Microencapsulation of Lactiplantibacillus plantarum BXM2 in Bamboo Shoot-Derived Nanocellulose Hydrogel to Enhance Its Survivability
Abstract
1. Introduction
2. Results and Discussion
2.1. Characterization of Nanocellulose Hydrogels
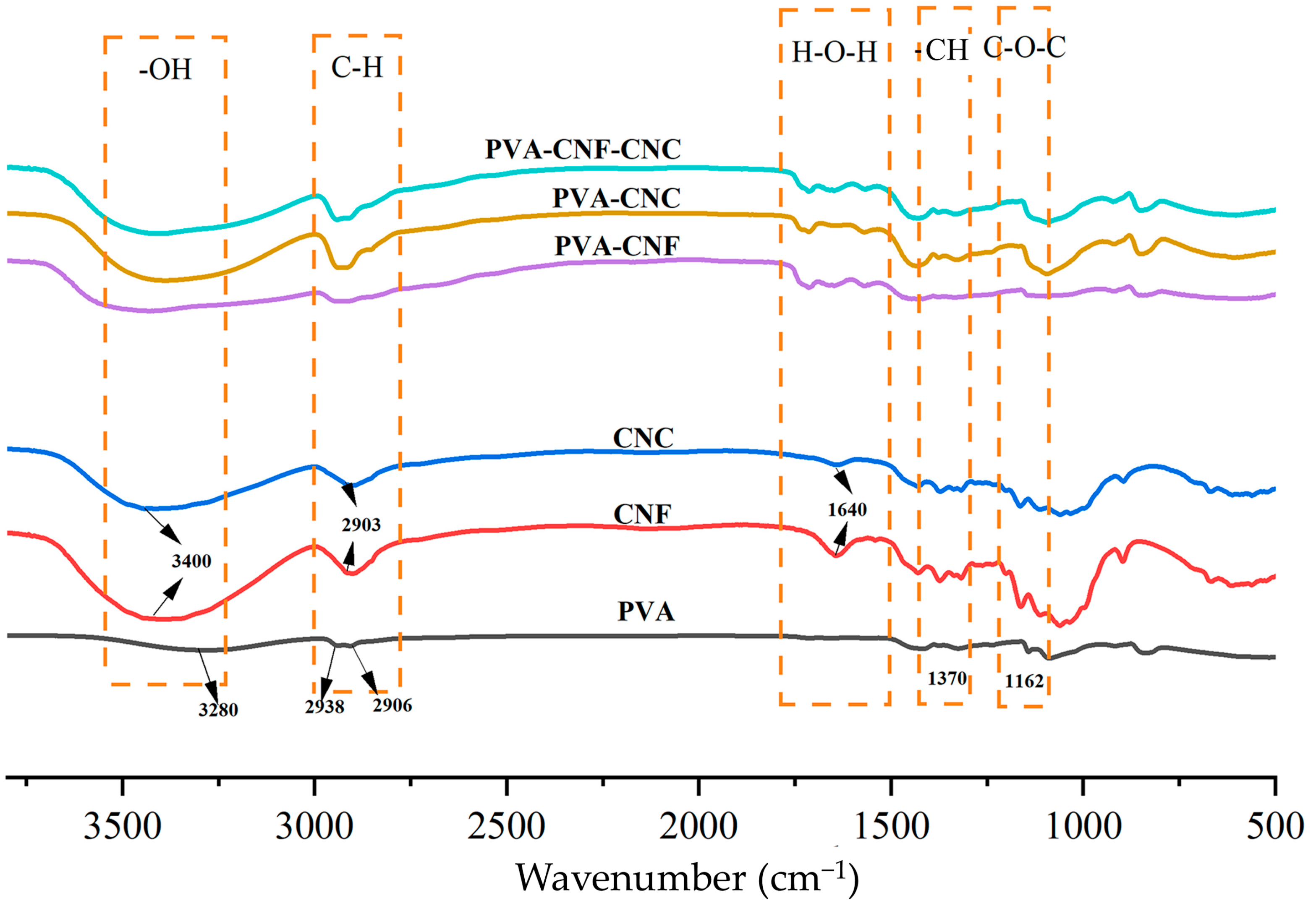
2.1.1. FT-IR Analysis
2.1.2. XRD Analysis
2.1.3. Morphology of Nanocellulose Hydrogels
2.2. Encapsulation Efficiency of Nanocellulose Hydrogels
2.3. Probiotic Viability After Freeze-Drying
2.4. Probiotic Viability After Heat Treatments
2.5. Probiotic Viability During the In Vitro Digestion Process
2.6. Probiotic Viability During Storage
3. Conclusions
4. Materials and Methods
4.1. Materials
4.2. Preparation of Bacterial Suspension
4.3. Production of Nanocellulose Hydrogels
4.4. Production of Nanocellulose Hydrogels Loaded with Probiotics
4.5. Characterization of Nanocellulose Hydrogels
4.5.1. Fourier Transform Infrared Spectroscopy (FT-IR)
4.5.2. X-Ray Diffraction (XRD) Analysis
4.5.3. Scanning Electron Microscope Analysis
4.6. Determination of Encapsulation Efficiency
4.7. Protective Effects of PVA-CNF-CNC Hydrogel
4.7.1. Survival After Freeze-Drying
4.7.2. Resistance to Heat Treatments
4.7.3. Survival in Simulated Gastric and Intestinal Digestion
4.7.4. Storage Stability Analysis
4.8. Statistical Analysis
Author Contributions
Funding
Institutional Review Board Statement
Informed Consent Statement
Data Availability Statement
Acknowledgments
Conflicts of Interest
References
- Baumler, A.J.; Sperandio, V. Interactions between the microbiota and pathogenic bacteria in the gut. Nature 2016, 535, 85–93. [Google Scholar] [CrossRef] [PubMed]
- Dos Reis, S.A.; da Conceicao, L.L.; Siqueira, N.P.; Rosa, D.D.; da Silva, L.L.; Peluzio, M.d.C.G. Review of the mechanisms of probiotic actions in the prevention of colorectal cancer. Nutr. Res. 2017, 37, 1–19. [Google Scholar] [CrossRef] [PubMed]
- Markowiak, P.; Slizewska, K. Effects of Probiotics, Prebiotics, and Synbiotics on Human Health. Nutrients 2017, 9, 1021. [Google Scholar] [CrossRef] [PubMed]
- Jang, W.J.; Oh, D.N.; Kim, D.Y.; Lee, E.J.; Lee, J.M. Encapsulation of probiotics with poly-γ-glutamic acid alters gut microbiota and short-chain fatty acid content by maintaining cell viability in the gastrointestinal tract. Food Hydrocoll. 2024, 147, 109328. [Google Scholar] [CrossRef]
- Zhou, T.; Liu, M.T.; Pan, J.L.; Ren, J.N.; Tang, F.; Dai, J.J.; Xue, F.; Ji, D.J. Combined Therapy of Probiotic Microcapsules and Bomidin in Vibrio parahaemolyticus-Infected Rats. Life 2022, 12, 1740. [Google Scholar] [CrossRef]
- Ait-Belgnaoui, A.; Han, W.; Lamine, F.; Eutamene, H.; Fioramonti, J.; Bueno, L.; Theodorou, V. Lactobacillus farciminis treatment suppresses stress induced visceral hypersensitivity: A possible action through interaction with epithelial cell cytoskeleton contraction. Gut 2006, 55, 1090–1094. [Google Scholar] [CrossRef]
- Dodoo, C.C.; Wang, J.; Basit, A.W.; Stapleton, P.; Gaisford, S. Targeted delivery of probiotics to enhance gastrointestinal stability and intestinal colonisation. Int. J. Pharm. 2017, 530, 224–229. [Google Scholar] [CrossRef]
- Misra, S.; Pandey, P.; Dalbhagat, C.G.; Mishra, H.N. Emerging Technologies and Coating Materials for Improved Probiotication in Food Products: A Review. Food Bioprocess Technol. 2022, 15, 998–1039. [Google Scholar] [CrossRef]
- Xu, C.; Ban, Q.F.; Wang, W.; Hou, J.C.; Jiang, Z.M. Novel nano-encapsulated probiotic agents: Encapsulate materials, delivery, and encapsulation systems. J. Control. Release 2022, 349, 184–205. [Google Scholar] [CrossRef]
- Ramos, P.E.; Cerqueira, M.A.; Teixeira, J.A.; Vicente, A.A. Physiological protection of probiotic microcapsules by coatings. Crit. Rev. Food Sci. Nutr. 2018, 58, 1864–1877. [Google Scholar] [CrossRef]
- Ji, R.; Wu, J.H.; Zhang, J.L.; Wang, T.; Zhang, X.D.; Shao, L.; Chen, D.J.; Wang, J. Extending Viability of Bifidobacterium longum in Chitosan-Coated Alginate Microcapsules Using Emulsification and Internal Gelation Encapsulation Technology. Front. Microbiol. 2019, 10, 1389. [Google Scholar] [CrossRef] [PubMed]
- Yousefi, M.; Khanniri, E.; Shadnoush, M.; Khorshidian, N.; Mortazavian, A.M. Development, characterization and in vitro antioxidant activity of chitosan-coated alginate microcapsules entrapping Viola odorata Linn. extract. Int. J. Biol. Macromol. 2020, 163, 44–54. [Google Scholar] [CrossRef]
- Gbassi, G.K.; Vandamme, T.; Ennahar, S.; Marchioni, E. Microencapsulation of Lactobacillus plantarum spp in an alginate matrix coated with whey proteins. Int. J. Food Microbiol. 2009, 129, 103–105. [Google Scholar] [CrossRef]
- Hu, X.; Liu, C.; Zhang, H.; Hossen, M.A.; Sameen, D.E.; Dai, J.; Qin, W.; Liu, Y.; Li, S. In vitro digestion of sodium alginate/pectin co-encapsulated Lactobacillus bulgaricus and its application in yogurt bilayer beads. Int. J. Biol. Macromol. 2021, 193, 1050–1058. [Google Scholar] [CrossRef]
- Yao, M.; Lu, Y.; Zhang, T.; Xie, J.; Han, S.; Zhang, S.; Fei, Y.; Ling, Z.; Wu, J.; Hu, Y.; et al. Improved functionality of Ligilactobacillus salivarius Li01 in alleviating colonic inflammation by layer-by-layer microencapsulation. npj Biofilms Microbiomes 2021, 7, 58. [Google Scholar] [CrossRef]
- Hosseini, S.; Varidi, M. Optimization of Microbial Rennet Encapsulation in Alginate—Chitosan Nanoparticles. Food Chem. 2021, 352, 129325. [Google Scholar] [CrossRef]
- Ghobashy, M.M.; Elbarbary, A.M.; Hegazy, D.E. Gamma radiation synthesis of a novel amphiphilic terpolymer hydrogel pH-responsive based chitosan for colon cancer drug delivery. Carbohydr. Polym. 2021, 263, 117975. [Google Scholar] [CrossRef] [PubMed]
- Hoang, H.T.; Jo, S.H.; Phan, Q.T.; Park, H.; Park, S.H.; Oh, C.W.; Lim, K.T. Dual pH-/thermo-responsive chitosan-based hydrogels prepared using “click” chemistry for colon-targeted drug delivery applications. Carbohydr. Polym. 2021, 260, 117812. [Google Scholar] [CrossRef] [PubMed]
- Nangia-Makker, P.; Hogan, V.; Honjo, Y.; Baccarini, S.; Tait, L.; Bresalier, R.; Raz, A. Inhibition of human cancer cell growth and metastasis in nude mice by oral intake of modified citrus pectin. J. Natl. Cancer Inst. 2002, 94, 1854–1862. [Google Scholar] [CrossRef]
- Li, M.; Jin, Y.; Wang, Y.; Meng, L.; Zhang, N.; Sun, Y.; Hao, J.; Fu, Q.; Sun, Q. Preparation of Bifidobacterium breve encapsulated in low methoxyl pectin beads and its effects on yogurt quality. J. Dairy Sci. 2019, 102, 4832–4843. [Google Scholar] [CrossRef]
- Khorasani, A.C.; Shojaosadati, S.A. Pectin-non-starch nanofibers biocomposites as novel gastrointestinal-resistant prebiotics. Int. J. Biol. Macromol. 2017, 94, 131–144. [Google Scholar] [CrossRef]
- Munarin, F.; Guerreiro, S.G.; Grellier, M.A.; Tanzi, M.C.; Barbosa, M.A.; Petrini, P.; Granja, P.L. Pectin-based injectable biomaterials for bone tissue engineering. Biomacromolecules 2011, 12, 568–577. [Google Scholar] [CrossRef] [PubMed]
- Zhao, M.; Huang, X.; Zhang, H.; Zhang, Y.Z.; Gänzle, M.; Yang, N.; Nishinari, K.; Fang, Y.P. Probiotic encapsulation in water-in-water emulsion via heteroprotein complex coacervation of type-A gelatin/sodium caseinate. Food Hydrocoll. 2020, 105, 105790. [Google Scholar] [CrossRef]
- Etchepare, M.D.; Nunes, G.L.; Nicoloso, B.R.; Barin, J.S.; Flores, E.M.M.; Mello, R.D.; de Menezes, C.R. Improvement of the viability of encapsulated probiotics using whey proteins. LWT Food Sci. Technol. 2020, 117, 108601. [Google Scholar] [CrossRef]
- Škrlec, K.; Zupančič, Š.; Prpar Mihevc, S.; Kocbek, P.; Kristl, J.; Berlec, A. Development of electrospun nanofibers that enable high loading and long-term viability of probiotics. Eur. J. Pharm. Biopharm. 2019, 136, 108–119. [Google Scholar] [CrossRef]
- Hirscha, E.; Panteaa, E.; Vassa, P.; Domján, J.; Molnár, M.; Suhajda, A.; Andersen, S.K.; Vigh, T.; Verreck, G.; Marosi, G.J.; et al. Probiotic bacteria stabilized in orally dissolving nanofibers prepared by high-speed electrospinning. Food Bioprod. Process. 2021, 128, 84–94. [Google Scholar] [CrossRef]
- Canga, E.M.; Dudak, F.C. Improved digestive stability of probiotics encapsulated within poly(vinyl alcohol)/cellulose acetate hybrid fibers. Carbohydr. Polym. 2021, 264, 117990. [Google Scholar] [CrossRef]
- Maleki, O.; Khaledabad, M.A.; Amiri, S.; Asl, A.K.; Makouie, S. Microencapsulation of Lactobacillus rhamnosus ATCC 7469 in whey protein isolate-crystalline nanocellulose-inulin composite enhanced gastrointestinal survivability. LWT Food Sci. Technol. 2020, 126, 109224. [Google Scholar] [CrossRef]
- Wang, K.; Ni, J.; Li, H.; Tian, X.; Tan, M.; Su, W. Survivability of probiotics encapsulated in kelp nanocellulose/alginate microcapsules on microfluidic device. Food Res. Int. 2022, 160, 111723. [Google Scholar] [CrossRef]
- Pato, U.; Yusmarini; Riftyan, E.; Rossi, E.; Hidayat, R.; Anjani, S.F.; Riadi, N.; Octaviani, I.N.; Agrina; Syukri, D.; et al. Probiotic Properties of Lactobacillus fermentum InaCC B1295 Encapsulated by Cellulose Microfiber from Oil Palm Empty Fruit Bunches. Fermentation 2022, 8, 602. [Google Scholar] [CrossRef]
- Luo, X.; Wang, Q.; Liu, W.; Wu, Y.; Yang, J.; Chen, P.; Zhuang, W.; Zheng, Y. Characterization and safety assessment of bamboo shoot shell cellulose nanofiber: Prepared by acidolysis combined with dynamic high-pressure microfluidization. Carbohydr. Polym. 2024, 335, 122082. [Google Scholar] [CrossRef] [PubMed]
- Fang, D.; Wang, Q.; Chen, C.; Li, Z.; Li, S.; Chen, W.; Zheng, Y. Structural characteristics, physicochemical properties and prebiotic potential of modified dietary fibre from the basal part of bamboo shoot. Int. J. Food Sci. Technol. 2020, 56, 618–628. [Google Scholar] [CrossRef]
- Alemdar, A.; Sain, M. Isolation and characterization of nanofibers from agricultural residues—Wheat straw and soy hulls. Bioresour. Technol. 2008, 99, 1664–1671. [Google Scholar] [CrossRef]
- Johnson, R.K.; Zink-Sharp, A.; Glasser, W.G. Preparation and characterization of hydrophobic derivatives of TEMPO-oxidized nanocelluloses. Cellulose 2011, 18, 1599–1609. [Google Scholar] [CrossRef]
- Pereira, P.H.F.; Waldron, K.W.; Wilson, D.R.; Cunha, A.P.; de Brito, E.S.; Rodrigues, T.H.S.; Rosa, M.F.; Azeredo, H.M.C. Wheat straw hemicelluloses added with cellulose nanocrystals and citric acid. Effect on film physical properties. Carbohydr. Polym. 2017, 164, 317–324. [Google Scholar] [CrossRef]
- Feng, J. Infrared Spectroscopy Applications in Trace Evidence Analysis; Chemical Industry Press: Beijing, China, 2010. [Google Scholar]
- Chou, C.T.; Shi, S.C.; Chen, T.H.; Chen, C.K. Nanocellulose-reinforced, multilayered poly(vinyl alcohol)-based hydrophobic composites as an alternative sealing film. Sci. Prog. 2023, 106, 00368504231157142. [Google Scholar] [CrossRef]
- Fakraoui, O.; Ghorbel, N.; Noirel, C.; Royaud, I.; Arous, M.; Ayadi, Z.; Kallel, A. Comparative analysis of cellulose nanocrystals and cellulose nanofibrils on the physico-chemical properties of polyvinyl alcohol/chitosan blend for sustainable food packaging. J. Appl. Polym. Sci. 2023, 140, e54024. [Google Scholar] [CrossRef]
- Jia, R.J.; Teng, K.Y.; Huang, J.Y.; Wei, X.; Qin, Z.Y. Hydrogen Bonding Crosslinking of Starch-Polyvinyl Alcohol Films Reinforced by Ultrasound-Assisted and Cellulose Nanofibers Dispersed Cellulose Nanocrystals. Starch 2022, 74, 2100227. [Google Scholar] [CrossRef]
- Kassab, Z.; Abdellaoui, Y.; Salim, M.H.; Bouhfid, R.; Qaiss, A.; El Achaby, M. Micro-and nano-celluloses derived from hemp stalks and their effect as polymer reinforcing materials. Carbohydr. Polym. 2020, 245, 116506. [Google Scholar] [CrossRef]
- Sun, W.; Nguyen, Q.D.; Sipiczki, G.; Ziane, S.R.; Hristovski, K.; Friedrich, L.; Visy, A.; Hitka, G.; Gere, A.; Bujna, E. Microencapsulation of Lactobacillus plantarum 299v Strain with Whey Proteins by Lyophilization and Its Application in Production of Probiotic Apple Juices. Appl. Sci. 2022, 13, 318. [Google Scholar] [CrossRef]
- Wang, G.-Q.; Pu, J.; Yu, X.-Q.; Xia, Y.-J.; Ai, L.-Z. Influence of freezing temperature before freeze-drying on the viability of various Lactobacillus plantarum strains. J. Dairy Sci. 2020, 103, 3066–3075. [Google Scholar] [CrossRef] [PubMed]
- Santivarangkna, C.; Aschenbrenner, M.; Kulozik, U.; Foerst, P. Role of Glassy State on Stabilities of Freeze-Dried Probiotics. J. Food Sci. 2011, 76, R152–R156. [Google Scholar] [CrossRef]
- Brodkorb, A.; Egger, L.; Alminger, M.; Alvito, P.; Assuncao, R.; Ballance, S.; Bohn, T.; Bourlieu-Lacanal, C.; Boutrou, R.; Carriere, F.; et al. INFOGEST static in vitro simulation of gastrointestinal food digestion. Nat. Protoc. 2019, 14, 991–1014. [Google Scholar] [CrossRef] [PubMed]
- Allahverdi, M.; Dadmehr, M.; Sharifmoghadam, M.R.; Bahreini, M. Encapsulation of Lactiplantibacillus plantarum probiotics through cross-linked chitosan and casein for improving their viability, antioxidant and detoxification. Int. J. Biol. Macromol. 2024, 280, 135820. [Google Scholar] [CrossRef]
- Li, S.F.; Feng, K.; Huang, R.M.; Wei, Y.S.; Wu, H. Insights into Protective Effects of Different Synbiotic Microcapsules on the Survival of Lactiplantibacillus plantarum by Electrospraying. Foods 2022, 11, 3872. [Google Scholar] [CrossRef]
- Zhang, H.; Wei, S.; Yan, J.; Feng, M.; Bai, Y.; Chen, B.; Xu, J. Development of double layer microcapsules for enhancing the viability of Lactobacillus casei LC2W in simulated gastrointestinal fluids. LWT 2021, 145, 111319. [Google Scholar] [CrossRef]
- Massounga Bora, A.F.; Li, X.; Liu, L. Physicochemical and Functional Characterization of Newly Designed Biopolymeric-Based Encapsulates with Probiotic Culture and Charantin. Foods 2021, 10, 2677. [Google Scholar] [CrossRef]
- Ashwar, B.A.; Gani, A.; Gani, A.; Shah, A.; Masoodi, F.A. Production of RS4 from rice starch and its utilization as an encapsulating agent for targeted delivery of probiotics. Food Chem. 2018, 239, 287–294. [Google Scholar] [CrossRef]







Disclaimer/Publisher’s Note: The statements, opinions and data contained in all publications are solely those of the individual author(s) and contributor(s) and not of MDPI and/or the editor(s). MDPI and/or the editor(s) disclaim responsibility for any injury to people or property resulting from any ideas, methods, instructions or products referred to in the content. |
© 2025 by the authors. Licensee MDPI, Basel, Switzerland. This article is an open access article distributed under the terms and conditions of the Creative Commons Attribution (CC BY) license (https://creativecommons.org/licenses/by/4.0/).
Share and Cite
Huang, Y.; Guan, Q.; Wu, Y.; Zheng, C.; Zhong, L.; Xie, W.; Chen, J.; Huang, J.; Wang, Q.; Zheng, Y. Microencapsulation of Lactiplantibacillus plantarum BXM2 in Bamboo Shoot-Derived Nanocellulose Hydrogel to Enhance Its Survivability. Gels 2025, 11, 465. https://doi.org/10.3390/gels11060465
Huang Y, Guan Q, Wu Y, Zheng C, Zhong L, Xie W, Chen J, Huang J, Wang Q, Zheng Y. Microencapsulation of Lactiplantibacillus plantarum BXM2 in Bamboo Shoot-Derived Nanocellulose Hydrogel to Enhance Its Survivability. Gels. 2025; 11(6):465. https://doi.org/10.3390/gels11060465
Chicago/Turabian StyleHuang, Yajuan, Qiao Guan, Yirui Wu, Chaoyang Zheng, Lingyue Zhong, Wen Xie, Jiaxin Chen, Juqing Huang, Qi Wang, and Yafeng Zheng. 2025. "Microencapsulation of Lactiplantibacillus plantarum BXM2 in Bamboo Shoot-Derived Nanocellulose Hydrogel to Enhance Its Survivability" Gels 11, no. 6: 465. https://doi.org/10.3390/gels11060465
APA StyleHuang, Y., Guan, Q., Wu, Y., Zheng, C., Zhong, L., Xie, W., Chen, J., Huang, J., Wang, Q., & Zheng, Y. (2025). Microencapsulation of Lactiplantibacillus plantarum BXM2 in Bamboo Shoot-Derived Nanocellulose Hydrogel to Enhance Its Survivability. Gels, 11(6), 465. https://doi.org/10.3390/gels11060465

