasure Island, FL, USA, 2021. Available online: https://www.ncbi.nlm.nih.gov/books/NBK507807/ (accessed on 14 September 2021).
  25. Hideg, K.; Lex, L. Synthesis of new 2-mono- and 2,5-di-functionalized pyrrolidin-1-oxyl spin labels. J. Chem. Soc. Perkin Trans. 1987, 1, 1117–1121. [Google Scholar] [CrossRef]
  26. Kovaleva, E.G.; Molochnikov, L.S.; Golovkina, E.L.; Hartmann, M.; Kirilyuk, I.A.; Grigoriev, I.A. Electrical potential near hydrated surface of ordered mesoporous molecular sieves assessed by EPR of molecular pH-probes. Micropor. Mesopor. Mater. 2015, 203, 1–7. [Google Scholar] [CrossRef]
  27. Kovaleva, E.G.; Molochnikov, L.S.; Parshina, E.V.; Shishmakov, A.B.; Mikushina, Y.u.V.; Kirilyuk, I.A.; Grigor’ev, I.A. Effect of the surface charge on the complexing and catalytic properties of Cu2+-containing composite materials based on zirconia and powdered cellulose. Russ. J. Phys. Chem. B 2014, 8, 317–325. [Google Scholar] [CrossRef]
  28. Kovaleva, E.G.; Molochnikov, L.S.; Golovkina, E.L.; Hartmann, M.; Kirilyuk, I.A.; Grigor’ev, I.A. Dynamics of pH-sensitive nitroxide radicals in water adsorbed in ordered mesoporous molecular sieves by EPR Spectroscopy. Micropor. Mesopor. Mat. 2013, 179, 258–264. [Google Scholar] [CrossRef]
  29. Mekhaev, A.V.; Pestov, A.V.; Molochnikov, L.S.; Kovaleva, E.G.; Pervova, M.G.; Yaltuk, Y.u.G.; Grigor’ev, I.A.; Kirilyuk, I.A. Structure and Characteristics of Chitosan Cobalt-Containing Hybrid Systems, the Catalysts of Olefine Oxidation. Russ. J. Phys. Chem. A 2011, 85, 1155–1161. [Google Scholar] [CrossRef]
  30. Mekhaev, A.V.; Pestov, A.V.; Molochnikov, L.S.; Kovaleva, E.G.; Yatluk, Y.u.G.; Grigor’ev, I.A.; Kirilyuk, I.A. Investigation of the Structure of Chitosan Hybrid Systems by pH-Sensitive Nitroxyl Radical. Russ. J. Phys. Chem. A 2011, 85, 987–992. [Google Scholar] [CrossRef]
  31. Parshina, E.V.; Molochnikov, L.S.; Kovaleva, E.G.; Shishmakov, A.B.; Mikushina, Y.V.; Kirilyuk, I.A.; Grigor’ev, I.A. Medium acidity and catalytic properties of composite materials based on silica and titania and powder cellulose in the presence of Cu2+ ions. Russ. J. Phys. Chem. A 2011, 85, 452–456. [Google Scholar] [CrossRef]
  32. Polienko, J.F.; Schanding, T.; Gatilov, Y.V.; Grigor’ev, I.A.; Voinov, M.A. Studies toward the synthesis of 4-(2-R-ethyl)amino-2,2,5,5-tetramethyl-3-imidazoline 1-oxyls. Nucleophilic substitution of bromide in the N-alkyl chain of the 1,2,4-oxadiazol-2-one precursor. J. Org. Chem. 2008, 73, 502–510. [Google Scholar] [CrossRef]
  33. Voinov, M.A.; Polienko, J.F.; Schanding, T.; Bobko, A.A.; Khramtsov, V.V.; Gatilov, Y.V.; Rybalova, T.V.; Smirnov, A.I.; Grigor’ev, I.A. Synthesis, structure, and X-band (9.5 GHz) EPR characterization of the new series of pH-sensitive spin probes: N,N-disubstituted 4-amino-2,2,5,5-tetramethyl-3-imidazoline 1-oxyls. J. Org. Chem. 2005, 70, 9702–9711. [Google Scholar] [CrossRef]
  34. Kirilyuk, I.A.; Polienko, Y.F.; Krumkacheva, O.A.; Strizhakov, R.K.; Gatilov, Y.V.; Grigor’ev, I.A.; Bagryanskaya, E.G. Synthesis of 2,5-bis(spirocyclohexane)-substituted Nitroxides of Pyrroline and Pyrrolidine series, including Thiol-specific spin label: An analogue of MTSSL with long relaxation time. J. Org. Chem. 2012, 77, 8016–8027. [Google Scholar] [CrossRef]
  35. Polienko, Y.F.; Vinogradova, V.I.; Sagdullaev, S.S.; Abdullaev, N.D.; Gatilov, Y.V.; Grigor’ev, I.A. First spin-labeled cytisine derivatives. Chem. Nat. Compd. 2013, 49, 311–315. [Google Scholar] [CrossRef]
  36. Dobrynin, S.A.; Usatov, M.S.; Zhurko, I.F.; Morozov, D.A.; Polienko, Y.F.; Glazachev, Y.I.; Parkhomenko, D.A.; Tyumentsev, M.A.; Gatilov, Y.V.; Chernyak, E.I.; et al. A Simple Method of Synthesis of 3-Carboxy-2,2,5,5-Tetraethylpyrrolidine-1-oxyl and Preparation of Reduction-Resistant Spin Labels and Probes of Pyrrolidine Series. Molecules 2021, 26, 5761. [Google Scholar] [CrossRef] [PubMed]
  37. Antimonova, A.N.; Petrenko, N.I.; Shults, E.E.; Polienko, Y.F.; Shakirov, M.M.; Irtegova, I.G.; Pokrovskii, M.A.; Sherman, K.M.; Grigor’ev, I.A.; Pokrovskii, A.G. Synthetic transformations of higher triterpenoids. XXX: Synthesis and cytotoxic activity of betulonic acid amides with fragments of nitroxyl radicals. Russ. J. Bioorg. Chem. 2013, 39, 181–185. [Google Scholar] [CrossRef] [PubMed]
  38. Krause, L.; Herbst-Irmer, R.; Sheldrick, G.M.; Stalke, D. Comparison of silver and molybdenum microfocus X-ray sources for single-crystal structure determination. J. Appl. Cryst. 2015, 48, 3–10. [Google Scholar] [CrossRef]
  39. Sheldrick, G.M. A short history of SHELX. Acta Crystallogr. Sect. A 2008, A64, 112–122. [Google Scholar] [CrossRef] [PubMed]
  40. Sheldrick, G.M. Crystal structure refinement with SHELXL. Acta Crystallogr. Sect. C 2015, C71, 3–8. [Google Scholar] [CrossRef]
  41. Li, C.; Yuan, C. Studies on organophosphorus compounds 81. A novel synthetic approach to substituted cyclopentane-1,1-diylbisphosphonates via Pd(0) catalyzed enyne cyclization. Heteroat. Chem. 1993, 4, 517–520. [Google Scholar] [CrossRef]
Scheme 1. Structure of the nitroxides 1–4.
Scheme 1. Structure of the nitroxides 1–4.
Gels 08 00011 sch001
Scheme 2. Synthesis of the nitroxide 7.
Scheme 2. Synthesis of the nitroxide 7.
Gels 08 00011 sch002
Scheme 3. Synthesis of the nitroxide 11.
Scheme 3. Synthesis of the nitroxide 11.
Gels 08 00011 sch003
Scheme 4. Synthesis and esterification of 12.
Scheme 4. Synthesis and esterification of 12.
Gels 08 00011 sch004
Scheme 5. A reaction of 8 with succinic anhydride.
Scheme 5. A reaction of 8 with succinic anhydride.
Gels 08 00011 sch005
Scheme 6. Synthesis of spin labels and spin probes from 17.
Scheme 6. Synthesis of spin labels and spin probes from 17.
Gels 08 00011 sch006
Figure 1. Titration curve of nitroxide 25.
Figure 1. Titration curve of nitroxide 25.
Gels 08 00011 g001
Scheme 7. Synthesis of N-(4-(1,3-dioxolan-2-yl)benzyl)-N-methylamine (26).
Scheme 7. Synthesis of N-(4-(1,3-dioxolan-2-yl)benzyl)-N-methylamine (26).
Gels 08 00011 sch007
Scheme 8. Synthesis of two-pKa nitroxides. Structure of the nitroxide 36.
Scheme 8. Synthesis of two-pKa nitroxides. Structure of the nitroxide 36.
Gels 08 00011 sch008
Figure 2. Titration curves of nitroxides 34 () and 35 (▪).
Figure 2. Titration curves of nitroxides 34 () and 35 (▪).
Gels 08 00011 g002
Figure 3. The structure of nitroxide 21.
Figure 3. The structure of nitroxide 21.
Gels 08 00011 g003
Table 1. Titration data for the pH-sensitive niroxides: HFC constants for protonated and unprotonated forms, changes in hyperfine splitting between these forms, ΔaN,, and pKa values.
Table 1. Titration data for the pH-sensitive niroxides: HFC constants for protonated and unprotonated forms, changes in hyperfine splitting between these forms, ΔaN,, and pKa values.
NitroxideaN, mTΔaN, mTpKa
R·H+
51.4341.5390.1056.42
71.4291.5310.1026.24
81.4241.5290.1056.54
111.4361.5390.1036.21
121.4171.5220.1056.50
151.4221.5310.1096.49
161.4661.5750.1096.64
18a1.4791.5860.1077.14
18b1.4681.5650.0977.20
19a1.4931.5890.0967.25
19b1.4721.5670.0957.28
20a1.4591.5550.0966.95
20b1.4481.5450.0977.24 ± 0.05
211.4721.5650.0937.19
221.4681.5620.0947.64
231.4711.5690.0987.09
241.4341.5290.0956.81 ± 0.05
251.4821.5870.1057.50
Table 2. Titration data for the pH-sensitive niroxides: HFC constants for double protonated, monoprotonated, and unprotonated forms, changes in hfi splitting, ΔaN, between these forms, pK values.
Table 2. Titration data for the pH-sensitive niroxides: HFC constants for double protonated, monoprotonated, and unprotonated forms, changes in hfi splitting, ΔaN, between these forms, pK values.
NitroxideaN, mTΔaN, mTpK
R·H22+R·H+R
321.3761.4601.5140.084
0.054
2.24 ± 0.02
4.73 ± 0.02
331.3771.4571.5160.080
0.059
2.36 ± 0.02
4.86 ± 0.02
341.3771.4541.5170.077
0.063
2.58 ± 0.02
4.85 ± 0.03
351.3771.4691.5190.092
0.050
2.20 ± 0.01
4.89 ± 0.01
Publisher’s Note: MDPI stays neutral with regard to jurisdictional claims in published maps and institutional affiliations.

Share and Cite

MDPI and ACS Style

Trofimov, D.G.; Glazachev, Y.I.; Gorodetsky, A.A.; Komarov, D.A.; Rybalova, T.V.; Kirilyuk, I.A. 4-Dialkylamino-2,5-dihydroimidazol-1-oxyls with Functional Groups at the Position 2 and at the Exocyclic Nitrogen: The pH-Sensitive Spin Labels. Gels 2022, 8, 11. https://doi.org/10.3390/gels8010011

AMA Style

Trofimov DG, Glazachev YI, Gorodetsky AA, Komarov DA, Rybalova TV, Kirilyuk IA. 4-Dialkylamino-2,5-dihydroimidazol-1-oxyls with Functional Groups at the Position 2 and at the Exocyclic Nitrogen: The pH-Sensitive Spin Labels. Gels. 2022; 8(1):11. https://doi.org/10.3390/gels8010011

Chicago/Turabian Style

Trofimov, Dmitrii G., Yuri I. Glazachev, Artem A. Gorodetsky, Denis A. Komarov, Tatyana V. Rybalova, and Igor A. Kirilyuk. 2022. "4-Dialkylamino-2,5-dihydroimidazol-1-oxyls with Functional Groups at the Position 2 and at the Exocyclic Nitrogen: The pH-Sensitive Spin Labels" Gels 8, no. 1: 11. https://doi.org/10.3390/gels8010011

APA Style

Trofimov, D. G., Glazachev, Y. I., Gorodetsky, A. A., Komarov, D. A., Rybalova, T. V., & Kirilyuk, I. A. (2022). 4-Dialkylamino-2,5-dihydroimidazol-1-oxyls with Functional Groups at the Position 2 and at the Exocyclic Nitrogen: The pH-Sensitive Spin Labels. Gels, 8(1), 11. https://doi.org/10.3390/gels8010011

Note that from the first issue of 2016, this journal uses article numbers instead of page numbers. See further details here.

Article Metrics

Back to TopTop