Bionanocomposite Four-Channel Biosensor for Rapid and Convenient Monitoring of Glucose, Lactate, Ethanol and Starch
Abstract
1. Introduction
2. Results and Discussion
2.1. Design of a Biosensor for Monitoring Glucose, Ethanol, Lactate and Starch
2.2. Formation of a Redox-Active Gel
2.3. Formation of a Nanocomposite Based on Redox-Active Gel BSA-NR and BSA-NB
2.4. Selection of Operating Parameters
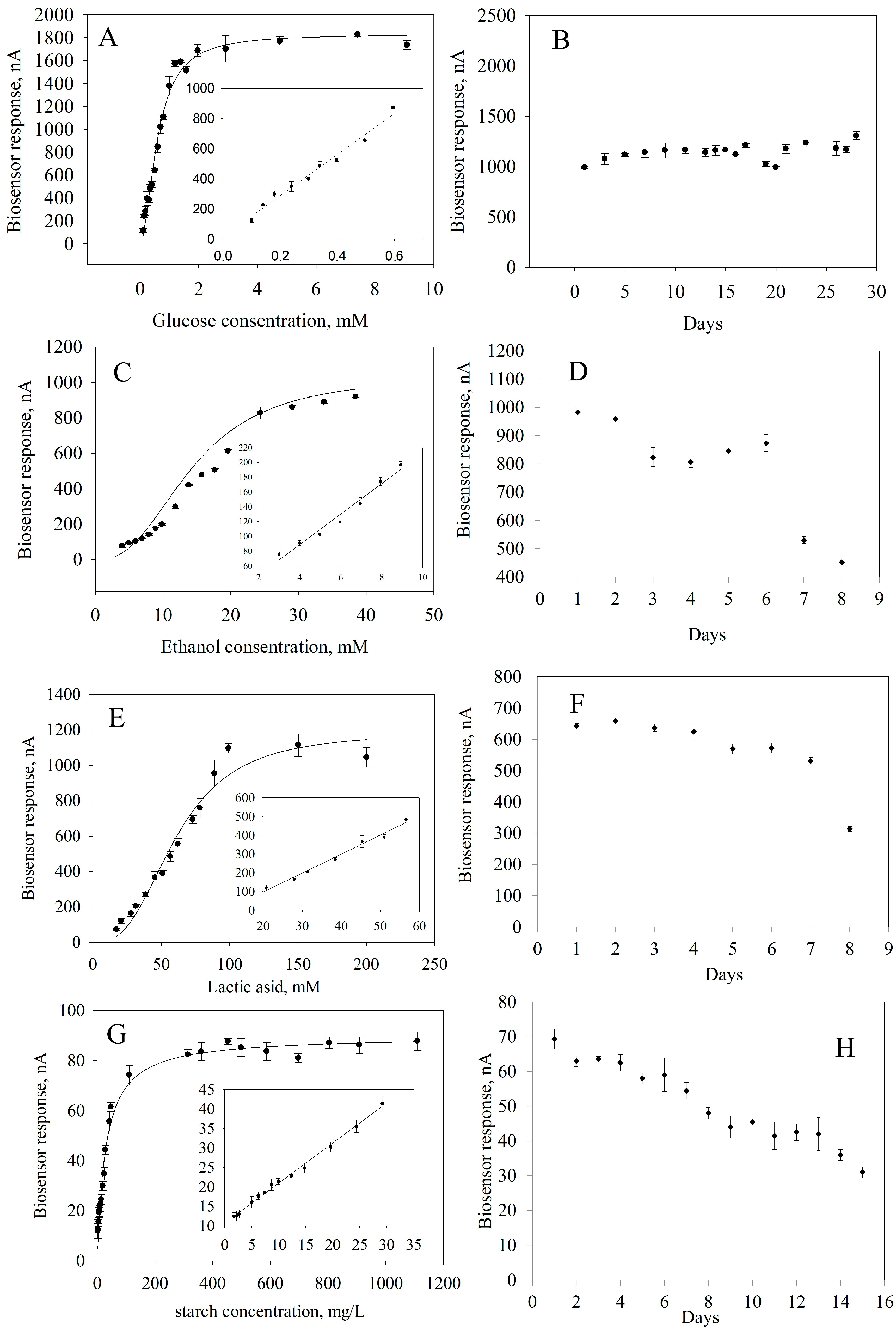
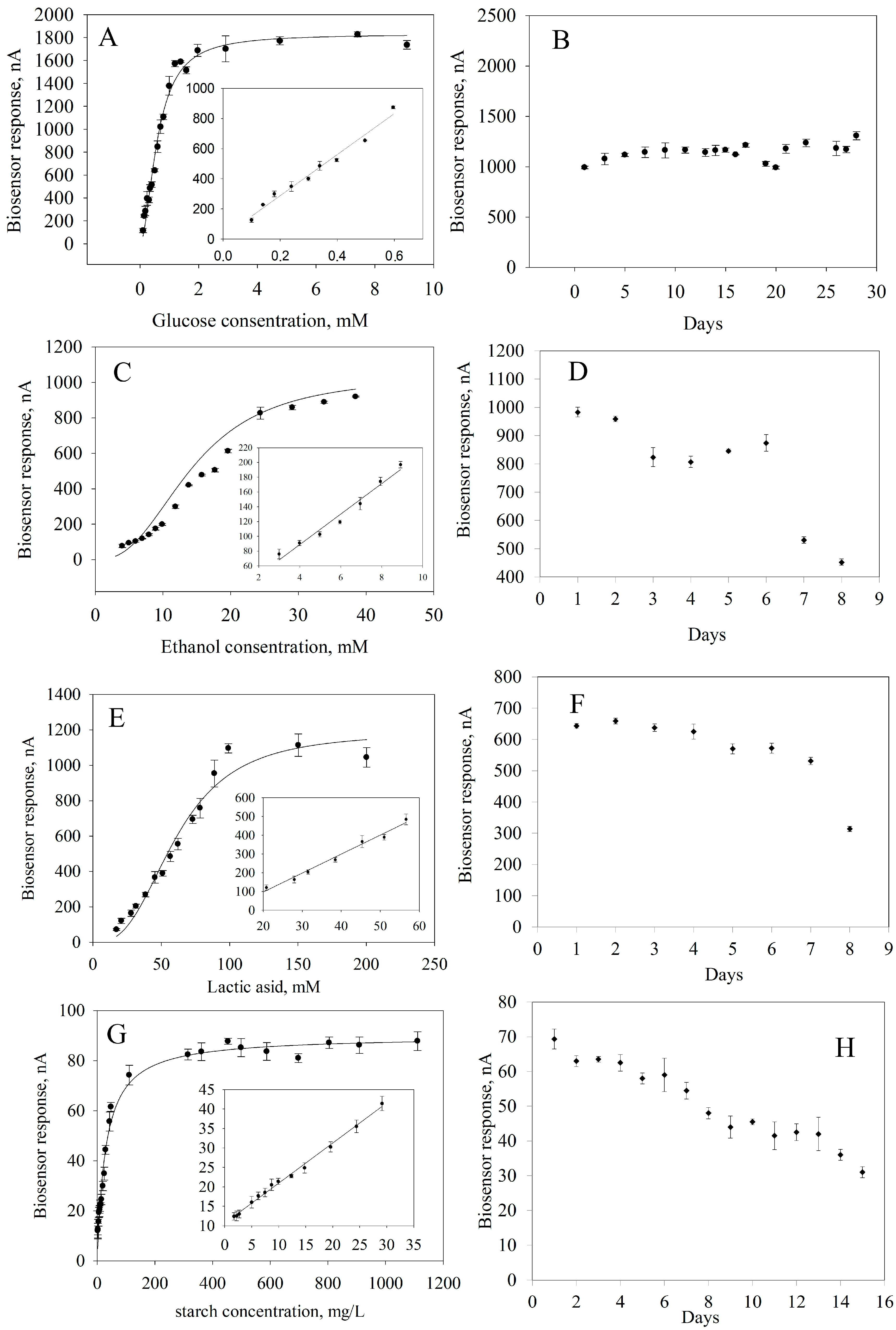
2.5. Main Characteristics of the Biosensor
2.6. Biosensor Application
3. Conclusions
4. Materials and Methods
4.1. Reagents and Materials
4.2. Formation of Working Electrodes
4.2.1. Formation of a BSA-Modified with Phenazine Electrode (BSA-F Electrode: BSA-NB, BSA-NR, BSA-TH, BSA-CB, BSA-AA, BSA-SN, BSA-PHN, BSA-TB)
4.2.2. Formation of Electrode Containing CNT and BSA-Modified with Phenazine Gel (CNT-BSA-NB, CNT-BSA-NR)
4.2.3. Formation of Enzyme Electrodes (GOx-CNT-BSA-NR, LOx-CNT-BSA-NR, AOx-CNT-BSA-NR, (AOx + Am)-CNT-BSA-NR)
4.3. Electrochemical Measurements (CV and EIS)
4.4. 3D-Structure Analysis by Scanning Electron Microscopy
4.5. Chemical Structured by IR and Raman Spectroscopy
4.6. Biosensor Multichannel Measurements
4.7. Determination of Lactic Acid, Glucose and Starch Content by Capillary Electrophoresis
4.8. Determination of Ethyl Alcohol Content by Gas Chromatography
Supplementary Materials
Author Contributions
Funding
Institutional Review Board Statement
Informed Consent Statement
Data Availability Statement
Conflicts of Interest
References
- Qin, S.; Sun, X.; Zhao, X. Advances in smartphone-based biosensors for food testing. Curr. Opin. Food Sci. 2025, 61, 101236. [Google Scholar] [CrossRef]
- Hosseinikebria, S.; Khazaei, M.; Dervisevic, M.; Judicpa, M.A.; Tian, J.; Razal, J.M.; Voelcker, N.H.; Nilghaz, A. Electrochemical biosensors: The beacon for food safety and quality. Food Chem. 2025, 475, 143284. [Google Scholar] [CrossRef] [PubMed]
- Inês, A.; Cosme, F. Biosensors for Detecting Food Contaminants—An Overview. Processes 2025, 13, 380. [Google Scholar] [CrossRef]
- Nath, S. Advancements in food quality monitoring: Integrating biosensors for precision detection. Sustain. Food Technol. 2024, 2, 976–992. [Google Scholar] [CrossRef]
- Meliana, C.; Liu, J.; Show, P.L.; Low, S.S. Biosensor in smart food traceability system for food safety and security. Bioengineered 2024, 15, 2310908. [Google Scholar] [CrossRef]
- Wijayanti, S.D.; Tsvik, L.; Haltrich, D. Recent Advances in Electrochemical Enzyme-Based Biosensors for Food and Beverage Analysis. Foods 2023, 12, 3355. [Google Scholar] [CrossRef]
- Sivashankar, S.; Kumar, N.S.; Kiran, R.; Mazumder, N. Amperometric Biosensors as an Analytical Tool in Food, Dairy and Fermentation Industries. Int. J. Pharm. Sci. Rev. Res. 2020, 65, 68–82. [Google Scholar] [CrossRef]
- Malik, S.; Singh, J.; Saini, K.; Chaudhary, V.; Umar, A.; Ibrahim, A.A.; Akbar, S.; Baskoutas, S. Paper-based sensors: Affordable, versatile, and emerging analyte detection platforms. Anal. Methods 2024, 16, 2777–2809. [Google Scholar] [CrossRef]
- Ansari, A.A.; Malhotra, B.D. Current progress in organic–inorganic hetero-nano-interfaces based electrochemical biosensors for healthcare monitoring. Coord. Chem. Rev. 2022, 452, 214282. [Google Scholar] [CrossRef]
- Guesmi, S.; Moulaee, K.; Bressi, V.; Kahri, H.; Khaskhoussi, A.; Espro, C.; Barhoumi, H.; Neri, G. Non-enzymatic amperometric glucose sensing by novel Cu-MOF synthesized at room temperature. Mater. Adv. 2024, 5, 1160–1170. [Google Scholar] [CrossRef]
- Dong, Q.; Ling, C.; Zhao, S.; Tang, X.; Zhang, Y.; Xing, Y.; Yu, H.; Huang, K.; Zou, Z.; Xiong, X. One-step rapid synthesis of Ni0.5Co0.5-CPO-27 nanorod array with oxygen vacancies based on DBD microplasma: As an effective non-enzymatic glucose sensor for beverage and human serum. Food Chem. 2023, 407, 135144. [Google Scholar] [CrossRef] [PubMed]
- Josypcuk, B.; Tvorynska, S. Electrochemical flow-through biosensors based on microfiber enzymatic filter discs placed at printed electrodes. Bioelectrochemistry 2024, 157, 108663. [Google Scholar] [CrossRef]
- Kuznetsova, L.S.; Arlyapov, V.A.; Kamanina, O.A.; Lantsova, E.A.; Tarasov, S.E.; Reshetilov, A.N. Development of Nanocomposite Materials Based on Conductive Polymers for Using in Glucose Biosensor. Polymers 2022, 14, 1543. [Google Scholar] [CrossRef] [PubMed]
- Kuznetsova, L.S.; Ivanova, K.D.; Lantsova, E.A.; Saverina, E.A.; Kharkova, A.S.; Guetnga, C.; Lipkin, M.S.; Kamanina, O.A.; Kozlova, T.V.; Popova, N.M.; et al. Cross-Disciplinary Glucose Biosensors: An ORMOSIL/Enzyme Material for Enhanced Detection. ACS Appl. Polym. Mater. 2024, 6, 12405–12419. [Google Scholar] [CrossRef]
- Kamanina, O.A.; Kamanin, S.S.; Kharkova, A.S.; Arlyapov, V.A. Glucose biosensor based on screen-printed electrode modified with silicone sol–gel conducting matrix containing carbon nanotubes. 3 Biotech 2019, 9, 290. [Google Scholar] [CrossRef]
- Koley, P.; Jakku, R.; Hosseinnejad, T.; Periasamy, S.; Bhargava, S.K. Immobilizing nanozymes on 3D-printed metal substrates for enhanced peroxidase-like activity and trace-level glucose detection. Nanoscale 2024, 16, 5561–5573. [Google Scholar] [CrossRef]
- Stasyuk, N.; Demkiv, O.; Gayda, G.; Zakalska, O.; Zakalskiy, A.; Serkiz, R.; Kavetskyy, T.; Gonchar, M. Reusable alcohol oxidase–nPtCu/alginate beads for highly sensitive ethanol assay in beverages. RSC Adv. 2022, 12, 21309–21317. [Google Scholar] [CrossRef]
- Istrate, O.-M.; Rotariu, L.; Bala, C. Amperometric L-Lactate Biosensor Based upon a Gold Nanoparticles/Reduced Graphene Oxide/Polyallylamine Hydrochloride Modified Screen-Printed Graphite Electrode. Chemosensors 2021, 9, 74. [Google Scholar] [CrossRef]
- Wei, Q.; Dong, Q.; Pu, H. Multiplex Surface-Enhanced Raman Scattering: An Emerging Tool for Multicomponent Detection of Food Contaminants. Biosensors 2023, 13, 296. [Google Scholar] [CrossRef]
- Smutok, O.; Kavetskyy, T.; Prokopiv, T.; Serkiz, R.; Wojnarowska-Nowak, R.; Šauša, O.; Novák, I.; Berek, D.; Melman, A.; Gonchar, M. New micro/nanocomposite with peroxidase-like activity in construction of oxidases-based amperometric biosensors for ethanol and glucose analysis. Anal. Chim. Acta 2021, 1143, 201–209. [Google Scholar] [CrossRef]
- TRCU 029/2012; Safety Requirements for Food Additives, Flavorings and Technological Aids. TRCU (Technical Regulations of the Customs Union). Eurasian Economic Commission: Moscow, Russia, 2012; with Changes 2023.
- Röhlen, D.L.; Pilas, J.; Dahmen, M.; Keusgen, M.; Selmer, T.; Schöning, M.J. Toward a Hybrid Biosensor System for Analysis of Organic and Volatile Fatty Acids in Fermentation Processes. Front Chem. 2018, 6, 284. [Google Scholar] [CrossRef] [PubMed]
- Rodriguez-Mendez, M.L. Nanostructured thin films as electrochemical sensors and biosensors for milk analysis. Sens. Actuators Rep. 2023, 6, 100179. [Google Scholar] [CrossRef]
- Ozoglu, O.; Uzunoglu, A.; Unal, M.A.; Gumustas, M.; Ozkan, S.A.; Korukluoglu, M.; Altuntas, E.G. Electrochemical Detection of Lactate Produced by Foodborne Presumptive Lactic Acid Bacteria. J. Biosci. Bioeng. 2023, 135, 313–320. [Google Scholar] [CrossRef]
- Tsvik, L.; Zhang, S.; O’hare, D.; Haltrich, D.; Sützl, L. More Than One Enzyme: Exploring Alternative FMN-Dependent L-Lactate Oxidases for Biosensor Development. ACS Omega 2024, 9, 29442–29452. [Google Scholar] [CrossRef]
- Liu, J.; Lang, Q.; Liang, B.; Zheng, Z.; Zhang, Y.; Liu, A. Sensitive electrochemical sequential enzyme biosensor for glucose and starch based on glucoamylase- and glucose oxidase-controllably co-displayed yeast recombinant. Anal. Chim. Acta 2022, 1221, 340173. [Google Scholar] [CrossRef]
- Ma, J.; Fei, Y.; Zhang, J.; Wu, H. Wearable multiple sensing platform for enhanced biomolecules monitoring in food. Food Chem. 2025, 469, 142540. [Google Scholar] [CrossRef]
- Chen, X.; Chen, Y.; Tang, D.; Li, M.; Lu, Y.; Cao, Y.; Zhao, Q.; Jiang, S.; Liu, W.; Jiang, L. Recent advances in bioinspired multienzyme engineering for food applications. Trends Food Sci. Technol. 2025, 156, 104840. [Google Scholar] [CrossRef]
- Rogala, A.; Nestorowicz, R.; Jerzyk, E. Internet of Things in the Food Industry: Challenges and Opportunities for the Internet of Food Things, 1st ed.; Routledge Studies in Innovation, Organizations and Technology; Routledge: Abingdon, UK; New York, NY, USA, 2024. [Google Scholar] [CrossRef]
- Kamanin, S.S.; Arlyapov, V.A.; Machulin, A.V.; Alferov, V.A.; Reshetilov, A.N. Biosensors based on modified screen-printed enzyme electrodes for monitoring of fermentation processes. Russ. J. Appl. Chem. 2015, 88, 463–472. [Google Scholar] [CrossRef]
- Arlyapov, V.A.; Kamanina, O.A.; Kamanin, S.S.; Reshetilov, A.N.; Shvets, V.I. Monitoring of Biotechnological Processes by Enzyme Electrodes Modified with Carbon Nanotubes. Appl. Biochem. Microbiol. 2019, 55, 313–321. [Google Scholar] [CrossRef]
- Damala, P.; Tiuftiakov, N.Y.; Bakker, E. Avoiding Potential Pitfalls in Designing Wired Glucose Biosensors. ACS Sens. 2024, 9, 2–8. [Google Scholar] [CrossRef]
- Weng, Y.; Chen, R.; Hui, Y.; Chen, D.; Zhao, C.-X. Boosting Enzyme Activity in Enzyme Metal–Organic Framework Composites. Chem Bio Eng. 2024, 1, 99–112. [Google Scholar] [CrossRef] [PubMed]
- Dalkiran, B.; Brett, C.M.A. Polyphenazine and polytriphenylmethane redox polymer/nanomaterial–based electrochemical sensors and biosensors: A review. Microchim. Acta 2021, 188, 178. [Google Scholar] [CrossRef] [PubMed]
- Kuznetsova, L.S.; Arlyapov, V.A.; Plekhanova, Y.V.; Tarasov, S.E.; Kharkova, A.S.; Saverina, E.A.; Reshetilov, A.N. Conductive Polymers and Their Nanocomposites: Application Features in Biosensors and Biofuel Cells. Polymers 2023, 15, 3783. [Google Scholar] [CrossRef] [PubMed]
- Pisarevskaya, E.Y.; Ozkan, S.Z.; Petrov, V.A.; Klyuev, A.L.; Efimov, O.N.; Karpacheva, G.P. Electrochemical properties of novel redox active electrode coatings based on heterocyclic polyazines and its nanocomposites with carbon nanomaterials. J. Electroanal. Chem. 2024, 968, 118517. [Google Scholar] [CrossRef]
- Kulikova, T.; Shiabiev, I.; Padnya, P.; Rogov, A.; Evtugyn, G.; Stoikov, I.; Porfireva, A. Impedimetric DNA Sensor Based on Electropolymerized N-Phenylaminophenothiazine and Thiacalix [4] arene Tetraacids for Doxorubicin Determination. Biosensors 2023, 13, 513. [Google Scholar] [CrossRef]
- Kharkova, A.S.; Medvedeva, A.S.; Kuznetsova, L.S.; Gertsen, M.M.; Kolesov, V.V.; Arlyapov, V.A.; Reshetilov, A.N. A “2-in-1” Bioanalytical System Based on Nanocomposite Conductive Polymers for Early Detection of Surface Water Pollution. Polymers 2024, 16, 1431. [Google Scholar] [CrossRef]
- Lavrova, T.; Kharkova, A.; Perchikov, R.; Gertsen, M.; Shadrin, A.; Arlyapov, V. A Highly Sensitive Test System for Measuring the Phenolic Index of Wastewater Based on a Biocompatible Composite Material with Carbon Nanotubes. J. Polym. Environ. 2025, 33, 63–77. [Google Scholar] [CrossRef]
- Arlyapov, V.A.; Khar’kova, A.S.; Abramova, T.N.; Kuznetsova, L.S.; Ilyukhina, A.S.; Zaitsev, M.G.; Machulin, A.V.; Reshetilov, A.N. A Hybrid Redox-Active Polymer Based on Bovine Serum Albumin, Ferrocene, Carboxylated Carbon Nanotubes, and Glucose Oxidase. J. Anal. Chem. 2020, 75, 1189–1200. [Google Scholar] [CrossRef]
- Perchikov, R.N.; Provotorova, D.V.; Kharkova, A.S.; Arlyapov, V.A.; Medvedeva, A.S.; Machulin, A.V.; Filonov, A.E.; Reshetilov, A.N. Bioanalytical System for Determining the Phenol Index Based on Pseudomonas putida BS394(pBS216) Bacteria Immobilized in a Redox-Active Biocompatible Composite Polymer “Bovine Serum Albumin–Ferrocene–Carbon Nanotubes”. Polymers 2022, 14, 5366. [Google Scholar] [CrossRef]
- Sergeevna, K.A.; Vladimirovna, P.D.; Valerievich, M.A.; Alekseevich, A.V. Acceptor properties of “carbon nanotubes–redox-active polymer based on bovine serum albumin modified with ferrocenecarboxaldehyde” composite for creating a BOD biosensor with Blastobotrys adeninivorans BKM Y-2677 yeast. 3 Biotech 2023, 13, 112. [Google Scholar] [CrossRef]
- Sergeev, A.V.; Rudyak, V.Y.; Samodelkin, R.A.; Kozhunova, E.Y.; Chertovich, A.V. Optimizing the charge transport in redox-active gels: A computational study. Soft Matter 2025, 21, 411–417. [Google Scholar] [CrossRef] [PubMed]
- Yang, X.; He, Q.; Guo, F.; Sun, X.; Zhang, J.; Chen, Y. Impacts of carbon-based nanomaterials on nutrient removal in constructed wetlands: Microbial community structure, enzyme activities, and metabolism process. J. Hazard. Mater. 2021, 401, 123270. [Google Scholar] [CrossRef]
- Wang, X.; Wang, Q. Enzyme-laden bioactive hydrogel for biocatalytic monitoring and regulation. Acc. Chem. Res. 2021, 54, 1274–1287. [Google Scholar] [CrossRef]
- Shen, J.; Zhang, S.; Fang, X.; Salmon, S. Advances in 3D gel printing for enzyme immobilization. Gels 2022, 8, 460. [Google Scholar] [CrossRef]
- Wang, B.; Wang, X.; He, Z.; Zhao, X.; Wang, L. Direct Electrochemistry of Glucose Oxidase on a GrapheneGraphene Oxide Nanocomposite-Modified Electrode for a Glucose Biosensor. Int. J. Electrochem. Sci. 2019, 14, 7495–7506. [Google Scholar] [CrossRef]
- Niu, Y.; Liu, J.; Chen, W.; Yin, C.; Weng, W.; Li, X.; Wang, X.; Li, G.; Sun, W. A direct electron transfer biosensor based on a horseradish peroxidase and gold nanotriangle modified electrode and electrocatalysis. Anal. Methods 2018, 10, 5297–5304. [Google Scholar] [CrossRef]
- Jadàn-Piedra, F.; Cevallos-Mendoza, J.E.; Delgado, J.M.V.; Mendoza, V.S.; Mero, M.L.; Zambrano, R.A.R.; Utreras, J.A.D.; Rodríguez-Gamez, M.; Jadàn-Piedra, C. Selective determination of methanol and ethanol using a sensor based on alcohol oxidase immobilized on a cassava biopolymer. Biosens. Bioelectron. X 2023, 15, 100414. [Google Scholar] [CrossRef]
- Del Moral, S.; Barradas-Dermitz, D.M.; Aguilar-Uscanga, M.G. Production and biochemical characterization of α-glucosidase from Aspergillus niger ITV-01 isolated from sugar cane bagasse. 3 Biotech 2018, 8, 7. [Google Scholar] [CrossRef]
- Arslan, H.; Özdemir, M.; Zengin, H.; Zengin, G. Glucose Biosensing at Carbon Paste Electrodes Containing Polyaniline-Silicon dioxide Composite. Int. J. Electrochem. Sci. 2012, 7, 10205–10214. [Google Scholar] [CrossRef]
- Prasanna Kumar, S.; Parashuram, L.; Suhas, D.P.; Krishnaiah, P. Carboxylated graphene-alcohol oxidase thin films modified graphite electrode as an electrochemical sensor for electro-catalytic detection of ethanol. Mater. Sci. Energy Technol. 2020, 3, 159–166. [Google Scholar] [CrossRef]
- Klepach, H.M.; Zakalskiy, A.E.; Zakalska, O.M.; Gayda, G.Z.; Smutok, O.V.; Gonchar, M.V. Alcohol Oxidase from the Methylotrophic Yeast Ogataea polymorpha: Isolation, Purification, and Bioanalytical Application. In Flavins and Flavoproteins, 1st ed.; Barile, M., Ed.; Springer: New York, NY, USA, 2021; Volume 2280, pp. 231–248. [Google Scholar] [CrossRef]
- Dias, C.; Fernandes, E.; Barbosa, R.M.; Ledo, A. A Platinized Carbon Fiber Microelectrode-Based Oxidase Biosensor for Amperometric Monitoring of Lactate in Brain Slices. Sensors 2022, 22, 7011. [Google Scholar] [CrossRef] [PubMed]
- Verma, P.; Singh, M.; Dhull, V. ZnO/MWCNTs/Au Based Nano Biosensor for Detection of Lactate in Food Samples. Anal. Bioanal. Electrochem. 2023, 15, 847–859. [Google Scholar] [CrossRef]
- Donkin, R.; Robinson, S.; Sumby, K.; Harris, V.; McBryde, C.; Jiranek, V. Sodium Chloride in Australian Grape Juice and Its Effect on Alcoholic and Malolactic Fermentation. Am. J. Enol. Vitic. 2010, 61, 392–400. [Google Scholar] [CrossRef]
- Liu, J.; Cui, Z. Optimization of operating conditions for glucose oxidation in an enzymatic membrane bioreactor. J. Membr. Sci. 2007, 302, 180–187. [Google Scholar] [CrossRef]
- Kagan, M.; Kivirand, K.; Rinken, T. Modulation of enzyme catalytic properties and biosensor calibration parameters with chlorides: Studies with glucose oxidase. Enzyme Microb. Technol. 2013, 53, 278–282. [Google Scholar] [CrossRef]
- Pohanka, M.; Zbořil, P. Amperometric Biosensor for D-Lactate Assay. Food Technol. Biotechnol. 2008, 46, 107–110. Available online: https://hrcak.srce.hr/22234 (accessed on 5 May 2025).
- Barsan, M.M.; Brett, C.M.A. An alcohol oxidase biosensor using PNR redox mediator at carbon film electrodes. Talanta 2008, 74, 1505–1510. [Google Scholar] [CrossRef]
- SanPiN 42-123-4089-86; Maximum Permissible Concentrations of Heavy Metals and Arsenic in Food Raw Materials and Food Products. SanPiN (Sanitary Regulations and Standards): Moscow, Russia, 1992.
- Schiavo, D.; Neira, J.Y.; Nóbrega, J.A. Direct determination of Cd, Cu and Pb in wines and grape juices by thermospray flame furnace atomic absorption spectrometry. Talanta 2008, 76, 1113–1118. [Google Scholar] [CrossRef]
- Redan, B.W.; Jablonski, J.E.; Halverson, C.; Jaganathan, J.; Mabud, A.; Jackson, L.S. Factors Affecting Transfer of the Heavy Metals Arsenic, Lead, and Cadmium from Diatomaceous-Earth Filter Aids to Alcoholic Beverages during Laboratory-Scale Filtration. J. Agric. Food Chem. 2019, 67, 2670–2678. [Google Scholar] [CrossRef]
- Scutarașu, E.C.; Trincă, L.C. Heavy Metals in Foods and Beverages: Global Situation, Health Risks and Reduction Methods. Foods 2023, 12, 3340. [Google Scholar] [CrossRef]
- Annamalai, M.; Balu, M.; Alwarappan, S.; Lakshmanan, R. A Theoretical Approach to Understand the Nonlinear Processes in Enzymatic Electrochemical Biosensors. J. Phys. Chem. B 2024, 128, 6308–6316. [Google Scholar] [CrossRef] [PubMed]
- Arlyapov, V.A.; Kuznetsova, L.S.; Kharkova, A.S.; Provotorova, D.V.; Nenarochkina, E.D.; Kamanina, O.A.; Machulin, A.V.; Ponamoreva, O.N.; Alferov, V.A.; Reshetilov, A.N. On the Development of Reagent-free Conductive Nanocomposite Systems for the Modification of Printed Electrodes When Producing Glucose Biosensors. Nanobiotechnol. Rep. 2022, 17, 106–117. [Google Scholar] [CrossRef]
- Liu, M.; Yang, M.; Wang, M.; Wang, H.; Cheng, J. A Flexible Dual-Analyte Electrochemical Biosensor for Salivary Glucose and Lactate Detection. Biosensors 2022, 12, 210. [Google Scholar] [CrossRef] [PubMed]
- Wang, S.; Yao, Z.; Yang, T.; Zhang, Q.; Gao, F. An Enzymatic Electrode Integrated with Alcohol Dehydrogenase and Chloranil in Liquid-Crystalline Cubic Phases on Carbon Nanotubes for Sensitive Amperometric Detection of NADH and Ethanol. J. Electrochem. Soc. 2019, 166, G116–G121. [Google Scholar] [CrossRef]
- Wang, R.; Zhai, Q.; An, T.; Gong, S.; Cheng, W. Stretchable gold fiber-based wearable textile electrochemical biosensor for lactate monitoring in sweat. Talanta 2021, 222, 121484. [Google Scholar] [CrossRef]
- Kim, J.; Sempionatto, J.R.; Imani, S.; Hartel, M.C.; Barfidokht, A.; Tang, G.; Campbell, A.S.; Mercier, P.P.; Wang, J. Simultaneous Monitoring of Sweat and Interstitial Fluid Using a Single Wearable Biosensor Platform. Adv. Sci. 2018, 5, 1800880. [Google Scholar] [CrossRef]
- He, W.; Wang, C.; Wang, H.; Jian, M.; Lu, W.; Liang, X.; Zhang, X.; Yang, F.; Zhang, Y. Integrated textile sensor patch for real-time and multiplex sweat analysis. Sci. Adv. 2019, 5, eaax0649. [Google Scholar] [CrossRef]








| Redox Gel | Results of Cyclic Voltammetry | Impedance | |||||
|---|---|---|---|---|---|---|---|
| E, B | ks, s−1 | kint, L/mol⋅s | Rs, Ohm | Cdl, μF | αdl | Rct, MOhm | |
| BSA-NB | 0.5 | 0.024 ± 0.006 | 6300 ± 1200 | 295 | 0.08 | 0.92 | 10 |
| BSA-NR | −0.7 | 0.0012 ± 0.0001 | 5840 ± 60 | 264 | 0.09 | 0.91 | 3.6 |
| BSA-TH | −0.3 | 0.0090 ± 0.0006 | 2000 ± 100 | 298 | 0.07 | 0.92 | 12 |
| BSA-CB | −0.5 | 0.018 ± 0.004 | 2300 ± 100 | 257 | 0.10 | 0.89 | 6.6 |
| BSA-TB | −0.6 | 0.00077 ± 0.00004 | - | 261 | 0.15 | 0.89 | 1.8 |
| BSA-PHN | −0.5 | 0.00010 ± 0.00005 | 2000 ± 100 | 311 | 0.12 | 0.89 | 1.5 |
| BSA-SN | −0.6 | 0.0116 ± 0.0006 | 4300 ± 300 | 292 | 0.07 | 0.93 | 5.5 |
| BSA-AA | −0.3 | 0.045 ± 0.002 | 129 ± 6 | 276 | 0.18 | 0.94 | 1.4 |
| Parameter | BSA-NB-CNT /BSA-NB | BSA-NR-CNT /BSA-NR | Graphene Oxide Based Nanocomposite [47] | Electrode Based on Gold Nanoparticles [48] |
|---|---|---|---|---|
| Rate constant of heterogeneous electron transfer, (sm·s−1) | 0.022 ± 0.001 /0.024 ± 0.006 | 0.0020 ± 0.0001 /0.0012 ± 0.0001 | 3.5 | 1.01 |
| Rate constant of interaction with GOx, L/mol·s | 2000 ± 300 /6300 ± 1200 | 17,000 ± 2000 /2840 ± 60 | - * | - * |
| Receptor System | Advantages | Analyte | Main Characteristics | Ref. | |
|---|---|---|---|---|---|
| 1. | GOx/BSA-NR-CNT | Multichannel, portable, rapid, sensitive, long-term | Glucose | R: 0.035–0.60 mM; O: 2.7% T: 1–2 min; L: 30 days | This work |
| AOx/BSA-NR-CNT | Ethanol | R: 2.3–9 mM; O: 2.8% T: 1–2 min; L: 7 days | |||
| LOx/BSA-NR-CNT | Lactic acid | R: 15–57 mM; O: 7.6% T: 1–2 min; L: 7 days | |||
| Am + GOx/BSA-NR-CNT | Starch | R: 2–29 mg/L; O: 4.5% T: 1–2 min; L: 14 days. | |||
| 2. | GOx/BSA-NR | Rapid, sensitive, portable | Glucose | R: 0.6–2.7 mM; O: 1.6 %; T: 1–3 min; L: 12 days | [66] |
| 3. | GOx/BSA-ferrocene-CNT | Rapid, sensitive, portable | Glucose | R: 0.1–1.8 mM; O: 5.08 %; T: 1–3 min; L: 16 days | [66] |
| 4. | GOx/Ferrocene, BSA | Two channel, portable, rapid, sensitive | Glucose | R: 0–1.5 mM; L: 1 day | [67] |
| LOx/Ferrocene, BSA | Lactate | R: 0–2 mM; L: 1 day | |||
| 5. | GOx/reduced graphene oxide | Two channel, rapid, portable | Glucose | R: 2.0–100 mg/L (0.01–0.55 mM) | [26] |
| GOx + Am/reduced graphene oxide | Starch | R: 50–3500 mg/L | |||
| 6. | AOx/2,3,5,6-tetrachloro-1,4-benzoquinone, lipid layer, multi-walled carbon nanotubes | Rapid, sensitive, portable | Ethanol | R: 0.2–13 mM | [68] |
| 7. | LOx/Chitosan, gold nanoparticles | Rapid, sensitive, portable | Lactate | R: 0–30 mM | [69] |
| 8. | AOx/Chitosan | Two channel, portable, rapid, sensitive | Ethanol | R: 0–40 mM | [70] |
| GOx/Chitosan | Glucose | R: 0–0.16 mM | |||
| 9. | GOx/platinum nanoparticles | Two channel, portable, rapid, sensitive, long-term | Glucose | R: 0.025–0.300 mM; O: 4.2% L: 30 days | [71] |
| LOx/platinum nanoparticles | Lactate | R: 5–35 mM; O: 2.8% L: 30 days |
Disclaimer/Publisher’s Note: The statements, opinions and data contained in all publications are solely those of the individual author(s) and contributor(s) and not of MDPI and/or the editor(s). MDPI and/or the editor(s) disclaim responsibility for any injury to people or property resulting from any ideas, methods, instructions or products referred to in the content. |
© 2025 by the authors. Licensee MDPI, Basel, Switzerland. This article is an open access article distributed under the terms and conditions of the Creative Commons Attribution (CC BY) license (https://creativecommons.org/licenses/by/4.0/).
Share and Cite
Kharkova, A.; Kuznetsova, L.; Perchikov, R.; Gertsen, M.; Melnikov, P.; Zaitsev, N.; Zhang, J.; Arlyapov, V. Bionanocomposite Four-Channel Biosensor for Rapid and Convenient Monitoring of Glucose, Lactate, Ethanol and Starch. Gels 2025, 11, 355. https://doi.org/10.3390/gels11050355
Kharkova A, Kuznetsova L, Perchikov R, Gertsen M, Melnikov P, Zaitsev N, Zhang J, Arlyapov V. Bionanocomposite Four-Channel Biosensor for Rapid and Convenient Monitoring of Glucose, Lactate, Ethanol and Starch. Gels. 2025; 11(5):355. https://doi.org/10.3390/gels11050355
Chicago/Turabian StyleKharkova, Anna, Lyubov Kuznetsova, Roman Perchikov, Maria Gertsen, Pavel Melnikov, Nikolay Zaitsev, Jun Zhang, and Vyacheslav Arlyapov. 2025. "Bionanocomposite Four-Channel Biosensor for Rapid and Convenient Monitoring of Glucose, Lactate, Ethanol and Starch" Gels 11, no. 5: 355. https://doi.org/10.3390/gels11050355
APA StyleKharkova, A., Kuznetsova, L., Perchikov, R., Gertsen, M., Melnikov, P., Zaitsev, N., Zhang, J., & Arlyapov, V. (2025). Bionanocomposite Four-Channel Biosensor for Rapid and Convenient Monitoring of Glucose, Lactate, Ethanol and Starch. Gels, 11(5), 355. https://doi.org/10.3390/gels11050355

