Optimization of Wind Turbine Spindle Bearing Gel-like Grease Performance at Extreme Temperatures
Abstract
1. Introduction
2. Results and Discussion
2.1. Optimization Analysis of the Tribological Properties of Gel-like Lubricating Grease for Wind Turbine Main Shaft Bearings
2.1.1. Friction Coefficient–Time Analysis of Different Samples Against Steel Balls
- Friction Coefficient–Time Analysis of Gel-Like Lubricating Grease for Wind Turbine Main Shaft Bearings Containing a Single Additive
- 2.
- Friction Coefficient–Time Analysis of Gel-Like Lubricating Grease for Wind Turbine Main Shaft Bearings Containing Hybrid Additives
2.1.2. Analysis of Steel Ball Scratch Diameter for Different Samples
- 1.
- Analysis of Steel Ball Wear Spot Diameter for Single Additive Samples
- 2.
- Analysis of Steel Ball Wear Spot Diameter in Mixed Additive Samples
2.2. Optimization Analysis of Rheological Properties of Gel-like Lubricating Grease for Wind Turbine Main Shaft Bearings
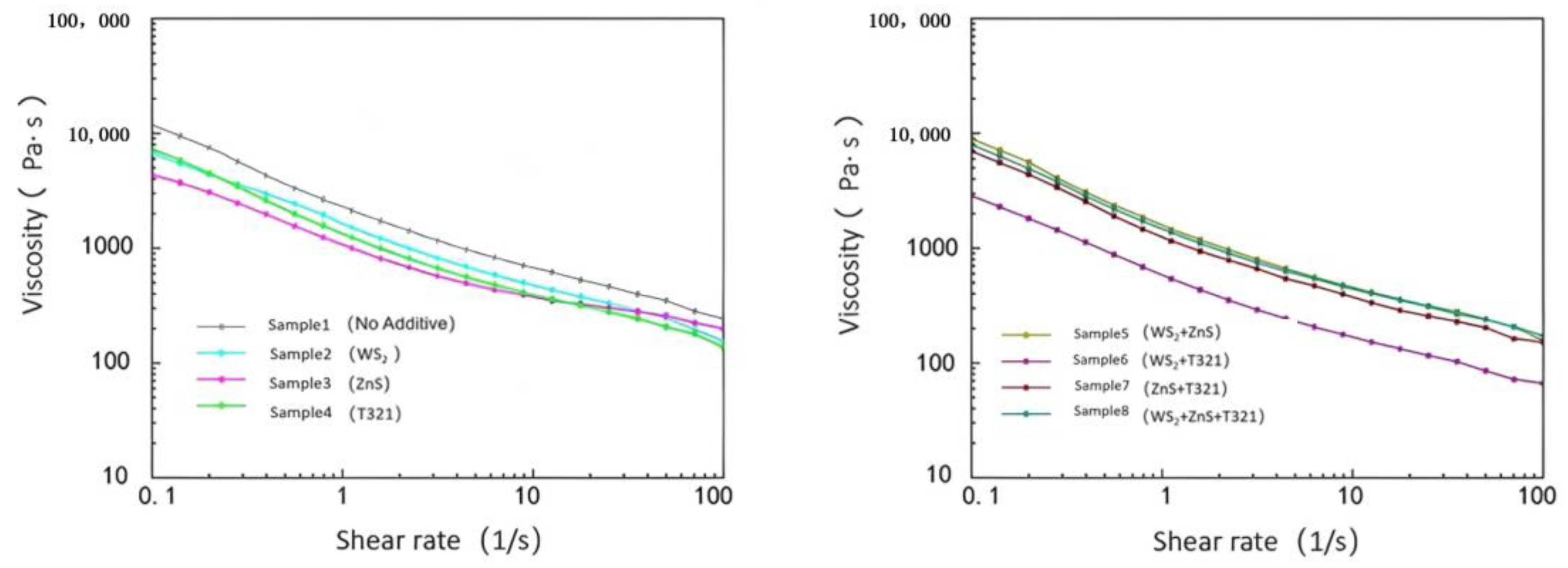
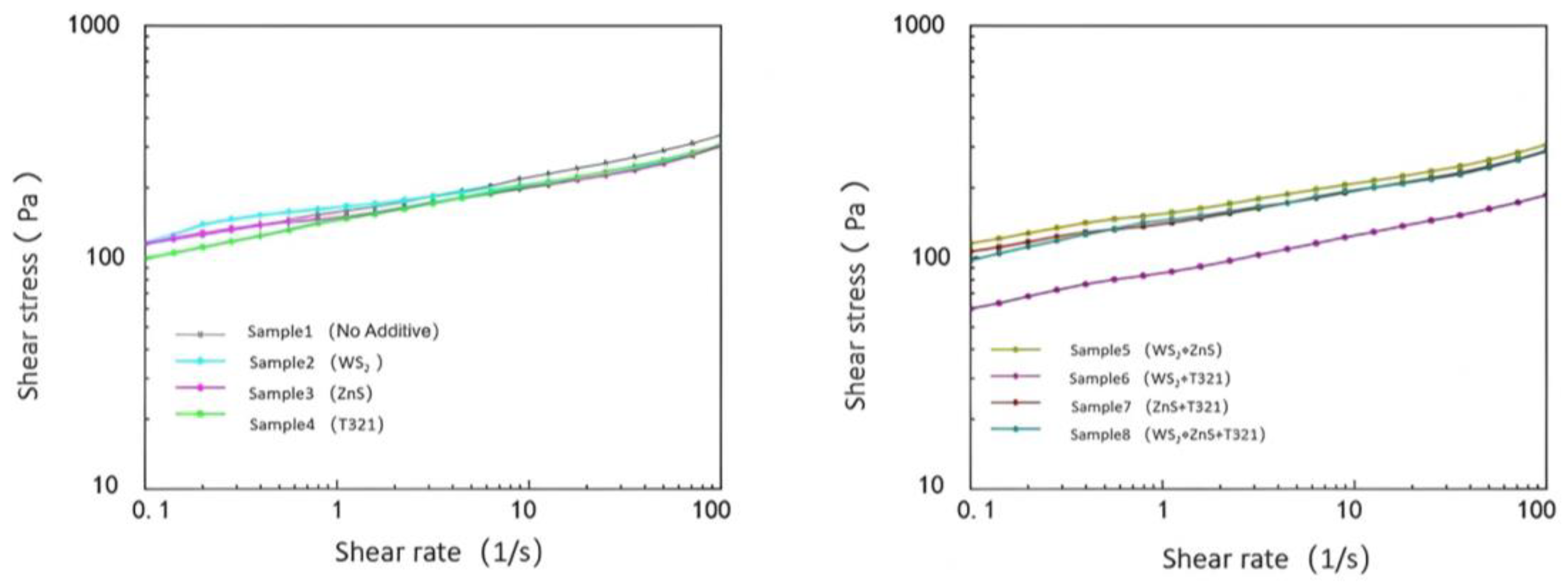
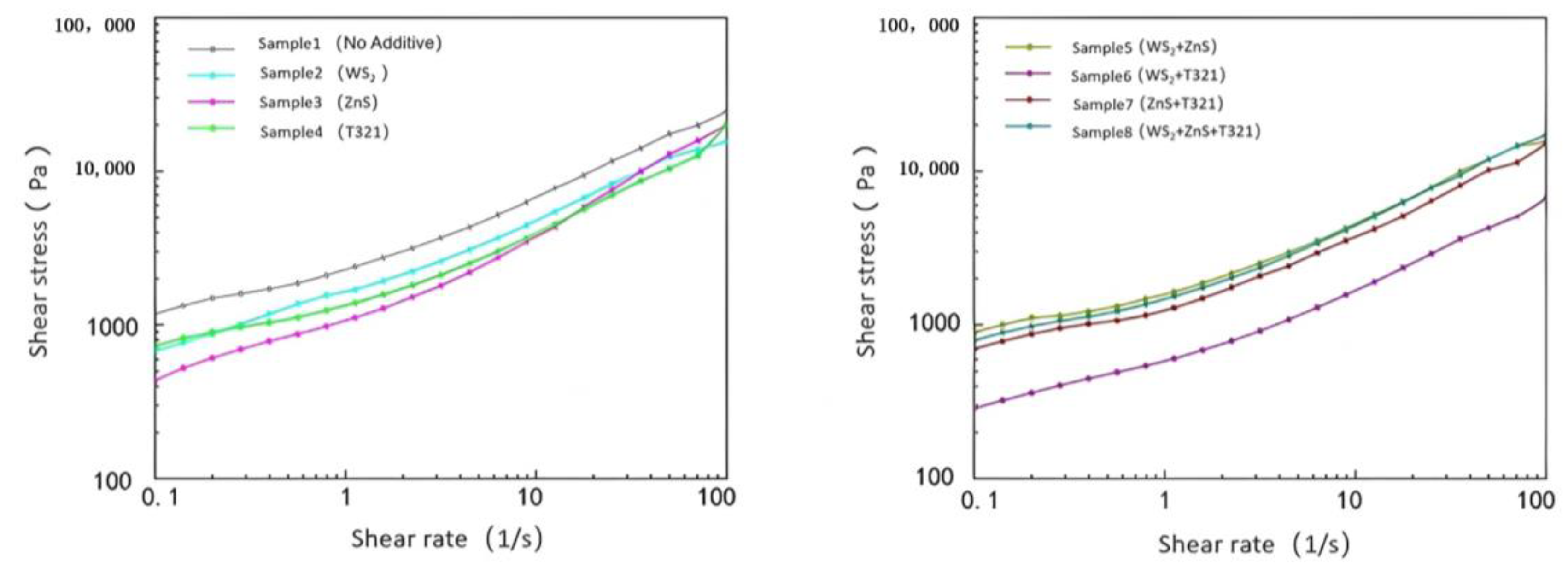
2.2.1. Analysis of Flow Characteristics of Different Samples
- (1)
- Analysis of Flow Characteristics of Eight Samples at −20 °C
- (2)
- Analysis of Flow Characteristics of Eight Samples at 80 °C
2.2.2. Analysis of Viscosity–Temperature Characteristics for Different Samples
- (1)
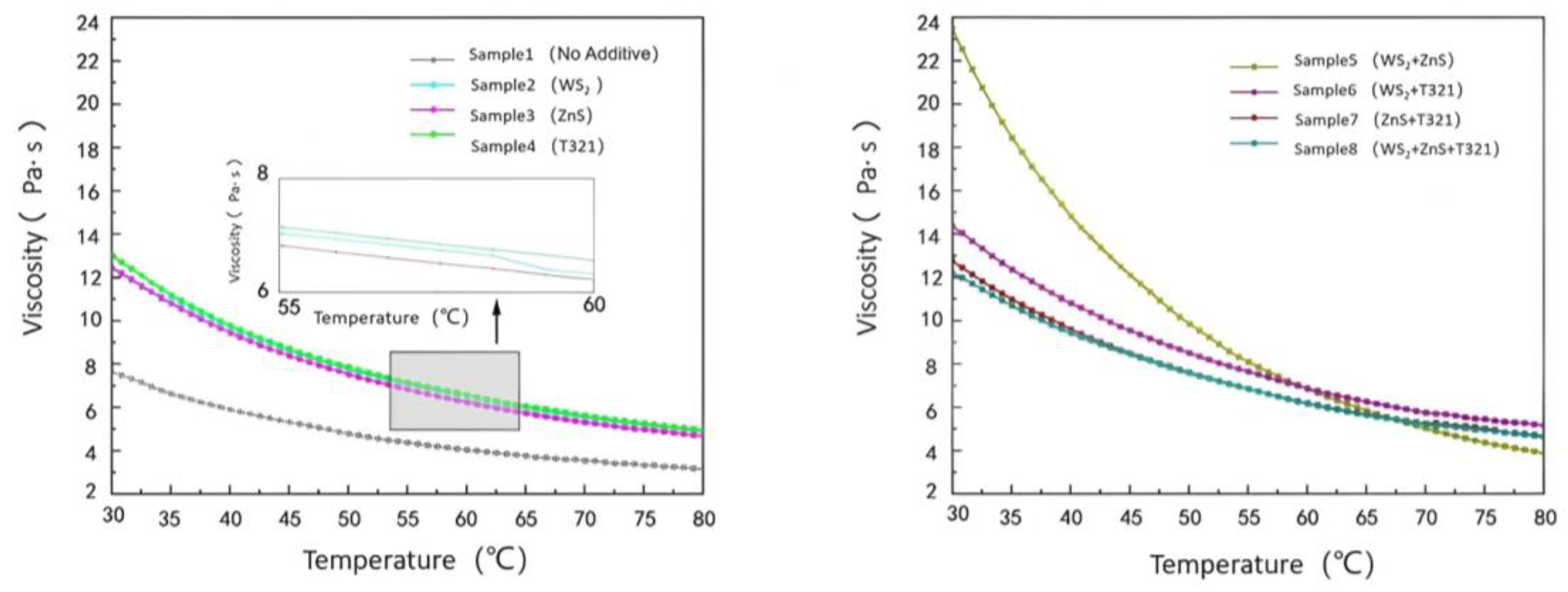
- Analysis of the Viscosity–Temperature Characteristics of Eight Samples at −20 to 30 °C
- (2)
- Analysis of the viscosity–temperature characteristics of eight samples at 30–80 °C
3. Conclusions
3.1. Conclusions
- The composite system of WS2 and T321 (Sample 6) exhibits outstanding synergistic performance. In terms of tribology, both its average coefficient of friction (0.024 ± 0.003) and average wear scar diameter (0.367 ± 0.015 mm) were the lowest. Specifically, compared to the base grease (Sample 1), this system reduced the average friction coefficient by approximately 69.6% (from 0.079 to 0.024) and decreased the average wear scar diameter by about 45.2% (from 0.670 mm to 0.367 mm). At a fixed addition level (0.5 wt.%), all sulfur-containing additives improved the high-temperature (80 °C) anti-friction and wear resistance of the base oil to some extent. The advantage of this combination lies in that the layered structure of WS2 provides a physical lubricating film with low shear strength, while T321 generates a chemisorbed film through tribochemical reactions; the two act synergistically to form a more stable and durable composite lubrication interface.
- In rheology, the WS2 and T321 blend system exhibits the highest shear stability at 80 °C (with a gradual increase in shear stress) and demonstrates optimal viscosity–temperature characteristics and flow properties across a broad temperature range from −20 °C to 80 °C. This ensures its lubricant performance capability under extreme high and low temperatures. Rheological testing further confirmed that the modified lipids retained the base lipid’s non-Newtonian fluid properties and colloidal stability, demonstrating the fundamental feasibility of additive modification.
- Based on comprehensive tribological and rheological data, the WS2/T321 compounding system was identified as the optimal candidate formulation under the laboratory testing conditions established in this study. This work not only identified high-performance additive combinations but also provided theoretical support through rheological analysis for their pumpability, retention, and operational consistency in actual bearings. It has laid a solid experimental and theoretical foundation for the subsequent development of wind turbine bearing greases designed for extreme operating conditions. Therefore, the lubricant formulation proposed in this study is expected to directly enhance the operational reliability and extend the service life of wind turbine spindle bearings under harsh operating conditions by significantly reducing friction and wear while maintaining stable lubrication performance across both high and low temperatures.
3.2. Outlooks
- Microscopic Elucidation of Lubrication and Wear Mechanisms: Current understanding of the synergistic effect between WS2 and T321 remains based on macroscopic performance inferences. Subsequent studies should employ surface analysis techniques such as scanning electron microscopy (SEM), focused ion beam (FIB), and X-ray photoelectron spectroscopy (XPS) to conduct detailed analyses of the microstructure, elemental distribution, and chemical states on friction surfaces. This approach will directly reveal the formation processes, structures, and mechanisms of action for friction chemical reaction films and solid lubrication layers at the atomic/molecular level, providing precise guidance for formulation optimization.
- Bench testing simulating real operating conditions: Four-ball tests and rheological analyses serve as effective screening tools, yet they fall short of replicating the actual complex operating conditions of wind turbine main shaft bearings—such as alternating loads, combined sliding and rolling motion, and grease degradation after prolonged operation. The core focus of the next phase of research is to conduct long-term, dynamic durability, reliability, and service life evaluations of the selected optimal formulation (WS2/T321) on a dedicated test rig simulating wind turbine bearing operating conditions. This serves as the essential bridge connecting laboratory research with engineering applications.
- Full Life Cycle Performance and Compatibility Assessment: Future research may further evaluate the performance of this modified grease in terms of long-term oxidation, thermal aging, and compatibility with bearing seal materials. Simultaneously, the temperature range can be extended to lower extremes (such as −40 °C or below), and its performance stability in contaminated environments (water, dust) should be investigated to establish a comprehensive evaluation system for its applicability throughout its entire lifecycle.
4. Materials and Methods
4.1. Test Equipment and Materials
4.1.1. MRS-10G Lever-Type Four-Ball Friction and Wear Tester
4.1.2. Anton Paar MCR302 Rotational Rheometer
4.1.3. Selection and Optimization of Gel-Type Grease
- Tungsten disulfide (WS2): As a typical layered transition metal disulfide, its interlayers are held together by weak van der Waals forces, making it easily shearable and thus providing excellent solid lubrication properties [26]. Compared to common MoS2, WS2 exhibits higher thermal stability (oxidation onset temperature > 400 °C), making it more suitable for the high-temperature operating conditions addressed in this study. We hypothesize that it can form a solid lubricating film with low shear strength on friction surfaces through physical adsorption and mechanical interlocking.
- Zinc sulfide (ZnS): ZnS was selected for its status as an environmentally friendly solid additive. It is a wide-bandgap semiconductor material with stable chemical properties. During friction, ZnS may undergo tribochemical reactions to form protective films such as iron sulfide (FeS) on steel surfaces, thereby providing extreme pressure and anti-wear protection. Its mechanism of action may differ from that of conventional sulfurized olefin additives, providing a basis for comparison in this study.
- Sulfurized Isobutylene (T321): This is a commercially widely used sulfur-phosphorus type extreme pressure anti-wear additive. It represents a class of mature liquid additives that function through friction chemical adsorption films. Selecting T321 allows for comparison with the two aforementioned solid additives (WS2, ZnS) and enables investigation into whether synergistic effects exist between solid lubrication and friction chemical lubrication.
4.2. Test Design
4.2.1. Tribological Test Design
4.2.2. Rheological Test Design
Author Contributions
Funding
Institutional Review Board Statement
Informed Consent Statement
Data Availability Statement
Conflicts of Interest
References
- Shangguan, L.; Xu, Y. Design and Experimental Research on Centralized Lubrication and Waste Oil Recovery System for Wind Turbines. Appl. Sci. 2023, 13, 1873. [Google Scholar] [CrossRef]
- Peng, H.; Zhang, H.; Shangguan, L.; Fan, Y. Review of Tribological Failure Analysis and Lubrication Technology Research of Wind Power Bearings. Polymers 2022, 14, 3041. [Google Scholar] [CrossRef]
- Gbashi, S.M.; Olatunji, O.O.; Adedeji, P.A.; Madushele, N. From academic to industrial research: A comparative review of advances in rolling element bearings for wind turbine main shaft. Eng. Fail. Anal. 2024, 163, 108510. [Google Scholar] [CrossRef]
- Han, J. Additives for Lubricating Oil and Grease: Mechanism, Properties and Applications. Lubricants 2024, 12, 243. [Google Scholar] [CrossRef]
- Zhai, G.; Qin, X.; Yang, X. Research on Real Working Condition Simulation and Performance Test of Wind Power Main Bearing Based on Test Bench. Math. Probl. Eng. 2021, 13, 6623988. [Google Scholar] [CrossRef]
- Jiang, Z.; Huang, X.; Zhu, H.; Jiang, R. A new method for contact characteristic analysis of the tapered roller bearing in wind turbine main shaft. Eng. Fail. Anal. 2022, 141, 106–729. [Google Scholar] [CrossRef]
- Lin, Y.; Zhuang, L.; Xuan, L.; Hong, W.; Sun, T.; Yang, P.; Yan, B. The Research on Condition Monitoring and Fault Diagnosis Method of Wind Power Spindle Bearing. J. Phys. Conf. Ser. 2022, 2254, 012048. [Google Scholar] [CrossRef]
- Hart, E.; Stock, A.; Elderfield, G.; Elliott, R.; Brasseur, J.; Keller, J.; Guo, Y.; Song, W. Impacts of wind field characteristics and non-steadydeterministic wind events on time-varying main-bearing loads. Wind Energy Sci. 2022, 7, 1209–1226. [Google Scholar] [CrossRef]
- Zhao, W.; Zhang, C.; Wang, J.; Peyrano, O.; Gu, F.; Wang, S. Research on main bearing life prediction of direct-drive wind turbine based on digital twin technology. Meas. Sci. Technol. 2023, 34, 025013. [Google Scholar] [CrossRef]
- Ren, G.; Sun, X.; Li, W.; Li, H.; Zhang, L.; Fan, X.; Li, D.; Zhu, M. Improving the lubrication and anti-corrosion performance of polyurea grease via ingredient optimization. Friction 2021, 9, 1077–1097. [Google Scholar] [CrossRef]
- Negi, R.S.; Singh, R.K.; Datta, S.; Singh, S.K. Investigation of Tribological Performance of Eco-friendly Pentaerythritol Tetraoleate Ester Based Calcium Complex Grease. Waste Biomass Valoriz. 2023, 15, 2947–2960. [Google Scholar]
- Kamel, B.M.; Awad, M.N.; Mobasher, A.; Hoziefa, W. Lithium–Calcium Greases Having Carbon Nanotubes and Aluminum Oxide Base Nanoadditives: Preparation and Characteristics of Nanogrease. ACS Omega 2023, 42, 8. [Google Scholar] [CrossRef]
- Wang, Y.; Gao, X.; Lin, J.; Zhang, P. Rheological and Frictional Properties of Lithium Complex Grease with Graphene Additives. Lubricants 2022, 10, 57. [Google Scholar] [CrossRef]
- Jiang, Z.; Huang, X.; Liu, H.; Zheng, Z.; Li, S.; Du, S. Dynamic reliability analysis of main shaft bearings in wind turbines. Int. J. Mech. Sci. 2022, 235, 107721. [Google Scholar] [CrossRef]
- Zhao, W.; Jiang, Z.; Zhang, P.; Huang, X. Reliability Sensitivity Analysis of Main Shaft Bearings of Wind Turbines Subject to Subsurface Stress. Machines 2023, 11, 681. [Google Scholar] [CrossRef]
- Jin, S.; Dong, H.; Chen, J.; Xie, X.; Guo, M. Study on accelerated life tests for main shaft bearings in wind turbines. J. Mech. Sci. Technol. 2022, 36, 1197–1207. [Google Scholar] [CrossRef]
- Mubashshir, M.; Shaukat, A. The Role of Grease Composition and Rheology in Elastohydrodynamic Lubrication. Tribol. Lett. 2019, 67, 104. [Google Scholar] [CrossRef]
- Zhou, K.; Che, X.; Wei, C.; Tang, Z.; Yu, H.; Wang, D.; Wang, J.; Zhang, L. The Molecular Modeling, Simulation, and Design of Base Oils and Additives in Lubricating Oils: A Review. Processes 2024, 12, 2407. [Google Scholar] [CrossRef]
- Wang, X.; Lv, Z.; Han, Y.; Wang, J. Effect of Grease Composition on Impact-Sliding Wear. Lubricants 2024, 12, 279. [Google Scholar] [CrossRef]
- Li, F.; Liu, D.; Sun, K.; Hong, S.; Peng, F.; Zhang, C.; Tao, T.; Qin, B. Stochastic and Extreme Scenario Generation of Wind Power and Supply– Demand Balance Analysis Considering Wind Power–Temperature Correlation. Electronics 2024, 13, 2100. [Google Scholar] [CrossRef]
- Dhanola, A.; Garg, H.C. Tribological challenges and advancements in wind turbine bearings: A review. Eng. Fail. Anal. 2020, 118, 104885. [Google Scholar] [CrossRef]
- Hu, J.; Hou, J. An Energy-Efficient Fault Diagnosis Method for Subsea Main Shaft Bearings. J. Mar. Sci. Eng. 2025, 13, 2329. [Google Scholar] [CrossRef]
- Zheng, M.; Ren, G.; Wang, S.; Li, Y.; Xing, M. Investigating the effect of overbased sulfonates on calcium sulfonate complex grease: Enhancements in physicochemical, rheological, and tribological properties. RSC Adv. 2024, 14, 32992–33006. [Google Scholar] [CrossRef]
- Shamardi, A.; Soufi, M.D.; Ghobadian, B.; Almasi, S. Synthesis of bio-based multi-purpose lithium grease from different vegetable oils: Drop point enhancement approach. Renew. Energy 2024, 237, 121678. [Google Scholar] [CrossRef]
- Aboul-Enein, A.A.; Arafa, E.I.; Abdel-Azim, S.M.; Awadallah, A.E. Synthesis of multiwalled carbon nanotubes from polyethylene waste to enhance the rheological behavior of lubricating grease. Fuller. Nanotub. Carbon Nanostruct. 2021, 29, 46–57. [Google Scholar] [CrossRef]
- Zhao, Z.; Wang, X.; Hu, Y.; Li, Z.; Li, L.; Ye, G. Investigation on the tribological properties and electrification performance of grease-lubricated triboelectric nanogenerators. Tribol. Int. 2024, 191, 109163. [Google Scholar] [CrossRef]
- Zhao, J.; Huang, Y.; He, Y.; Shi, Y. Nanolubricant additives: A review. Friction 2021, 9, 891–917. [Google Scholar] [CrossRef]
- Grigoriev, S.; Soe, T. The Influence of Surface Texturing of Ceramic and Superhard Cutting Tools on the Machining Process—A Review. Materials 2022, 15, 6954. [Google Scholar] [CrossRef]
- Ding, J.; Feng, A.; Li, X.; Ding, S.; Liu, L.; Ren, W. Properties, preparation, and application of tungsten disulfide: A review. J. Phys. D Appl. Phys. 2021, 54, 173002. [Google Scholar] [CrossRef]
- Wu, C.; Xiong, R.; Ni, J.; Yao, L.; Chen, L.; Li, X. Effects of CuO nanoparticles on friction and vibration behaviors of grease on rolling bearing. Tribol. Int. 2020, 152, 106552. [Google Scholar] [CrossRef]
- Bond, S.; Jackson, R.L.; Mills, G. The influence of various grease compositions and silver nanoparticle additives on electrically induced rolling-element bearing damage. Friction 2024, 12, 796–811. [Google Scholar] [CrossRef]
- Wu, M.; Han, X.; Tao, Y.; Pei, Y. Lubrication reliability analysis of wind turbine main bearing in random wind field. Tribol. Int. 2023, 179, 108181. [Google Scholar] [CrossRef]
- Jiang, Y.; Liang, B.; Huang, Z.; Chen, Z.; Xu, B. Prediction on Flow and Thermal Characteristics of Ultrathin Lubricant Film of Hydrodynamic Journal Bearing. Micromachines 2021, 12, 1208. [Google Scholar] [CrossRef]
- Li, K.; Liu, J.; Chen, W.; Ye, L.; Zhang, L. A Novel Bearing Lubricating Device Based on the Piezoelectric Micro-Jet. Appl. Sci. 2016, 6, 38. [Google Scholar] [CrossRef]
- Jin, X.; Xia, P.; Liu, Z.; Ma, W.; Zhang, P. Thermo-hybrid lubrication FSI-CFD model for the static characteristics of hybrid porous tilting pad bearings. Tribol. Int. 2022, 167, 107397. [Google Scholar] [CrossRef]
- Le, D.; Bui, T. Analyzing the Effects of Lubrication Techniques on CNC Spindle Bearing Heat: An Experimental Investigation. Eng. Technol. Appl. Sci. Res. 2023, 13, 11581–11585. [Google Scholar] [CrossRef]
- Meijer, P.; Lugt, P. The Grease Worker and Its Applicability to Study Mechanical Aging of Lubricating Greases for Rolling BearingsP. Tribol. Trans. 2022, 65, 32–45. [Google Scholar] [CrossRef]
- Lugt, P.; Berens, F. The Grease Life Factor concept for ball bearings. Tribol. Int. 2022, 169, 107460. [Google Scholar] [CrossRef]
- Lugt, P.; Holgerson, M.; Reinholdsson, P. Impact of oxidation on grease life in rolling bearings. Tribol. Int. 2023, 188, 108785. [Google Scholar] [CrossRef]
- Liu, H.; Dangl, F.; Lohner, T.; Stahl, K. Numerical Visualization of Grease Flow in a Gearbox. Chin. J. Mech. Eng. 2023, 36, 28. [Google Scholar] [CrossRef]
- Rosenkranz, L.; Richter, S.; Jacobs, G.; Mikitisin, A.; Mayer, J.; Stratmann, A. Influence of temperature on wear performance of greases in rolling bearings. Ind. Lubr. Tribol. 2021, 73, 862–871. [Google Scholar] [CrossRef]
- Hai, Z.W.; Qiang, Y.X.; Er, S. Analysis of Dynamic Characteristics of Grease-Lubricated Tapered RollerBearings. Shock Vib. 2018, 2018, 7183042. [Google Scholar]
- Wu, P.; He, C.; Chen, G.; Ren, C. Determination of the equivalent friction coefficient of rolling bearings using the kinetic energy dissipation. Measurement 2025, 244, 116533. [Google Scholar] [CrossRef]
- Zhang, F.; Chen, M.; Zhu, Y.; Zhang, K.; Li, Q. A Review of Fault Diagnosis, Status Prediction, and Evaluation Technology for Wind Turbines. Energies 2023, 16, 1125. [Google Scholar] [CrossRef]
- Kozdrach, R.; Radulski, P. Application of chokeberry biochar as a modified additive to the vegetable lubricants: The tribological and rheological properties. Sci. Rep. 2025, 15, 3964. [Google Scholar] [CrossRef] [PubMed]
- Shen, Y.; Wang, Y.; Lin, J.; Zhang, P.; Gao, X.; Wang, Z. Study on anti-wear and friction-reducing compounding additives in lithium greases. Ind. Lubr. Tribol. 2023, 75, 546–553. [Google Scholar]
- Olejarczyk, K.; Wikło, M.; Kołodziejczyk, K. The cycloidal gearbox efficiency for different types of bearings—Sleeves vs. needle bearings. Proc. Inst. Mech. Eng. Part C J. Mech. Eng. Sci. 2019, 233, 7401–7411. [Google Scholar] [CrossRef]
- Li, C.; Noman, K.; Liu, Z.; Feng, K.; Li, Y. Optimal symbolic entropy: An adaptive feature extraction algorithm for condition monitoring of bearings. Inf. Fusion 2023, 98, 101831. [Google Scholar] [CrossRef]
- Fan, L.; Wu, Z.; Yuan, Y.; Liu, X.; Sun, W. Fatigue Life Prediction of Main Bearings in Wind Turbines Under Random Wind Speeds. Machines 2025, 13, 907. [Google Scholar] [CrossRef]
- de la Presilla, R.; Calderon-Salmeron, G.; Leckner, J.; Kitamura, R.; Sato, K.; Sasaki, S.; Glavatskih, S. Lubricant design for oscillating rolling bearings: Greases, ionic liquids, and friction torque. Tribol. Int. 2025, 210, 110721. [Google Scholar] [CrossRef]
- Zhang, S. Friction behavior of grease-lubricated rolling contact and its dependence on grease film under starvation. Tribol. Int. 2025, 216, 111592. [Google Scholar]
- Jia, J.; Shi, C.; Yue, P. Study on the interface and morphological control mechanism of calcium sulfonate grease thickener. Friction 2025, 944, 1170. [Google Scholar] [CrossRef]
- Pan, J.; Wang, J. An investigation of tribological properties of magnetorheological grease with thermomagnetic coupling. J. Magn. Magn. Mater. 2025, 615, 172809. [Google Scholar] [CrossRef]
- Ding, P.; Cao, W. The influence of mechanical shearing on the thickener microstructure and properties of Polyurea greases. Tribol. Int. 2025, 208, 110655. [Google Scholar] [CrossRef]



















| Sample | −20 °C | 80 °C | ||||
|---|---|---|---|---|---|---|
| Initial Shear Stress/Pa | Ultimate Shear Stress/Pa | Percentage Change% | Initial Shear Stress/Pa | Ultimate Shear Stress/Pa | Percentage Change% | |
| 1 | 1184.3 | 24,362 | 19.57 | 113.74 | 336.37 | 1.96 |
| 2 | 676.67 | 15,553 | 21.98 | 116.59 | 301.93 | 1.59 |
| 3 | 436.56 | 20,001 | 44.82 | 114.79 | 302.13 | 1.63 |
| 4 | 732.51 | 20,005 | 26.31 | 98.38 | 307.01 | 2.12 |
| 5 | 898.02 | 15,521 | 16.28 | 114.89 | 307.32 | 1.67 |
| 6 | 288.17 | 6630.6 | 22.01 | 60.14 | 185.88 | 2.09 |
| 7 | 700.24 | 15,119 | 20.59 | 106.24 | 289.36 | 1.72 |
| 8 | 795.37 | 17,108 | 20.51 | 96.91 | 286.62 | 1.96 |
| Sample | −20~30 °C | 30~80 °C | ||||
|---|---|---|---|---|---|---|
| Initial Viscosity/Pa·s | Final Viscosity/Pa·s | Percentage Change/% | Initial Viscosity/Pa·s | Final Viscosity/Pa·s | Percentage Change/% | |
| 1 | 121.76 | 4.65 | 96.18 | 7.63 | 3.15 | 58.72 |
| 2 | 169.45 | 5.51 | 96.75 | 12.51 | 4.85 | 61.23 |
| 3 | 152.68 | 3.37 | 97.79 | 12.44 | 4.68 | 62.38 |
| 4 | 139.3 | 2.96 | 97.88 | 13.01 | 4.94 | 62.03 |
| 5 | 123.85 | 6.49 | 94.76 | 23.46 | 3.86 | 83.55 |
| 6 | 119.18 | 2.78 | 97.67 | 14.34 | 5.15 | 64.09 |
| 7 | 147.26 | 7.67 | 94.79 | 12.74 | 4.65 | 63.50 |
| 8 | 152.97 | 4.43 | 97.10 | 12.21 | 4.61 | 62.24 |
| Gel-like Grease Grades | NLGI Consistency Grades | Operating Temperature | Color (Visual) | Antioxidant Properties | Corrosion Resistance |
|---|---|---|---|---|---|
| Mobil SHC 460WT Lithium Complex Gel-Like Grease | 1.5 | −40~150 °C | red | high | high |
| Samples | Gel-like Grease | Food Additive | Ambient Condition | Additive Content (WT%) |
|---|---|---|---|---|
| 1 | Mobil SHC 460 WT Lithium Complex Gel-Like Grease | not have | Gelatinous | 0.5 |
| 2 | WS2 | |||
| 3 | ZnS | |||
| 4 | T321 | |||
| 5 | WS2, ZnS | |||
| 6 | WS2, T321 | |||
| 7 | ZnS, T321 | |||
| 8 | WS2, ZnS, T321 |
| Test Methods | Test Parameters |
|---|---|
| Equipment Model | MRS-10G Lever Type Four-Ball Friction Tester |
| Spindle speed r/min | 1200 |
| Temperature/°C | 80 |
| Load/N | 392 |
| Time/s | 3600 |
Disclaimer/Publisher’s Note: The statements, opinions and data contained in all publications are solely those of the individual author(s) and contributor(s) and not of MDPI and/or the editor(s). MDPI and/or the editor(s) disclaim responsibility for any injury to people or property resulting from any ideas, methods, instructions or products referred to in the content. |
© 2026 by the authors. Licensee MDPI, Basel, Switzerland. This article is an open access article distributed under the terms and conditions of the Creative Commons Attribution (CC BY) license.
Share and Cite
Tian, Z.; Zhang, Y.; Peng, H.; Peng, B.; Meng, Z. Optimization of Wind Turbine Spindle Bearing Gel-like Grease Performance at Extreme Temperatures. Gels 2026, 12, 161. https://doi.org/10.3390/gels12020161
Tian Z, Zhang Y, Peng H, Peng B, Meng Z. Optimization of Wind Turbine Spindle Bearing Gel-like Grease Performance at Extreme Temperatures. Gels. 2026; 12(2):161. https://doi.org/10.3390/gels12020161
Chicago/Turabian StyleTian, Zhenzhong, Yihao Zhang, Han Peng, Budi Peng, and Zihao Meng. 2026. "Optimization of Wind Turbine Spindle Bearing Gel-like Grease Performance at Extreme Temperatures" Gels 12, no. 2: 161. https://doi.org/10.3390/gels12020161
APA StyleTian, Z., Zhang, Y., Peng, H., Peng, B., & Meng, Z. (2026). Optimization of Wind Turbine Spindle Bearing Gel-like Grease Performance at Extreme Temperatures. Gels, 12(2), 161. https://doi.org/10.3390/gels12020161

