Homopolymer and ABC Triblock Copolymer Mixtures for Thermoresponsive Gel Formulations
Abstract
1. Introduction
2. Results and Discussion
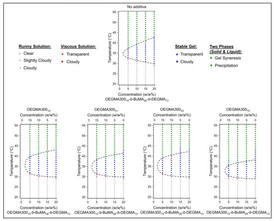
2.1. Homopolymers as Additives in Thermogelling Triblock Copolymer Solutions—Visual Phase Transitions
2.2. Homopolymers as Additives in Thermogelling Triblock Copolymer Solutions—Rheological Properties
3. Conclusions
4. Materials and Methods
4.1. Materials
4.2. Methods
4.2.1. Sample Preparation for Visual Tests and Rheological Measurements
4.2.2. Visual Tests
4.2.3. Rheology
5. Patents
Supplementary Materials
Author Contributions
Funding
Acknowledgments
Conflicts of Interest
References
- Pasparakis, G.; Vamvakaki, M. Multiresponsive polymers: Nano-sized assemblies, stimuli-sensitive gels and smart surfaces. Polym. Chem. 2011, 2, 1234–1248. [Google Scholar] [CrossRef]
- Manouras, T.; Vamvakaki, M. Field responsive materials: Photo-, electro-, magnetic- and ultrasound-sensitive polymers. Polym. Chem. 2017, 8, 74–96. [Google Scholar] [CrossRef]
- Constantinou, A.P.; Georgiou, T.K. Tuning the gelation of thermoresponsive gels. Eur. Polym. J. 2016, 78, 366–375. [Google Scholar] [CrossRef]
- Klouda, L.; Mikos, A.G. Thermoresponsive hydrogels in biomedical applications. Eur. J. Pharm. Biopharm. 2008, 68, 34–45. [Google Scholar] [CrossRef]
- Klouda, L. Thermoresponsive hydrogels in biomedical applications: A seven-year update. Eur. J. Pharm. Biopharm. 2015, 97, 338–349. [Google Scholar] [CrossRef] [PubMed]
- Constantinou, A.P.; Georgiou, T.K. Thermoresponsive multiblock copolymers: Chemistry, properties and applications. In Temperature-Responsive Polymers: Chemistry, Properties, and Applications; Khutoryanskiy, V.V., Georgiou, T.K., Eds.; John Wiley & Son Ltd.: Chichester, UK, 2018; pp. 35–65. [Google Scholar]
- Nele, V.; Wojciechowski, J.P.; Armstrong, J.P.K.; Stevens, M.M. Tailoring gelation mechanisms for advanced hydrogel applications. Adv. Funct. Mater. 2020, 30, 2002759. [Google Scholar] [CrossRef]
- Southall, N.T.; Dill, K.A.; Haymet, A.D.J. A view of the hydrophobic effect. J. Phys. Chem. B 2002, 106, 521–533. [Google Scholar] [CrossRef]
- Foster, J.C.; Akar, I.; Grocott, M.C.; Pearce, A.K.; Mathers, R.T.; O’Reilly, R.K. 100th anniversary of macromolecular science viewpoint: The role of hydrophobicity in polymer phenomena. ACS Macro Lett. 2020, 9, 1700–1707. [Google Scholar] [CrossRef] [PubMed]
- Palmese, L.L.; Thapa, R.K.; Sullivan, M.O.; Kiick, K.L. Hybrid hydrogels for biomedical applications. Curr. Opin. Chem. Eng. 2019, 24, 143–157. [Google Scholar] [CrossRef] [PubMed]
- Cook, M.T.; Haddow, P.; Kirton, S.B.; McAuley, W.J. Polymers exhibiting lower critical solution temperatures as a route to thermoreversible gelators for healthcare. Adv. Funct. Mater. 2021, 31, 2008123. [Google Scholar] [CrossRef]
- Constantinou, A.P.; Georgiou, T.K. Pre-clinical and clinical applications of thermoreversible hydrogels in biomedical engineering: A review. Polym. Int. 2021. [Google Scholar] [CrossRef]
- Place, E.S.; George, J.H.; Williams, C.K.; Stevens, M.M. Synthetic polymer scaffolds for tissue engineering. Chem. Soc. Rev. 2009, 38, 1139–1151. [Google Scholar] [CrossRef]
- Gutowska, A.; Jeong, B.; Jasionowski, M. Injectable gels for tissue engineering. Anat. Rec. 2001, 263, 342–349. [Google Scholar] [CrossRef]
- Ruel-Gariépy, E.; Leroux, J. In situ-forming hydrogels—review of temperature-sensitive systems. Eur. J. Pharm. Biopharm. 2004, 58, 409–426. [Google Scholar] [CrossRef] [PubMed]
- Bobbala, S.; Tamboli, V.; McDowell, A.; Mitra, A.K.; Hook, S. Novel injectable pentablock copolymer based thermoresponsive hydrogels for sustained release vaccines. AAPS J. 2016, 18, 261–269. [Google Scholar] [CrossRef]
- Xie, B.; Jin, L.; Luo, Z.; Yu, J.; Shi, S.; Zhang, Z.; Shen, M.; Chen, H.; Li, X.; Song, Z. An injectable thermosensitive polymeric hydrogel for sustained release of Avastin1 to treat posterior segment disease. Int. J. Pharm. 2015, 490, 375–383. [Google Scholar] [CrossRef]
- Xi, L.; Wang, T.; Zhao, F.; Zheng, Q.; Li, X.; Luo, J.; Liu, J.; Quan, D.; Ge, J. Evaluation of an injectable thermosensitive hydrogel as drug delivery implant for ocular glaucoma surgery. PLoS ONE 2014, 9, e100632. [Google Scholar] [CrossRef]
- Xuan, J.-J.; Balakrishnan, P.; Oh, D.H.; Yeo, W.H.; Park, S.M.; Yong, C.S.; Choi, H.-G. Rheological characterization and in vivo evaluation of thermosensitive poloxamer-based hydrogel for intramuscular injection of piroxicam. Int. J. Pharm. 2010, 395, 317–323. [Google Scholar] [CrossRef]
- Feilden, E.; Ferraro, C.; Zhang, Q.; García-Tuñón, E.; D’Elia, E.; Giuliani, F.; Vandeperre, L.; Saiz, E. 3D printing bioinspired ceramic composites. Sci. Rep. 2017, 7, 13759. [Google Scholar] [CrossRef]
- Rocha, V.G.; García-Tuñón, E.; Botas, C.; Markoulidis, F.; Feilden, E.; D’Elia, E.; Ni, N.; Shaffer, M.; Saiz, E. Multimaterial 3D printing of graphene-based electrodes for electrochemical energy storage using thermoresponsive inks. ACS Appl. Mater. Interfaces 2017, 9, 37136–37145. [Google Scholar] [CrossRef] [PubMed]
- Feilden, E.; Blanca, E.G.; Giuliani, F.; Saiz, E.; Vandeperre, L. Robocasting of structural ceramic parts with hydrogel inks. J. Eur. Ceram. Soc. 2016, 36, 2525–2533. [Google Scholar] [CrossRef]
- Zhang, M.; Vora, A.; Han, W.; Wojtecki, R.J.; Maune, H.; Le, A.B.A.; Thompson, L.E.; McClelland, G.M.; Ribet, F.; Engler, A.C.; et al. Dual-responsive hydrogels for direct-write 3D printing. Macromolecules 2015, 48, 6482–6488. [Google Scholar] [CrossRef]
- Bakirci, E.; Toprakhisar, B.; Zeybek, M.C.; Ince, G.O.; Koc, B. Cell sheet based bioink for 3D bioprinting applications. Biofabrication 2017, 9, 024105. [Google Scholar] [CrossRef]
- Müller, M.; Becher, J.; Schnabelrauch, M.; Zenobi-Wong, M. Nanostructured pluronic hydrogels as bioinks for 3D Bioprinting. Biofabrication 2015, 7, 035006. [Google Scholar] [CrossRef] [PubMed]
- Abou-Shamat, M.; Calvo-Castro, J.; Stair, J.L.; Cook, M.T. Modifying the properties of thermogelling poloxamer 407 solutions through covalent modification and the use of polymer additives. Macromol. Chem. Phys. 2019, 220, 1900173. [Google Scholar] [CrossRef]
- Abou-Shamat, M.; Stair, J.L.; Kirton, S.B.; Calvo-Castro, J.; Cook, M.T. A design-of-experiments approach to developing thermoresponsive gelators from complex polymer mixtures. Mol. Syst. Des. Eng. 2020, 5, 1538–1546. [Google Scholar] [CrossRef]
- Grassi, G.; Crevatin, A.; Farra, R.; Guarnieri, G.; Pascotto, A.; Rehimers, B.; Lapasin, R.; Grassi, M. Rheological properties of aqueous pluronic–alginate systems containing liposomes. J. Colloid Interface Sci. 2006, 301, 282–290. [Google Scholar] [CrossRef]
- Lin, H.; Sung, K.C.; Vong, W. In situ gelling of alginate/pluronic solutions for ophthalmic delivery of pilocarpine. Biomacromolecules 2004, 5, 2358–2365. [Google Scholar] [CrossRef]
- Chen, C.; Fang, C.; Al-Suwayeh, S.A.; Leu, Y.; Fang, J. Transdermal delivery of selegiline from alginate–pluronic composite thermogels. Int. J. Pharm. 2011, 415, 119–128. [Google Scholar] [CrossRef]
- Malmsten, M.; Lindman, B. Effects of homopolymers on the gel formation in aqueous block copolymer solutions. Macromolecules 1993, 26, 1282–1286. [Google Scholar] [CrossRef]
- Ricardo, N.M.P.S.; Ricardo, N.M.P.S.; Costa, F.D.M.L.L.; Bezerra, F.W.A.; Chaibundit, C.; Hermida-Merino, D.; Greenland, B.W.; Burattini, S.; Hamley, I.W.; Keith, N.S.; et al. Effect of water-soluble polymers, polyethylene glycol and poly (vinylpyrrolidone), on the gelation of aqueous micellar solutions of pluronic copolymer F127. J. Colloid Interface Sci. 2012, 368, 336–341. [Google Scholar] [CrossRef][Green Version]
- Pragatheeswaran, A.M.; Chen, S.B. Effect of chain length of PEO on the gelation and micellization of the pluronic F127 copolymer aqueous system. Langmuir 2013, 29, 9694–9701. [Google Scholar] [CrossRef] [PubMed]
- Gilbert, J.C.; Richardson, J.L.; Davies, M.C.; Palin, K.J.; Hadgraft, J. The effect of solutes and polymers on the gelation properties of pluronic F-127 solutions for controlled drug delivery. J. Control. Release 1987, 5, 113–118. [Google Scholar] [CrossRef]
- Colly, A.; Marquette, C.; Courtial, E. Poloxamer/poly (ethylene glycol) self-healing hydrogel for high-precision freeform reversible embedding of suspended hydrogel. Langmuir 2021, 37, 4154–4162. [Google Scholar] [CrossRef] [PubMed]
- Pragatheeswaran, A.M.; Chen, S.B. The influence of poly (acrylic acid) on micellization and gelation characteristics of aqueous pluronic F127 copolymer system. Colloid. Polym. Sci. 2016, 294, 107–117. [Google Scholar] [CrossRef]
- Jones, D.S.; Bruschi, M.L.; de Freitas, O.; Gremião, M.P.D.; Lara, E.H.G.; Andrews, G.P. Rheological, mechanical and mucoadhesive properties of thermoresponsive, bioadhesive binary mixtures composed of poloxamer 407 and carbopol 974P designed as platforms for implantable drug delivery systems for use in the oral cavity. Int. J. Pharm. 2009, 372, 49–58. [Google Scholar] [CrossRef] [PubMed]
- Bercea, M.; Darie, R.N.; Niţă, L.E.; Morariu, S. Temperature responsive gels based on pluronic F127 and poly (vinyl alcohol). Ind Eng. Chem. Res. 2011, 50, 4199–4206. [Google Scholar] [CrossRef]
- Mayol, L.; Quaglia, F.; Borzacchiello, A.; Ambrosio, L.; Rotonda, M.I.L. A novel poloxamers/hyaluronic acid in situ forming hydrogel for drug delivery: Rheological, mucoadhesive and in vitro release properties. Eur. J. Pharm. Biopharm. 2008, 70, 199–206. [Google Scholar] [CrossRef] [PubMed]
- Nascimento, M.H.M.; Franco, M.K.K.D.; Yokaichyia, F.; de Paula, E.; Lombello, C.B.; de Araujo, D.R. Hyaluronic acid in pluronic F-127/F-108 hydrogels for postoperative pain in arthroplasties: Influence on physico-chemical properties and structural requirements for sustained drug-release. Int. J. Biol. Macromol. 2018, 111, 1245–1254. [Google Scholar] [CrossRef]
- Din, F.U.; Mustapha, O.; Kim, D.W.; Rashid, R.; Park, J.H.; Choi, J.Y.; Ku, S.K.; Yong, C.S.; Kim, J.O.; Choi, H. Novel dual-reverse thermosensitive solid lipid nanoparticle-loaded hydrogel for rectal administration of flurbiprofen with improved bioavailability and reduced initial burst effect. Eur. J. Pharm. Biopharm. 2015, 94, 64–72. [Google Scholar] [CrossRef]
- Majithiya, R.J.; Ghosh, P.K.; Umrethia, M.L.; Murthy, R.S.R. Thermoreversible-mucoadhesive gel for nasal delivery of sumatriptan. AAPS PharmSciTech 2006, 7, E80–E86. [Google Scholar] [CrossRef] [PubMed]
- Ryu, J.; Chung, S.; Lee, M.; Kim, C.; Shim, C.K. Increased bioavailability of propranolol in rats by retaining thermally gelling liquid suppositories in the rectum. J. Control. Release 1999, 59, 163–172. [Google Scholar] [CrossRef]
- Baldassari, S.; Solari, A.; Zuccari, G.; Drava, G.; Pastorino, S.; Fucile, C.; Marini, V.; Daga, A.; Pattarozzi, A.; Ratto, A.; et al. Development of an injectable slow-release metformin formulation and evaluation of its potential antitumor effects. Sci. Rep. 2018, 8, 3929. [Google Scholar] [CrossRef] [PubMed]
- Yu, Z.; Guo, F.; Guo, Y.; Zhang, Z.; Wu, F.; Luo, X. Optimization and evaluation of astragalus polysaccharide injectable thermoresponsive in-situ gels. PLoS ONE 2017, 12, e0173949. [Google Scholar] [CrossRef]
- Xuan, J.; Yan, Y.; Oh, D.H.; Choi, Y.K.; Yong, C.S.; Choi, H. Development of thermo-sensitive injectable hydrogel with sustained release of doxorubicin: Rheological characterization and in vivo evaluation in rats. Drug Deliv. 2011, 18, 305–311. [Google Scholar] [CrossRef] [PubMed]
- Choi, H.; Jung, J.; Ryu, J.; Yoon, S.; Oh, Y.; Kim, C. Development of in situ-gelling and mucoadhesive acetaminophen liquid suppository. Int. J. Pharm. 1998, 165, 33–44. [Google Scholar] [CrossRef]
- Mao, Y.; Li, X.; Chen, G.; Wang, S. Thermosensitive hydrogel system with paclitaxel liposomes used in localized drug delivery system for in situ treatment of tumor: Better antitumor efficacy and lower toxicity. J. Pharm. Sci. 2016, 105, 194–204. [Google Scholar] [CrossRef] [PubMed]
- Al Khateb, K.; Ozhmukhametova, E.K.; Mussin, M.N.; Seilkhanov, S.K.; Rakhypbekov, T.K.; Lau, W.M.; Khutoryanskiy, V.V. In situ gelling systems based on pluronic F127/pluronic F68 formulations for ocular drug delivery. Int. J. Pharm. 2016, 502, 70–79. [Google Scholar] [CrossRef] [PubMed]
- Kim, E.; Gao, Z.; Park, J.; Li, H.; Han, K. rhEGF/HP-Β-CD complex in poloxamer gel for ophthalmic delivery. Int. J. Pharm. 2002, 233, 159–167. [Google Scholar] [CrossRef]
- Onoda, M.; Ueki, T.; Tamate, R.; Akimoto, A.M.; Hall, C.C.; Lodge, T.P.; Yoshida, R. Precisely tunable sol–gel transition temperature by blending thermoresponsive ABC triblock terpolymers. ACS Macro Lett. 2018, 7, 950–955. [Google Scholar] [CrossRef]
- Mao, H.; Pan, P.; Shan, G.; Bao, Y. In situ formation and gelation mechanism of thermoresponsive stereocomplexed hydrogels upon mixing diblock and triblock poly (lactic acid)/poly (ethylene glycol) copolymers. J. Phys. Chem. B 2015, 119, 6471–6480. [Google Scholar] [CrossRef]
- Mao, H.; Wang, C.; Chang, X.; Cao, H.; Shan, G.; Bao, Y.; Pan, P. Poly (lactic acid)/poly (ethylene glycol) stereocomplexed physical hydrogels showing thermally-induced gel–sol–gel multiple phase transitions. Mater. Chem. Front. 2018, 2, 313–322. [Google Scholar] [CrossRef]
- Li, K.; Yu, L.; Liu, X.; Chen, C.; Chen, Q.; Ding, J. A long-acting formulation of a polypeptide drug exenatide in treatment of diabetes using an injectable block copolymer hydrogel. Biomaterials 2013, 34, 2834–2842. [Google Scholar] [CrossRef] [PubMed]
- Zhang, B.; Xie, S.; Lodge, T.P.; Bates, F.S. Phase behavior of diblock copolymer–homopolymer ternary blends with a compositionally asymmetric diblock copolymer. Macromolecules 2021, 54, 460–472. [Google Scholar] [CrossRef]
- Georgiou, T.; Constantinou, A. Polymers. 2020, PCT/GB20 19/052686. Available online: https://patentimages.storage.googleapis.com/cd/31/58/ef3390d5313a8b/WO2020065295A1.pdf (accessed on 2 May 2021).
- Constantinou, A.P.; Zhan, B.; Georgiou, T.K. Tuning the gelation of thermoresponsive gels based on triblock terpolymers. Macromolecules 2021, 54, 1943–1960. [Google Scholar] [CrossRef]
- Constantinou, A.P.; Zhang, K.; Somuncuoğlu, B.; Feng, B.; Georgiou, T.K. PEG-based methacrylate tetrablock terpolymers: How does the architecture control the gelation? Macromolecules 2021, 54, 6511–6524. [Google Scholar] [CrossRef]
- Li, Q.; Constantinou, A.P.; Georgiou, T.K. A library of thermoresponsive PEG-based methacrylate homopolymers: How do the molar mass and number of ethylene glycol groups affect the cloud point? J. Polym. Sci. 2021, 59, 230–239. [Google Scholar] [CrossRef]
- Kunitz, M. Syneresis and swelling of gelatin. J. Gen. Physiol. 1928, 12, 289–312. [Google Scholar] [CrossRef]
- Van Dijk, H.J.M.; Walstra, P.; Schenk, J. Theoretical and experimental study of one-dimensional syneresis of a protein gel. Chem. Eng. J. 1984, 28, B43–B50. [Google Scholar] [CrossRef]
- Constantinou, A.P.; Patias, G.; Somuncuoğlu, B.; Brock, T.; Lester, D.W.; Haddleton, D.M.; Georgiou, T.K. Homo-and co-polymerisation of di (propylene glycol) methyl ether methacrylate–a new monomer. Polym. Chem. 2021, 12, 3522–3532. [Google Scholar] [CrossRef]
- Haddow, P.; McAuley, W.J.; Kirton, S.B.; Cook, M.T. Poly (N-isopropyl acrylamide)–poly (ethylene glycol)–poly (N-isopropyl acrylamide) as a thermoreversible gelator for topical administration. Mater. Adv. 2020, 1, 371–386. [Google Scholar] [CrossRef]
- Kirkland, S.E.; Hensarling, R.M.; McConaughy, S.D.; Guo, Y.; Jarrett, W.L.; McCormick, C.L. Thermoreversible hydrogels from RAFT-synthesized BAB triblock copolymers: Steps toward biomimetic matrices for tissue regeneration. Biomacromolecules 2008, 9, 481–486. [Google Scholar] [CrossRef] [PubMed]
- Constantinou, A.P.; Zhao, H.; McGilvery, C.M.; Porter, A.E.; Georgiou, T.K. A Comprehensive systematic study on thermoresponsive gels: Beyond the common architectures of linear terpolymers. Polymers 2017, 9, 31. [Google Scholar] [CrossRef] [PubMed]




| No. | Experimental Polymer Structure * | Mn (g mol−1) | Ð |
|---|---|---|---|
| 1 | OEGMA30015-b-BuMA26-b-DEGMA13 | 10,400 | 1.15 |
| 2 | OEGMA30010 | 3000 | 1.19 |
| 3 | OEGMA30031 | 9440 | 1.17 |
| 4 | OEGMA30043 | 13,000 | 1.18 |
| 5 | OEGMA30075 | 22,400 | 1.23 |
| Content in P1 (w/w%) | Content in OEGMA300x (w/w%) | Tgel (±2 °C) | Tsyn (±2 °C) | Tprec (±2 °C) |
|---|---|---|---|---|
| 5 | 0 | 34 | 38 | 42 |
| 10 | 0 | 32 | 39 | 42 |
| 15 | 0 | 31 | 40 | ----* |
| 20 | 0 | 30 | 44 | ----* |
| OEGMA30010 (P2) | ||||
| 5 | 15 | 32 | 41 | 43 |
| 10 | 10 | 31 | 41 | 45 |
| 15 | 5 | 31 | 40 | 72 |
| OEGMA30031 (P3) | ||||
| 5 | 15 | 32 | 39 | 41 |
| 10 | 10 | 31 | 39 | 45 |
| 15 | 5 | 30 | 39 | 48 |
| OEGMA30043 (P4) | ||||
| 5 | 15 | 32 | 40 | 42 |
| 10 | 10 | 31 | 41 | 45 |
| 15 | 5 | 31 | 45 | 49 |
| OEGMA30075 (P5) | ||||
| 5 | 15 | 30 | 37 | 40 |
| 10 | 10 | 30 | 37 | 45 |
| 15 | 5 | 30 | 38 | 50 |
Publisher’s Note: MDPI stays neutral with regard to jurisdictional claims in published maps and institutional affiliations. |
© 2021 by the authors. Licensee MDPI, Basel, Switzerland. This article is an open access article distributed under the terms and conditions of the Creative Commons Attribution (CC BY) license (https://creativecommons.org/licenses/by/4.0/).
Share and Cite
Constantinou, A.P.; Provatakis, N.; Li, Q.; Georgiou, T.K. Homopolymer and ABC Triblock Copolymer Mixtures for Thermoresponsive Gel Formulations. Gels 2021, 7, 116. https://doi.org/10.3390/gels7030116
Constantinou AP, Provatakis N, Li Q, Georgiou TK. Homopolymer and ABC Triblock Copolymer Mixtures for Thermoresponsive Gel Formulations. Gels. 2021; 7(3):116. https://doi.org/10.3390/gels7030116
Chicago/Turabian StyleConstantinou, Anna P., Nikitas Provatakis, Qian Li, and Theoni K. Georgiou. 2021. "Homopolymer and ABC Triblock Copolymer Mixtures for Thermoresponsive Gel Formulations" Gels 7, no. 3: 116. https://doi.org/10.3390/gels7030116
APA StyleConstantinou, A. P., Provatakis, N., Li, Q., & Georgiou, T. K. (2021). Homopolymer and ABC Triblock Copolymer Mixtures for Thermoresponsive Gel Formulations. Gels, 7(3), 116. https://doi.org/10.3390/gels7030116

