Developing Biodegradable Films from Mango (Mangifera indica) Starch and Extract: A Rheological and Physical Study
Abstract
1. Introduction
2. Results and Discussion
2.1. Mango Peel Extract—MPE
2.2. Mango Starch
2.3. Film Forming Solution (FFS)
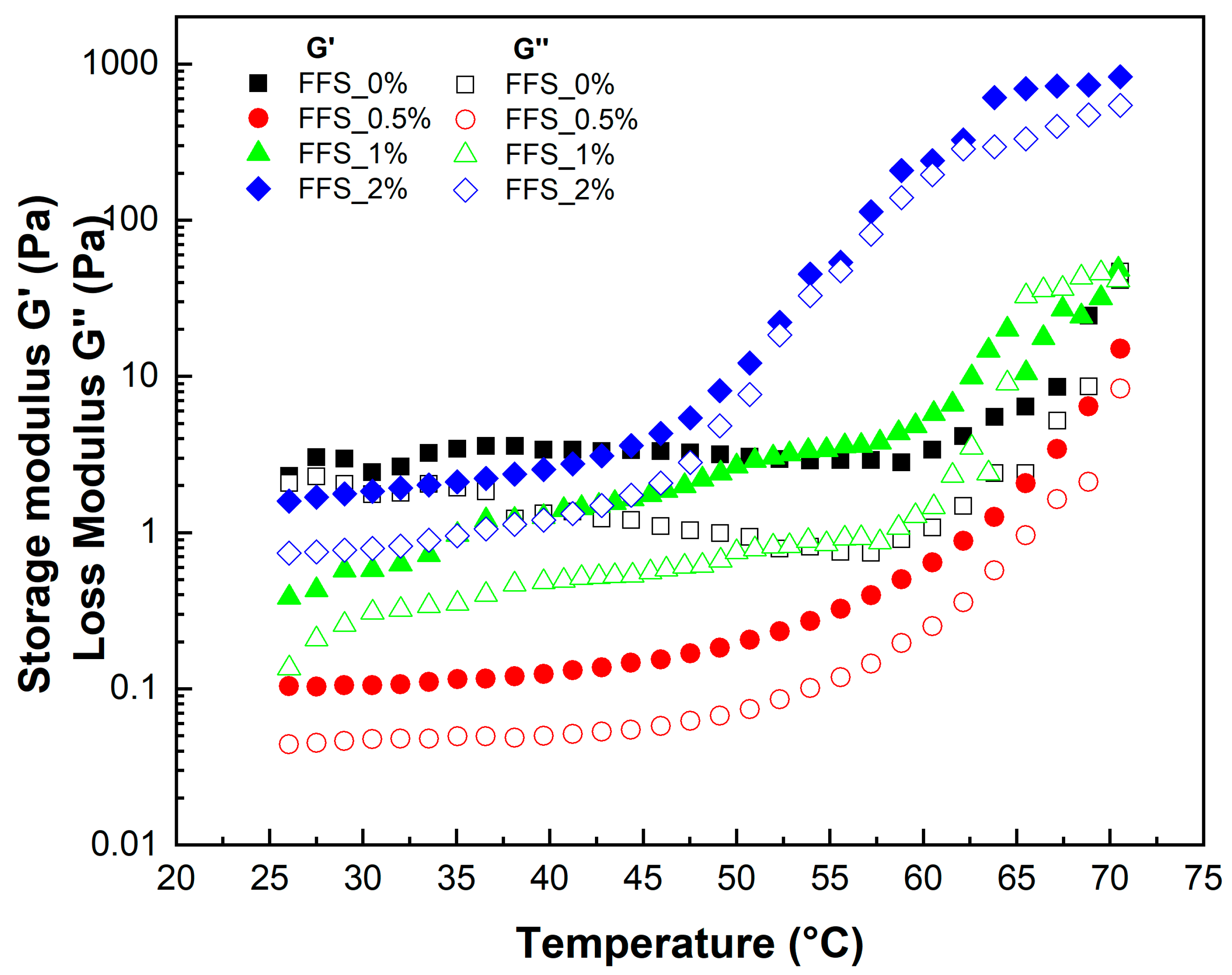
Rheological Properties of FFS and Modelling
2.4. Films
2.4.1. Film-Forming Capacity of Solutions
2.4.2. Physical Properties of Films
2.4.3. Optical Properties of Films
2.4.4. Total Phenolic Compounds (TPC) and Antioxidant Activity (AA)
3. Conclusions
4. Materials and Methods
4.1. Materials
4.2. Ultrasound Assisted Extraction of Mango Peel Extract
4.3. Determination of Total Phenolic Compounds and Antioxidant Capacity
4.4. Isolation of Mango Kernel Starch
4.5. Determination of Apparent Amylose
4.6. Preparation of Film-Forming Solutions
4.7. Rheological Characterization and Modelling of the FFS
4.7.1. Stress Sweep
4.7.2. Frequency Sweep
4.7.3. Temperature Sweep
4.7.4. Rheological Modelling
4.8. Preparation of Film
4.9. Film Characterization
4.9.1. Thickness
4.9.2. Mechanical Properties
4.9.3. Optical Properties
4.9.4. Solubility
4.9.5. Determination of Total Phenolic Compounds and Antioxidant Activity
4.10. Statistical Analysis
Author Contributions
Funding
Institutional Review Board Statement
Informed Consent Statement
Data Availability Statement
Conflicts of Interest
Abbreviations
| MPE | Mango peel extract |
| UAE | Ultrasound-assisted extraction |
| TPC | Total phenolic content |
| ABTS | Ability to scavenge |
| WS | Water solubility |
| TS | Tensile strength |
| EAB | Elongation at break |
References
- de Sadeleer, I.; Woodhouse, A. Environmental Impact of Biodegradable and Non-Biodegradable Agricultural Mulch Film: A Case Study for Nordic Conditions. Int. J. Life Cycle Assess. 2024, 29, 275–290. [Google Scholar] [CrossRef]
- Singh, A.K.; Itkor, P.; Lee, M.; Saenjaiban, A.; Lee, Y.S. Synergistic Integration of Carbon Quantum Dots in Biopolymer Matrices: An Overview of Current Advancements in Antioxidant and Antimicrobial Active Packaging. Molecules 2024, 29, 5138. [Google Scholar] [CrossRef] [PubMed]
- Stanley, J.; John, A.; Črešnar, K.P.; Zemljič, L.F.; Lambropoulou, D.A.; Bikiaris, D.N. Active Agents Incorporated in Polymeric Substrates to Enhance Antibacterial and Antioxidant Properties in Food Packaging Applications. Macromol 2022, 3, 1–27. [Google Scholar] [CrossRef]
- Yan, M.R.; Hsieh, S.; Ricacho, N. Innovative Food Packaging, Food Quality and Safety, and Consumer Perspectives. Processes 2022, 10, 747. [Google Scholar] [CrossRef]
- Deshmukh, R.K.; Gaikwad, K.K. Natural Antimicrobial and Antioxidant Compounds for Active Food Packaging Applications. Biomass Convers. Biorefinery 2022, 14, 4419–4440. [Google Scholar] [CrossRef]
- Silue, Y.; Fawole, O.A. Global Research Network Analysis of Edible Coatings and Films for Preserving Perishable Fruit Crops: Current Status and Future Directions. Foods 2024, 13, 2321. [Google Scholar] [CrossRef] [PubMed]
- Singh, A.K.; Ramakanth, D.; Kumar, A.; Lee, Y.S.; Gaikwad, K.K. Active Packaging Technologies for Clean Label Food Products: A Review. J. Food Meas. Charact. 2021, 15, 4314–4324. [Google Scholar] [CrossRef]
- Pei, J.; Palanisamy, C.P.; Srinivasan, G.P.; Panagal, M.; Kumar, S.S.D.; Mironescu, M. A Comprehensive Review on Starch-Based Sustainable Edible Films Loaded with Bioactive Components for Food Packaging. Int. J. Biol. Macromol. 2024, 274, 133332. [Google Scholar] [CrossRef]
- Marsiglia-Fuentes, R.; Franco, J.M.; García-Zapateiro, L.A. Mango (Mangifera indica) Seeds and Peel-Derived Hydrocolloids: Gelling Ability and Emulsion Stabilization. Food Bioprod. Process. 2024, 147, 70–81. [Google Scholar] [CrossRef]
- Mieles-Gómez, L.; Lastra-Ripoll, S.E.; Torregroza-Fuentes, E.; Quintana, S.E.; García-Zapateiro, L.A. Rheological and Microstructural Properties of Oil-in-Water Emulsion Gels Containing Natural Plant Extracts Stabilized with Carboxymethyl Cellulose/Mango (Mangifera indica) Starch. Fluids 2021, 6, 312. [Google Scholar] [CrossRef]
- Ponnusamy, A.; Khan, A.; Prodpran, T.; Kim, J.T.; Benjakul, S.; Rhim, J.W. Active Packaging Film Based on Chitosan/Gelatin Blend Incorporated with Mango Peel Carbon Dots: Properties and Shelf Life Extension of Minced Pork. Int. J. Biol. Macromol. 2025, 288, 138692. [Google Scholar] [CrossRef] [PubMed]
- Oluba, O.M.; Muthusamy, S.; Subbiah, N.; Palanisamy, T. Sustainable Packaging Using Aloe Vera Infused Mango Starch–Wool Keratin Biocomposite Films to Extend the Shelf Life of Mango. Sci. Rep. 2025, 15, 29098. [Google Scholar] [CrossRef] [PubMed]
- Liu, S.; Chen, Y.; Li, X.K.; Yao, Y.; Wang, H.; Wang, M. PH-Responsive Starch-Based Bilayer Film Functionalized with Alliin Loaded MIL-101 (Fe) for Active Food Packaging. Carbohydr. Polym. 2025, 357, 123431. [Google Scholar] [CrossRef] [PubMed]
- Zafra Ciprián, D.I.; Nevárez Moorillón, G.V.; Soto Simental, S.; Guzmán Pantoja, L.E.; López Hernández, L.H.; Santiago Castro, J.T.; Villalobos Delgado, L.H. Ataulfo Mango (Mangifera indica L.) Peel Extract as a Potential Natural Antioxidant in Ground Beef. Processes 2023, 11, 1772. [Google Scholar] [CrossRef]
- Elsayed, N.; Hassan, A.A.M.; Abdelaziz, S.M.; Abdeldaym, E.A.; Darwish, O.S. Effect of Whey Protein Edible Coating Incorporated with Mango Peel Extract on Postharvest Quality, Bioactive Compounds and Shelf Life of Broccoli. Horticulturae 2022, 8, 770. [Google Scholar] [CrossRef]
- Karnwal, A.; Rauf, A.; Jassim, A.Y.; Selvaraj, M.; Al-Tawaha, A.R.M.S.; Kashyap, P.; Kumar, D.; Malik, T. Advanced Starch-Based Films for Food Packaging: Innovations in Sustainability and Functional Properties. Food Chem. X 2025, 29, 102662. [Google Scholar] [CrossRef]
- Quintana, S.E.; Salas, S.; García-Zapateiro, L.A. Bioactive Compounds of Mango (Mangifera indica): A Review of Extraction Technologies and Chemical Constituents. J. Sci. Food Agric. 2021, 101, 6186–6192. [Google Scholar] [CrossRef]
- Agro-Food Waste, S.; Ragoubi, M.; Becquart, F.; de C Carnaval, L.S.; Jaiswal, A.K.; Jaiswal, S. Agro-Food Waste Valorization for Sustainable Bio-Based Packaging. J. Compos. Sci. 2024, 8, 41. [Google Scholar] [CrossRef]
- Dutta, D.; Sit, N. Comprehensive Review on Developments in Starch-Based Films along with Active Ingredients for Sustainable Food Packaging. Sustain. Chem. Pharm. 2024, 39, 101534. [Google Scholar] [CrossRef]
- Iversen, L.J.L.; Rovina, K.; Vonnie, J.M.; Matanjun, P.; Erna, K.H.; ‘Aqilah, N.M.N.; Felicia, W.X.L.; Funk, A.A. The Emergence of Edible and Food-Application Coatings for Food Packaging: A Review. Molecules 2022, 27, 5604. [Google Scholar] [CrossRef]
- Ferreira Gomes, C.C.; de Siqueira Oliveira, L.; Rodrigues, D.C.; Ribeiro, P.R.V.; Canuto, K.M.; Duarte, A.S.G.; Eça, K.S.; de Figueiredo, R.W. Evidence for Antioxidant and Anti-Inflammatory Potential of Mango (Mangifera indica L.) in Naproxen-Induced Gastric Lesions in Rat. J. Food Biochem. 2022, 46, e13880. [Google Scholar] [CrossRef]
- Amarachukwu Uzombah, T. The Implications of Replacing Synthetic Antioxidants with Natural Ones in the Food Systems. In Natural Food Additives; IntechOpen: London, UK, 2022. [Google Scholar]
- Dorta, E.; Lobo, M.G.; González, M. Using Drying Treatments to Stabilise Mango Peel and Seed: Effect on Antioxidant Activity. LWT 2012, 45, 261–268. [Google Scholar] [CrossRef]
- Ramírez-Brewer, D.; Quintana-Martinez, S.E.; García-Zapateiro, L.A. Obtaining and Characterization of Natural Extracts from Mango (Mangifera indica) Peel and Its Effect on the Rheological Behavior in New Mango Kernel Starch Hydrogels. Food Chem. 2025, 462, 140949. [Google Scholar] [CrossRef]
- Guandalini, B.B.V.; Rodrigues, N.P.; Marczak, L.D.F. Sequential Extraction of Phenolics and Pectin from Mango Peel Assisted by Ultrasound. Food Res. Int. 2019, 119, 455–461. [Google Scholar] [CrossRef]
- Vélez-Erazo, E.M.; Pasquel-Reátegui, J.L.; Dorronsoro-Guerrero, O.H.; Martínez-Correa, H.A. Phenolics and Carotenoids Recovery from Agroindustrial Mango Waste Using Microwave-assisted Extraction: Extraction and Modeling. J. Food Process Eng. 2021, 44, e13774. [Google Scholar] [CrossRef]
- Bertolo, M.R.V.; Martins, V.C.A.; Horn, M.M.; Brenelli, L.B.; Plepis, A.M.G. Rheological and Antioxidant Properties of Chitosan/Gelatin-Based Materials Functionalized by Pomegranate Peel Extract. Carbohydr. Polym. 2020, 228, 115386. [Google Scholar] [CrossRef] [PubMed]
- Lanjekar, K.J.; Rathod, V.K. Application of Ultrasound and Natural Deep Eutectic Solvent for the Extraction of Glycyrrhizic Acid from Glycyrrhiza glabra: Optimization and Kinetic Evaluation. Ind. Eng. Chem. Res. 2021, 60, 9532–9538. [Google Scholar] [CrossRef]
- Ramírez-Brewer, D.; Quintana, S.E.; García-Zapateiro, L.A. Modeling and Optimization of Microwave-Assisted Extraction of Total Phenolics Content from Mango (Mangifera indica) Peel Using Response Surface Methodology (RSM) and Artificial Neural Networks (ANN). Food Chem. X 2024, 22, 101420. [Google Scholar] [CrossRef]
- Lanjekar, K.J.; Gokhale, S.; Rathod, V.K. Utilization of Waste Mango Peels for Extraction of Polyphenolic Antioxidants by Ultrasound-Assisted Natural Deep Eutectic Solvent. Bioresour. Technol. Rep. 2022, 18, 101074. [Google Scholar] [CrossRef]
- Alañón, M.E.; Pimentel-Moral, S.; Arráez-Román, D.; Segura-Carretero, A. Profiling Phenolic Compounds in Underutilized Mango Peel By-Products from Cultivars Grown in Spanish Subtropical Climate over Maturation Course. Food Res. Int. 2021, 140, 109852. [Google Scholar] [CrossRef]
- Lastra-Ripoll, S.E.; Quintana, S.E.; García-Zapateiro, L.A. Yogurt Enriched with Mango Peel Extracts (Mangifera indica) in Chitosan–Xanthan Gum Dispersions: Physicochemical, Rheological, Stability, and Antioxidant Activity. Fluids 2023, 8, 259. [Google Scholar] [CrossRef]
- Castañeda-Valbuena, D.; Ayora-Talavera, T.; Luján-Hidalgo, C.; Álvarez-Gutiérrez, P.; Martínez-Galero, N.; Meza-Gordillo, R. Ultrasound Extraction Conditions Effect on Antioxidant Capacity of Mango By-Product Extracts. Food Bioprod. Process. 2021, 127, 212–224. [Google Scholar] [CrossRef]
- Sogi, D.S.; Siddiq, M.; Dolan, K.D. Total Phenolics, Carotenoids and Antioxidant Properties of Tommy Atkin Mango Cubes as Affected by Drying Techniques. LWT 2015, 62, 564–568. [Google Scholar] [CrossRef]
- Pereira, K.L.; Sampaio, C.D.G.; Martins, V.E.P.; Moreira Rebouças, L.; De Souza, J.S.N.; Santos, E.M.A. Antioxidant Activity And Determination Of Total Phenolics Of Natural Products From The Brazilian Flora. J. Appl. Pharm. Sci. Res. 2022, 5, 47–50. [Google Scholar] [CrossRef]
- Băbeanu, C. The Phenolic Compounds Content and Antioxidant Activity of Some Medicinal Plants. Ann. Univ. Craiova—Agric. Mont. Cadastre Ser. 2023, 52, 23–28. [Google Scholar] [CrossRef]
- Marcillo-Parra, V.; Anaguano, M.; Molina, M.; Tupuna-Yerovi, D.S.; Ruales, J. Characterization and Quantification of Bioactive Compounds and Antioxidant Activity in Three Different Varieties of Mango (Mangifera indica L.) Peel from the Ecuadorian Region Using HPLC-UV/VIS and UPLC-PDA. NFS J. 2021, 23, 1–7. [Google Scholar] [CrossRef]
- Ferraz, C.A.; Fontes, R.L.S.; Fontes-Sant’Ana, G.C.; Calado, V.; López, E.O.; Rocha-Leão, M.H.M. Extraction, Modification, and Chemical, Thermal and Morphological Characterization of Starch From the Agro-Industrial Residue of Mango (Mangifera indica L.) Var. Ubá. Starch—Stärke 2019, 71, 1800023. [Google Scholar] [CrossRef]
- Mieles-Gómez, L.; Quintana, S.E.; García-Zapateiro, L.A. Ultrasound-Assisted Extraction of Mango (Mangifera indica) Kernel Starch: Chemical, Techno-Functional, and Pasting Properties. Gels 2023, 9, 136. [Google Scholar] [CrossRef] [PubMed]
- Bharti, I.; Singh, S.; Saxena, D.C. Exploring the Influence of Heat Moisture Treatment on Physicochemical, Pasting, Structural and Morphological Properties of Mango Kernel Starches from Indian Cultivars. LWT 2019, 110, 197–206. [Google Scholar] [CrossRef]
- Akhter, M.J.; Sarkar, S.; Rayhanujjaman, M.; Kabir, M.S.; Hosain, M.M. Characterization of Mango Seed Kernel Starch: Extraction and Analysis. Food Chem. Adv. 2024, 5, 100806. [Google Scholar] [CrossRef]
- Martins, S.H.F.; Pontes, K.V.; Fialho, R.L.; Fakhouri, F.M. Extraction and Characterization of the Starch Present in the Avocado Seed (Persea Americana Mill) for Future Applications. J. Agric. Food Res. 2022, 8, 100303. [Google Scholar] [CrossRef]
- Bangar, S.P.; Kumar, M.; Whiteside, W.S.; Tomar, M.; Kennedy, J.F. Litchi (Litchi chinensis) Seed Starch: Structure, Properties, and Applications—A Review. Carbohydr. Polym. Technol. Appl. 2021, 2, 100080. [Google Scholar] [CrossRef]
- Ramírez-Brewer, D.; Méndez, D.A.; Garcia-Zapateiro, L.A.; López-Rubio, A.; Fabra, M.J. Rheological Properties, Microstructure and Stability of Oil-in-Water Emulsions Prepared with Mango Kernel Starch (Var. Sugar and Tommy). LWT 2024, 194, 115802. [Google Scholar] [CrossRef]
- Reuben-Kalu, J.I.; Kokiladevi, E.; Raveendran, M.; Uma, D.; Balasubramani, V.; Kavitha, P.S.; Patil, S.G.; Kingsley, T.L. Variability in Starch Content, Starch Granule Morphology and Size Distribution of Three Cassava (Manihot esculenta) Genotypes in Relation to Yield, at Different Planting Seasons. Agric. Sci. Dig. 2024, 44, 830–836. [Google Scholar] [CrossRef]
- Przetaczek-Rożnowska, I. Physicochemical Properties of Starches Isolated from Pumpkin Compared with Potato and Corn Starches. Int. J. Biol. Macromol. 2017, 101, 536–542. [Google Scholar] [CrossRef] [PubMed]
- Yu, J.-K.; Moon, Y.-S. Corn Starch: Quality and Quantity Improvement for Industrial Uses. Plants 2022, 11, 92. [Google Scholar] [CrossRef]
- Song, X.; Chen, J.; Deng, L.; Zhao, Q. Rheological, Textural, and Pasting Properties of A- and B-Type Wheat Starches in Relation to Their Molecular Structures. Food Chem. 2024, 460, 140810. [Google Scholar] [CrossRef]
- Seung, D. Amylose in Starch: Towards an Understanding of Biosynthesis, Structure and Function. New Phytol. 2020, 228, 1490–1504. [Google Scholar] [CrossRef]
- Chignola, R.; Mainente, F.; Zoccatelli, G. Rheology of Individual Chitosan and Polyphenol/Chitosan Microparticles for Food Engineering. Food Hydrocoll. 2022, 132, 107869. [Google Scholar] [CrossRef]
- Quintana, S.E.; Llalla, O.; García-zapateiro, L.A.; García-risco, M.R.; Fornari, T. Preparation and Characterization of Licorice-Chitosan Coatings for Postharvest Treatment of Fresh Strawberries. Appl. Sci. 2020, 10, 8431. [Google Scholar] [CrossRef]
- Ramos, A.M.; Ibarz, A. Comportamiento Viscoelástico de Pulpa de Membrillo En Función de La Concentración de Sólidos Solubles. Ciência Tecnol. Aliment. 2006, 26, 214–219. [Google Scholar] [CrossRef]
- Lastra Ripoll, S.E.; Quintana Martínez, S.E.; García Zapateiro, L.A. Rheological and Microstructural Properties of Xanthan Gum-Based Coating Solutions Enriched with Phenolic Mango (Mangifera indica) Peel Extracts. ACS Omega 2021, 6, 16119–16128. [Google Scholar] [CrossRef]
- Chou, S.; Meng, X.; Cui, H.; Zhang, S.; Wang, H.; Li, B. Rheological and Pasting Properties of Maize, Wheat and Rice Starch as Affected by Apple Polyphenols. Int. J. Food Prop. 2019, 22, 1786–1798. [Google Scholar] [CrossRef]
- Zare, Y.; Park, S.P.; Rhee, K.Y. Analysis of Complex Viscosity and Shear Thinning Behavior in Poly (Lactic Acid)/Poly (Ethylene Oxide)/Carbon Nanotubes Biosensor Based on Carreau–Yasuda Model. Results Phys. 2019, 13, 102245. [Google Scholar] [CrossRef]
- Bertolo, M.R.V.; Martins, V.D.C.A.; de Guzzi Plepis, A.M.; Junior, S.B. Acerola (Malpighia emarginata) and Açaí (Euterpe oleracea) Extracts as Active Compounds of Starch/Gelatin-Based Solutions: Rheological Characterization. Colloids Surf. A Physicochem. Eng. Asp. 2023, 676, 132288. [Google Scholar] [CrossRef]
- Ramirez-Brewer, D.; Montoya, O.D.; Vivero, J.U.; García-Zapateiro, L. Characterization and Modeling of the Viscoelastic Behavior of Hydrocolloid-Based Films Using Classical and Fractional Rheological Models. Fluids 2021, 6, 418. [Google Scholar] [CrossRef]
- Zhang, H.; Su, S.; Liu, S.; Qiao, C.; Wang, E.; Chen, H.; Zhang, C.; Yang, X.; Li, T. Effects of Chitosan and Cellulose Derivatives on Sodium Carboxymethyl Cellulose-Based Films: A Study of Rheological Properties of Film-Forming Solutions. Molecules 2023, 28, 5211. [Google Scholar] [CrossRef] [PubMed]
- Huang, Y.; Yao, Q.; Wang, R.; Wang, L.; Li, J.; Chen, B.; Liu, F.; Zeng, X.A. Development of Starch-Based Films with Enhanced Hydrophobicity and Antimicrobial Activity by Incorporating Alkyl Ketene Dimers and Chitosan for Mango Preservation. Food Chem. 2025, 467, 142314. [Google Scholar] [CrossRef]
- Wongphan, P.; Harnkarnsujarit, N. Characterization of Starch, Agar and Maltodextrin Blends for Controlled Dissolution of Edible Films. Int. J. Biol. Macromol. 2020, 156, 80–93. [Google Scholar] [CrossRef] [PubMed]
- Quah, S.P.; Smith, A.J.; Preston, A.N.; Laughlin, S.T.; Bhatia, S.R. Large-Area Alginate/PEO-PPO-PEO Hydrogels with Thermoreversible Rheology at Physiological Temperatures. Polymer 2018, 135, 171–177. [Google Scholar] [CrossRef]
- Morales-Contreras, B.E.; Rosas-Flores, W.; Contreras-Esquivel, J.C.; Wicker, L.; Morales-Castro, J. Pectin from Husk Tomato (Physalis Ixocarpa Brot.): Rheological Behavior at Different Extraction Conditions. Carbohydr. Polym. 2018, 179, 282–289. [Google Scholar] [CrossRef] [PubMed]
- Silva-Weiss, A.; Bifani, V.; Ihl, M.; Sobral, P.J.A.; Gómez-Guillén, M.C. Structural Properties of Films and Rheology of Film-Forming Solutions Based on Chitosan and Chitosan-Starch Blend Enriched with Murta Leaf Extract. Food Hydrocoll. 2013, 31, 458–466. [Google Scholar] [CrossRef]
- Hashemi, S.M.B.; Mousavi Khaneghah, A.; Ghaderi Ghahfarrokhi, M.; Eş, I. Basil-Seed Gum Containing Origanum Vulgare Subsp. Viride Essential Oil as Edible Coating for Fresh Cut Apricots. Postharvest Biol. Technol. 2017, 125, 26–34. [Google Scholar] [CrossRef]
- Choi, H.-J.; Choi, S.-W.; Lee, N.; Chang, H.-J. Antimicrobial Activity of Chitosan/Gelatin/Poly(Vinyl Alcohol) Ternary Blend Film Incorporated with Duchesnea Indica Extract in Strawberry Applications. Foods 2022, 11, 3963. [Google Scholar] [CrossRef]
- Garavand, F.; Rouhi, M.; Razavi, S.H.; Cacciotti, I.; Mohammadi, R. Improving the Integrity of Natural Biopolymer Films Used in Food Packaging by Crosslinking Approach: A Review. Int. J. Biol. Macromol. 2017, 104, 687–707. [Google Scholar] [CrossRef] [PubMed]
- Xue, F.; Zhao, M.; Liu, X.; Chu, R.; Qiao, Z.; Li, C.; Adhikari, B. Physicochemical Properties of Chitosan/Zein/Essential Oil Emulsion-Based Active Films Functionalized by Polyphenols. Future Foods 2021, 3, 100033. [Google Scholar] [CrossRef]
- Mileti, O.; Mammolenti, D.; Baldino, N.; Lupi, F.R.; Gabriele, D. Starch Films Loaded with Tannin: The Study of Rheological and Physical Properties. Int. J. Biol. Macromol. 2024, 254, 127973. [Google Scholar] [CrossRef]
- Bhat, V.G.; Narasagoudr, S.S.; Masti, S.P.; Chougale, R.B.; Vantamuri, A.B.; Kasai, D. Development and Evaluation of Moringa Extract Incorporated Chitosan/Guar Gum/Poly (Vinyl Alcohol) Active Films for Food Packaging Applications. Int. J. Biol. Macromol. 2022, 200, 50–60. [Google Scholar] [CrossRef]
- More, P.R.; Pegu, K.; Arya, S.S. Development and Characterization of Taro Starch-Casein Composite Bioactive Films Functionalized by Micellar Pomegranate Peel Extract (MPPE). Int. J. Biol. Macromol. 2022, 220, 1060–1071. [Google Scholar] [CrossRef]
- Zhu, F. Polysaccharide Based Films and Coatings for Food Packaging: Effect of Added Polyphenols. Food Chem. 2021, 359, 129871. [Google Scholar] [CrossRef]
- Kumar, Y.; Bist, Y.; Thakur, D.; Nagar, M.; Saxena, D.C. A Review on the Role of PH-Sensitive Natural Pigments in Biopolymers Based Intelligent Food Packaging Films. Int. J. Biol. Macromol. 2024, 276, 133869. [Google Scholar] [CrossRef]
- Prommachart, R.; Belem, T.S.; Uriyapongson, S.; Rayas-Duarte, P.; Uriyapongson, J.; Ramanathan, R. The Effect of Black Rice Water Extract on Surface Color, Lipid Oxidation, Microbial Growth, and Antioxidant Activity of Beef Patties during Chilled Storage. Meat Sci. 2020, 164, 108091. [Google Scholar] [CrossRef] [PubMed]
- Kola, V.; Carvalho, I.S. Plant Extracts as Additives in Biodegradable Films and Coatings in Active Food Packaging. Food Biosci. 2023, 54, 102860. [Google Scholar] [CrossRef]
- Kaur, J.; Singh, J.; Rasane, P.; Gupta, P.; Kaur, S.; Sharma, N.; Sowdhanya, D. Natural Additives as Active Components in Edible Films and Coatings. Food Biosci. 2023, 53, 102689. [Google Scholar] [CrossRef]
- Syarifuddin, A.; Muflih, M.H.; Izzah, N.; Fadillah, U.; Ainani, A.F.; Dirpan, A. Pectin-Based Edible Films and Coatings: From Extraction to Application on Food Packaging towards Circular Economy—A Review. Carbohydr. Polym. Technol. Appl. 2025, 9, 100680. [Google Scholar] [CrossRef]
- Zhang, Z.-H.; Chen, J.; Huang, X.; Aadil, R.M.; Li, B.; Gao, X. Natural Pigments in the Food Industry: Enhancing Stability, Nutritional Benefits, and Gut Microbiome Health. Food Chem. 2024, 460, 140514. [Google Scholar] [CrossRef] [PubMed]
- Adilah, A.N.; Jamilah, B.; Noranizan, M.A.; Hanani, Z.A.N. Utilization of Mango Peel Extracts on the Biodegradable Films for Active Packaging. Food Packag. Shelf Life 2018, 16, 1–7. [Google Scholar] [CrossRef]
- Cejudo, C.; Ferreiro, M.; Romera, I.; Casas, L.; Mantell, C. Functional, Physical, and Volatile Characterization of Chitosan/Starch Food Films Functionalized with Mango Leaf Extract. Foods 2023, 12, 2977. [Google Scholar] [CrossRef]
- Rambabu, K.; Bharath, G.; Banat, F.; Show, P.L.; Cocoletzi, H.H. Mango Leaf Extract Incorporated Chitosan Antioxidant Film for Active Food Packaging. Int. J. Biol. Macromol. 2019, 126, 1234–1243. [Google Scholar] [CrossRef]
- Mondal, K.; Bhattacharjee, S.K.; Mudenur, C.; Ghosh, T.; Goud, V.V.; Katiyar, V. Development of Antioxidant-Rich Edible Active Films and Coatings Incorporated with de-Oiled Ethanolic Green Algae Extract: A Candidate for Prolonging the Shelf Life of Fresh Produce. RSC Adv. 2022, 12, 13295–13313. [Google Scholar] [CrossRef]
- Vieira, D.M.; Andrade, M.A.; Vilarinho, F.; Silva, A.S.; Rodrigues, P.V.; Castro, M.C.R.; Machado, A.V. Mono and Multilayer Active Films Containing Green Tea to Extend Food Shelf Life. Food Packag. Shelf Life 2022, 33, 100918. [Google Scholar] [CrossRef]
- Dewi Subramaniam, S.; Hajar Abd Rahim, S.; Abdul Halim, L.; Basrawi, F.; Aini Mohd Azman, N. Study on Bee Bread Extracts as Active Ingredients in SGC-Active Film for Food Packaging Application. Mater. Today Proc. 2023, 72, 1083–1089. [Google Scholar] [CrossRef]
- Kučuk, N.; Primožič, M.; Kotnik, P.; Knez, Ž.; Leitgeb, M. Mango Peels as an Industrial By-Product: A Sustainable Source of Compounds with Antioxidant, Enzymatic, and Antimicrobial Activity. Foods 2024, 13, 553. [Google Scholar] [CrossRef] [PubMed]
- Singleton, V.L.; Orthofer, R.; Lamuela-Raventós, R.M. Analysis of Total Phenols and Other Oxidation Substrates and Antioxidants by Means of Folin-Ciocalteu Reagent. Methods Enzymol. 1999, 299, 152–178. [Google Scholar] [CrossRef]
- Re, R.; Pellegrini, N.; Proteggente, A.; Pannala, A.; Yang, M.; Rice-Evans, C. Antioxidant Activity Applying an Improved ABTS Radical Cation Decolorization Assay. Free Radic. Biol. Med. 1999, 26, 1231–1237. [Google Scholar] [CrossRef] [PubMed]
- Morrison, W.R.; Laignelet, B. An Improved Colorimetric Procedure for Determining Apparent and Total Amylose in Cereal and Other Starches. J. Cereal Sci. 1983, 1, 9–20. [Google Scholar] [CrossRef]
- Kowalczyk, D.; Szymanowska, U.; Skrzypek, T.; Bartkowiak, A.; Materska, M.; Łupina, K. Release of Fireweed Extract (Epilobium angustifolium L.) from Corn Starch- and Methylcellulose-Based Films—A Comparative Study. Food Hydrocoll. 2021, 120, 106887. [Google Scholar] [CrossRef]
- Niu, X.; Ma, Q.; Li, S.; Wang, W.; Ma, Y.; Zhao, H.; Sun, J.; Wang, J. Preparation and Characterization of Biodegradable Composited Films Based on Potato Starch/Glycerol/Gelatin. J. Food Qual. 2021, 2021, 6633711. [Google Scholar] [CrossRef]
- ASTM D882-91; Standard Test Method for Tensile Properties of Thin Plastic Sheeting. ASTM International: West Conshohocken, PA, USA, 1997.
- Velásquez, P.; Montenegro, G.; Valenzuela, L.M.; Giordano, A.; Cabrera-Barjas, G.; Martin-Belloso, O. K-Carrageenan Edible Films for Beef: Honey and Bee Pollen Phenolic Compounds Improve Their Antioxidant Capacity. Food Hydrocoll. 2022, 124, 107250. [Google Scholar] [CrossRef]
- Yan, W.; Han, Y.; Hou, Y.; Wang, D.; Yu, M. Effects of Polyvinyl Alcohol Incorporation on the Physical and Antioxidant Properties of Soy Protein Isolate/Xanthoceras Sorbifolia Husk Extract Active Films. Food Biosci. 2023, 55, 102962. [Google Scholar] [CrossRef]



| Sample Code | ||||||
|---|---|---|---|---|---|---|
| FFS_0% | 20.831 a | 11.968 a | 0.968 | 0.164 | 0.999 | |
| FFS_0.5% | 156.388 b | 64.697 b | 0.578 | 0.106 | 0.999 | |
| FFS_1% | 199.723 c | 79.858 c | 1.164 | 0.092 | 0.999 | |
| FFS_2% | 12.529 d | 13.093 d | 0.912 | 0.192 | 0.999 |
| Sample Code | Rheological Model | ||||
|---|---|---|---|---|---|
| Maxwell N = 1 | Maxwell N = 2 | Maxwell N = 3 | Maxwell One Springpots | Maxwell Two Springpots | |
| FFS_0% | 48.704 | 4.891 | 4.854 | 3.860 | 0.109 |
| FFS_0.5% | 48.888 | 3.263 | 3.640 | 6.247 | 0.277 |
| FFS_1% | 47.761 | 3.192 | 3.073 | 2.735 | 0.160 |
| FFS_2% | 51.440 | 4.553 | 1.095 | 2.605 | 0.249 |
| Sample Code | ||||
|---|---|---|---|---|
| (Pa) | (s) | |||
| FFS_0% | 1.182 a | 225.795 a | 0.635 | 0.164 |
| FFS_0.5% | 1.744 b | 243.676 b | 0.385 | 0.154 |
| FFS_1% | 2.051 c | 286.830 c | 0.753 | 0.107 |
| FFS_2% | 0.308 d | 355.968 d | 0.739 | 0.269 |
| Sample Code | |||
|---|---|---|---|
| (°C) | (Pa) | (Pa) | |
| FFS_0% | 60.48 a | 46.85 a | 41.42 a |
| FFS_0.5% | 58.94 b | 15.02 d | 8.35 b |
| FFS_1% | 62.58 c | 48.32 c | 45.83 c |
| FFS_2% | 42.79 d | 826.52 d | 542.51 d |
| Sample Code | Thickness (mm) | TS (Pa) | EAB (%) | WS (%) |
|---|---|---|---|---|
| FFS_0% | 0.277 ± 0.018 a | 1177.24 ± 58.17 a | 27.58 ± 6.46 a | 29.77 ± 1.07 a |
| FFS_0.5% | 0.247 ± 0.046 a | 1395.88 ± 29.28 b | 46.61 ± 1.42 b | 18.14 ± 1.19 b |
| FFS_1% | 0.239 ± 0.028 a | 1740.36 ± 37.92 c | 46.77 ± 0.81 b | 15.57 ± 1.50 c |
| FFS_2% | 0.239 ± 0.045 a | 1816.71 ± 60.65 c | 50.33 ± 4.88 b | 13.53 ± 1.19 c |
| Sample Code | Opacity | ||||
|---|---|---|---|---|---|
| FFS_0% | 56.98 ± 1.74 a | 13.10 ± 0.83 ac | 26.60 ± 1.86 a | - | 2.45 ± 0.20 a |
| FFS_0.5% | 52.55 ± 2.30 b | 8.02 ± 0.38 b | 34.90 ± 0.68 b | 11.05 ± 0.77 a | 2.90 ± 0.24 b |
| FFS_1% | 41.85 ± 1.63 c | 14.23 ± 0.42 a | 38.20 ± 0.95 c | 19.16 ± 0.39 b | 3.30 ± 0.05 c |
| FFS_2% | 35.45 ± 2.48 d | 12.53 ± 1.30 c | 38.39 ± 1.41 c | 24.64 ± 3.09 c | 3.95 ± 0.05 d |
| Sample Code | TPC | AA |
|---|---|---|
| (mg GAE g−1 of Film) | (µMol Trolox g−1 of Film) | |
| FFS_0% | 0.19 ± 0.03 a | 0.28 ± 0.01 a |
| FFS_0.5% | 1.90 ± 0.19 b | 10.52 ± 0.10 b |
| FFS_1% | 3.60 ± 0.10 c | 16.86 ± 0.45 c |
| FFS_2% | 4.65 ± 0.09 d | 20.16 ± 0.27 d |
Disclaimer/Publisher’s Note: The statements, opinions and data contained in all publications are solely those of the individual author(s) and contributor(s) and not of MDPI and/or the editor(s). MDPI and/or the editor(s) disclaim responsibility for any injury to people or property resulting from any ideas, methods, instructions or products referred to in the content. |
© 2025 by the authors. Licensee MDPI, Basel, Switzerland. This article is an open access article distributed under the terms and conditions of the Creative Commons Attribution (CC BY) license (https://creativecommons.org/licenses/by/4.0/).
Share and Cite
Lastra-Ripoll, S.E.; Mieles-Gómez, L.; Ramirez-Brewer, D.; Marsiglia-Fuentes, R.; Quintana, S.E.; García-Zapateiro, L.A. Developing Biodegradable Films from Mango (Mangifera indica) Starch and Extract: A Rheological and Physical Study. Gels 2025, 11, 825. https://doi.org/10.3390/gels11100825
Lastra-Ripoll SE, Mieles-Gómez L, Ramirez-Brewer D, Marsiglia-Fuentes R, Quintana SE, García-Zapateiro LA. Developing Biodegradable Films from Mango (Mangifera indica) Starch and Extract: A Rheological and Physical Study. Gels. 2025; 11(10):825. https://doi.org/10.3390/gels11100825
Chicago/Turabian StyleLastra-Ripoll, Santander E., Luis Mieles-Gómez, David Ramirez-Brewer, Ronald Marsiglia-Fuentes, Somaris E. Quintana, and Luis A. García-Zapateiro. 2025. "Developing Biodegradable Films from Mango (Mangifera indica) Starch and Extract: A Rheological and Physical Study" Gels 11, no. 10: 825. https://doi.org/10.3390/gels11100825
APA StyleLastra-Ripoll, S. E., Mieles-Gómez, L., Ramirez-Brewer, D., Marsiglia-Fuentes, R., Quintana, S. E., & García-Zapateiro, L. A. (2025). Developing Biodegradable Films from Mango (Mangifera indica) Starch and Extract: A Rheological and Physical Study. Gels, 11(10), 825. https://doi.org/10.3390/gels11100825

