Viscoelastic Reversibility of Carrageenan Hydrogels under Large Amplitude Oscillatory Shear: Hybrid Carrageenans versus Blends
Abstract
1. Introduction
2. Results and Discussion
2.1. Chemical-Physical Characteristics of Hybrid Carrageenans
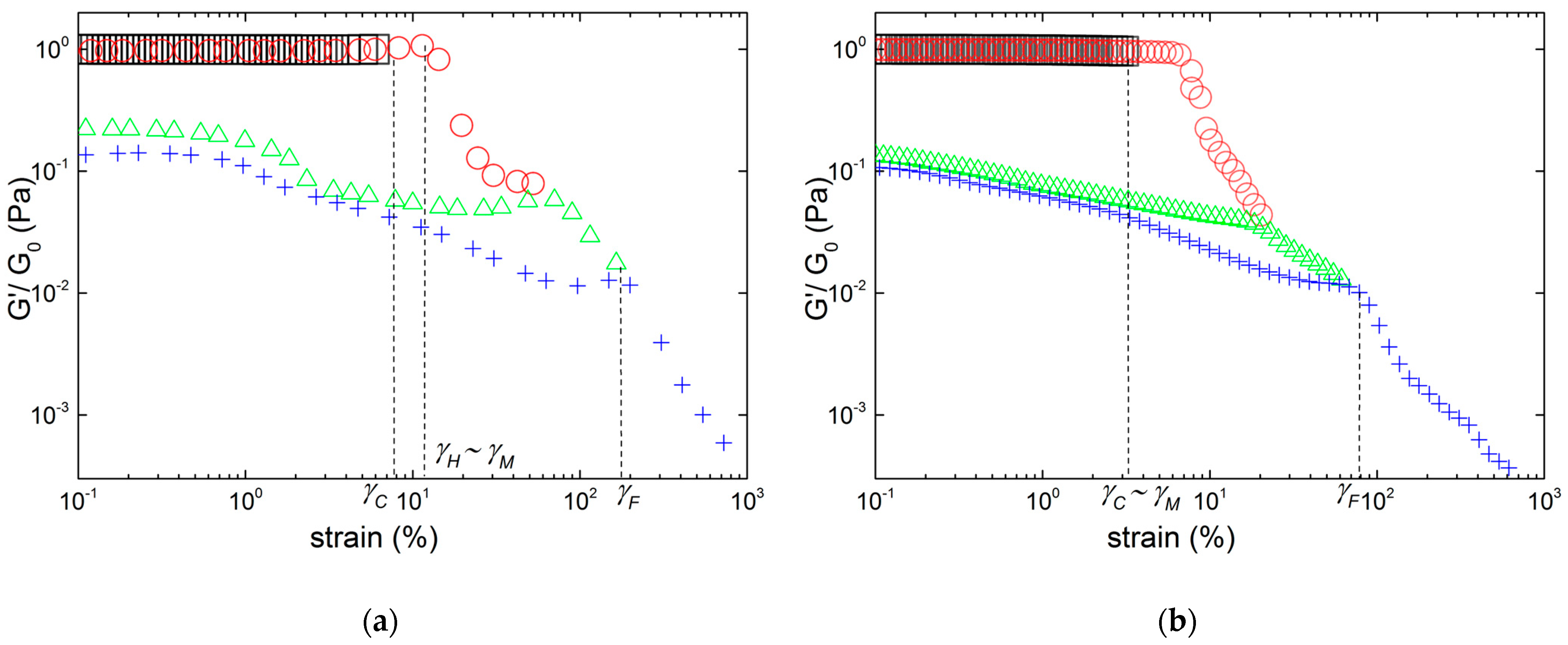
2.2. LAOS Behavior: Strain Hardening versus Strain Softening
2.3. LAOS Reversibility
2.4. Effect of Salt
3. Conclusions
4. Materials and Methods
4.1. Materials
4.2. Carrageenan Extraction and Characterization
4.3. Rheometry
Author Contributions
Funding
Institutional Review Board Statement
Informed Consent Statement
Data Availability Statement
Acknowledgments
Conflicts of Interest
References
- Porse, H.; Rudolph, B. The Seaweed hydrocolloid Industry: 2016 Updates, Requirements and Outlook. J. Appl. Phycol. 2017, 29, 2187–2200. [Google Scholar] [CrossRef]
- Kokkuvayil Ramadas, B.; Rhim, J.-W.; Roy, S. Recent Progress of Carrageenan-based Composite Films in Active and Intelligent Food Packaging Applications. Polymers 2024, 16, 1001. [Google Scholar] [CrossRef] [PubMed]
- Liu, F.; Hou, P.F.; Zhang, H.; Tang, Q.J.; Xue, C.H. Food-grade Carrageenans and Their Implications in Health and Disease. Compr. Rev. Food Sci. Food. Saf. 2021, 20, 3918–3936. [Google Scholar] [CrossRef] [PubMed]
- Ferdiansyah, R.; Abdassah, M.; Zainuddin, A.; Rachmaniar, R.; Chaerunisaa, A.Y. Effects of Alkaline Solvent Type and pH on Solid Physical Properties of Carrageenan from Eucheuma cottonii. Gels 2023, 9, 397. [Google Scholar] [CrossRef] [PubMed]
- Ficko-Blean, E.; Hervé, C.; Michel, G. Sweet and Sour Sugars from the Sea: The Biosynthesis and Remodeling of Sulfated Cell Wall Polysaccharides from Marine Macroalgae. Perspect. Phycol. 2015, 2, 51–64. [Google Scholar] [CrossRef]
- Souza, H.K.S.; Kraiem, W.; Ben Yahia, A.; Aschi, A.; Hilliou, L. From Seaweeds to Hydrogels: Recent Progress in Kappa-2 Carrageenans. Materials 2023, 16, 5387. [Google Scholar] [CrossRef] [PubMed]
- Van de Velde, F. Structure and Function of Hybrid Carrageenans. Food Hydrocoll. 2008, 22, 727–734. [Google Scholar] [CrossRef]
- van de Velde, F.; Pereira, L.; Rollema, H.S. The Revised NMR Chemical Shift Data of Carrageenans. Carbohydr. Res. 2004, 339, 2309–2313. [Google Scholar] [CrossRef]
- Karoyo, A.H.; Wilson, L.D. Physicochemical Properties and the Gelation Process of Supramolecular Hydrogels: A Review. Gels 2017, 3, 1. [Google Scholar] [CrossRef]
- Hilliou, L. Structure–Elastic properties Relationships in Gelling Carrageenans. Polymers 2021, 13, 4120. [Google Scholar] [CrossRef]
- Piculell, L. Gelling Carrageenans. In Food Polysaccharides and Their Applications, 2nd ed.; Stephen, A.M., Phillips, G.O., Williams, P.A., Eds.; CRC Press: Boca Raton, FL, USA, 2006; pp. 239–287. [Google Scholar]
- Diener, M.; Adamcik, J.; Sánchez-Ferrer, A.; Jaedig, F.; Schefer, L.; Mezzenga, R. Primary, Secondary, Tertiary and Quaternary Structure Levels in Linear Polysaccharides: From Random Coil, to Single Helix to Supramolecular Assembly. Biomacromolecules 2019, 20, 1731–1739. [Google Scholar] [CrossRef]
- Flores, S.L.; Descallar, F.B.A.; Matsukawa, S.; Bacabac, R.G. Dynamic Rheological Properties of Mixed Carrageenan Gels under Large Strains. J. Biorheol. 2017, 31, 35–39. [Google Scholar] [CrossRef][Green Version]
- Noguchi, S.; Kobayashi, T. Ultrasound Viscoelastic Properties of Biomass Polysaccharide Hydrogels as Evaluated by Rheometer Equipped with Sono-Device. Gels 2022, 8, 172. [Google Scholar] [CrossRef]
- Bahari, A.; Moelants, K.; Huc-Mathis, D.; Wallecan, J.; Mangiante, G.; Mazoyer, J.; Hendrickx, M.; Grauwet, T. Compositional and Rheological Analysis of Carrageenan from the Gametophyte Phase of the Red Seaweed Chondrus crispus Neutrally Extracted at Varying Temperatures and Times. Food Hydrocoll. 2022, 133, 107995. [Google Scholar] [CrossRef]
- Hilliou, L.; Wilhelm, M.; Yamanoi, M.; Gonçalves, M.P. Structural and Mechanical Characterization of Kappa/Iota-hybrid Carrageenan Gels in Potassium Salt Using Fourier Transform Rheology. Food Hydrocoll. 2009, 23, 2322–2330. [Google Scholar] [CrossRef]
- Geonzon, L.C.; Hashimoto, K.; Oda, T.; Matsukawa, S.; Mayumi, K. Elaborating Spatiotemporal Hierarchical Structure of Carrageenan Gels and Their Mixtures during Sol–Gel Transition. Macromolecules 2023, 56, 8676–8687. [Google Scholar] [CrossRef]
- Azevedo, G.; Bernardo, G.; Hilliou, L. NaCl and KCl phase diagrams of kappa/iota-hybrid carrageenans extracted from Mastocarpus stellatus. Food Hydrocoll. 2014, 37, 116–123. [Google Scholar] [CrossRef]
- Torres, M.D.; Azevedo, G.; Hilliou, L. Phase diagrams of hybrid carrageenans extracted from Ahnfeltiopsis devoniensis and Chondrus crispus. Carbohydr. Polym. 2016, 136, 449–458. [Google Scholar] [CrossRef]
- Bhattacharyya, T.; Palla, C.S.; Dethe, D.H.; Joshi, Y.M. Rheological Investigation of the Network Structure in Mixed Gels of Kappa and Iota Carrageenan. Food Hydrocoll. 2024, 146, 109298. [Google Scholar] [CrossRef]
- Van de Velde, F.; Rollema, R.S.; Grinberg, N.V.; Burova, T.V.; Grinberg, V.Y.; Tromp, R.H. Coil-helix Transition of ι-carrageenan as a Function of Chain Regularity. Biopolymers 2002, 65, 299–312. [Google Scholar] [CrossRef]
- Souza, H.K.S.; Hilliou, L.; Bastos, M.; Gonçalves, M.P. Effect of Molecular Weight and Chemical Structure on Thermal and Rheological Properties of Gelling κ/ι-hybrid Carrageenan Solutions. Carbohydr. Polym. 2011, 85, 429–438. [Google Scholar] [CrossRef]
- Bahari, A.; Moelants, K.; Wallecan, J.; Mangiante, G.; Mazoyer, J.; Hendrickx, M.; Grauwet, T. Understanding the Effect of Time, Temperature and Salts on Carrageenan Extraction from Chondrus crispus. Algal Res. 2021, 58, 102371. [Google Scholar] [CrossRef]
- Doi, M.; Kuzuu, N.Y. Nonlinear Elasticity of Rodlike Macromolecules in Condensed State. J. Polym. Sci. Polym. Phys. 1980, 18, 409–419. [Google Scholar] [CrossRef]
- Storm, C.; Pastore, J.J.; MacKintosh, F.C.; Lubensky, T.C.; Janmey, P.A. Nonlinear elasticity in biological gels. Nature 2005, 435, 191–194. [Google Scholar] [CrossRef]
- Carrillo, J.-M.Y.; MacKintosh, F.C.; Dobrynin, A.V. Nonlinear Elasticity: From Single Chain to Networks and Gels. Macromolecules 2013, 46, 3679–3692. [Google Scholar] [CrossRef]
- Meng, F.; Terentjev, E.M. Theory of Semiflexible Filaments and Networks. Polymers 2017, 9, 52. [Google Scholar] [CrossRef]
- Mao, B.; Divoux, T.; Snabre, P. Normal force controlled rheology applied to agar gelation. J. Rheol. 2016, 60, 473–489. [Google Scholar] [CrossRef]
- Hyun, K.; Wilhelm, K.; Klein, C.O.; Cho, K.S.; Nam, J.G.; Ahn, K.H.; Lee, S.J.; Ewoldt, R.H.; McKinley, G.H. A review of nonlinear oscillatory shear tests: Analysis and application of large amplitude oscillatory shear (LAOS). Prog. Polym. Sci. 2011, 36, 1697–1753. [Google Scholar] [CrossRef]
- Brenner, T.; Tuvikene, R.; Parker, A.; Matsukawa, S.; Nishinari, K. Rheology and structure of mixed kappa-carrageenan/iota-carrageenan gels. Food Hydrocoll. 2014, 39, 272–279. [Google Scholar] [CrossRef]
- Parker, A.; Brigand, G.; Miniou, C.; Trespoey, A.; Vallée, P. Rheology and fracture of mixed ι- and κ-carrageenan gels: Two-step gelation. Carbohydr. Polym. 1993, 20, 253–262. [Google Scholar] [CrossRef]
- Piculell, L.; Nilsson, S.; Muhrbeck, P. Effects of small amounts of kappa-carrageenan on the rheology of aqueous iota-carrageenan. Carbohydr. Polym. 1992, 18, 199–208. [Google Scholar] [CrossRef]
- Ridout, M.J.; Garza, S.; Brownsey, G.J.; Morris, V.J. Mixed iota-kappa carrageenan gels. Int. J. Biol. Macromol. 1996, 18, 5–8. [Google Scholar] [CrossRef]
- Bui, V.T.N.T.; Nguyen, B.T.; Renou, F.; Nicolai, T. Rheology and microstructure of mixtures of iota and kappa-carrageenan. Food Hydrocoll. 2019, 89, 180–187. [Google Scholar] [CrossRef]
- Jones, J.L.; Marques, C.M. Rigid polymer network models. J. Phys. France 1990, 51, 1113–1127. [Google Scholar] [CrossRef]
- Picullel, L.; Hakansson, C.; Nilsson, S. Cation specificity of the order-disorder transition in iota carrageenan: Effects of kappa carrageenan impurities. Int. J. Biol. Macromol. 1987, 9, 297–301. [Google Scholar] [CrossRef]
- Van de Velde, F.; Antipova, A.S.; Rollema, H.S.; Burova, T.V.; Grinberg, N.V.; Pereira, L.; Gilseman, P.M.; Tromp, R.H.; Rudolph, B.; Grinberg, V.Y. The structure of κ/ι-hybrid carrageenans II. Coil–helix transition as a function of chain composition. Carbohydr. Res. 2005, 340, 1113–1129. [Google Scholar] [CrossRef]
- Tucker, C.L.; Moldenaers, P. Microstructural evolution in polymer blends. Annu. Rev. Fluid. Mech. 2002, 34, 177–210. [Google Scholar] [CrossRef]
- Gisler, T.; Ball, R.C.; Weitz, D.A. Strain Hardening of Fractal Colloidal Gels. Phys. Rev. Lett. 1999, 82, 1064–1067. [Google Scholar] [CrossRef]
- Rogers, S.A.; Lettinga, M.P. A sequence of physical processes determined and quantified in large-amplitude oscillatory shear (LAOS): Application to theoretical nonlinear models. J. Rheol. 2012, 56, 1–25. [Google Scholar] [CrossRef]







| Samples | ι (mol.%) | ν and μ (mol.%) | κ (mol.%) | Mw (×106 g/mol) | Mw/Mn |
|---|---|---|---|---|---|
| KIMN1 | 78 ± 0.4 | 17.9 ± 2.1 | 4.1 ± 0.4 | 1.17 | 2.1 |
| KIMN2 | 27.6 ± 1.3 | 23.3 ± 1.7 | 49.1 ± 0.7 | 0.85 | 2.1 |
| KIMN3 | 33.3 ± 0.1 | 20.5 ± 0.1 | 46.1 ± 0.3 | 0.82 | 4.2 |
| KIMN4 | 16.2 ± 0.7 | 11.8 ± 2.9 | 72.0 ± 0.8 | 1.27 | 2.9 |
| I | 92 ± 0.5 | b.s. 1 | 8.0 ± 0.5 | 0.90 | 4.7 |
| K | b.s. 1 | b.s. 1 | 100 ± 0.5 | 1.13 | 2.7 |
| Sample | G0 (Pa) | γC (%) a | γH (%) a | |γC − γH| (%) | γM (%) a | γF (%) a | σF (Pa) a | R (%) | G′max/G0 | G″max/G″0 |
|---|---|---|---|---|---|---|---|---|---|---|
| KIMN1 | 24.2 ± 0.6 | 39 ± 5 | 160 ± 10 | 121 ± 15 | 420 ± 30 | 480 ± 32 | 73.5 ± 0.5 | 90 c | 1.9 | 6.3 |
| KIMN2 | 24 ± 11 | 7.0 ± 0.7 | 39 ± 5 | 32 ± 5.7 | 45 ± 6 | 108 ± 7 | 5.4 ± 0.3 | 53 | 2.2 | 3.4 |
| KIMN3 | 24.9 ± 1.1 | 8.0 ± 2.0 | 29.5 ± 0.5 | 21.5 ± 2.5 | 45 ± 6 | 124 ± 8 | 3.6 ± 0.3 | 33 | 1.6 | 3.5 |
| KIMN4 | 1164 ± 84 | 7.7 ± 1.1 | 11.6 ± 1.6 | 3.9 ± 2.7 | 12 ± 2 | 174± 22 | 9 ± 1 | 14 | 1.1 | 2.5 |
| K | 21,545 ± 1415 | 3.2 ± 2.2 | n.a b | n.a b | 3.0 ± 0.2 | 77 ± 10 | 116 ± 10 | 11 | n.a b | 2.9 |
| I | 116.3 ± 4.6 | 39 ± 5 | 119 ± 3 | 89 ± 8 | 230 ± 30 | 245 ± 15 | 173 ± 10 | 100 | 1.6 | 13.5 |
| K+I | 7232 ± 297 | 10.1 ± 1.1 | n.a b | n.a b | 20 ± 3 | 520 ± 40 | 145 ± 10 | 7 | n.a b | 1.8 |
| Sample | G0 (Pa) | γC (%) a | γH (%) a | |γC − γH|(%) | γM (%) a | γF (%) a | σF (Pa) a | R (%) | G′max/G0 | G″max/G″0 |
|---|---|---|---|---|---|---|---|---|---|---|
| KIMN1 | 41 ± 3 | 14 ± 1 | 14 ± 1 | 0 ± 2 | 95 ± 10 | 185 ± 15 | 21 ± 2 | 80 | 1.04 | 1.8 |
| KIMN4 | 285 ± 5 | 12.5 ± 2.5 | 40 ± 5 | 27.5 ± 7.5 | 88 ± 12 | 230 ± 30 | 127 ± 10 | 18 | 1.6 | 2.4 |
| K | 665 ± 15 | 1.6 ± 0.6 | n.a. b | n.a. b | 7.7 ± 1.1 | >512 | >59 | 17 | n.a. b | 1.1 |
| I | 95 ± 10 | 61 ± 30 | 85 ± 5 | 24 ± 35 | 15 ± 7 | 245 ± 15 | 55 ± 2 | n.a. b | 1.05 | 6 |
| K+I | 159 ± 1 | 17.8 ± 1.6 | 64.5 ± 7.5 | 82.3 ± 9.1 | 145 ± 10 | 235 ± 30 | 48 ± 10 | 81 c | 1.4 | 2.1 |
Disclaimer/Publisher’s Note: The statements, opinions and data contained in all publications are solely those of the individual author(s) and contributor(s) and not of MDPI and/or the editor(s). MDPI and/or the editor(s) disclaim responsibility for any injury to people or property resulting from any ideas, methods, instructions or products referred to in the content. |
© 2024 by the authors. Licensee MDPI, Basel, Switzerland. This article is an open access article distributed under the terms and conditions of the Creative Commons Attribution (CC BY) license (https://creativecommons.org/licenses/by/4.0/).
Share and Cite
Moraes, I.C.F.; Hilliou, L. Viscoelastic Reversibility of Carrageenan Hydrogels under Large Amplitude Oscillatory Shear: Hybrid Carrageenans versus Blends. Gels 2024, 10, 524. https://doi.org/10.3390/gels10080524
Moraes ICF, Hilliou L. Viscoelastic Reversibility of Carrageenan Hydrogels under Large Amplitude Oscillatory Shear: Hybrid Carrageenans versus Blends. Gels. 2024; 10(8):524. https://doi.org/10.3390/gels10080524
Chicago/Turabian StyleMoraes, Izabel Cristina Freitas, and Loic Hilliou. 2024. "Viscoelastic Reversibility of Carrageenan Hydrogels under Large Amplitude Oscillatory Shear: Hybrid Carrageenans versus Blends" Gels 10, no. 8: 524. https://doi.org/10.3390/gels10080524
APA StyleMoraes, I. C. F., & Hilliou, L. (2024). Viscoelastic Reversibility of Carrageenan Hydrogels under Large Amplitude Oscillatory Shear: Hybrid Carrageenans versus Blends. Gels, 10(8), 524. https://doi.org/10.3390/gels10080524

