Impact of Nanoclay on the pH-Responsiveness and Biodegradable Behavior of Biopolymer-Based Nanocomposite Hydrogels
Abstract
1. Introduction
2. Results and Discussion
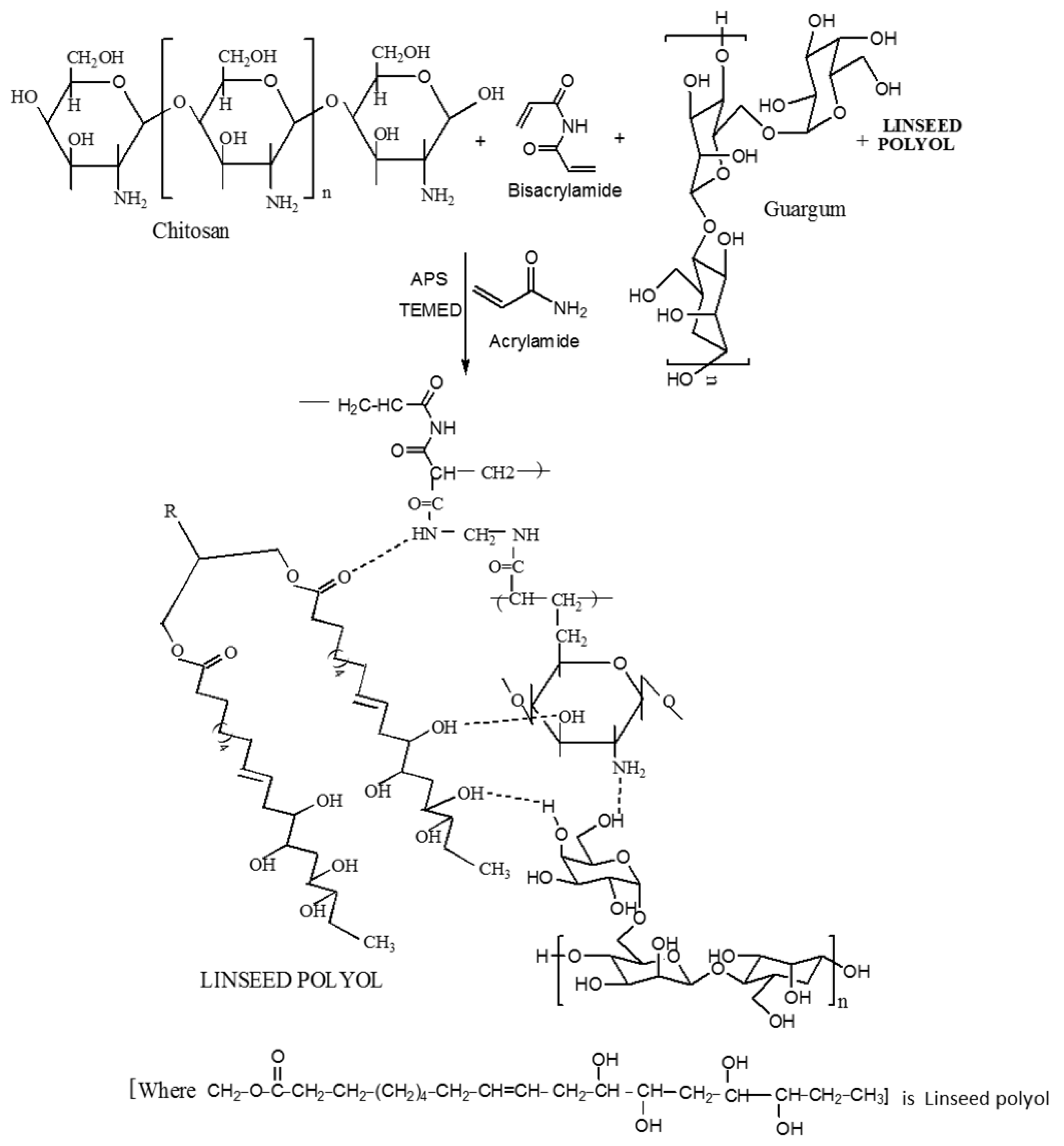
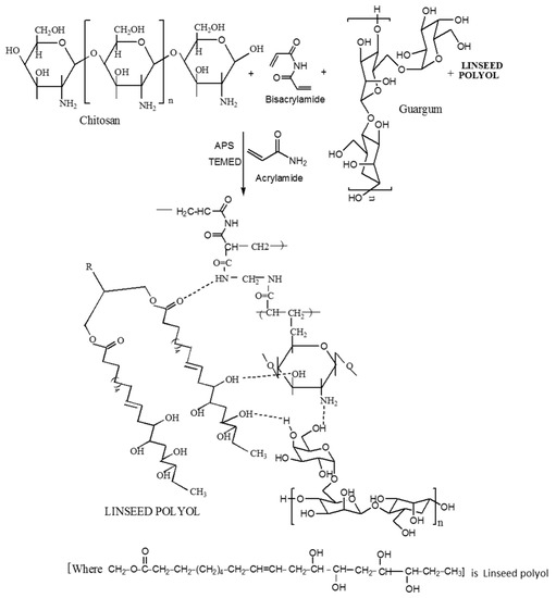
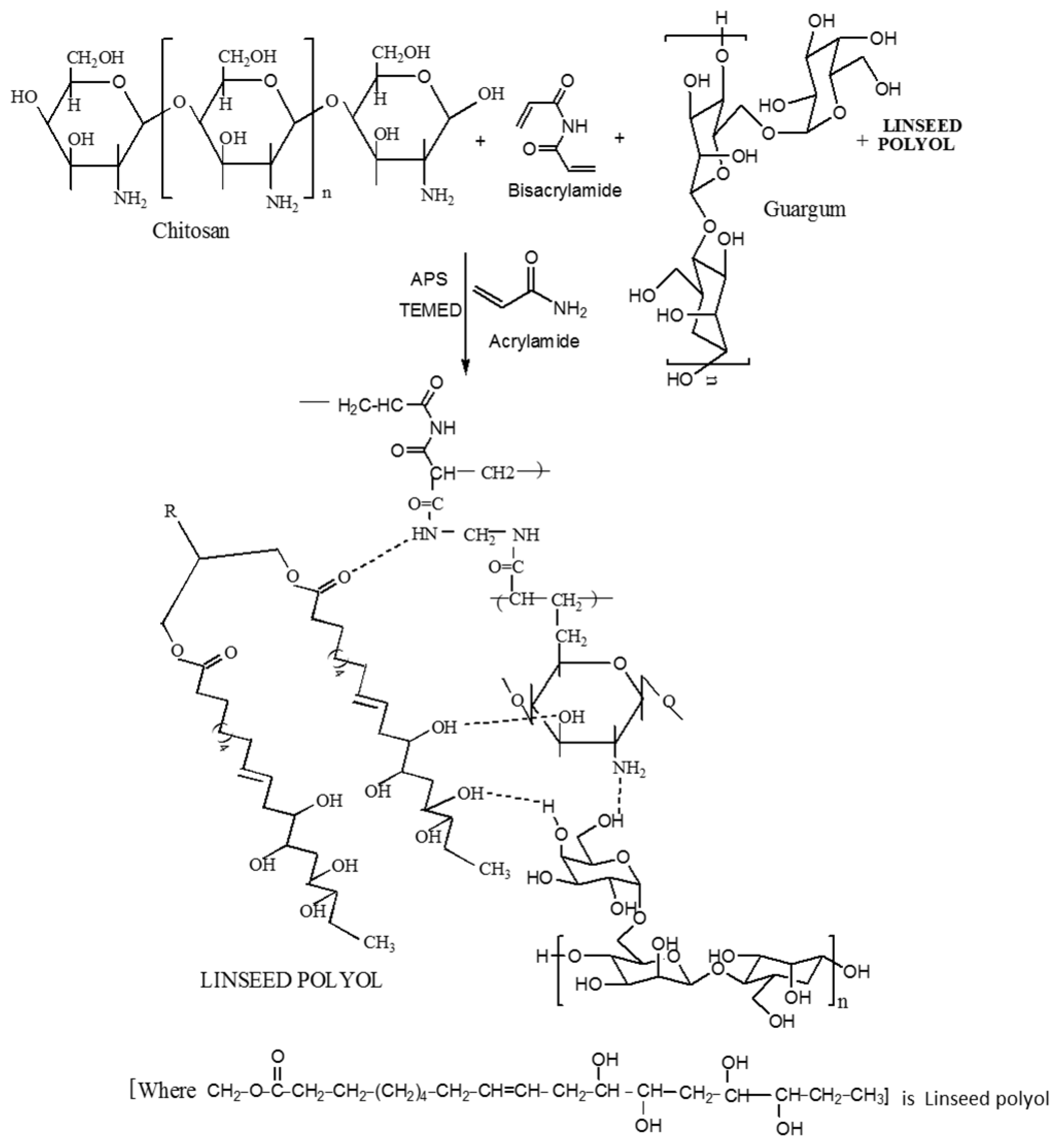
2.1. Synthesis of Nanocomposite Hydrogels
2.2. Structure and Stability of Hydrogels
2.3. FT-IR Spectra of NCHs
2.4. SEM Analysis
2.5. XRD Analysis
2.6. Thermal Gravimetric Analysis of NCHs
2.7. Differential Scanning Calorimetry of NCHs
2.8. Effect on Swelling Mechanism
2.8.1. Effect on Swelling Ratio (SR) and % Equilibrium swelling ratio (% EWS) of the NCHs
2.8.2. Swelling Studies in Physiological Fluids
2.9. Degradability Studies
2.9.1. Hydrolytic Degradation
2.9.2. Soil Burial Degradation
3. Materials and Methods
3.1. Materials
3.2. Methods
3.2.1. Preparation of NCHs
3.2.2. Purification of the NCHs
3.2.3. Fourier-Transform Infrared (FT-IR) Analysis of NCHs
3.2.4. Thermal Gravimetric Analysis (TGA) of NCHs
3.2.5. Differential Scanning Calorimetry (DSC) of NCHs
3.2.6. Scanning Electron Microscopy (SEM) Analysis of NCHs
3.2.7. Transmission Electron Microscopy (TEM) of NCHs
3.2.8. X-ray Diffraction (XRD) of NCHs
3.2.9. Swelling Studies
3.2.10. Swelling Studies in Various Physiological Solutions
3.2.11. Hydrolytic Degradation
3.2.12. Soil Burial Degradation Studies
4. Conclusions
Supplementary Materials
Author Contributions
Funding
Acknowledgments
Conflicts of Interest
References
- Das, D.; Pal, S. Modified Biopolymer-Dextrin Based Cross linked Hydrogels: Application in Controlled Drug Delivery. RSC Adv. 2015, 5, 25014–25050. [Google Scholar] [CrossRef]
- Vashist, A.; Ahmad, S. Hydrogels: Smart Materials for Drug Delivery. Orient. J. Chem. 2013, 29, 861–870. [Google Scholar] [CrossRef]
- Carreira, A.S.; Gonçalves, F.A.M.M.; Mendonça, P.V.; Gil, M.H.; Coelho, J.F.J. Temperature and pH Responsive Polymers based on Chitosan: Applications and New Graft Copolymerization Strategies based on Living Radical Polymerization. Carbohydr. Polym. 2010, 80, 618–630. [Google Scholar] [CrossRef]
- Tokarev, I.; Gopishetty, V.; Minko, S. Highly Porous 3D Fibrous Nanostructured Bioplolymer Films with Stimuli-Responsive Porosity via Phase Separation in Polymer Blend. ACS Appl. Mater. Interfaces 2015, 10, 44041–44049. [Google Scholar] [CrossRef] [PubMed]
- Koetting, M.C.; Peters, J.T.; Steichen, S.D.; Peppas, N.A. Stimulus-responsive hydrogels: Theory, Modern Advances, and Applications. Mater. Sci. Eng. R Rep. 2015, 93, 1–49. [Google Scholar] [CrossRef] [PubMed]
- Spizzirri, U.G.; Hampel, S.; Cirillo, G.; Nicoletta, F.P.; Hassan, A.; Vittorio, O.; Picci, N.; Iemma, F. Spherical gelatin/CNTs Hybrid Microgels as Electro-Responsive Drug Delivery Systems. Int. J. Pharm. 2013, 448, 115–122. [Google Scholar] [CrossRef] [PubMed]
- Satarkar, N.S.; Hilt, J.Z. Magnetic Hydrogel Nanocomposites for Remote Controlled Pulsatile Drug Release. J. Controll. Release 2008, 130, 246–251. [Google Scholar] [CrossRef] [PubMed]
- Chakrabarty, A.; Maitra, U.; Das, A.D. Metal Cholate Hydrogels: Versatile Supramolecular Systems for Nanoparticle Embedded Soft Hybrid Materials. J. Mater. Chem. 2012, 22, 18268–18274. [Google Scholar] [CrossRef]
- Wang, C.; Flynn, N.T.; Langer, R. Morphologically Well-defined Gold Nanoparticles Embedded in Thermo-Responsive Hydrogel Matrices. In MRS Proceedings; Cambridge University Press: Cambridge, UK, 2004; p. R2.2. [Google Scholar]
- Eid, M.; El-Arnaouty, M.; Salah, M.; Soliman, E.-S.; Hegazy, E.-S.A. Radiation Synthesis and Characterization of poly (vinyl alcohol)/poly (N-vinyl-2-pyrrolidone) based Hydrogels Containing Silver Nanoparticles. J. Polym. Res. 2012, 19, 1–10. [Google Scholar] [CrossRef]
- Adhikari, B.; Biswas, A.; Banerjee, A. Graphene Oxide-Based Hydrogels to Make Metal Nanoparticle-Containing Reduced Graphene Oxide-Based Functional Hybrid Hydrogels. ACS Appl. Mater. Interfaces 2012, 4, 5472–5482. [Google Scholar] [CrossRef]
- Ambre, A.H.; Katti, D.R.; Katti, K.S. Biomineralized Hydroxyapatite Nanoclay Composite Scaffolds with Polycaprolactone for Stem Cell-Based Bone Tissue Engineering. J. Biomed. Mater. Res. Part A 2015, 103, 2077–2101. [Google Scholar] [CrossRef] [PubMed]
- Wang, X.; Hélary, C.; Coradin, T. Local and Sustained Gene Delivery in Silica-Collagen Nanocomposites. ACS Appl. Mater. Interfaces 2015, 7, 2503–2511. [Google Scholar] [CrossRef] [PubMed]
- Nurunnabi, M.; Parvez, K.; Nafiujjaman, M.; Revuri, V.; Khan, H.A.; Feng, X.; Lee, Y.-K. Bioapplication of Graphene Oxide Derivatives: Drug/Gene Delivery, Imaging, Polymeric Modification, Toxicology, Therapeutics and Challenges. RSC Adv. 2015, 5, 42141–42161. [Google Scholar] [CrossRef]
- Spanoudaki, A.; Fragiadakis, D.; Vartzeli-Nikaki, K.; Pissis, P.; Hernandez, J.C.R.; Pradas, M.M. Nanostructured and nanocomposite hydrogels for biomedical applications. In Surface Chemistry in Biomedical and Environmental Science; Springer: Berlin/Heidelberg, Germany, 2006; pp. 229–240. [Google Scholar]
- Gant, R.; Abraham, A.; Hou, Y.; Cummins, B.; Grunlan, M.; Coté, G. Design of a Self-Cleaning Thermoresponsive Nanocomposite Hydrogel Membrane for Implantable Biosensors. Acta Biomater. 2010, 6, 2903–2910. [Google Scholar] [CrossRef]
- Kosemund, K.; Schlatter, H.; Ochsenhirt, J.L.; Krause, E.L.; Marsman, D.S.; Erasala, G.N. Safety Evaluation of Superabsorbent Baby Diapers. Regul. Toxicol. Pharmacol. 2009, 53, 81–89. [Google Scholar] [CrossRef]
- Rytwo, G.; Lavi, R.; Rytwo, Y.; Monchase, H.; Dultz, S.; Konig, T.N. Clarification of Olive Mill and Winery Wastewater by Means of Clay-Polymer Nanocomposites. Sci. Total Environ. 2013, 442, 134–142. [Google Scholar] [CrossRef]
- Wang, W.; Wang, A. Preparation, Characterization and Properties of Superabsorbent Nanocomposites based on Natural Guar Gum and Modified Rectorite. Carbohydr. Polym. 2009, 77, 891–897. [Google Scholar] [CrossRef]
- Campbell, S.; Maitland, D.; Hoare, T. Enhanced Pulsatile Drug Release from Injectable Magnetic Hydrogels with Embedded Thermosensitive Microgels. ACS Macro Lett. 2015, 4, 312–316. [Google Scholar] [CrossRef]
- Song, F.; Li, X.; Wang, Q.; Liao, L.; Zhang, C. Nanocomposite Hydrogels and Their Applications in Drug Delivery and Tissue Engineering. J. Biomed. Nanotechnol. 2015, 11, 40–52. [Google Scholar] [CrossRef]
- Oh, Y.; Islam, M.F. Preformed Nanoporous Carbon Nanotube Scaffold-Based Multifunctional Polymer Composites. ACS Nano 2015, 9, 4103–4110. [Google Scholar] [CrossRef]
- Chang, C.-W.; van Spreeuwel, A.; Zhang, C.; Varghese, S. PEG/Clay Nanocomposite Hydrogel: A Mechanically Robust Tissue Engineering Scaffold. Soft Matter 2010, 6, 5157–5164. [Google Scholar] [CrossRef]
- Hoo, S.P.; Sarvi, F.; Li, W.H.; Chan, P.P.; Yue, Z. Thermoresponsive Cellulosic Hydrogels with Cell-Releasing Behavior. ACS Appl. Mater. Interfaces 2013, 5, 5592–5600. [Google Scholar] [CrossRef] [PubMed]
- Prabaharan, M. Prospective of Guar gum and its Derivatives as Controlled Drug Delivery Systems. Int. J. Biol. Macromol. 2011, 49, 117–124. [Google Scholar] [CrossRef] [PubMed]
- Kaur, P.; Garg, T.; Rath, G.; Goyal, A.K. In situ Nasal Gel Drug Delivery: A Novel Approach for Brain Targeting Through the Mucosal Membrane. Artif. Cells Nanomed. Biotechnol. 2016, 44, 1167–1176. [Google Scholar] [CrossRef]
- Liu, Y.; Zhou, H. Budesonide-Loaded Guar Gum Microspheres for Colon Delivery: Preparation, Characterization and in Vitro/in Vivo Evaluation. Int. J. Mol. Sci. 2015, 16, 2693–2704. [Google Scholar] [CrossRef]
- Bhattarai, N.; Gunn, J.; Zhang, M. Chitosan-based Hydrogels for Controlled, Localized Drug Delivery. Adv. Drug Deliv. Rev. 2010, 62, 83–99. [Google Scholar] [CrossRef]
- Li, X.; Zhang, Z.; Chen, H. Development and Evaluation of Fast Forming Nano-Composite Hydrogel for Ocular Delivery of Diclofenac. Int. J. Pharm. 2013, 448, 96–100. [Google Scholar] [CrossRef]
- Sharmin, E.; Ashraf, S.; Ahmad, S. Synthesis, characterization, antibacterial and corrosion protective properties of epoxies, epoxy-polyols and epoxy-polyurethane coatings from linseed and Pongamia glabra seed oils. Int. J. Biol. Macromol. 2007, 40, 407–422. [Google Scholar] [CrossRef]
- Chahataray, R.; Jesthi, D.; Nayak, P. Synthesis and Characterization of Chitosan/Cloisite 30B (MMT) Nano Composite for Controlled Release of Antidiabetic Drug Jamun Seed Powder. J. Adv. Res. BioSci. BioTechnol. 2015, 1, 9–18. [Google Scholar]
- Azhar, F.F.; Olad, A. A study on Sustained Release Formulations for Oral Delivery of 5-fluorouracil based on Alginate–Chitosan/Montmorillonite Nanocomposite Systems. Appl. Clay Sci. 2014, 101, 288–296. [Google Scholar] [CrossRef]
- Anirudhan, T.; Parvathy, J. Novel pH Sensitive Composite Hydrogel based on Functionalized Chitosan/clay for the Controlled Release of a Calcium Channel Blocker. Design. Monomers Polym. 2015, 1–11. [Google Scholar] [CrossRef]
- Liu, B.; Luo, J.; Wang, X.; Lu, J.; Deng, H.; Sun, R. Alginate/quaternized Carboxymethyl Chitosan/Clay Nanocomposite Microspheres: Preparation and Drug-Controlled Release Behavior. J. Biomater. Sci. Polym. Ed. 2013, 24, 589–605. [Google Scholar] [CrossRef] [PubMed]
- Vashist, A.; Gupta, Y.K.; Ahmad, S. Interpenetrating Biopolymer Network based Hydrogels for an Effective Drug Delivery System. Carbohydr. Polym. 2012, 87, 1433–1439. [Google Scholar] [CrossRef]
- Vashist, A.; Shahabuddin, S.; Gupta, Y.K.; Ahmad, S. Polyol Induced Interpenetrating Networks: Chitosan-Methylmethacrylate based Biocompatible and pH Responsive Hydrogels for Drug Delivery System. J. Mater. Chem. B 2013, 1, 168–178. [Google Scholar] [CrossRef]
- Saraydın, D.; Işıkver, Y.; Karadağ, E.; Sahiner, N.; Güven, O. In Vitro Dynamic Swelling Behaviors of Radiation Synthesized Polyacrylamide with Crosslinkers in the Simulated Physiological Body Fluids. Nucl. Instrum. Methods Phys. Res. Sect. B Beam Interact. Mater. Atoms 2002, 187, 340–344. [Google Scholar] [CrossRef]
- Shahid, M.; Bukhari, S.A.; Gul, Y.; Munir, H.; Anjum, F.; Zuber, M.; Jamil, T.; Zia, K.M. Graft Polymerization of Guar gum with Acryl Amide Irradiated by Microwaves for Colonic Drug Delivery. Int. J. Biol. Macromol. 2013, 62, 172–179. [Google Scholar] [CrossRef]
- Qu, X.; Wirsen, A.; Albertsson, A.-C. Novel pH-sensitive Chitosan Hydrogels: Swelling Behavior and States of Water. Polymer 2000, 41, 4589–4598. [Google Scholar] [CrossRef]
- Nanda, R.; Sasmal, A.; Nayak, P. Preparation and Characterization of Chitosan–Polylactide Composites Blended with Cloisite 30B for Control Release of the Anticancer Drug Paclitaxel. Carbohydr. Polym. 2011, 83, 988–994. [Google Scholar] [CrossRef]
- Sarkar, K.; Debnath, M.; Kundu, P. Recyclable Crosslinked O-carboxymethyl Chitosan for Removal of Cationic Dye from Aqueous Solutions. Hydrol. Curr. Res. 2012, 3, 1–9. [Google Scholar] [CrossRef]
- Gong, C.; Wu, Q.; Wang, Y.; Zhang, D.; Luo, F.; Zhao, X.; Wei, Y.; Qian, Z. A Biodegradable Hydrogel System containing Curcumin Encapsulated in Micelles for Cutaneous Wound Healing. Biomaterials 2013, 34, 6377–6387. [Google Scholar] [CrossRef]
- Ping, Z.; Nguyen, Q.; Chen, S.; Zhou, J.; Ding, Y. States of Water in Different Hydrophilic Polymers—DSC and FTIR Studies. Polymer 2001, 42, 8461–8467. [Google Scholar] [CrossRef]
- Rao, M.; Kanatt, S.; Chawla, S.; Sharma, A. Chitosan and Guar gum Composite Films: Preparation, Physical, Mechanical and Antimicrobial Properties. Carbohydr. Polym. 2010, 82, 1243–1247. [Google Scholar] [CrossRef]
- George, M.; Abraham, T. pH Sensitive Alginate–Guar Gum Hydrogel for the Controlled Delivery of Protein Drugs. Int. J. Pharm. 2007, 335, 123–129. [Google Scholar] [CrossRef] [PubMed]
- Krishnaiah, Y.; Satyanarayana, V.; Dinesh Kumar, B.; Karthikeyan, R. In vitro Drug Release Studies on Guar gum-based Colon Targeted Oral Drug Delivery Systems of 5-Fluorouracil. Eur. J. Pharm. Sci. 2002, 16, 185–192. [Google Scholar] [CrossRef]
- Salyers, A.; Palmer, J.; Wilkins, T. Degradation of Polysaccharides by Intestinal Bacterial Enzymes. Am. J. Clin. Nutr. 1978, 31, S128–S130. [Google Scholar] [CrossRef]
- Qiu, Y.; Park, K. Environment-Sensitive Hydrogels for Drug Delivery. Adv. Drug Deliv. Rev. 2012, 64, 49–60. [Google Scholar] [CrossRef]
- Shi, X.; Wang, W.; Wang, A. Synthesis, Characterization and Swelling Behaviors of Guar gum-g-poly (sodium acrylate-co-styrene)/vermiculite Superabsorbent Composites. J. Comp. Mater. 2011, 45, 2189–2198. [Google Scholar] [CrossRef]
- Mansur, H.S.; Sadahira, C.M.; Souza, A.N.; Mansur, A.A. FTIR Spectroscopy Characterization of Poly (vinyl alcohol) Hydrogel with Different Hydrolysis Degree and Chemically Crosslinked with Glutaraldehyde. Mater. Sci. Eng. C 2008, 28, 539–548. [Google Scholar] [CrossRef]
- Ganji, F.; Vasheghani-Farahani, S.; Vasheghani-Farahani, E. Theoretical Description of Hydrogel Swelling: A Review. Iran. Polym. J. 2010, 19, 375–398. [Google Scholar]
- Heller, J. Controlled Release of Biologically Active Compounds from Bioerodible Polymers. Biomaterials 1980, 1, 51–57. [Google Scholar] [CrossRef]
- Gao, D.; Xu, H.; Philbert, M.A.; Kopelman, R. Bioeliminable Nanohydrogels for Drug Delivery. Nano Lett. 2008, 8, 3320–3324. [Google Scholar] [CrossRef] [PubMed]
- Riaz, U.; Vashist, A.; Ahmad, S.A.; Ahmad, S.; Ashraf, S. Compatibility and Biodegradability Studies of Linseed Oil Epoxy and PVC Blends. Biomass Bioenergy 2010, 34, 396–401. [Google Scholar] [CrossRef]












| S.No. | 2% (w/v) Chitosan (mL) | 2% (w/v) Guar gum (mL) | 2% Polyol (mL) | AM:MBA (26:4) 30% (mL) | 5% APS (mL) | TEMED (mL) |
|---|---|---|---|---|---|---|
| CG-0 | 20 | 20 | 0.0 | 10 | 1.0 | 0.1 |
| CGP2-2 | 20 | 20 | 2.0 | 10 | 1.0 | 0.1 |
| CGP2-3 | 20 | 20 | 3.0 | 10 | 1.0 | 0.1 |
| CGP2-4 | 20 | 20 | 4.0 | 10 | 1.0 | 0.1 |
| CGP2-5 | 20 | 20 | 5.0 | 10 | 1.0 | 0.1 |
| CGP2-7 | 20 | 20 | 7.0 | 10 | 1.0 | 0.1 |
| S.No. | 2% (w/v) Chitosan (mL) | 2% (w/v) Guar gum (mL) | 2% (w/v) Polyol (mL) | Cloisite 30B (mg/mL) | 30% AM:MBA (26:4) (mL) | 5% APS (mL) | TEMED (mL) |
|---|---|---|---|---|---|---|---|
| NC-2 | 20 | 20 | 3.0 | 2.0 | 10 | 1.0 | 0.1 |
| NC-4 | 20 | 20 | 3.0 | 4.0 | 10 | 1.0 | 0.1 |
| NC-6 | 20 | 20 | 3.0 | 6.0 | 10 | 1.0 | 0.1 |
© 2019 by the authors. Licensee MDPI, Basel, Switzerland. This article is an open access article distributed under the terms and conditions of the Creative Commons Attribution (CC BY) license (http://creativecommons.org/licenses/by/4.0/).
Share and Cite
Vashist, A.; Ghosal, A.; Vashist, A.; Kaushik, A.; Gupta, Y.K.; Nair, M.; Ahmad, S. Impact of Nanoclay on the pH-Responsiveness and Biodegradable Behavior of Biopolymer-Based Nanocomposite Hydrogels. Gels 2019, 5, 44. https://doi.org/10.3390/gels5040044
Vashist A, Ghosal A, Vashist A, Kaushik A, Gupta YK, Nair M, Ahmad S. Impact of Nanoclay on the pH-Responsiveness and Biodegradable Behavior of Biopolymer-Based Nanocomposite Hydrogels. Gels. 2019; 5(4):44. https://doi.org/10.3390/gels5040044
Chicago/Turabian StyleVashist, Arti, Anujit Ghosal, Atul Vashist, Ajeet Kaushik, Y. K. Gupta, Madhavan Nair, and Sharif Ahmad. 2019. "Impact of Nanoclay on the pH-Responsiveness and Biodegradable Behavior of Biopolymer-Based Nanocomposite Hydrogels" Gels 5, no. 4: 44. https://doi.org/10.3390/gels5040044
APA StyleVashist, A., Ghosal, A., Vashist, A., Kaushik, A., Gupta, Y. K., Nair, M., & Ahmad, S. (2019). Impact of Nanoclay on the pH-Responsiveness and Biodegradable Behavior of Biopolymer-Based Nanocomposite Hydrogels. Gels, 5(4), 44. https://doi.org/10.3390/gels5040044

