Next Article in Journal
3D-Bioprinting of Stromal Vascular Fraction for Gastrointestinal Regeneration
Next Article in Special Issue
Highly Efficient Solar Steam Generation by W18O49@PVA Gels
Previous Article in Journal
Size-Controlled Fabrication of Alginate Hydrogel Microbeads Optimized for Lipase Entrapment
Previous Article in Special Issue
Recent Progress in Flexible Wearable Sensors Utilizing Conductive Hydrogels for Sports Applications: Characteristics, Mechanisms, and Modification Strategies
 
 
Font Type:
Arial Georgia Verdana
Font Size:
Aa Aa Aa
Line Spacing:
Column Width:
Background:
Article

Cu9S5/Gel-Derived TiO2 Composites for Efficient CO2 Adsorption and Conversion

1
Institute of Clean Coal Technology, East China University of Science and Technology, Shanghai 200237, China
2
School of Mechatronics and Energy Engineering, NingboTech University, Ningbo 315100, China
3
Ningbo Key Laboratory of Urban Environmental Pollution Control, CAS Haixi Industrial Technology Innovation Center in Beilun, Ningbo 315830, China
4
College of Science & Technology, Ningbo University, Ningbo 315100, China
5
Nottingham Ningbo China Beacons of Excellence Research and Innovation Institute, 211 Xingguang Road, Ningbo 315048, China
*
Authors to whom correspondence should be addressed.
These authors contributed equally to this work.
Gels 2025, 11(9), 711; https://doi.org/10.3390/gels11090711
Submission received: 6 August 2025 / Revised: 31 August 2025 / Accepted: 2 September 2025 / Published: 4 September 2025
(This article belongs to the Special Issue Gels for Removal and Adsorption (3rd Edition))

Abstract

Engineering phase-selective gel composites presents a promising route to enhance both CO2 adsorption and conversion efficiency in photocatalytic systems. In this work, Cu9S5/TiO2 gel composites were synthesized via a hydrazine-hydrate-assisted hydrothermal method, using TiO2 derived from a microwave-assisted sol–gel process. The resulting materials exhibit a porous gel-derived morphology with highly dispersed Cu9S5 nanocrystals, as confirmed by XRD, TEM, and XPS analyses. These structural features promote abundant surface-active sites and interfacial contact, enabling efficient CO2 adsorption. Among all samples, the optimized 0.36Cu9S5/TiO2 composite achieved a methane production rate of 34 μmol·g−1·h−1, with 64.76% CH4 selectivity and 88.02% electron-based selectivity, significantly outperforming Cu9S8/TiO2 synthesized without hydrazine hydrate. This enhancement is attributed to the dual role of hydrazine: facilitating phase transformation from Cu9S8 to Cu9S5 and modulating the interfacial electronic environment to favor CO2 capture and activation. DFT calculations reveal that Cu9S5/TiO2 effectively lowers the energy barriers of critical intermediates (*COOH, *CO, and *CHO), enhancing both CO2 adsorption strength and subsequent conversion to methane. This work demonstrates a gel-derived composite strategy that couples efficient CO2 adsorption with selective photocatalytic reduction, offering new design principles for adsorption–conversion hybrid materials.

1. Introduction

The rising concentration of atmospheric carbon dioxide (CO2), driven by intensified fossil fuel consumption and anthropogenic emissions, poses a critical threat to global climate stability. As the primary greenhouse gas, CO2 contributes significantly to global warming, environmental degradation, and energy imbalance [1,2,3]. In light of these challenges, developing sustainable and efficient CO2 conversion strategies has become an urgent imperative for achieving carbon neutrality and promoting renewable energy technologies [4,5].
Among various emerging technologies, photocatalytic CO2 reduction (CO2RR) offers a green, solar-driven route to convert CO2 into value-added fuels such as methane (CH4), ethylene (C2H4), methanol (CH3OH), and carbon monoxide (CO) [5,6,7,8,9,10] This artificial photosynthetic process utilizes semiconductor photocatalysts to activate and reduce CO2 under light irradiation, thereby enabling both carbon recycling and solar-to-chemical energy conversion. However, the practical application of photocatalytic CO2RR remains hindered by several intrinsic limitations, particularly those related to low quantum efficiency, poor CO2 adsorption, and product selectivity [11,12].
Titanium dioxide (TiO2), a widely studied photocatalyst, suffers from a wide bandgap (~3.3 eV) that restricts its optical response to the ultraviolet spectrum, as well as the rapid recombination of photogenerated charge carriers [13,14]. To overcome these drawbacks, composite photocatalysts have been extensively explored. By coupling TiO2 with visible-light-active materials such as metal oxides, sulfides, or nitrides, the resulting heterostructures exhibit improved light harvesting, interfacial charge transfer, and redox kinetics [15,16].
Copper-based sulfides (e.g., CuS, Cu9S8, Cu9S5, Cu2S) have attracted particular attention due to their narrow bandgaps, strong CO2 adsorption affinity, and suitable conduction band positions for CO2RR [17,18,19,20]. Among them, Cu9S5 exhibits enhanced visible light absorption and possesses favorable catalytic sites for deep reduction pathways toward methane [21,22,23]. Controlling the phase, dispersion, and interfacial interaction between Cu9S5 and the support remains essential for optimizing CO2 adsorption and selective CH4 formation [24,25,26]. However, despite extensive studies on Cu-based sulfides, no prior report has systematically combined phase-selective modulation (Cu9S8 → Cu9S5) with a gel-derived TiO2 matrix to simultaneously enhance CO2 adsorption and CH4 selectivity.
Hydrazine hydrate (N2H4·H2O), a strong reducing agent, offers unique advantages in tailoring the phase composition and surface electronic states of metal sulfide catalysts. When used during hydrothermal synthesis, the accurate addition of hydrazine can promote a desired phase transition and modulate the catalyst–support interface [27,28,29,30]. For example, Yang et al. demonstrated that hydrazine can effectively regulate defect states and promote charge separation in composite photocatalysts for hydrogen evolution, highlighting its potential in photocatalytic systems. Similarly, Sattigeri et al. reported that a hydrazine–sulfur complex can stabilize ZnS quantum dots and enhance their photocatalytic activity, underlining the role of hydrazine in controlling phase purity and nanostructure. In addition, Li et al. showed that hydrazine hydrate reduction could induce oxygen vacancies in Co3O4 nanosheets, thereby tuning the electronic structure and improving catalytic properties. Zhang et al. further confirmed that hydrazine-induced oxygen vacancies in MoO3 nanobelts significantly accelerated charge transfer and boosted electrochemical kinetics, offering a broader insight into the versatility of hydrazine in phase and defect engineering. Inspired by these findings, hydrazine treatment is expected to have great potential in facilitating the phase transition from Cu9S8 to Cu9S5, thereby enabling precise phase control and interfacial optimization in Cu-based sulfide photocatalysts. Furthermore, using gel-derived TiO2 prepared via a microwave-assisted sol–gel route provides a porous and high-surface-area matrix, ideal for CO2 adsorption and intimate interfacial contact with Cu9S5 domains [31].
Subsequently, in this study, we present a novel strategy for synthesizing Cu9S5/TiO2 composites by employing a hydrazine-hydrate-assisted hydrothermal method. This approach not only induces the phase transition from Cu9S8 to Cu9S5 but also enhances the dispersion and crystallinity of Cu9S5 on TiO2. Additionally, we introduce a gel-derived composite framework for TiO2, prepared via a microwave-assisted sol-gel method, which improves both CO2 adsorption and the interfacial contact between Cu9S5 and TiO2. This strategy integrates the advantages of both CO2 adsorption and selective conversion functionalities into a single composite material, addressing two critical challenges in photocatalytic CO2 reduction. Furthermore, density functional theory (DFT) calculations are employed to investigate the electronic structure and reaction pathways of Cu9S5/TiO2 composites, offering insights into the enhanced methane selectivity observed in these materials. The combination of hydrazine-induced phase transformation and gel-based composite design provides a highly efficient, selective, and stable photocatalyst for CO2 reduction.

2. Results and Discussion

2.1. Structural Features of Gel-Derived Cu9S5/TiO2 Composites

The phase composition and crystallinity of the gel-derived CuSx/TiO2 composites, both with and without the inclusion of hydrazine hydrate (N2H4), were thoroughly examined using X-ray diffraction (XRD), as illustrated in Figure 1. The XRD pattern of pure TiO2 exhibits characteristic peaks at 25.3°, 37.8°, 48.1°, and 55.1°, corresponding to the anatase phase (PDF#78-2486). The XRD peaks of TiO2 in the 0.36CuSx/TiO2 sample synthesized with hydrazine hydrate are sharper and more defined, indicating an enhancement in the crystallinity of TiO2. This improvement in TiO2 crystallinity is likely due to the better phase formation and reduced defects induced by the presence of hydrazine hydrate, which helps to stabilize the TiO2 structure during the hydrothermal synthesis.
For the 0.36CuSx/TiO2 sample synthesized without hydrazine hydrate, additional diffraction peaks appear at 29.15°, which correspond to the Cu9S8 phase (PDF#36-0379). The main peak at 47.9° overlaps with those of TiO2, suggesting that the TiO2 structure remains largely intact while Cu9S8 is formed. This confirms that the Cu9S8 phase is the dominant copper sulfide species when hydrazine hydrate is not used in the synthesis. In contrast, the 0.36CuSx/TiO2 sample synthesized with hydrazine hydrate shows distinct peaks at 27.9°, 32.4°, and 46.4°, which can be indexed to Cu9S5 (PDF#26-0476). These peaks do not overlap with TiO2, indicating the formation of Cu9S5 and confirming that hydrazine hydrate influences the phase transition from Cu9S8 to Cu9S5. Importantly, no CuS species were observed in any of the samples, highlighting that the formation of Cu9S8 or Cu9S5 is strictly controlled by the presence of hydrazine hydrate under the hydrothermal conditions. These results emphasize the critical role of hydrazine hydrate in modulating the copper sulfide phase in CuSx/TiO2 composites. In the next sections, the samples synthesized with hydrazine hydrate are referred to as Cu9S5/TiO2, while those synthesized without hydrazine hydrate are referred to as Cu9S8/TiO2.
The morphology and microstructure of the gel-derived Cu9S5/TiO2 and Cu9S8/TiO2 composites were investigated using a combination of SEM, TEM, high-resolution TEM (HRTEM), and energy-dispersive X-ray spectroscopy (EDS) mapping, as illustrated in Figure 2. For the Cu9S5/TiO2 composite synthesized with hydrazine hydrate, the SEM image (Figure 2a) reveals a relatively uniform distribution of Cu9S5 particles across the TiO2 surface. The TEM image (Figure 2b) further confirms that the Cu9S5 domains are evenly dispersed without significant agglomeration. High-resolution TEM analysis (Figure 2c) displays distinct lattice fringes with an interplanar spacing of approximately 0.240 nm, which can be indexed to the (101) plane of Cu9S5, indicating the formation of a well-crystallized phase. The corresponding FFT pattern (Figure 2d) shows sharp diffraction spots, consistent with a highly ordered crystalline structure. A low-magnification TEM overview (Figure 2i) supports the homogeneous distribution of Cu9S5 on the TiO2 support. In contrast, the Cu9S8/TiO2 composite prepared without hydrazine hydrate exhibits less favorable morphology. As shown in the SEM image (Figure 2e), Cu9S8 particles are more aggregated and less uniformly spread across the TiO2 surface. TEM observation (Figure 2f) also reveals uneven distribution and particle clustering. The HRTEM image (Figure 2g) shows lattice fringes with a spacing of 0.190 nm, corresponding to the (111) plane of Cu9S8, confirming the formation of the Cu9S8 phase. However, the associated FFT pattern (Figure 2h) is less distinct, suggesting relatively lower crystallinity compared to the Cu9S5 counterpart. The overall particle arrangement in the overview TEM image (Figure 2n) further confirms the irregular distribution of Cu9S8 domains.
Elemental mapping via EDS was employed to examine the spatial distribution of key elements in both composites. For Cu9S5/TiO2, the EDS maps (Figure 2j–m) clearly show the co-localization of Ti, Cu, and S, with Cu and S signals uniformly distributed across the TiO2 substrate, consistent with the homogeneous dispersion of Cu9S5. The oxygen map further supports the presence of TiO2 throughout the sample. In comparison, the EDS maps of Cu9S8/TiO2 (Figure 2o–r) show more localized and concentrated Cu and S signals, corresponding to the Cu9S8 aggregates, while Ti and O remain uniformly distributed.
Collectively, the X-ray diffraction and transmission electron microscopy analyses confirm the formation of Cu9S5 in the composites. The role of hydrazine hydrate in promoting the phase transition from Cu9S8 to Cu9S5 can be summarized in the following reaction scheme. In the first stage, Cu9S8 is initially formed during the synthesis process in the absence of hydrazine hydrate. In the second stage, hydrazine hydrate acts as a strong reducing agent, donating electrons to Cu9S8 and reducing Cu2+ to Cu+, which then combine with sulfur to form Cu9S5. The Cu9S5/TiO2 composite exhibits superior microstructural uniformity and phase clarity, which are expected to enhance interfacial contact and charge separation during photocatalysis, aligning with the enhanced performance discussed in later sections.
To gain deeper insight into the surface composition and electronic states of the gel-derived Cu9S5/TiO2 and Cu9S8/TiO2 composites, X-ray photoelectron spectroscopy (XPS) was performed on both materials as shown in Figure 3. The XPS spectra of Ti 2p, O 1s, Cu 2p, and S 2p regions were analyzed to investigate the chemical environment of titanium, oxygen, copper, and sulfur species, which are crucial for understanding the photocatalytic behavior of these composites. The Ti 2p spectra of both composites exhibited a characteristic binding energy of 458.6 eV, which is typical for TiO2. This confirms that the TiO2 phase is preserved in both the Cu9S5/TiO2 and Cu9S8/TiO2 composites. The spectra also show a satellite peak at lower binding energies, which is a signature feature of TiO2, indicating that the introduction of copper sulfides did not significantly alter the TiO2 structure. There were no significant shifts in the Ti 2p binding energy, further suggesting the stability of the TiO2 phase. In the O 1s region, two distinct peaks were observed corresponding to lattice oxygen (Lattice O) and vacancy oxygen (Vacancy O), with binding energies around 529 eV and 532 eV, respectively. These peaks are indicative of the oxygen species present in the TiO2 lattice and the oxygen vacancies that are often present in metal oxides. Both Cu9S5/TiO2 and Cu9S8/TiO2 show similar peak positions and relative intensities, suggesting that the incorporation of Cu9S5 or Cu9S8 did not cause significant changes in the oxygen species or the oxygen vacancies within the TiO2 lattice.
The Cu 2p spectra showed notable differences between the two composites. For Cu9S5/TiO2, the Cu 2p spectrum exhibited peaks corresponding to Cu0 at 932.4 eV and Cu+ at 932.7 eV, indicating the presence of both Cu(I) and Cu(0) species. This suggests that hydrazine hydrate, used during synthesis, played a key role in reducing Cu2+ to Cu0 and Cu+, both of which are important for enhancing photocatalytic activity. In contrast, the Cu9S8/TiO2 composite exhibited peaks corresponding to Cu+ at 932.73 eV and Cu2+ at 933.6 eV, indicating a higher proportion of Cu2+ species. This suggests that in the absence of hydrazine hydrate, Cu2+ remains more prevalent, which likely limits the photocatalytic activity compared to Cu9S5/TiO2. This further emphasizes the importance of hydrazine hydrate in reducing copper species and enhancing catalytic efficiency.
In the S 2p region, both Cu9S5/TiO2 and Cu9S8/TiO2 composites exhibited peaks corresponding to sulfate and sulfide species. The presence of sulfate at 168.6 eV suggests that sulfur is bonded to oxygen, possibly forming sulfate species due to surface oxidation or interaction with surface oxygen atoms from TiO2. The more intense sulfide peak at 161.4 eV indicates that sulfur primarily exists in its reduced state as sulfide. The higher intensity of the sulfide peak in both composites suggests that the sulfide species are more abundant and better dispersed on the surface. This finding is consistent with the energy dispersive spectroscopy (EDS) results, which showed a more homogeneous distribution of Cu9S5.

2.2. Optical and Photoelectrochemical Properties of Gel-Derived Cu9S5/TiO2 and Cu9S8/TiO2

Figure 4 presents the optical properties of the gel-derived Cu9S5/TiO2 and Cu9S8/TiO2 composites, shedding light on their potential for photocatalytic applications. Figure 4a,b display the Mott–Schottky plots for Cu9S5/TiO2 and Cu9S8/TiO2 composites, respectively, used to determine the flat-band potential (E_fb) and semiconductor type. The plot for Cu9S5/TiO2 (Figure 4a) reveals a flat-band potential around −0.43 eV, indicative of n-type semiconductor characteristics, which is important for efficient electron transfer during photocatalytic reactions. Similarly, the Mott–Schottky plot for Cu9S8/TiO2 (Figure 4b) shows a flat-band potential of approximately −0.48 eV, confirming the n-type nature of this composite as well.
In Figure 4c,d, the optical properties of the composites are examined through UV–vis absorption spectra and Tauc plots. Figure 4c shows that TiO2 has a sharp absorption edge around 380 nm, typical of its wide band gap, which limits its absorption to the UV region. Both Cu9S5/TiO2 and Cu9S8/TiO2 composites exhibit enhanced absorption in the visible light range compared to pure TiO2. Cu9S5/TiO2 demonstrates a more prominent absorption in the visible region, extending well beyond 600 nm and up to 800 nm, indicating significantly improved visible light absorption. On the other hand, Cu9S8/TiO2 also absorbs in the visible region, but the absorption intensity is slightly lower than that of Cu9S5/TiO2, which suggests that Cu9S5/TiO2 has a better capacity for visible light utilization.
Figure 4d presents the Tauc plots, where the optical band gaps (Eg) of the composites are determined by plotting (αhν)2 versus hν. The optical band gap of Cu9S8/TiO2 is measured to be 3.28 eV, which is slightly smaller than that of TiO2 (3.30 eV), indicating enhanced visible light absorption due to the Cu9S8 phase. In contrast, the optical band gap of Cu9S5/TiO2 is even smaller, measured at 3.26 eV, confirming that Cu9S5 further reduces the band gap and enhances the ability of the composite to absorb visible light more efficiently.
Therefore, the results from the Mott–Schottky analysis and UV–vis absorption spectra show that the incorporation of Cu9S5 and Cu9S8 into TiO2 enhances their photocatalytic performance by improving visible light absorption. Cu9S5/TiO2 (3.26 eV) exhibits a smaller band gap than Cu9S8/TiO2 (3.28 eV), which enables better visible light absorption and higher photocatalytic efficiency, making both composites promising candidates for visible-light-driven photocatalysis.
Figure 5 demonstrates the structural and electrochemical properties of TiO2 and Cu9S5/TiO2 composites, providing insights into their photocatalytic performance. As shown in Figure 5a, the Raman spectrum of TiO2 shows the characteristic peaks around 143 cm−1 and 445 cm−1, which correspond to the Eg and A1g vibrational modes of the TiO2 anatase phase. In contrast, the Cu9S5 spectrum exhibits an additional peak at approximately 200 cm−1, corresponding to the Cu-S vibrational mode, which confirms the successful incorporation of Cu9S5 into the composite.
In Figure 5b, the electrochemical impedance spectroscopy (EIS) results are shown for Cu9S5/TiO2 and Cu9S8/TiO2 composites. The Nyquist plots display the charge transfer resistance (Rct) of both composites. The Cu9S5/TiO2 composite shows a significantly lower Rct compared to Cu9S8/TiO2, suggesting enhanced charge carrier mobility and more efficient charge transfer in Cu9S5/TiO2. This lower impedance indicates better photocatalytic performance, as reduced resistance facilitates more effective electron transport during the photocatalytic process.
Figure 5c presents the photocurrent responses of Cu9S5/TiO2 and Cu9S8/TiO2 under periodic light illumination. The Cu9S5/TiO2 composite shows a stronger and more stable photocurrent response compared to Cu9S8/TiO2, which demonstrates the superior photoelectrochemical performance of Cu9S5/TiO2. This is due to the enhanced light absorption and efficient charge separation promoted by Cu9S5, which contributes to higher photocurrent generation under visible light irradiation.
Figure 5d shows the photoluminescence (PL) spectra of TiO2, Cu9S5/TiO2, and Cu9S8/TiO2 composites. The PL intensity of Cu9S5/TiO2 is significantly lower than that of TiO2 and Cu9S8/TiO2, indicating a reduced recombination of photogenerated electron–hole pairs. This reduced recombination enhances the photocatalytic efficiency of Cu9S5/TiO2, as more charge carriers are available for photocatalytic reactions.
Obviously, the incorporation of Cu9S5 improves charge transfer, reduces charge recombination, and enhances light absorption, making Cu9S5/TiO2 a promising composite for efficient photocatalytic applications.

2.3. Photocatalytic Performance and Selectivity Toward Methane

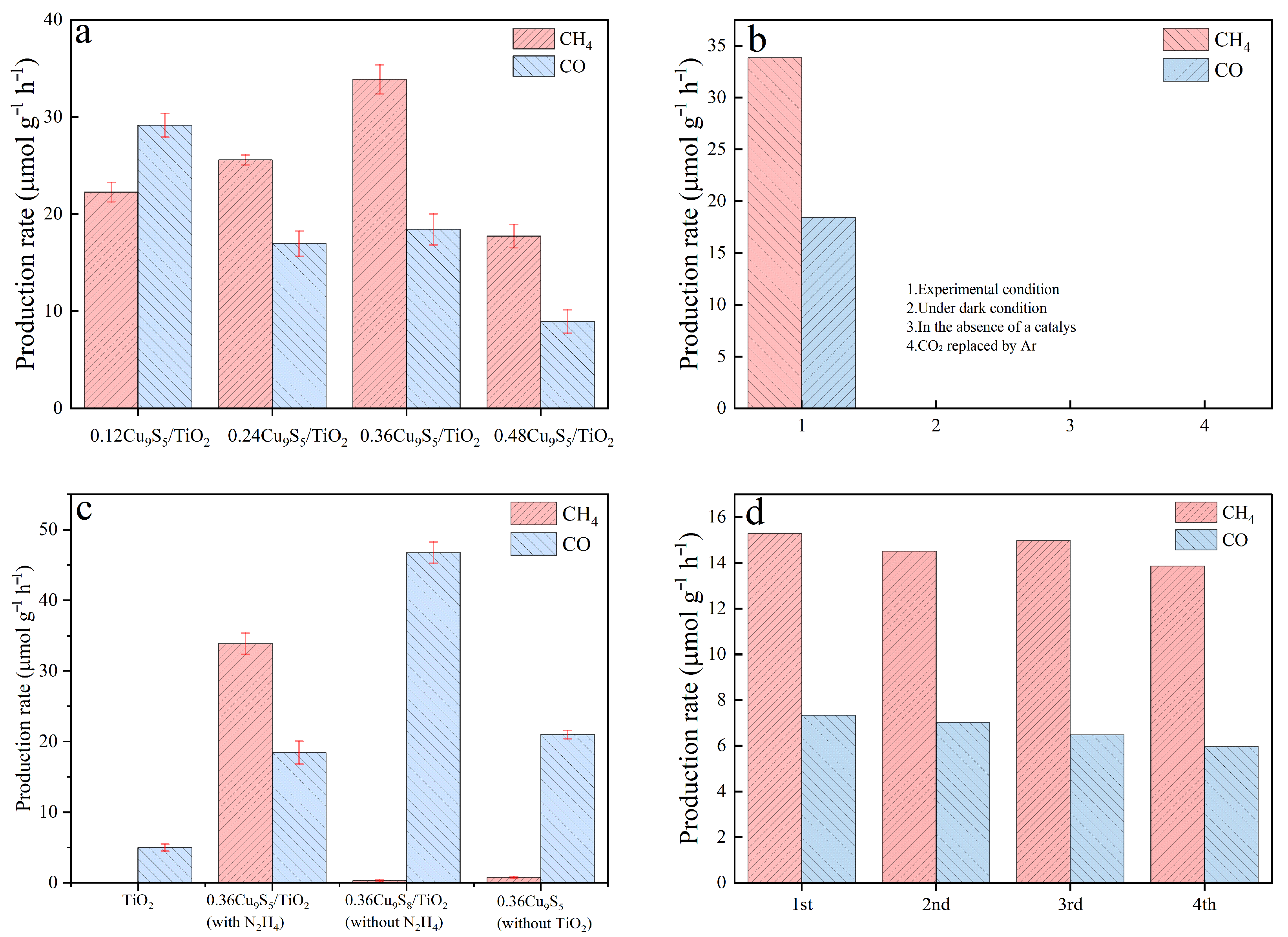
Figure 6 presents a comprehensive analysis of the photocatalytic CO2 reduction performance of various Cu9S5/TiO2 composites under different experimental conditions, highlighting their efficiency and stability. Figure 6a shows the production rates of CH4 and CO from CO2 reduction by Cu9S5/TiO2 composites with varying Cu9S5 content (0.12Cu9S5/TiO2, 0.24Cu9S5/TiO2, 0.36Cu9S5/TiO2, and 0.48Cu9S5/TiO2). The results indicate that the 0.36Cu9S5/TiO2 composite exhibits the highest CH4 production rate, reaching approximately 34 μmol/g·h, followed by the 0.48Cu9S5/TiO2 composite, which produces 28 μmol/g·h of CH4. The 0.12Cu9S5/TiO2 and 0.24Cu9S5/TiO2 composites show lower CH4 production rates, around 20 μmol/g·h and 22 μmol/g·h, respectively. On the other hand, the CO production rates remain relatively consistent across all composites, with 0.36Cu9S5/TiO2 showing 15 μmol/g·h, the highest CO production rate among the composites. This suggests that a moderate amount of Cu9S5 (0.36 mmol) enhances the photocatalytic activity for CH4 production, while maintaining a relatively balanced CO generation.
Figure 6b compares the CO2 reduction performance of the 0.36Cu9S5/TiO2 composite under various experimental conditions. In Condition 1, under standard experimental conditions with light irradiation, the 0.36Cu9S5/TiO2 composite shows significant production of both CH4 (around 34 μmol·g−1·h−1) and CO (approximately 15 μmol·g−1·h−1). In Condition 2, when the reaction is conducted in the dark, the production of both CH4 and CO is almost negligible, demonstrating the essential role of light in driving the photocatalytic process. Condition 3, where no catalyst is used, results in zero CH4 and CO production, highlighting the need for an efficient catalyst to facilitate the CO2 reduction. Finally, in Condition 4, where CO2 is replaced by Ar, the reaction effectively ceases, further confirming that CO2 is crucial for the reaction to occur.
In Figure 6c, the photocatalytic CO2 reduction performance of various composites is shown: TiO2, 0.36Cu9S5/TiO2 with hydrazine hydrate (N2H4), 0.36Cu9S8/TiO2 without hydrazine hydrate, and 0.36Cu9S5/TiO2 without TiO2. The 0.36Cu9S5/TiO2 composite with hydrazine hydrate achieves the highest CH4 production rate of 34 μmol·g−1·h−1 and CO production rate of 15 μmol/g·h, significantly outperforming TiO2 (5 μmol·g−1·h−1 CO) and the 0.36Cu9S8/TiO2 without hydrazine hydrate (46 μmol·g−1·h−1 CO). The addition of hydrazine hydrate improves the separation of photogenerated charge carriers and increases the photocatalytic efficiency, leading to a higher CH4 production rate.
In addition, in order to evaluate the activity of our Cu9S5/TiO2 composites, we compared the results with representative copper sulfide–TiO2 systems reported in the literature. For example, a 0D/1D Cu2-xS/TiO2 S-scheme heterojunction exhibited a CH4 formation rate of 14.1 μmol·h−1, which was nearly 3.9 times higher than that of pristine TiO2 under similar conditions [32]. Another study on an in situ constructed Cu2S/TiO2 Schottky junction achieved CO and CH4 production rates of 6.71 μmol·g−1·h−1 and 1.20 μmol·g−1·h−1, corresponding to 1.41- and 5.71-fold enhancements relative to bare TiO2 [33]. For CuS/TiO2 composites, a photothermal–photocatalytic system utilizing 2 wt% CuS/TiO2 under full-spectrum irradiation demonstrated enhanced CO2 conversion efficiency due to the synergistic effect of CuS-induced photothermal heating [34]. To the best of our knowledge, no prior studies have directly investigated Cu9S8- or Cu9S5-based composites for CO2 adsorption or reduction. The only related work involving Cu9S5 is its combination with S,C,N-doped TiO2 for photocatalytic N2 fixation rather than CO2 conversion. Therefore, the present study provides a novel strategy by employing hydrazine-assisted phase transformation (Cu9S8 → Cu9S5) within a gel-derived TiO2 framework, enabling both enhanced CO2 adsorption and selective CH4 photoreduction.
Figure 6d demonstrates the stability of the 0.36Cu9S5/TiO2 composite in four consecutive cycles of CO2 reduction. The production of CH4 and CO remains relatively consistent across the cycles, with CH4 production at 34 μmol·g−1·h−1 and CO production at 15 μmol·g−1·h−1 in the first cycle, and only a slight decrease observed in subsequent cycles. This shows that the 0.36Cu9S5/TiO2 composite exhibits excellent stability and can be used for multiple cycles without significant degradation in photocatalytic performance. The minimal decrease in CH4 and CO production over the cycles suggests that the composite is highly durable, making it suitable for real-world applications in photocatalytic CO2 reduction.
In a word, Figure 6 demonstrates that the 0.36Cu9S5/TiO2 composite, especially with hydrazine hydrate treatment, is an efficient and stable photocatalyst for CO2 reduction, producing substantial amounts of CH4 and CO. The results also underscore the critical role of light, CO2, and catalyst in achieving efficient photocatalytic CO2 reduction. The excellent stability over four cycles further highlights the composite’s potential for practical applications in renewable energy and environmental sustainability.
Figure 7a illustrates the product selectivity for CH4 and CO over the TiO2 and Cu9S5/TiO2 composites. For TiO2, no CH4 is produced (0%), and the product selectivity is entirely CO (100%). As the Cu9S5 content in the composites increases, the selectivity for CH4 significantly improves. Specifically, the 0.48Cu9S5/TiO2 composite shows the highest CH4 selectivity at 66.51%, accompanied by a CO selectivity of 33.49%. The 0.36Cu9S5/TiO2 composite also shows a notable CH4 selectivity of 64.76%, with CO selectivity at 35.24%, indicating that the addition of Cu9S5 enhances CH4 formation. The 0.24Cu9S5/TiO2 composite displays a balanced selectivity of 60.12% for CH4 and 39.88% for CO, while the 0.12Cu9S5/TiO2 composite exhibits 43.3% CH4 selectivity and 56.7% CO selectivity. These results demonstrate the progressive role of Cu9S5 in shifting the product distribution towards CH4.
Figure 7b presents the electronic selectivity based on electron consumption for CH4 and CO. The 0.36Cu9S5/TiO2 composite exhibits the highest electronic selectivity for CH4 at 88.02%, confirming its role in promoting efficient electron utilization for CH4 formation. The 0.48Cu9S5/TiO2 composite follows with an electronic selectivity for CH4 of 88.82% and 11.18% for CO. In contrast, TiO2 and the other Cu9S5/TiO2 composites demonstrate significantly higher electronic selectivity for CO, reflecting the greater electron demand for CO formation. Specifically, the 0.12Cu9S5/TiO2 composite shows an electronic selectivity for CH4 of 75.34%, and 0.24Cu9S5/TiO2 shows 85.77% for CH4, indicating an improvement in electron efficiency with increasing Cu9S5 content.
These findings highlight the significant effect of Cu9S5 content on both product selectivity and electronic efficiency in CO2 photoreduction. The 0.36Cu9S5/TiO2 composite achieves the best balance of CH4 and CO selectivity with 64.76% CH4 selectivity and 35.24% CO selectivity, while demonstrating the highest electronic selectivity for CH4 at 88.02%. This makes the 0.36Cu9S5/TiO2 composite a promising photocatalyst for selective CO2 reduction towards methane, offering an efficient electron utilization and favorable product distribution.

2.4. DFT Calculations and Heterojunction Analysis

To clarify the origin of the enhanced CH4 selectivity in Cu9S5/TiO2 composites, we combined DFT calculations and band structure characterization to reveal how interfacial energetics and charge dynamics modulate CO2 reduction pathways. Figure 8 presents the DFT-calculated reaction free energy profiles and band structure diagrams for TiO2 and Cu9S5/TiO2 composites, offering a detailed insight into the photocatalytic CO2 reduction mechanism, particularly focusing on the intermediates COOH, CO, and CHO, which are critical to methane (CH4) formation.
Figure 8a illustrates the reaction free energy profiles for CO2 photoreduction over TiO2 and Cu9S5/TiO2 composites, highlighting the key intermediates that drive the CO2 reduction process. The energy profiles for COOH, CO, and CHO intermediates play a significant role in determining the overall efficiency of the reaction, particularly in methane generation. For TiO2 (red line), the energy barrier for the COOH intermediate is relatively high at 0.8 eV, indicating a less favorable formation of CO and CHO, which are essential intermediates for methane production. The CO intermediate has a high energy value of 0.78 eV, while the CHO intermediate is similarly high, further limiting the pathway toward efficient methane formation.
In contrast, the Cu9S5/TiO2 composite (blue line) significantly reduces the energy barriers for the critical intermediates. The COOH intermediate’s energy is lowered to 0.3 eV, facilitating easier conversion to CO and CHO. This reduced barrier encourages the formation of CO (with an energy value of 0.32 eV) and CHO (with an energy value of 0.12 eV), both of which are key precursors to methane formation. The CHO intermediate is particularly important, as its strong adsorption is a key step in methane production. Additionally, the strong adsorption of CO and CHO intermediates at the active sites on the Cu9S5/TiO2 composite provides an ideal pathway for efficient methane production. This is evident in the lower energy profile for CH4 formation on Cu9S5/TiO2 compared to TiO2. The lower energy for CH4 formation on Cu9S5/TiO2 directly supports its higher photocatalytic activity for CO2 reduction to methane.
Figure 8b shows the band structure of TiO2 and Cu9S5/TiO2 composites, further supporting the enhanced photocatalytic performance. TiO2 exhibits a conduction band edge at 0.54 eV, while the Cu9S5/TiO2 composite has a lower conduction band edge at 0.43 eV, which facilitates more efficient electron transfer. This lowering of the conduction band edge enhances electron mobility, promoting better separation of charge carriers and leading to more efficient reduction of CO2 to CH4.
Together, these results demonstrate that the Cu9S5/TiO2 composite not only facilitates the efficient formation of key intermediates such as CO and CHO but also significantly lowers the energy barriers for CH4 production. This makes Cu9S5/TiO2 a superior photocatalyst for CO2 reduction, especially for selective methane production. The strong adsorption of CO and CHO, coupled with the improved electronic structure, is crucial for its enhanced photocatalytic activity.

3. Conclusions

In summary, hydrazine-engineered Cu9S5/TiO2 gel composites were successfully fabricated via a hydrothermal method using gel-derived TiO2 as a porous framework. The resulting materials exhibited well-dispersed Cu9S5 nanocrystals and enhanced crystallinity, which significantly promoted CO2 adsorption and photocatalytic activity. The optimized 0.36Cu9S5/TiO2 composite achieved an outstanding methane production rate of 34 μmol·g−1·h−1 and CO production of 15 μmol·g−1·h−1, with a methane selectivity of 64.76% and an electron-based CH4 selectivity of 88.02%. In contrast, the Cu9S8/TiO2 control sample prepared without hydrazine hydrate generated only CO, indicating the critical role of hydrazine in phase regulation and activity enhancement. The improved performance of Cu9S5/TiO2 is attributed to synergistic effects between the gel-derived TiO2 matrix and hydrazine-modulated Cu9S5 domains. The hydrazine-assisted synthesis not only facilitated Cu9S5 phase formation and dispersion, but also optimized interfacial electronic structure, thereby enhancing charge carrier separation and intermediate adsorption. DFT calculations confirmed that Cu9S5/TiO2 lowered the energy barriers for key intermediates (*COOH, *CO, and *CHO), enabling efficient methane formation via a deep reduction pathway. This study highlights the potential of gel-based composite photocatalysts for coupling CO2 adsorption and selective conversion. The design strategy demonstrated here provides valuable insights into phase and interface engineering for efficient CO2-to-CH4 photoreduction, contributing to the development of sustainable energy and environmental technologies.

4. Materials and Methods

4.1. Materials

All reagents used in this study were of analytical grade and used without further purification. Titanium isopropoxide (TTIP), glacial acetic acid, nitric acid (HNO3), and isopropyl alcohol (IPA) were purchased from Sinopharm Chemical Reagent Co., Ltd. (Shanghai, China). Sodium hydroxide (NaOH, 0.1022 mol/L) was self-prepared in the laboratory. Thiourea (C2H5NS, AR, 99%) was purchased from Shanghai Maike Chemical Technology Co., Ltd. (Shanghai, China). Hydrazine hydrate (N2H4·H2O, AR) was obtained from the Pharmaceutical Group Chemistry Reagent Co., Ltd. (Beijing, China). Deionized water (H2O) was used for all synthesis, dispersion, and washing procedures. Ethanol (C2H5OH, AR) was purchased from Guangdong Linmin Chemical Reagent Co., Ltd. (Guangzhou, China). Copper Citrate (C6H5Cu2O7, AR) was obtained from Shanghai Maike Chemical Technology Co., Ltd. (Shanghai, China).

4.2. Microwave-Assisted Sol-Gel TiO2 and CuSx/TiO2

4.2.1. Synthesis of Gel-Derived TiO2

The synthesis of TiO2: The TiO2 was prepared using a microwave-assisted sol–gel method to enhance uniformity [31]. Firstly, a homogeneous solution was prepared by mixing 4.8 mL of TTIP, 0.8 mL of glacial acetic acid, and 4 mL of IPA. Then, an acidic solution was prepared by heating 11 mL of Milli-Q water and 0.20 mL of concentrated nitric acid to 90 °C. The TTIP-containing solution was quickly added to the acidified water under vigorous stirring, resulting in a homogeneous milky white reaction mixture. This reaction mixture was transferred to a 60 mL microwave reaction vessel, and water was added to dilute the solution to a final volume of 44 mL. The mixture was irradiated in a microwave reactor (Sineo Microwave Chemistry Technology (ShangHai) Co., ltd. (Shanghai, China), UWave-2000) at 90 °C with a stirring rate of 1200 rpm for 10 min, resulting in a transparent TiO2 hydrosol. Finally, the synthesized TiO2 hydrosol was freeze dried to obtain loosely packed TiO2 aggregates as the final product. The synthesis of TiO2 involves the hydrolysis and condensation of titanium alkoxide (such as titanium isopropoxide) in the presence of an acid or base. It may follow the chemical reaction below:
TTIP + H2O → TiO2 + IPA
In this reaction, TTIP undergoes hydrolysis in the presence of water, forming TiO2 and IPA as a byproduct.

4.2.2. Synthesis of Cu9S5/TiO2 Composites

A series of Cu9S5/TiO2 composites with varying Cu loadings (0.12, 0.24, 0.36, and 0.48 mmol) were prepared. For comparison, a control sample without hydrazine hydrate was also synthesized (yielding Cu9S8/TiO2).
Typically, 12 mmol of the synthesized TiO2 was dispersed in 50 mL of deionized water and ultrasonicated for 30 min to form a uniform suspension (designated as Suspension A). Meanwhile, aqueous copper citrate solutions of different concentrations were prepared (Solution B) and slowly added dropwise into Suspension A under continuous stirring. The mixture was stirred magnetically for 20 h to ensure sufficient interaction between TiO2 and Cu species. Subsequently, 40 mL of 16.8 mM NaOH solution was added dropwise to adjust the pH and facilitate precursor precipitation, followed by 20 min of stirring. Afterward, the precipitates were separated by centrifugation, washed several times with deionized water, and redispersed in 60 mL of 8 mM thiourea solution. For Cu9S5 formation, 1 mL of 85% hydrazine hydrate was introduced into the dispersion. The resulting mixture was sealed in a 100 mL Teflon-lined reactor and heated at 160 °C for 7 h. Upon cooling, the final solid products were collected by centrifugation, thoroughly washed with anhydrous ethanol and deionized water, and dried in a vacuum oven at 70 °C. The as-obtained products were denoted as 0.12Cu9S5/TiO2, 0.24Cu9S5/TiO2, 0.36Cu9S5/TiO2, and 0.48Cu9S5/TiO2. The control sample synthesized under identical conditions but without hydrazine hydrate was labeled 0.36Cu9S8/TiO2.
In the procedure above, the copper sulfide (Cu9S8) was formed through the following reactions:
9Cu2+ + 8S2− → Cu9S8
Subsequently, hydrazine hydrate was added as a reducing agent, contributing to a small amount of reduced Cu+, and then converting Cu9S8 into Cu9S5. The hydrazine reduction process can be represented by the following reactions:
9Cu2+ + N2H4 + 5S2− → Cu9S5 + N2 + 4H+

4.3. Sample Characterization

The morphology and internal nanostructure of the prepared catalysts were investigated by scanning electron microscopy (SEM; Regulus 8100, Hitachi, (Tokyo, Japan) and high-resolution transmission electron microscopy (HRTEM; Talos F200X, Thermo Fisher Scientific, Waltham, MA, USA). Prior to HRTEM analysis, the samples were dispersed in anhydrous ethanol through ultrasonication, drop-cast onto carbon-supported copper grids, and naturally dried in air. Imaging was conducted at an accelerating voltage of 200 kV. Phase composition and crystallinity were determined via X-ray diffraction (XRD) using a SmartLab diffractometer (Rigaku, Tokyo, Japan) equipped with a Cu Kα radiation source (λ = 1.5406 Å). The measurements were conducted under conditions of 40 kV tube voltage and 30 mA current. Diffraction patterns were collected over a 2θ range of 5–90°, with a step increment of 0.02° and a scan speed of 10° per minute. Photoluminescence (PL) spectroscopy was used to evaluate the recombination characteristics of photogenerated carriers. The spectra were obtained on an FLS980 spectrometer (Edinburgh Instruments, Livingston, UK) under excitation at 325 nm.
Photoelectrochemical performance was assessed using a CHI660D electrochemical workstation (CH Instruments, Shanghai, China) in a conventional three-electrode configuration. For electrode preparation, 5 mg of catalyst was ultrasonically dispersed in a mixture of 2 mL ethanol and 10 μL of 5 wt% Nafion solution. A 100 μL aliquot of the resulting dispersion was deposited onto a 1 cm2 indium tin oxide (ITO) glass slide and dried under ambient conditions. The working electrode was coupled with a platinum foil counter electrode and an Ag/AgCl reference electrode. All measurements were carried out in 0.5 M Na2SO4 electrolyte under light-off conditions unless otherwise specified.

4.4. Evaluation of CO2 Photocatalytic Reduction

The photocatalytic CO2 reduction performance was investigated using a CEL-PAEM-D88P photocatalysis analysis system (Au-light, Beijing China Education Au-light Technology Co., Ltd., (Beijing, China). For each test, 7 mg of photocatalyst was ultrasonically suspended in 25 mL of deionized water to ensure uniform dispersion. The suspension was then vacuum filtered through a Teflon membrane (pore size < 100 μm), and the resulting thin film was dried under vacuum at 60 °C for 30 min.
The prepared catalyst membrane was fixed onto a stainless-steel holder and placed at the center of a gas-tight quartz reaction cell. To provide a humid environment, 5 mL of deionized water was added to the base of the reactor. The chamber was then sealed and purged three times with high-purity CO2 (99.999%) to eliminate residual air. After degassing, CO2 was introduced to adjust the internal pressure to ~40 kPa. The reaction system was allowed to stabilize for 30 min using a built-in plunger pump to ensure homogeneous mixing of CO2 and water vapor. A 300 W xenon arc lamp (PLS-SXE300+, Au-light, China) was employed as the irradiation source to simulate sunlight. The reactor temperature was kept constant at 5 °C throughout the reaction using a circulating water-cooling system to suppress thermal side effects. Evolved gas-phase products were continuously monitored using an integrated online gas chromatograph equipped with one thermal conductivity detector (TCD) and two flame ionization detectors (FIDs). This configuration enabled real-time, simultaneous detection of H2, CO, CH4, C2H4, and C2H6 under ambient pressure.

4.5. Calculation of Product Yield and Selectivity

The generation rates of gaseous products (H2, CO, CH4, C2H4, and C2H6) were quantified based on their concentrations measured by gas chromatography and normalized to catalyst mass and irradiation time. The formation rate ( R ) of a given product was calculated using the following equation:
R = n m × t
where R is the product yield (μmol g−1 h−1), n is the amount of product formed (μmol), m is the mass of photocatalyst used (g), and t is the reaction time (h).
To evaluate the distribution of reduction products, the product selectivity (S) toward species was determined by
S x = n x n i × 100 %
where n x is the amount of product, and n i is the total amount of all carbon-containing reduction products (e.g., CO, CH4, C2H4, C2H6).
For further insight into the reduction pathway, the electron selectivity was calculated based on the number of electrons transferred per molecule of each product. The electron-based selectivity toward CH4, for instance, is expressed as
e - S e l e c t i v i t y C H 4 = 8   ×   n C H 4 e i   ×   n i   ×   100 %
where e i is the number of electrons required for the formation of product i (e.g., 2 for CO, 8 for CH4, 12 for C2H4, etc.), and n i is the molar quantity of each product.
All values were derived from the integrated GC peak areas using calibrated response factors.

4.6. DFT Calculation Method

First-principles calculations based on density functional theory (DFT) were performed using the Vienna Ab initio Simulation Package (VASP, version 5.4.4). The interactions between core and valence electrons were described using the projector-augmented wave (PAW) method [35,36,37]. A plane-wave cutoff energy of 400 eV was applied for all calculations. The electronic self-consistent field (SCF) iterations were considered converged when the total energy change was below 1 × 10−5 eV. Geometry optimizations were carried out until the residual atomic forces were reduced below 0.03 eV·Å−1. To investigate the interfacial behavior of adsorbed intermediates involved in CO2 photoreduction, surface models were constructed for the TiO2 (101) and CuSx/TiO2 heterojunction interfaces. Each model was built using a four-layer slab structure, where the two bottom layers were fixed during both structural optimization and transition state calculations. A vacuum space of 15 Å was introduced perpendicular to the slab to eliminate interlayer interactions between periodic images. Thermodynamic properties and reaction energetics were obtained by computing the Gibbs free energy (G), which includes electronic, vibrational, enthalpic, and entropic contributions. The Gibbs free energy of a given species A was estimated using the following expression:
G A ( T ,   p )   =   E total ,   A   +   E ZPE   +   H ( 0     T ) T S ( T ,   P )
in which Etotal, A, EZPE, H(0 → T), and S(T, P) are the total energy obtained by DFT calculation, the zero-point energy, the enthalpy change from 0 K to temperature T, and the entropy at temperature T and pressure P, respectively. All thermodynamic parameters were evaluated using the VASPKIT 1.3.6 post-processing toolkit [38].

Author Contributions

Conceptualization, investigation, methodology, and writing—original draft preparation, S.L. and Y.M.; methodology, investigation, Z.C. and J.Y.; writing—review and editing and supervision, F.G., T.W. and G.Y. All authors have read and agreed to the published version of the manuscript.

Funding

This research was supported by the project of Zhejiang Provincial Natural Science Foundation of China (No. LZ21E060002), Key Technology Breakthrough Program of Ningbo “Science and Innovation Yongjiang 2035” (No. 2024H024), Youth Foundation of the National Natural Science of China (No. 52203300), the General scientific research projects of Zhejiang Provincial Department of Education (No. Y202352630), and the Open project of the State Key Laboratory of Inorganic Synthesis and Preparative Chemistry, Jilin University (No. 2023-22).

Data Availability Statement

The data presented in this study are openly available in article.

Conflicts of Interest

The authors declare no conflicts of interest.

References

  1. Gong, E.; Ali, S.; Hiragond, C.B.; Kim, H.S.; Powar, N.S.; Kim, D.; Kim, H.; In, S.-I. Solar Fuels: Research and Development Strategies to Accelerate Photocatalytic CO2 Conversion into Hydrocarbon Fuels. Energy Environ. Sci. 2022, 15, 880–937. [Google Scholar] [CrossRef]
  2. Wang, S.; Guo, W.; Li, C.; Weng, B.; Liu, S.; Han, N.; Long, J.; Zhang, H. Immobilization of Metal Active Centers in Reticular Framework Materials for Photocatalytic Energy Conversion. J. Mater. Chem. A 2024, 12, 12907–12925. [Google Scholar] [CrossRef]
  3. Zhu, Q.; Li, Z.; Zheng, T.; Zheng, X.; Liu, S.; Gao, S.; Fu, X.; Su, X.; Zhu, Y.; Zhang, Y.; et al. High-Selectivity Tandem Photocatalytic Methanation of CO2 by Lacunary Polyoxometalates-Stabilized *CO Intermediate. Angew. Chem. Int. Ed. 2025, 64, e202413594. [Google Scholar] [CrossRef]
  4. Wang, L.; Yao, D.; Zhang, C.; Chen, Y.; Amirav, L.; Zhong, Z. Photothermal Catalytic CO2 Hydrogenation to Methanol on Au/In2O3 Nanowires. Chem Catal. 2024, 4, 101095. [Google Scholar] [CrossRef]
  5. Zhang, W.; Deng, C.; Wang, W.; Sheng, H.; Zhao, J. Achieving Almost 100% Selectivity in Photocatalytic CO2 Reduction to Methane via In-Situ Atmosphere Regulation Strategy. Adv. Mater. 2024, 36, 2405825. [Google Scholar] [CrossRef]
  6. Zhao, J.; Xiong, Z.; Wang, J.; Qiu, Y.; Liu, P.; Zhao, Y.; Zhang, J. SnTa2O6: A Novel CO2 Reduction Photocatalyst with Nearly 100% CO Selectivity. Chem. Eng. J. 2022, 446, 137242. [Google Scholar] [CrossRef]
  7. Yan, B.; Li, Y.; Cao, W.; Zeng, Z.; Liu, P.; Ke, Z.; Yang, G. Highly Efficient and Highly Selective CO2 Reduction to CO Driven by Laser. Joule 2022, 6, 2735–2744. [Google Scholar] [CrossRef]
  8. Nie, Y.; Li, Y.; An, C.; Tan, X.; Hu, Z.; Ye, J.; Yu, T. Promoted Selectivity of Photocatalytic CO2 Reduction to C2H4 via Hybrid CuxCoSy Possessing Dual Unsaturated Sites. Appl. Catal. B Environ. Energy 2024, 345, 123704. [Google Scholar] [CrossRef]
  9. Liu, Y.; Liu, D.; Liu, P.; Liu, C.; Zhou, J. Surfactant-Assisted Molecular-Level Tunning of Phenol-Formaldehyde-Based Hard Carbon Microspheres for High-Performance Sodium-Ion Batteries. J. Colloid Interface Sci. 2024, 666, 118–130. [Google Scholar] [CrossRef]
  10. Chakrabortty, S.; Nayak, J.; Ruj, B.; Pal, P.; Kumar, R.; Banerjee, S.; Sardar, M.; Chakraborty, P. Photocatalytic Conversion of CO2 to Methanol Using Membrane-Integrated Green Approach: A Review on Capture, Conversion and Purification. J. Environ. Chem. Eng. 2020, 8, 103935. [Google Scholar] [CrossRef]
  11. Kovačič, Ž.; Likozar, B.; Huš, M. Photocatalytic CO2 Reduction: A Review of Ab Initio Mechanism, Kinetics, and Multiscale Modeling Simulations. ACS Catal. 2020, 10, 14984–15007. [Google Scholar] [CrossRef]
  12. Liao, G.; Ding, G.; Yang, B.; Li, C. Challenges in Photocatalytic Carbon Dioxide Reduction. Precis. Chem. 2024, 2, 49–56. [Google Scholar] [CrossRef]
  13. Ruan, X.; Li, S.; Huang, C.; Zheng, W.; Cui, X.; Ravi, S.K. Catalyzing Artificial Photosynthesis with TiO2 Heterostructures and Hybrids: Emerging Trends in a Classical yet Contemporary Photocatalyst. Adv. Mater. 2024, 36, 2305285. [Google Scholar] [CrossRef]
  14. Shehzad, N.; Tahir, M.; Johari, K.; Murugesan, T.; Hussain, M. A Critical Review on TiO2 Based Photocatalytic CO2 Reduction System: Strategies to Improve Efficiency. J. CO2 Util. 2018, 26, 98–122. [Google Scholar] [CrossRef]
  15. Wei, L.; Yu, C.; Zhang, Q.; Liu, H.; Wang, Y. TiO2-Based Heterojunction Photocatalysts for Photocatalytic Reduction of CO2 into Solar Fuels. J. Mater. Chem. A 2018, 6, 22411–22436. [Google Scholar] [CrossRef]
  16. Lu, Y.; Liu, X.-L.; He, L.; Zhang, Y.-X.; Hu, Z.-Y.; Tian, G.; Cheng, X.; Wu, S.-M.; Li, Y.-Z.; Yang, X.-H.; et al. Spatial Heterojunction in Nanostructured TiO2 and Its Cascade Effect for Efficient Photocatalysis. Nano Lett. 2020, 20, 3122–3129. [Google Scholar] [CrossRef]
  17. Liu, S.; Meng, Y.; Luo, C.; Zhu, H.; Song, Y.; Zhang, H.; Wu, T. Green Hydrogen and Acetaldehyde Production via Photo-Induced Thermal Dehydrogenation of Bioethanol over a Highly Dispersed CuS/ TiO2 Catalyst. Int. J. Hydrogen Energy 2024, 86, 1414–1423. [Google Scholar] [CrossRef]
  18. Tian, F.; Wu, X.; Liu, S.; Gu, Y.; Lin, Z.; Zhang, H.; Yan, X.; Liao, G. Boosting Photocatalytic H2 Evolution through Interfacial Manipulation on a Lotus Seedpod Shaped Cu2 O/g-C3 N4 p-n Heterojunction. Sustain. Energy Fuels 2023, 7, 786–796. [Google Scholar] [CrossRef]
  19. Xiao, L.; Yuan, C.; Chen, P.; Liu, Y.; Sheng, J.; Zhang, S.; Dong, F.; Sun, Y. Cu–S Bonds as an Atomic-Level Transfer Channel to Achieve Photocatalytic CO2 Reduction to CO on Cu-Substituted ZnIn2S4. ACS Sustain. Chem. Eng. 2022, 10, 11902–11912. [Google Scholar] [CrossRef]
  20. Torres, J.A.; Da Cruz, J.C.; Nogueira, A.E.; Da Silva, G.T.S.T.; De Oliveira, J.A.; Ribeiro, C. Role of Cu0-TiO2 Interaction in Catalyst Stability in CO2 Photoreduction Process. J. Environ. Chem. Eng. 2022, 10, 107291. [Google Scholar] [CrossRef]
  21. Peng, Z.; Li, S.; Weng, M.; Zhang, M.; Xin, C.; Du, Z.; Zheng, J.; Pan, F. First-Principles Study of Cu9S5: A Novel p-Type Conductive Semiconductor. J. Phys. Chem. C 2017, 121, 23317–23323. [Google Scholar] [CrossRef]
  22. Xu, T.; Liu, S.; Wei, Z.; Zhang, W.; Zhang, G.-Y.; Liu, T.; Dai, L.; Yin, P.; Song, Y. Ultrathin Cu9S5 Nanosheets with Sulfur Vacancy for Multimodal Tumor Therapy. ACS Appl. Mater. Interfaces 2024, 16, 14489–14502. [Google Scholar] [CrossRef]
  23. Pournemati, K.; Habibi-Yangjeh, A.; Khataee, A. Combination of Broad Light-Absorption Cu9S5 with S,C,N-TiO2: Assessment of Photocatalytic Performance in Nitrogen Fixation Reaction. Inorg. Chem. 2025, 64, 1323–1339. [Google Scholar] [CrossRef] [PubMed]
  24. Yang, D.; Zuo, S.; Yang, H.; Wang, X. Single-Unit-Cell Catalysis of CO2 Electroreduction over Sub-1 Nm Cu9S5 Nanowires. Adv. Energy Mater. 2021, 11, 2100272. [Google Scholar] [CrossRef]
  25. Xu, M.; Wang, M.; Ye, T.; Liang, N.; Jin, L.; Zai, J.; Qian, X. Cube-in-Cube Hollow Cu9S5 Nanostructures with Enhanced Photocatalytic Activities in Solar H2 Evolution. Chem.—A Eur. J. 2014, 20, 13576–13582. [Google Scholar] [CrossRef]
  26. Hu, Y.; Fang, T.; Ruan, M.; Zhang, Y.; Zhao, N. Preparation and Enhanced Photocatalytic Properties of Cu31S16/Cu9S5 Heterojunction Composite. J. Sulfur Chem. 2024, 45, 239–249. [Google Scholar] [CrossRef]
  27. Yang, L.; Yang, H.; Tian, Q.; Meng, A.; Li, Z. Multi-Strategies Modulation for Photocatalytic Hydrogen Evolution: Enhanced Charge Separation by Coupling Sulfur Vacancies and Built-in Electric Field at Ohmic Interface. Fuel 2024, 360, 130548. [Google Scholar] [CrossRef]
  28. Sattigeri, N.I.; Patil, V.S.; Sharath, S.C.; Nagaveni, G.H.; Basayya, M.; Gunnagol, R.M.; Mawazzan, M.A.; Rabinal, M.H.K.; Kalasad, M.N. Synthesis, Structural Characterization, and Photocatalytic Application of ZnS Quantum Dots. Part. Part. Syst. Charact. 2025, 42, 2400204. [Google Scholar] [CrossRef]
  29. Zhang, Y.; Chen, P.; Wang, Q.; Wang, Q.; Zhu, K.; Ye, K.; Wang, G.; Cao, D.; Yan, J.; Zhang, Q. High-Capacity and Kinetically Accelerated Lithium Storage in MoO3 Enabled by Oxygen Vacancies and Heterostructure. Adv. Energy Mater. 2021, 11, 2101712. [Google Scholar] [CrossRef]
  30. Li, Z.; Qian, L.; Chen, J.; Zhang, W.; Tian, W.; Wan, Y.; Yang, P.; Wang, Z.; Liu, Y.; Huang, W.; et al. Hydrazine Hydrate Reduction-Induced Oxygen Vacancy Formation in Co3O4 Porous Nanosheets to Optimize the Electrochemical Lithium Storage. J. Alloys Compd. 2021, 861, 157994. [Google Scholar] [CrossRef]
  31. Joshi, D.N.; Sudhakar, S.; Nair, R.V.; Arun Prasath, R. Swift Sol–Gel Synthesis of Mesoporous Anatase-Rich TiO2 Aggregates via Microwave and a Lyophilization Approach for Improved Light Scattering in DSSCs. J. Mater. Sci. 2017, 52, 2308–2318. [Google Scholar] [CrossRef]
  32. Yang, J.; Wang, J.; Zhao, W.; Wang, G.; Wang, K.; Wu, X.; Li, J. 0D/1D Cu2-xS/TiO2 S-Scheme Heterojunction with Enhanced Photocatalytic CO2 Reduction Performance via Surface Plasmon Resonance Induced Photothermal Effects. Appl. Surf. Sci. 2023, 613, 156083. [Google Scholar] [CrossRef]
  33. Wang, X.; Zhang, X.; Zhao, D.; Chen, W.; Bai, Y.; Shangguan, W. In-Situ Constructed Cu2S/TiO2 Schottky Junction for Charge Redistribution and CO2 Activation toward Enhanced Photocatalytic CO2-to-CH4 Conversion. Mater. Today Chem. 2025, 47, 102834. [Google Scholar] [CrossRef]
  34. Wang, L.; Liu, X.; Dang, Y.; Xie, H.; Zhao, Q.; Ye, L. Enhanced Solar Induced Photo-Thermal Synergistic Catalytic CO2 Conversion by Photothermal Material Decorated TiO2. Solid State Sci. 2019, 89, 67–73. [Google Scholar] [CrossRef]
  35. Kresse, G.; Joubert, D. From Ultrasoft Pseudopotentials to the Projector Augmented-Wave Method. Phys. Rev. B 1999, 59, 1758–1775. [Google Scholar] [CrossRef]
  36. Kresse, G.; Furthmüller, J. Efficient Iterative Schemes for Ab Initio Total-Energy Calculations Using a Plane-Wave Basis Set. Phys. Rev. B 1996, 54, 11169–11186. [Google Scholar] [CrossRef]
  37. Blöchl, P.E. Projector Augmented-Wave Method. Phys. Rev. B 1994, 50, 17953–17979. [Google Scholar] [CrossRef]
  38. Wang, V.; Xu, N.; Liu, J.-C.; Tang, G.; Geng, W.-T. VASPKIT: A User-Friendly Interface Facilitating High-Throughput Computing and Analysis Using VASP Code. Comput. Phys. Commun. 2021, 267, 108033. [Google Scholar] [CrossRef]
Figure 1. X-ray diffraction (XRD) patterns of the gel-derived TiO2, 0.36CuSx/TiO2 (with N2H4), and 0.36CuSx/TiO2 (without N2H4).
Figure 1. X-ray diffraction (XRD) patterns of the gel-derived TiO2, 0.36CuSx/TiO2 (with N2H4), and 0.36CuSx/TiO2 (without N2H4).
Gels 11 00711 g001
Figure 2. Morphology and elemental distribution analysis of the gel-derived Cu9S5/TiO2 and Cu9S8/TiO2 composites. (a) SEM image of Cu9S5/TiO2 composite, (b) TEM image of Cu9S5/TiO2 composite, (c) high-resolution TEM image of Cu9S5, (d) fast Fourier transform (FFT) pattern of Cu9S5, (e) SEM image of Cu9S8/TiO2 composite, (f) TEM image of Cu9S8/TiO2, (g) High-resolution TEM image of Cu9S8, (h) FFT pattern of Cu9S8, (i) TEM image of Cu9S5/TiO2 composite (overview). (jm) EDS mapping of O, Ti, S, Cu in Cu9S5/TiO2 composite, (n) TEM image of Cu9S8/TiO2 composite (overview), and (or) EDS mapping of O, Ti, S, Cu in Cu9S8/TiO2 composite.
Figure 2. Morphology and elemental distribution analysis of the gel-derived Cu9S5/TiO2 and Cu9S8/TiO2 composites. (a) SEM image of Cu9S5/TiO2 composite, (b) TEM image of Cu9S5/TiO2 composite, (c) high-resolution TEM image of Cu9S5, (d) fast Fourier transform (FFT) pattern of Cu9S5, (e) SEM image of Cu9S8/TiO2 composite, (f) TEM image of Cu9S8/TiO2, (g) High-resolution TEM image of Cu9S8, (h) FFT pattern of Cu9S8, (i) TEM image of Cu9S5/TiO2 composite (overview). (jm) EDS mapping of O, Ti, S, Cu in Cu9S5/TiO2 composite, (n) TEM image of Cu9S8/TiO2 composite (overview), and (or) EDS mapping of O, Ti, S, Cu in Cu9S8/TiO2 composite.
Gels 11 00711 g002
Figure 3. High-resolution XPS spectra of the gel-derived Cu9S5/TiO2 composites and Cu9S8/TiO2: (a,e) Ti 2p, (b,f) O 1s, (c,g) Zn 2p, and (d,h) S 2p.
Figure 3. High-resolution XPS spectra of the gel-derived Cu9S5/TiO2 composites and Cu9S8/TiO2: (a,e) Ti 2p, (b,f) O 1s, (c,g) Zn 2p, and (d,h) S 2p.
Gels 11 00711 g003
Figure 4. Optical properties of the gel-derived Cu9S5/TiO2 and Cu9S8/TiO2 composites. (a,b) Mott–Schottky plots of Cu9S5/TiO2 and Cu9S8/TiO2; (c,d) UV–vis absorption spectra and Tauc plots of Cu9S5/TiO2 and Cu9S8/TiO2 composites.
Figure 4. Optical properties of the gel-derived Cu9S5/TiO2 and Cu9S8/TiO2 composites. (a,b) Mott–Schottky plots of Cu9S5/TiO2 and Cu9S8/TiO2; (c,d) UV–vis absorption spectra and Tauc plots of Cu9S5/TiO2 and Cu9S8/TiO2 composites.
Gels 11 00711 g004
Figure 5. Structural and electrochemical properties of the gel-derived Cu9S5/TiO2 and Cu9S8/TiO2 Composites. (a) Raman spectra of Cu9S5/TiO2 and TiO2, (b) electrochemical impedance spectroscopy (EIS) Nyquist plots of Cu9S5/TiO2 and Cu9S8/TiO2 composites, (c) photocurrent responses of Cu9S5/TiO2 and Cu9S8/TiO2 under periodic light illumination, and (d) photoluminescence (PL) spectra of Cu9S5/TiO2 and Cu9S8/TiO2.
Figure 5. Structural and electrochemical properties of the gel-derived Cu9S5/TiO2 and Cu9S8/TiO2 Composites. (a) Raman spectra of Cu9S5/TiO2 and TiO2, (b) electrochemical impedance spectroscopy (EIS) Nyquist plots of Cu9S5/TiO2 and Cu9S8/TiO2 composites, (c) photocurrent responses of Cu9S5/TiO2 and Cu9S8/TiO2 under periodic light illumination, and (d) photoluminescence (PL) spectra of Cu9S5/TiO2 and Cu9S8/TiO2.
Gels 11 00711 g005
Figure 6. Performance analysis of the gel-derived Cu9S5/TiO2 composites for photocatalytic CO2 reduction. (a) The CO2 reduction performance of Cu9S5/TiO2 composites with varying Cu9S5 content (0.12Cu9S5/TiO2, 0.24Cu9S5/TiO2, 0.36Cu9S5/TiO2, and 0.48Cu9S5/TiO2) under standard experimental conditions. (b) Impact of different experimental conditions on the photocatalytic CO2 reduction of 0.36Cu9S5/TiO2 composite: (1) standard experimental conditions, (2) reaction under dark conditions, (3) in the absence of catalyst, and (4) CO2 replaced by Ar. (c) Photocatalytic CO2 reduction performance of TiO2, 0.36Cu9S5/TiO2 (with N2H4), 0.36Cu9S8/TiO2 (without N2H4), and 0.36Cu9S5/TiO2 (without TiO2). (d) Stability of the 0.36Cu9S5/TiO2 composite over four consecutive cycles of CO2 reduction.
Figure 6. Performance analysis of the gel-derived Cu9S5/TiO2 composites for photocatalytic CO2 reduction. (a) The CO2 reduction performance of Cu9S5/TiO2 composites with varying Cu9S5 content (0.12Cu9S5/TiO2, 0.24Cu9S5/TiO2, 0.36Cu9S5/TiO2, and 0.48Cu9S5/TiO2) under standard experimental conditions. (b) Impact of different experimental conditions on the photocatalytic CO2 reduction of 0.36Cu9S5/TiO2 composite: (1) standard experimental conditions, (2) reaction under dark conditions, (3) in the absence of catalyst, and (4) CO2 replaced by Ar. (c) Photocatalytic CO2 reduction performance of TiO2, 0.36Cu9S5/TiO2 (with N2H4), 0.36Cu9S8/TiO2 (without N2H4), and 0.36Cu9S5/TiO2 (without TiO2). (d) Stability of the 0.36Cu9S5/TiO2 composite over four consecutive cycles of CO2 reduction.
Gels 11 00711 g006
Figure 7. Selectivity analysis of CO2 photoreduction over the gel-derived TiO2 and Cu9S5/TiO2 composites. (a) Product selectivity for CH4 and CO; (b) calculated electronic selectivity based on electron consumption for respective products.
Figure 7. Selectivity analysis of CO2 photoreduction over the gel-derived TiO2 and Cu9S5/TiO2 composites. (a) Product selectivity for CH4 and CO; (b) calculated electronic selectivity based on electron consumption for respective products.
Gels 11 00711 g007
Figure 8. (a) DFT-calculated reaction free energy profiles for CO2 photoreduction over TiO2 and Cu9S5/TiO2 interfaces. (b) Band structure diagram of TiO2 and Cu9S5/TiO2 based on experimental flat-band potentials and Tauc-derived bandgaps. The asterisk * denotes the adsorbed state.
Figure 8. (a) DFT-calculated reaction free energy profiles for CO2 photoreduction over TiO2 and Cu9S5/TiO2 interfaces. (b) Band structure diagram of TiO2 and Cu9S5/TiO2 based on experimental flat-band potentials and Tauc-derived bandgaps. The asterisk * denotes the adsorbed state.
Gels 11 00711 g008
Disclaimer/Publisher’s Note: The statements, opinions and data contained in all publications are solely those of the individual author(s) and contributor(s) and not of MDPI and/or the editor(s). MDPI and/or the editor(s) disclaim responsibility for any injury to people or property resulting from any ideas, methods, instructions or products referred to in the content.

Share and Cite

MDPI and ACS Style

Liu, S.; Meng, Y.; Chen, Z.; Yan, J.; Gao, F.; Wu, T.; Yu, G. Cu9S5/Gel-Derived TiO2 Composites for Efficient CO2 Adsorption and Conversion. Gels 2025, 11, 711. https://doi.org/10.3390/gels11090711

AMA Style

Liu S, Meng Y, Chen Z, Yan J, Gao F, Wu T, Yu G. Cu9S5/Gel-Derived TiO2 Composites for Efficient CO2 Adsorption and Conversion. Gels. 2025; 11(9):711. https://doi.org/10.3390/gels11090711

Chicago/Turabian Style

Liu, Shuai, Yang Meng, Zhengfei Chen, Jiefeng Yan, Fuyan Gao, Tao Wu, and Guangsuo Yu. 2025. "Cu9S5/Gel-Derived TiO2 Composites for Efficient CO2 Adsorption and Conversion" Gels 11, no. 9: 711. https://doi.org/10.3390/gels11090711

APA Style

Liu, S., Meng, Y., Chen, Z., Yan, J., Gao, F., Wu, T., & Yu, G. (2025). Cu9S5/Gel-Derived TiO2 Composites for Efficient CO2 Adsorption and Conversion. Gels, 11(9), 711. https://doi.org/10.3390/gels11090711

Note that from the first issue of 2016, this journal uses article numbers instead of page numbers. See further details here.

Article Metrics

Back to TopTop