A Novel Floating In Situ Chewable Gel System for Curcumin Delivery with Potential Application in Obesity Management
Abstract
1. Introduction
2. Results and Discussion
2.1. Physicochemical Characterization of Curcumin Solid Dispersions
2.1.1. Solubility of Curcumin Solid Dispersions (CUR-SDs)
2.1.2. Dissolution Profiles of CUR-SDs
2.1.3. X-Ray Powder Diffraction (XRPD) Analysis
2.1.4. FT-IR Spectral Analysis
2.2. Physical Properties of Gummy Jellies
2.2.1. Appearance of the Formulations
2.2.2. Analysis of Texture Properties
2.3. Physical Properties of the Formed Gels
2.3.1. Density and Buoyancy Lag Time of Formed Gels
2.3.2. Gel Strength
2.4. In Vitro Curcumin Release from Floating In Situ Gels
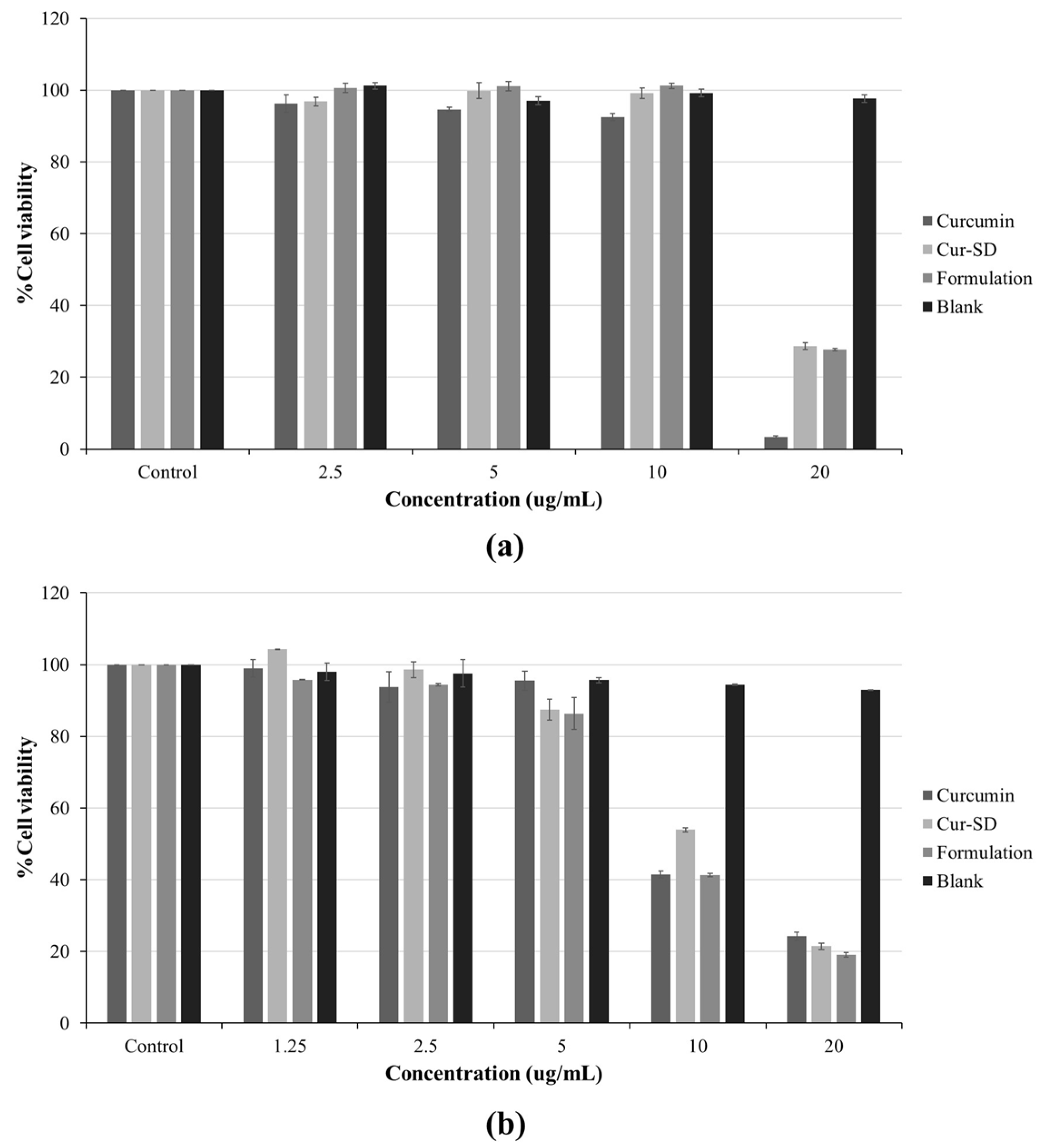
2.5. Cell Viability of RAW264.7 and 3T3-L1 Cells
2.6. Anti-Inflammatory Activity
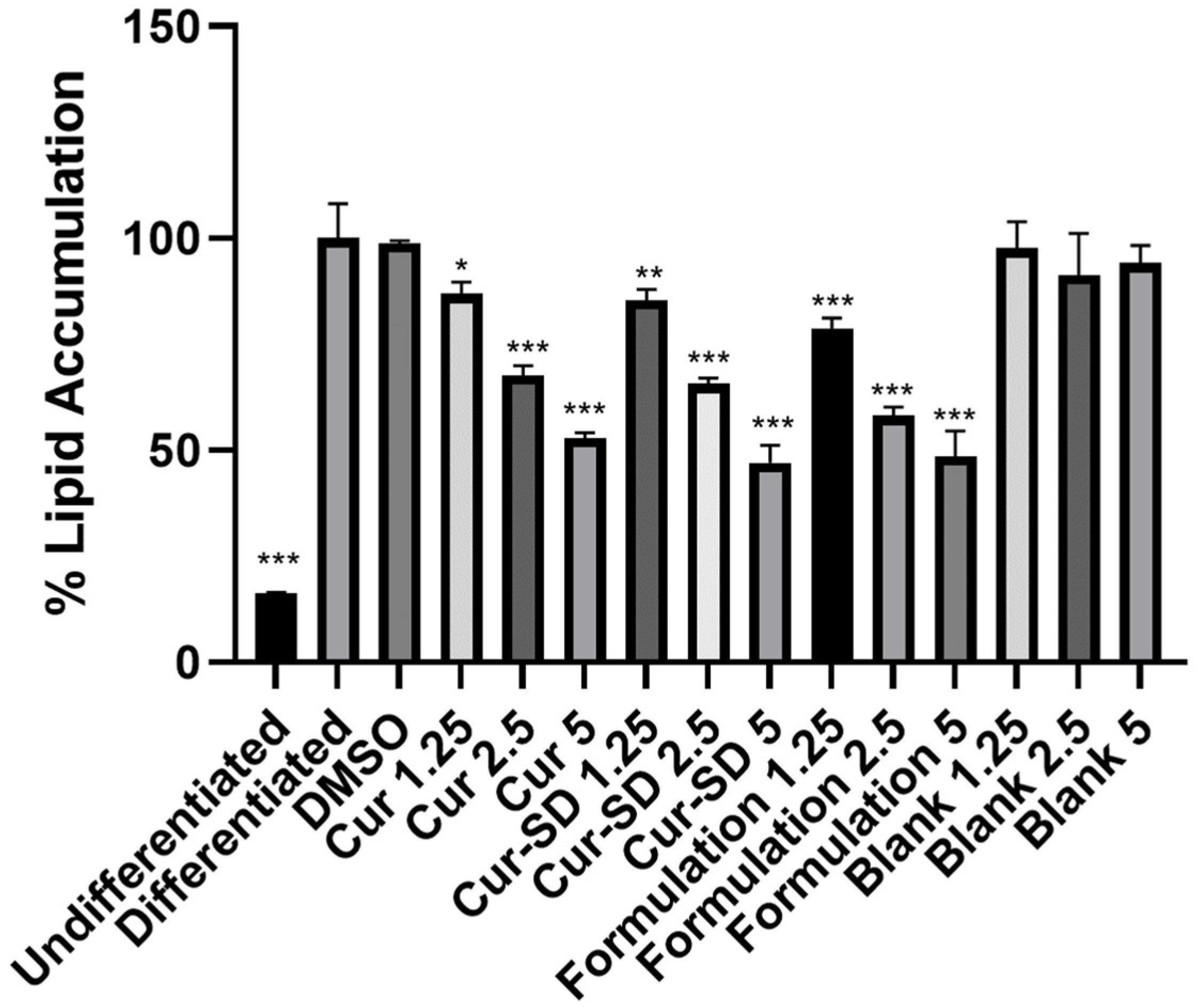
2.7. Inhibitory Effects on Lipid Accumulation
3. Conclusions
4. Materials and Methods
4.1. Materials
4.2. Preparation of Curcumin-Loaded Solid Dispersions
4.3. Evaluation of Curcumin Solid Dispersions
4.3.1. Analysis of Curcumin Contents
4.3.2. Solubility Study of Curcumin Solid Dispersions
4.3.3. Dissolution Study of Curcumin Solid Dispersions
4.3.4. Physicochemical Characterization of Curcumin Solid Dispersion
4.4. Formulation of Gummy Jellies Loaded with Curcumin-Solid Dispersion
4.5. Evaluation of Gummy Jellies Loaded with Curcumin-Solid Dispersion
4.5.1. Physical Appearance and pH
4.5.2. Texture Profile Analysis of Gummy Jellies
4.5.3. Determination of Curcumin Contents in Gummy Jellies
4.6. Evaluation of Floating In Situ Gels
4.6.1. Gel Density Measurement
4.6.2. Gel Strength Measurement
4.6.3. Gel Floating Characteristics
4.7. Curcumin Release from Floating In Situ Gels
4.8. Evaluation of Biological Activities
4.8.1. Cell Culture
4.8.2. Cell Viability Assay
4.8.3. Determination of Anti-Inflammatory Activity
4.8.4. Determination of Anti-Obesity Activity
4.9. Statistical Analysis
Author Contributions
Funding
Institutional Review Board Statement
Informed Consent Statement
Data Availability Statement
Acknowledgments
Conflicts of Interest
Abbreviations
| ASDs | Amorphous solid dispersions |
| BMI | Body mass index |
| C/EBPs | CCAAT/enhancer-binding proteins |
| Ca2+ | Calcium ion |
| CaCO3 | Calcium carbonate |
| CO2 | Carbon dioxide |
| CUR-PMs | Curcumin physical mixtures |
| CUR-SDs | Curcumin solid dispersions |
| DMSO | Dimethyl Sulfoxide |
| F | Formulation |
| FT-IR | Fourier-Transform Infrared Spectroscopy |
| G | Guluronic acid |
| g | Gram |
| g/cm3 | Grams per cubic centimeter |
| HCl | Hydrochloric acid |
| IC | Inhibitory concentration |
| KC | κ-carrageenan |
| LPS | Lipopolysaccharide |
| MCP-1 | Monocyte chemoattractant protein-1 |
| mm | Millimeter |
| MTT | 3-(4,5-dimethylthiazol-2-yl)-2,5-diphenyltetrazolium bromide |
| N/A | Not active |
| NAFLD | Non-alcoholic fatty liver disease |
| NF-κB | Nuclear Factor kappa-B |
| NO | Nitric oxide |
| PAI-1 | Plasminogen activator inhibitor-1 |
| PPARγ | Peroxisome proliferator-activated receptor gamma |
| SA | Sodium alginate |
| s | Second |
| TNF-α | Tumor Necrosis Factor-alpha |
| XRPD | X-ray powder diffraction |
References
- Tomar, M.; Rao, R.P.; Dorairaj, P.; Koshta, A.; Suresh, S.; Rafiq, M.; Kumawat, R.; Paramesh, R.; Babu, U.V.; Venkatesh, K.V. A Clinical and Computational Study on Anti-Obesity Effects of Hydroxycitric Acid. RSC Adv. 2019, 9, 18578–18588. [Google Scholar] [CrossRef] [PubMed]
- Subramaniyan, V.; Hanim, Y.U. Role of pancreatic lipase inhibition in obesity treatment: Mechanisms and challenges towards current insights and future directions. Int. J. Obes. 2025, 49, 492–506. [Google Scholar] [CrossRef] [PubMed]
- Conforti, F.; Pan, M.H. Natural Products in Anti-Obesity Therapy. Molecules 2016, 21, 1750. [Google Scholar] [CrossRef] [PubMed]
- Maleki, M.H.; Abdizadeh Javazm, S.; Dastghaib, S.; Panji, A.; Hojjati Far, M.; Mahmoodi, H.; Siri, M.; Shafiee, S.M. The effect of quercetin on adipogenesis, lipolysis, and apoptosis in 3T3-L1 adipocytes: The role of SIRT1 pathways. Obes. Sci. Pract. 2024, 10, e752. [Google Scholar] [CrossRef]
- Wang, Y.; Li, C.; Peng, W.; Sheng, J.; Zi, C.; Wu, X. EGCG Suppresses Adipogenesis and Promotes Browning of 3T3-L1 Cells by Inhibiting Notch1 Expression. Molecules 2024, 29, 2555. [Google Scholar] [CrossRef]
- Fungfoung, K.; Praparatana, R.; Issarachot, O.; Wiwattanapatapee, R. Development of oral in situ gelling liquid formulations of garcinia extract for treating obesity. Gels 2023, 9, 660. [Google Scholar] [CrossRef]
- Mansouri, E.; Khorsandi, L.; Zare Moaiedi, M. Grape Seed Proanthocyanidin Extract Improved some of Biochemical Parameters and Antioxidant Disturbances of Red Blood Cells in Diabetic Rats. Iran. J. Pharm. Res. 2015, 14, 329–334. [Google Scholar]
- Zheng, J.; Zheng, S.; Feng, Q.; Zhang, Q.; Xiao, X. Dietary capsaicin and its anti-obesity potency: From mechanism to clinical implications. Biosci. Rep. 2017, 37, BSR20170286. [Google Scholar] [CrossRef]
- Fungfoung, K.; Issarachot, O.; Praparatana, R.; Wiwattanapatapee, R. High-Expansion Natural Composite Films for Controlled Delivery of Hydroxycitric Acid in Obesity Therapy. Polymers 2025, 17, 1697. [Google Scholar] [CrossRef]
- Wang, P.; Gao, J.; Ke, W.; Wang, J.; Li, D.; Liu, R.; Jia, Y.; Wang, X.; Chen, X.; Chen, F.; et al. Resveratrol reduces obesity in high-fat diet-fed mice via modulating the composition and metabolic function of the gut microbiota. Free. Radic. Biol. Med. 2020, 156, 83–98. [Google Scholar] [CrossRef]
- Janson, B.; Prasomthong, J.; Malakul, W.; Boonsong, T.; Tunsophon, S. Hibiscus sabdariffa L. calyx extract prevents the adipogenesis of 3T3-L1 adipocytes, and obesity-related insulin resistance in high-fat diet-induced obese rats. Biomed. Pharmacother. 2021, 138, 111438. [Google Scholar] [CrossRef] [PubMed]
- Chiu, Y.; Chou, W.; Ko, M.; Liao, J.; Huang, T. Curcumin mitigates obesity-driven dysbiosis and liver steatosis while promoting browning and thermogenesis in white adipose tissue of high-fat diet-fed mice. J. Nutr. Biochem. 2025, 143, 109920. [Google Scholar] [CrossRef] [PubMed]
- Konaktchieva, M.; Stojchevski, R.; Hadzi-Petrushev, N.; Gagov, H.; Konakchieva, R.; Mitrokhin, V.; Kungulovski, G.; Mladenov, M.; Avtanski, D. Curcumin and Tetrahydrocurcumin as Multi-Organ Modulators of the Adipose Tissue–Gut–Liver Axis: Mechanistic Insights, Therapeutic Potential, and Translational Challenges. Pharmaceuticals 2025, 18, 1791. [Google Scholar] [CrossRef]
- Zhu, X.; Xu, X.; Du, C.; Su, Y.; Yin, L.; Tan, X.; Liu, H.; Wang, Y.; Xu, L.; Xu, X. An examination of the protective effects and molecular mechanisms of curcumin, a polyphenol curcuminoid in diabetic nephropathy. Biomed. Pharmacother. 2022, 153, 113438. [Google Scholar] [CrossRef] [PubMed]
- Alsharif, F.J.; Almuhtadi, Y.A. The Effect of Curcumin Supplementation on Anthropometric Measures among Overweight or Obese Adults. Nutrients 2021, 13, 680. [Google Scholar] [CrossRef]
- Xie, B.; Liu, Y.; Li, X.; Yang, P.; He, W. Solubilization techniques used for poorly water-soluble drugs. Acta Pharm. Sin. B 2024, 14, 4683–4716. [Google Scholar] [CrossRef]
- Budiman, A.; Ivana, H.; Huang, K.A.; Huang, S.A.; Nadhira, M.S.; Rusdin, A.; Aulifa, D.L. Biocompatible Natural Polymer-Based Amorphous Solid Dispersion System Improving Drug Physicochemical Properties, Stability, and Efficacy. Polymers 2025, 17, 2059. [Google Scholar] [CrossRef]
- Iyer, R.; Jovanovska, V.P.; Berginc, K.; Jaklič, M.; Fabiani, F.; Harlacher, C.; Huzjak, T.; Sanchez-Felix, M.V. Amorphous Solid Dispersions (ASDs): The influence of material properties, manufacturing processes and analytical technologies in drug product development. Pharmaceutics 2021, 13, 1682. [Google Scholar] [CrossRef]
- Inam, S.; Irfan, M.; Lali, N.U.A.; Khalid Syed, H.; Asghar, S.; Khan, I.U.; Khan, S.-U.-D.; Iqbal, M.S.; Zaheer, I.; Khames, A.; et al. Development and Characterization of Eudragit® EPO-Based Solid Dispersion of Rosuvastatin Calcium to Foresee the Impact on Solubility, Dissolution and Antihyperlipidemic Activity. Pharmaceuticals 2022, 15, 492. [Google Scholar] [CrossRef]
- Prajapati, G.K.; Jani Khutliwala, T.A.; Zala, B.S. Raft forming system—An upcoming approach of gastroretentive drug delivery system. J. Control. Release 2013, 168, 151–165. [Google Scholar] [CrossRef]
- Shreya, L.; Suma, U.S.; Zohmingliani, R. Recent Advances in Oral in Situ Gel Drug Delivery System: A Polymeric Approach. Drug Dev. Ind. Pharm. 2025, 51, 1639–1649. [Google Scholar] [CrossRef] [PubMed]
- Matulyte, I.; Marksa, M.; Bernatoniene, J. Development of Innovative Chewable Gel Tablets Containing Nutmeg Essential Oil Microcapsules and Their Physical Properties Evaluation. Pharmaceutics 2021, 13, 873. [Google Scholar] [CrossRef]
- Fan, W.; Zhang, X.; Zhu, W.; Zhang, X.; Di, L. Preparation of Curcumin-Eudragit® E PO Solid Dispersions with Gradient Temperature through Hot-Melt Extrusion. Molecules 2021, 26, 4964. [Google Scholar] [CrossRef] [PubMed]
- Kerdsakundee, N.; Mahattanadul, S.; Wiwattanapatapee, R. Development and evaluation of gastroretentive raft forming systems incorporating curcumin-Eudragit® EPO solid dispersions for gastric ulcer treatment. Eur. J. Pharm. Biopharm. 2015, 94, 513–520. [Google Scholar] [CrossRef] [PubMed]
- Siripruekpong, W.; Issarachot, O.; Kaewkroek, K.; Wiwattanapatapee, R. Development of gastroretentive carriers for curcumin-loaded solid dispersion based on expandable starch/chitosan films. Molecules 2023, 28, 361. [Google Scholar] [CrossRef]
- Drašković, M.; Medarević, D.; Aleksić, I.; Parojčić, J. In vitro and in vivo investigation of taste-masking effectiveness of Eudragit® EPO as drug particle coating agent in orally disintegrating tablets. Drug Dev. Ind. Pharm. 2017, 43, 723–731. [Google Scholar] [CrossRef]
- Stavarache, C.; Gȃrea, S.A.; Serafim, A.; Olăreț, E.; Vlăsceanu, G.M.; Marin, M.M.; Iovu, H. Three-Dimensional-Printed Sodium Alginate and k-Carrageenan-Based Scaffolds with Potential Biomedical Applications. Polymers 2024, 16, 305. [Google Scholar] [CrossRef]
- Pumjan, S.; Praparatana, R.; Issarachot, O.; Wiwattanapatapee, R. Dietary fiber-based floating in situ gels for improved gastric delivery of roselle extract. J. Appl. Pharm. Sci. 2025, 15, 84–94. [Google Scholar] [CrossRef]
- Makarova, A.O.; Derkach, S.R.; Khair, T.; Kazantseva, M.A.; Zuev, Y.F.; Zueva, O.S. Ion-Induced Polysaccharide Gelation: Peculiarities of Alginate Egg-Box Association with Different Divalent Cations. Polymers 2023, 15, 1243. [Google Scholar] [CrossRef]
- Alalaiwe, A.; Fang, J.-Y.; Lee, H.-J.; Chiu, C.-H.; Hsu, C.-Y. The Demethoxy Derivatives of Curcumin Exhibit Greater Differentiation Suppression in 3T3-L1 Adipocytes Than Curcumin: A Mechanistic Study of Adipogenesis and Molecular Docking. Biomolecules 2021, 11, 1025. [Google Scholar] [CrossRef]
- Islam, T.; Scoggin, S.; Gong, X.; Zabet-Moghaddam, M.; Kalupahana, N.S.; Moustaid-Moussa, N. Anti-Inflammatory Mechanisms of Curcumin and Its Metabolites in White Adipose Tissue and Cultured Adipocytes. Nutrients 2024, 16, 70. [Google Scholar] [CrossRef]
- Pumjan, S.; Praparatana, R.; Issarachot, O.; Wiwattanapatapee, R. Rutin-Loaded Raft-Forming Systems Developed from Alginate and Whey Protein Isolate for the Treatment of Gastric Ulcers. J. Drug Deliv. Sci. Technol. 2025, 107, 106842. [Google Scholar] [CrossRef]
- Kaewpetch, K.; Yolsuriyan, S.; Disayathanoowat, T.; Phokasem, P.; Jannu, T.; Renaldi, G.; Samakradhamrongthai, R.S. Influence of Gelatin and Propolis Extract on Honey Gummy Jelly Properties: Optimization Using D-Optimal Mixture Design. Gels 2024, 10, 282. [Google Scholar] [CrossRef]
- Anantaworasakul, P.; Preedalikit, W.; Anantaworasakul, P.; Singh, S.; Intharuksa, A.; Arunotayanun, W.; Na Takuathung, M.; Yotsawimonwat, S.; Chittasupho, C. Phytochemical Characterization, Bioactivities, and Nanoparticle-Based Topical Gel Formulation Development from Four Mitragyna speciosa Varieties. Gels 2025, 11, 494. [Google Scholar] [CrossRef]
- Suriyaprom, S.; Srisai, P.; Intachaisri, V.; Kaewkod, T.; Pekkoh, J.; Desvaux, M.; Tragoolpua, Y. Antioxidant and Anti-Inflammatory Activity on LPS-Stimulated RAW 264.7 Macrophage Cells of White Mulberry (Morus alba L.) Leaf Extracts. Molecules 2023, 28, 4395. [Google Scholar] [CrossRef]









| Formulations | Texture Analysis | ||||
|---|---|---|---|---|---|
| Hardness (g) | Cohesiveness | Springiness (mm) | Gumminess (g) | Chewiness (g) | |
| F1 (SA0.5/KC0.5) | 61.36 ± 3.22 | 0.138 ± 0.00 | 0.792 ± 0.05 | 8.45 ± 0.41 | 6.73 ± 0.73 |
| F2 (SA0.5/KC1) | 203.07 ± 4.67 a | 0.123 ± 0.00 | 0.696 ± 0.12 | 25.05 ± 0.99 a | 19.12 ± 1.38 a |
| F3 (SA0.5/KC1.5) | 251.61 ± 6.77 a | 0.113 ± 0.00 | 0.483 ± 0.02 | 28.34 ± 0.54 a | 21.80 ± 1.40 a |
| F4 (SA0.5/KC2) | 552.04 ± 4.62 a | 0.102 ± 0.00 | 0.715 ± 0.12 | 56.49 ± 1.19 a | 46.73 ± 0.61 a |
| F5 (SA0.75/KC0.5) | 66.65 ± 1.81 | 0.154 ± 0.00 | 0.838 ± 0.00 | 10.28 ± 0.08 | 8.62 ± 0.06 |
| F6 (SA0.75/KC1) | 259.88 ± 2.92 b | 0.124 ± 0.01 | 0.855 ± 0.00 | 32.21 ± 3.26 b | 27.55 ± 2.85 b |
| F7 (SA0.75/KC1.5) | 370.88 ± 8.16 b | 0.100 ± 0.01 | 0.851 ± 0.00 | 36.95 ± 1.94 b | 31.46 ± 1.61 b |
| F8 (SA0.75/KC2) | 728.31 ± 13.50 b | 0.086 ± 0.00 | 0.845 ± 0.00 | 62.37 ± 1.21 b | 52.72 ± 0.95 b |
| F9 (SA1/KC0.5) | 102.92 ± 2.80 | 0.133 ± 0.00 | 0.855 ± 0.04 | 34.24 ± 1.14 | 11.72 ± 0.85 |
| F10 (SA1/KC1) | 282.71 ± 2.93 c | 0.141 ± 0.01 | 0.837 ± 0.02 | 39.86 ± 1.74 c | 33.37 ± 1.96 c |
| F11 (SA1/KC1.5) | 446.33 ± 24.99 c | 0.111 ± 0.00 | 0.892 ± 0.00 | 49.51 ± 2.35 c | 44.18 ± 2.17 c |
| F12 (SA1/KC2) | 871.94 ± 9.20 c | 0.082 ± 0.00 | 0.830 ± 0.04 | 71.77 ± 1.81 c | 59.54 ± 1.57 c |
| Formulations | Floating Time (s) | Density (g/cm3) | Gel Strength (g) |
|---|---|---|---|
| F1 (SA0.5/KC0.5) | 21.0 ± 3.00 | 0.873 ± 0.05 | 42.0 ± 1.03 |
| F2 (SA0.5/KC1) | 30.0 ± 1.00 a | 0.819 ± 0.03 | 69.0 ± 1.58 a |
| F3 (SA0.5/KC1.5) | 112.0 ± 4.36 a | 0.728 ± 0.04 | 98.3 ± 3.24 a |
| F4 (SA0.5/KC2) | 125.0 ± 6.00 a | 0.697 ± 0.03 | 170.2 ± 2.68 a |
| F5 (SA0.75/KC0.5) | 90.0 ± 2.65 | 0.788 ± 0.01 | 136.3 ± 2.50 |
| F6 (SA0.75/KC1) | 131.7 ± 3.21 b | 0.715 ± 0.03 | 223.8 ± 1.48 b |
| F7 (SA0.75/KC1.5) | 144.3 ± 0.58 b | 0.704 ± 0.03 | 332.0 ± 90.6 b |
| F8 (SA0.75/KC2) | 164.0 ± 2.65 b | 0.682 ± 0.01 | 544.2 ± 11.61 b |
| F9 (SA1/KC0.5) | 169.3 ± 1.53 | 0.716 ± 0.01 | 212.6 ± 6.10 |
| F10 (SA1/KC1) | 182.7 ± 3.51 c | 0.687 ± 0.03 | 301.6 ± 5.96 c |
| F11 (SA1/KC1.5) | 194.0 ± 2.65 c | 0.675 ± 0.03 | 411.6 ± 5.03 c |
| F12 (SA1/KC2) | 214.6 ± 2.0.8 c | 0.659 ± 0.02 | 645.4 ± 18.00 c |
| Samples | Anti-Inflammatory Activity (NO Assay) IC50 (µg/mL) |
|---|---|
| Curcumin | 4.12 ± 0.66 a |
| CUR-SD | 4.54 ± 0.39 a |
| F7 formulation | 4.84 ± 0.59 a |
| F7 blank | N/A |
| Indomethacin | 46.35 ± 0.45 |
| Formulations | Variation in Ingredients (g) | |||||
|---|---|---|---|---|---|---|
| Sodium Alginate | KC | Sodium Benzoate | CaCO3 | Sucralose | Lemon Flavor Liquid | |
| F1 | 0.50 | 0.50 | 0.10 | 1.50 | 0.20 | 1.00 |
| F2 | 1.0 | |||||
| F3 | 1.5 | |||||
| F4 | 2.0 | |||||
| F5 | 0.75 | 0.50 | 0.10 | 1.50 | 0.20 | 1.00 |
| F6 | 1.0 | |||||
| F7 | 1.5 | |||||
| F8 | 2.0 | |||||
| F9 | 1.00 | 0.50 | 0.10 | 1.50 | 0.20 | 1.00 |
| F10 | 1.0 | |||||
| F11 | 1.5 | |||||
| F12 | 2.0 | |||||
Disclaimer/Publisher’s Note: The statements, opinions and data contained in all publications are solely those of the individual author(s) and contributor(s) and not of MDPI and/or the editor(s). MDPI and/or the editor(s) disclaim responsibility for any injury to people or property resulting from any ideas, methods, instructions or products referred to in the content. |
© 2026 by the authors. Licensee MDPI, Basel, Switzerland. This article is an open access article distributed under the terms and conditions of the Creative Commons Attribution (CC BY) license.
Share and Cite
Pumjan, S.; Praparatana, R.; Issarachot, O.; Fungfoung, K.; Wiwattanapatapee, R. A Novel Floating In Situ Chewable Gel System for Curcumin Delivery with Potential Application in Obesity Management. Gels 2026, 12, 286. https://doi.org/10.3390/gels12040286
Pumjan S, Praparatana R, Issarachot O, Fungfoung K, Wiwattanapatapee R. A Novel Floating In Situ Chewable Gel System for Curcumin Delivery with Potential Application in Obesity Management. Gels. 2026; 12(4):286. https://doi.org/10.3390/gels12040286
Chicago/Turabian StylePumjan, Saravoot, Rachanida Praparatana, Ousanee Issarachot, Kantiya Fungfoung, and Ruedeekorn Wiwattanapatapee. 2026. "A Novel Floating In Situ Chewable Gel System for Curcumin Delivery with Potential Application in Obesity Management" Gels 12, no. 4: 286. https://doi.org/10.3390/gels12040286
APA StylePumjan, S., Praparatana, R., Issarachot, O., Fungfoung, K., & Wiwattanapatapee, R. (2026). A Novel Floating In Situ Chewable Gel System for Curcumin Delivery with Potential Application in Obesity Management. Gels, 12(4), 286. https://doi.org/10.3390/gels12040286

