Hybrid Alginate-Based Polysaccharide Aerogels Microparticles for Drug Delivery: Preparation, Characterization, and Performance Evaluation
Abstract
1. Introduction
2. Results and Discussion
2.1. Morphology and Textural Properties
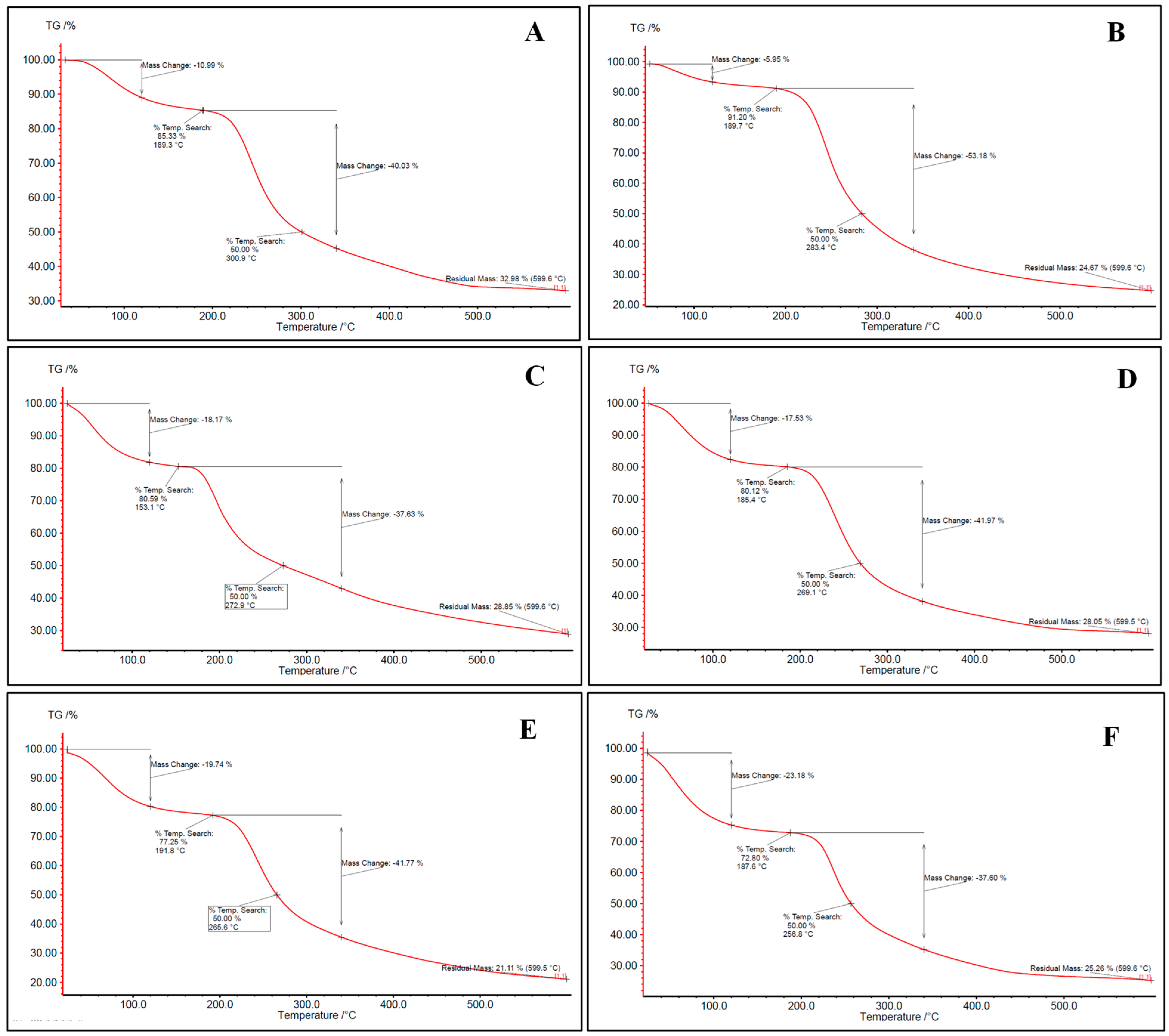
2.2. Thermogravimetric Analysis (TGA)
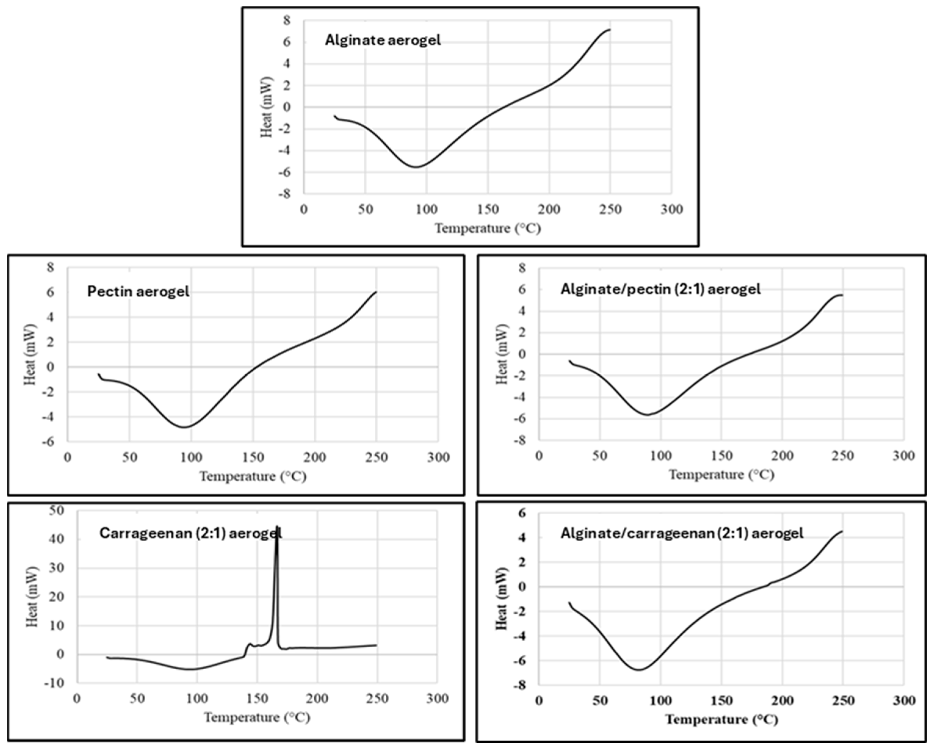
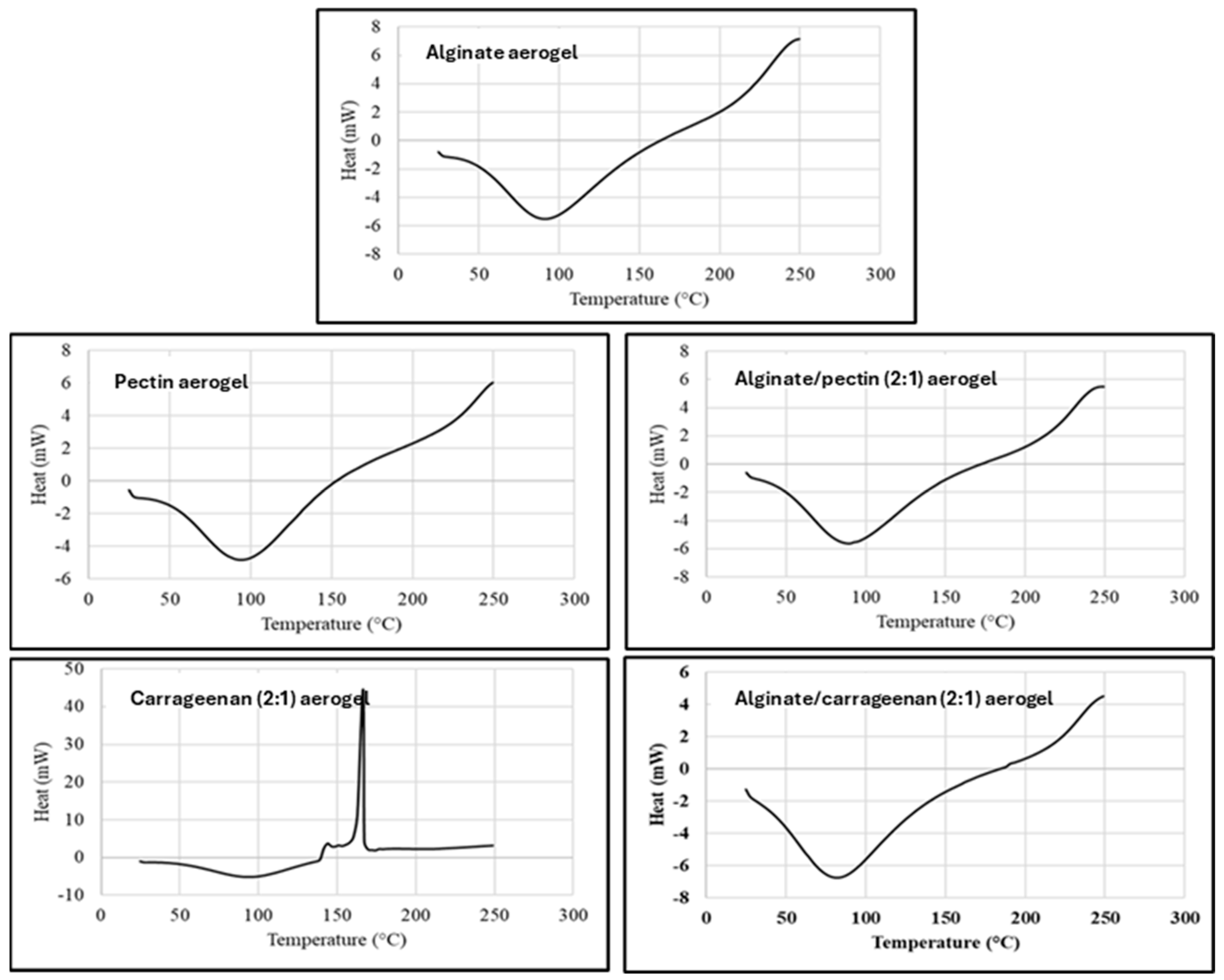
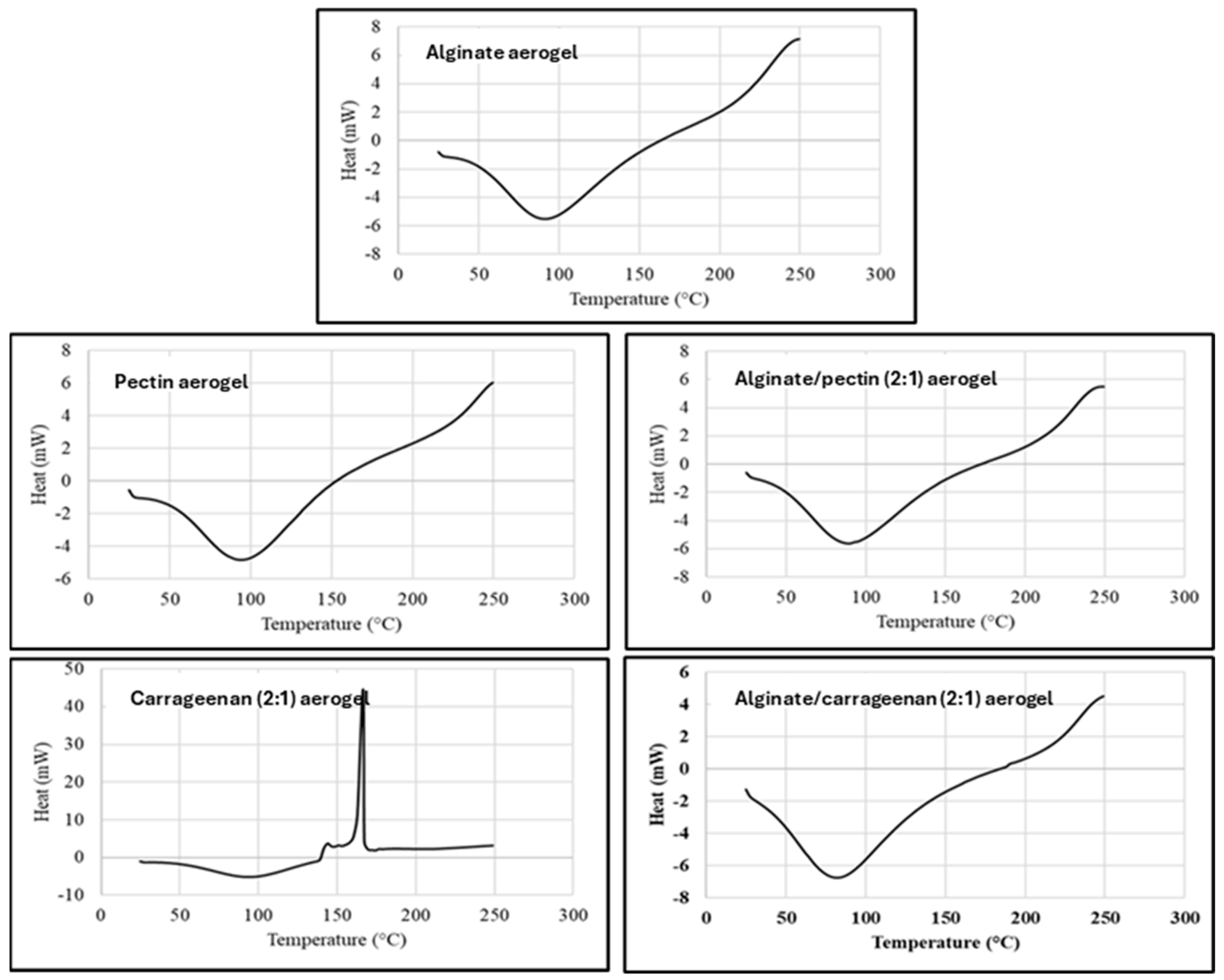
2.3. Differential Scanning Calorimetry (DSC)
2.4. Loading the Aerogels with Ibuprofen
2.4.1. Loading Efficiency
2.4.2. Ibuprofen In Vitro Release Study
2.4.3. Physiochemical Characterization (XRD and FTIR)
XRD Patterns
FTIR Analysis
3. Conclusions
4. Materials and Methods
4.1. Materials
4.2. Methods
4.2.1. Preparation of Single Polymer Gels Using the Emulsification Method
4.2.2. Preparation of Hybrids of Alginate/Biopolymer Gels
4.2.3. Solvent Exchange
4.2.4. Supercritical Drying
4.2.5. Drug Loading
4.3. Physicochemical Characterizations of Aerogel Aerogels
4.3.1. Scanning Electron Microscopy (SEM)
4.3.2. Specific Surface Area and Porosity
4.3.3. Thermogravimetric Analysis (TGA)
4.3.4. Differential Scanning Calorimetry (DSC)
4.4. Loading of the Prepared Aerogels with Ibuprofen
Loading Efficiency
4.5. Physicochemical Characterization of Drug-Loaded Aerogels
4.5.1. Drug Dissolution Study
4.5.2. XRD Patterns
4.5.3. Fourier Transform Infrared (FTIR) Spectra
Author Contributions
Funding
Institutional Review Board Statement
Informed Consent Statement
Data Availability Statement
Conflicts of Interest
References
- Ozesme Taylan, G.; Illanes-Bordomás, C.; Guven, O.; Erkan, E.; Erünsal, S.Ç.; Oztop, M.H.; García-González, C.A. Core-Shell Aerogel Design for Enhanced Oral Insulin Delivery. Int. J. Pharm. 2025, 669, 125038. [Google Scholar] [CrossRef] [PubMed]
- García-González, C.A.; Sosnik, A.; Kalmár, J.; De Marco, I.; Erkey, C.; Concheiro, A.; Alvarez-Lorenzo, C. Aerogels in Drug Delivery: From Design to Application. J. Control. Release 2021, 332, 40–63. [Google Scholar] [CrossRef]
- Anas Al Tahan, M.; Marwah, M.; El-Zein, H.; Al Tahan, S.; Sanchez-Aranguren, L. Exploring Mesoporous Silica Microparticles in Pharmaceutical Sciences: Drug Delivery and Therapeutic Insights. Int. J. Pharm. 2025, 678, 125656. [Google Scholar] [CrossRef]
- Shi, W.; Ching, Y.C.; Chuah, C.H. Preparation of Aerogel Beads and Microspheres Based on Chitosan and Cellulose for Drug Delivery: A Review. Int. J. Biol. Macromol. 2021, 170, 751–767. [Google Scholar] [CrossRef] [PubMed]
- García-González, C.A.; Alnaief, M.; Smirnova, I. Polysaccharide-Based Aerogels—Promising Biodegradable Carriers for Drug Delivery Systems. Carbohydr. Polym. 2011, 86, 1425–1438. [Google Scholar] [CrossRef]
- Illanes-Bordomás, C.; Landin, M.; García-González, C.A. Aerogels as Carriers for Oral Administration of Drugs: An Approach towards Colonic Delivery. Pharmaceutics 2023, 15, 2639. [Google Scholar] [CrossRef]
- Li, Y.; Liu, X.; Liu, Z.; Wang, S.; Kong, F. Fabrication of Controllable Structure of Nanocellulose Composite Aerogel for Targeted Drug Delivery. Carbohydr. Polym. 2025, 358, 123518. [Google Scholar] [CrossRef]
- Deng, Z.; Liu, H.; Chen, G.; Deng, H.; Dong, X.; Wang, L.; Tao, F.; Dai, F.; Cheng, Y. Coaxial Nanofibrous Aerogel Featuring Porous Network-Structured Channels for Ovarian Cancer Treatment by Sustained Release of Chitosan Oligosaccharide. Int. J. Biol. Macromol. 2024, 276, 133824. [Google Scholar] [CrossRef]
- Ajdary, R.; Tardy, B.L.; Mattos, B.D.; Bai, L.; Rojas, O.J. Plant Nanomaterials and Inspiration from Nature: Water Interactions and Hierarchically Structured Hydrogels. Adv. Mater. 2021, 33, 2001085. [Google Scholar] [CrossRef] [PubMed]
- Liu, F.; Liu, X.; Chen, F.; Fu, Q. Mussel-Inspired Chemistry: A Promising Strategy for Natural Polysaccharides in Biomedical Applications. Prog. Polym. Sci. 2021, 123, 101472. [Google Scholar] [CrossRef]
- Alsmadi, M.M.; Jaradat, M.M.; Obaidat, R.M.; Alnaief, M.; Tayyem, R.; Idkaidek, N. The In Vitro, In Vivo, and PBPK Evaluation of a Novel Lung-Targeted Cardiac-Safe Hydroxychloroquine Inhalation Aerogel. AAPS PharmSciTech 2023, 24, 172. [Google Scholar] [CrossRef]
- Obaidat, R.M.; Alnaief, M.; Mashaqbeh, H. Investigation of Carrageenan Aerogel Microparticles as a Potential Drug Carrier. AAPS PharmSciTech 2018, 19, 2226–2236. [Google Scholar] [CrossRef] [PubMed]
- Alnaief, M.; Obaidat, R.M.; Alsmadi, M.M. Preparation of Hybrid Alginate-Chitosan Aerogel as Potential Carriers for Pulmonary Drug Delivery. Polymers 2020, 12, 2223. [Google Scholar] [CrossRef]
- Menon, J.U.; Ravikumar, P.; Pise, A.; Gyawali, D.; Hsia, C.C.W.; Nguyen, K.T. Polymeric Nanoparticles for Pulmonary Protein and DNA Delivery. Acta Biomater. 2014, 10, 2643–2652. [Google Scholar] [CrossRef]
- Gurikov, P.; Smirnova, I. Amorphization of Drugs by Adsorptive Precipitation from Supercritical Solutions: A Review. J. Supercrit. Fluids 2017, 132, 105–125. [Google Scholar] [CrossRef]
- Ho, D.-K.; Costa, A.; De Rossi, C.; de Souza Carvalho-Wodarz, C.; Loretz, B.; Lehr, C.-M. Polysaccharide Submicrocarrier for Improved Pulmonary Delivery of Poorly Soluble Anti-Infective Ciprofloxacin: Preparation, Characterization, and Influence of Size on Cellular Uptake. Mol. Pharm. 2018, 15, 1081–1096. [Google Scholar] [CrossRef]
- García-González, C.A.; Jin, M.; Gerth, J.; Alvarez-Lorenzo, C.; Smirnova, I. Polysaccharide-Based Aerogel Microspheres for Oral Drug Delivery. Carbohydr. Polym. 2015, 117, 797–806. [Google Scholar] [CrossRef] [PubMed]
- Maleki, H.; Durães, L.; García-González, C.A.; del Gaudio, P.; Portugal, A.; Mahmoudi, M. Synthesis and Biomedical Applications of Aerogels: Possibilities and Challenges. Adv. Colloid Interface Sci. 2016, 236, 1–27. [Google Scholar] [CrossRef] [PubMed]
- Wang, X.; Wang, J.; Feng, S.; Zhang, Z.; Wu, C.; Zhang, X.; Kang, F. Nano-Porous Silica Aerogels as Promising Biomaterials for Oral Drug Delivery of Paclitaxel. J. Biomed. Nanotechnol. 2019, 15, 1532–1545. [Google Scholar] [CrossRef]
- Tahara, K.; Sakai, T.; Yamamoto, H.; Takeuchi, H.; Hirashima, N.; Kawashima, Y. Improved Cellular Uptake of Chitosan-Modified PLGA Nanospheres by A549 Cells. Int. J. Pharm. 2009, 382, 198–204. [Google Scholar] [CrossRef]
- Martins, M.; Barros, A.A.; Quraishi, S.; Gurikov, P.; Raman, S.P.; Smirnova, I.; Duarte, A.R.C.; Reis, R.L. Preparation of Macroporous Alginate-Based Aerogels for Biomedical Applications. J. Supercrit. Fluids 2015, 106, 152–159. [Google Scholar] [CrossRef]
- Barros, A.; Quraishi, S.; Martins, M.; Gurikov, P.; Subrahmanyam, R.; Smirnova, I.; Duarte, A.R.C.; Reis, R.L. Hybrid Alginate-Based Cryogels for Life Science Applications. Chem. Ing. Tech. 2016, 88, 1770–1778. [Google Scholar] [CrossRef]
- Jia, M.; Li, Z.-B.; Chu, H.-T.; Li, L.; Chen, K.-Y. Alginate-Chitosan Microspheres for Controlled Drug Delivery of Diltiazem Hydrochloride in Cardiac Diseases. J. Biomater. Tissue Eng. 2015, 5, 246–251. [Google Scholar] [CrossRef]
- Takka, S.; Gürel, A. Evaluation of Chitosan/Alginate Beads Using Experimental Design: Formulation and In Vitro Characterization. AAPS PharmSciTech 2010, 11, 460–466. [Google Scholar] [CrossRef]
- Li, P.; Dai, Y.-N.; Zhang, J.-P.; Wang, A.-Q.; Wei, Q. Chitosan-Alginate Nanoparticles as a Novel Drug Delivery System for Nifedipine. Int. J. Biomed. Sc.i 2008, 4, 221–228. [Google Scholar] [CrossRef]
- Yahya, E.B. Aerogels Architectures: Emulating Biological Nano-Structures from Cellular Foundations to Organ Complexity. Nano-Struct. Nano-Objects 2024, 39, 101289. [Google Scholar] [CrossRef]
- Duong, T.; López-Iglesias, C.; Szewczyk, P.K.; Stachewicz, U.; Barros, J.; Alvarez-Lorenzo, C.; Alnaief, M.; García-González, C.A. A Pathway from Porous Particle Technology Toward Tailoring Aerogels for Pulmonary Drug Administration. Front. Bioeng. Biotechnol. 2021, 9, 671381. [Google Scholar] [CrossRef]
- Liu, Z.; Jiao, Y.; Wang, Y.; Zhou, C.; Zhang, Z. Polysaccharides-Based Nanoparticles as Drug Delivery Systems. Adv. Drug Deliv. Rev. 2008, 60, 1650–1662. [Google Scholar] [CrossRef]
- Abdul Khalil, H.P.S.; Bashir Yahya, E.; Jummaat, F.; Adnan, A.S.; Olaiya, N.G.; Rizal, S.; Abdullah, C.K.; Pasquini, D.; Thomas, S. Biopolymers Based Aerogels: A Review on Revolutionary Solutions for Smart Therapeutics Delivery. Prog. Mater. Sci. 2023, 131, 101014. [Google Scholar] [CrossRef]
- Alavi, F.; Ciftci, O.N. Boosting Curcumin Bioavailability with Egg White Protein Aerogels: A Sustainable Supercritical CO2-Based Approach for Enhanced Bioaccessibility, Antioxidant Activity, and Anti-Inflammatory Effects. Future Foods 2025, 11, 100532. [Google Scholar] [CrossRef]
- Veres, P.; López-Periago, A.M.; Lázár, I.; Saurina, J.; Domingo, C. Hybrid Aerogel Preparations as Drug Delivery Matrices for Low Water-Solubility Drugs. Int. J. Pharm. 2015, 496, 360–370. [Google Scholar] [CrossRef]
- Zhu, Y.; Li, H.; Peng, C.; Ma, J.; Huang, S.; Wang, R.; Wu, B.; Xiong, Q.; Peng, D.; Huang, S.; et al. Application of Protein/Polysaccharide Aerogels in Drug Delivery System: A Review. Int. J. Biol. Macromol. 2023, 247, 125727. [Google Scholar] [CrossRef] [PubMed]
- Xu, J.; Wu, Q.; Wang, J.; Liu, Y.; Liu, K.; Xia, M.; Wang, D. Advanced Alginate-Based Nanofiber Aerogels: A Synthetic Matrix for High-Efficiency Lysozyme Adsorption and Controlled Release. Int. J. Biol. Macromol. 2024, 280, 135974. [Google Scholar] [CrossRef]
- Gonçalves, V.S.S.; Gurikov, P.; Poejo, J.; Matias, A.A.; Heinrich, S.; Duarte, C.M.M.; Smirnova, I. Alginate-Based Hybrid Aerogel Microparticles for Mucosal Drug Delivery. Eur. J. Pharm. Biopharm. 2016, 107, 160–170. [Google Scholar] [CrossRef]
- Noreen, S.; Ma, J.-X.; Saeed, M.; Pervaiz, F.; Hanif, M.F.; Ahmed, B.; Farooq, M.I.; Akram, F.; Safdar, M.; Madni, A.; et al. Natural Polysaccharide-Based Biodegradable Polymeric Platforms for Transdermal Drug Delivery System: A Critical Analysis. Drug Deliv. Transl. Res. 2022, 12, 2649–2666. [Google Scholar] [CrossRef] [PubMed]
- Cao, L.; Lu, W.; Mata, A.; Nishinari, K.; Fang, Y. Egg-Box Model-Based Gelation of Alginate and Pectin: A Review. Carbohydr. Polym. 2020, 242, 116389. [Google Scholar] [CrossRef]
- Joergensen, L.; Klösgen, B.; Simonsen, A.; Borch, J.; Hagesaether, E. New Insights into the Mucoadhesion of Pectins by AFM Roughness Parameters in Combination with SPR. Int. J. Pharm. 2011, 411, 162–168. [Google Scholar] [CrossRef] [PubMed]
- Alnaief, M.; Alzaitoun, M.A.; García-González, C.A.; Smirnova, I. Preparation of Biodegradable Nanoporous Microspherical Aerogel Based on Alginate. Carbohydr. Polym. 2011, 84, 1011–1018. [Google Scholar] [CrossRef]
- Zhang, H.; Cheng, J.; Ao, Q. Preparation of Alginate-Based Biomaterials and Their Applications in Biomedicine. Mar. Drugs 2021, 19, 264. [Google Scholar] [CrossRef]
- Horvat, G.; Žvab, K.; Knez, Ž.; Novak, Z. Hybrid Polylactic-Acid–Pectin Aerogels: Synthesis, Structural Properties, and Drug Release. Polymers 2023, 15, 407. [Google Scholar] [CrossRef]
- Groult, S.; Budtova, T. Tuning Structure and Properties of Pectin Aerogels. Eur. Polym. J. 2018, 108, 250–261. [Google Scholar] [CrossRef]
- Chen, K.; Zhang, H. Alginate/Pectin Aerogel Microspheres for Controlled Release of Proanthocyanidins. Int. J. Biol. Macromol. 2019, 136, 936–943. [Google Scholar] [CrossRef]
- Horvat, G.; Fajfar, T.; Perva Uzunalić, A.; Knez, Ž.; Novak, Z. Thermal Properties of Polysaccharide Aerogels. J. Therm. Anal. Calorim. 2017, 127, 363–370. [Google Scholar] [CrossRef]
- Siboro, S.A.P.; Anugrah, D.S.B.; Ramesh, K.; Park, S.-H.; Kim, H.-R.; Lim, K.T. Tunable Porosity of Covalently Crosslinked Alginate-Based Hydrogels and Its Significance in Drug Release Behavior. Carbohydr. Polym. 2021, 260, 117779. [Google Scholar] [CrossRef]
- Illanes-Bordomás, C.; Landin, M.; García-González, C.A. Novel Core–Shell Aerogel Formulation for Drug Delivery Based on Alginate and Konjac Glucomannan: Rational Design Using Artificial Intelligence Tools. Polymers 2025, 17, 1919. [Google Scholar] [CrossRef] [PubMed]
- Xie, F.; Ji, S.; Cheng, Z. In Vitro Dissolution Similarity Factor (F2) and in Vivo Bioequivalence Criteria, How and When Do They Match? Using a BCS Class II Drug as a Simulation Example. Eur. J. Pharm. Sci. 2015, 66, 163–172. [Google Scholar] [CrossRef]
- Lovskaya, D.; Menshutina, N. Alginate-Based Aerogel Particles as Drug Delivery Systems: Investigation of the Supercritical Adsorption and In Vitro Evaluations. Materials 2020, 13, 329. [Google Scholar] [CrossRef]
- Veres, P.; Sebők, D.; Dékány, I.; Gurikov, P.; Smirnova, I.; Fábián, I.; Kalmár, J. A Redox Strategy to Tailor the Release Properties of Fe(III)-Alginate Aerogels for Oral Drug Delivery. Carbohydr. Polym. 2018, 188, 159–167. [Google Scholar] [CrossRef]
- Li, Y.; Fan, R.; Xing, H.; Fei, Y.; Cheng, J.; Lu, L. Study on Swelling and Drug Releasing Behaviors of Ibuprofen-Loaded Bimetallic Alginate Aerogel Beads with pH-Responsive Performance. Colloids Surf. B Biointerfaces 2021, 205, 111895. [Google Scholar] [CrossRef]
- Akgün, I.S.; Ulker, Z.; Demir, E.; Işık, M.; Ekmekçiyan, N.; Darvishi, S.; Karaz, S.; Şenses, E.; Erkey, C. Enteric Coating of Drug Loaded Aerogel Particles in a Wurster Fluidized Bed and Its Effect on Release Behaviour. J. Drug Deliv. Sci. Technol. 2023, 82, 104279. [Google Scholar] [CrossRef]
- Yuliandra, Y.; Zaini, E.; Syofyan, S.; Pratiwi, W.; Putri, L.; Pratiwi, Y.; Arifin, H. Cocrystal of Ibuprofen–Nicotinamide: Solid-State Characterization and In Vivo Analgesic Activity Evaluation. Sci. Pharm. 2018, 86, 23. [Google Scholar] [CrossRef]
- Mehling, T.; Smirnova, I.; Guenther, U.; Neubert, R.H.H. Polysaccharide-Based Aerogels as Drug Carriers. J. Non-Cryst. Solids 2009, 355, 2472–2479. [Google Scholar] [CrossRef]
- Gorle, B.S.K.; Smirnova, I.; Arlt, W. Adsorptive Crystallization of Benzoic Acid in Aerogels from Supercritical Solutions. J. Supercrit. Fluids 2010, 52, 249–257. [Google Scholar] [CrossRef]
- Ray, R.; Maity, S.; Mandal, S.; Chatterjee, T.K.; Sa, B. Development and Evaluation of a New Interpenetrating Network Bead of Sodium Carboxymethyl Xanthan and Sodium Alginate. Pharmacol. Amp Pharm. 2010, 01, 9–17. [Google Scholar] [CrossRef]
- Ramukutty, S.; Ramachandran, E. Growth, Spectral and Thermal Studies of Ibuprofen Crystals. Cryst. Res. Technol. 2012, 47, 31–38. [Google Scholar] [CrossRef]
- Santos-Rosales, V.; Alvarez-Rivera, G.; Hillgärtner, M.; Cifuentes, A.; Itskov, M.; García-González, C.A.; Rege, A. Stability Studies of Starch Aerogel Formulations for Biomedical Applications. Biomacromolecules 2020, 21, 5336–5344. [Google Scholar] [CrossRef]
- Ganesan, K.; Budtova, T.; Ratke, L.; Gurikov, P.; Baudron, V.; Preibisch, I.; Niemeyer, P.; Smirnova, I.; Milow, B. Review on the Production of Polysaccharide Aerogel Particles. Materials 2018, 11, 2144. [Google Scholar] [CrossRef] [PubMed]
- López-Iglesias, C.; Barros, J.; Ardao, I.; Gurikov, P.; Monteiro, F.J.; Smirnova, I.; Alvarez-Lorenzo, C.; García-González, C.A. Jet Cutting Technique for the Production of Chitosan Aerogel Microparticles Loaded with Vancomycin. Polymers 2020, 12, 273. [Google Scholar] [CrossRef]
- Alnaief, M. Process Development for Production of Aerogels with Controlled Morphology as Potential Drug Carrier Systems. PhD Thesis, Hamburg University of Technology, Hamburg, Germany, 2011. [Google Scholar]
- Alnaief, M.; Obaidat, R.; Mashaqbeh, H. Loading and Evaluation of Meloxicam and Atorvastatin in Carrageenan Microspherical Aerogels Particles. J. Appl. Pharm. Sci. 2019, 9, 83–88. [Google Scholar] [CrossRef]
- Alnaief, M.; Obaidat, R.; Mashaqbeh, H. Effect of Processing Parameters on Preparation of Carrageenan Aerogel Microparticles. Carbohydr. Polym. 2018, 180, 264–275. [Google Scholar] [CrossRef]
- Cascone, S. Modeling and Comparison of Release Profiles: Effect of the Dissolution Method. Eur. J. Pharm. Sci. 2017, 106, 352–361. [Google Scholar] [CrossRef] [PubMed]







| Sample Name | Surface Area (m2/g) | Pore Size (nm) | Pore Volume (cm3/g) |
|---|---|---|---|
| ALG | 521 | 21.35 | 3.40 |
| PEC | 321 | 12.41 | 2.01 |
| CAR | 233 | 13.90 | 1.99 |
| AP1 | 365 | 17.41 | 2.31 |
| AP2 | 431 | 22.50 | 2.81 |
| AP3 | 356 | 13.65 | 1.85 |
| AP4 | 413 | 16.32 | 2.55 |
| AC1 | 315 | 14.24 | 2.98 |
| AC2 | 385 | 17.24 | 3.52 |
| Sample | Ibuprofen Loading % | Loading Efficiency | f2 | Korsmeyer–Peppas | |
|---|---|---|---|---|---|
| R2 | n Value | ||||
| ALG | 16.7 ± 1.5 | 83.5 a | 78.8 | 0.996 | 0.025 |
| PEC | 11.6 ± 1.7 | 58.0 b | 23.2 | 0.993 | 0.108 |
| AP3 | 12.3 ± 1.8 | 61.5 b | 43.6 | 0.999 | 0.023 |
| AC2 | 18.7 ± 1.1 | 93.5 a | 64.9 | 0.996 | 0.030 |
| System | Surface Area (m2/g) | Loading Efficiency (%) | % Release @ 15 min | f2 vs. Tablet | Notes |
|---|---|---|---|---|---|
| ALG (this work) | 521 | 83.5 | >90 | 78.8 | High porosity, fast release |
| PEC (this work) | 321 | 58.0 | <75 (120 min) | 23.2 | Low porosity, slow release |
| AC2 (ALG/κ-CAR 2:1, this work) | 385 | 93.5 | >90 | 64.9 | Synergistic hybrid, tablet-like release |
| AP3 (ALG/PEC 3:1, this work) | 356 | 61.5 | ~85 | 55.3 | Hybrid improves PEC performance |
| Alginate Aerogel Particles | ~512 | Up to ~30 (various drugs, including ketoprofen) | ~70 (estimated from fast release vs. crystalline) | – | High porosity, amorphous stable 6 months; [47] |
| Fe(III)-Alginate Aerogel Beads | ~316–442 | 36–41 (ibuprofen) | ~30–50 (pH 7.4 faster than 2.0; estimated, accelerated with ascorbic) | – | Redox-responsive; high porosity; [48] |
| Bimetallic Alginate (Ca2+/Ba2+, Ibuprofen) | Not reported (Porosity: 58–79%) | Up to 95 (ibuprofen) | ~40–50 (intestinal pH 7.2, from 96.9% in 1 h) | – | pH-responsive, fast intestinal release; [49] |
| Alginate Aerogels (Enteric Coated) | Not reported (>200 implied) | High (ibuprofen, reviewed) | <10 (no release pH 1.2, starts pH 7.4) | – | enteric coating via Wurster; porosity >90% [50] |
| Commercial Ibuprofen Tablet | N/A | N/A | >85 (reference profile) | – | Benchmark for dissolution performance |
| Sample Name | Biopolymer/s Type | Biopolymeric Ratio |
|---|---|---|
| ALG | Alginate | 100% |
| PEC | Pectin | 100% |
| CAR | Carrageenan | 100% |
| AP1 | Alginate/pectin (q = 1) 0.0913 g CaCO3/g pectin | 1:1 |
| AP2 | 2:1 | |
| AP3 | Alginate/pectin (q = 2) 0.1825 g CaCO3/g pectin | 1:1 |
| AP4 | 2:1 | |
| AC1 | Alginate/carrageenan | 1:1 |
| AC2 | 2:1 |
Disclaimer/Publisher’s Note: The statements, opinions and data contained in all publications are solely those of the individual author(s) and contributor(s) and not of MDPI and/or the editor(s). MDPI and/or the editor(s) disclaim responsibility for any injury to people or property resulting from any ideas, methods, instructions or products referred to in the content. |
© 2025 by the authors. Licensee MDPI, Basel, Switzerland. This article is an open access article distributed under the terms and conditions of the Creative Commons Attribution (CC BY) license (https://creativecommons.org/licenses/by/4.0/).
Share and Cite
Alnaief, M.; Mohammad, B.; Altarawneh, I.; Alkhatib, D.; Al-Hamamre, Z.; Mashaqbeh, H.; Bani-Melhem, K.; Obeidat, R. Hybrid Alginate-Based Polysaccharide Aerogels Microparticles for Drug Delivery: Preparation, Characterization, and Performance Evaluation. Gels 2025, 11, 775. https://doi.org/10.3390/gels11100775
Alnaief M, Mohammad B, Altarawneh I, Alkhatib D, Al-Hamamre Z, Mashaqbeh H, Bani-Melhem K, Obeidat R. Hybrid Alginate-Based Polysaccharide Aerogels Microparticles for Drug Delivery: Preparation, Characterization, and Performance Evaluation. Gels. 2025; 11(10):775. https://doi.org/10.3390/gels11100775
Chicago/Turabian StyleAlnaief, Mohammad, Balsam Mohammad, Ibrahem Altarawneh, Dema Alkhatib, Zayed Al-Hamamre, Hadeia Mashaqbeh, Khalid Bani-Melhem, and Rana Obeidat. 2025. "Hybrid Alginate-Based Polysaccharide Aerogels Microparticles for Drug Delivery: Preparation, Characterization, and Performance Evaluation" Gels 11, no. 10: 775. https://doi.org/10.3390/gels11100775
APA StyleAlnaief, M., Mohammad, B., Altarawneh, I., Alkhatib, D., Al-Hamamre, Z., Mashaqbeh, H., Bani-Melhem, K., & Obeidat, R. (2025). Hybrid Alginate-Based Polysaccharide Aerogels Microparticles for Drug Delivery: Preparation, Characterization, and Performance Evaluation. Gels, 11(10), 775. https://doi.org/10.3390/gels11100775

