The Influence of Lyophilization Pretreatment and Whey Content on Whey and Gelatin-Based Hydrogels
Abstract
1. Introduction
2. Results and Discussion
2.1. Morphology Characterization by SEM
2.2. FTIR Spectroscopy
2.3. 1 H NMR Relaxometry
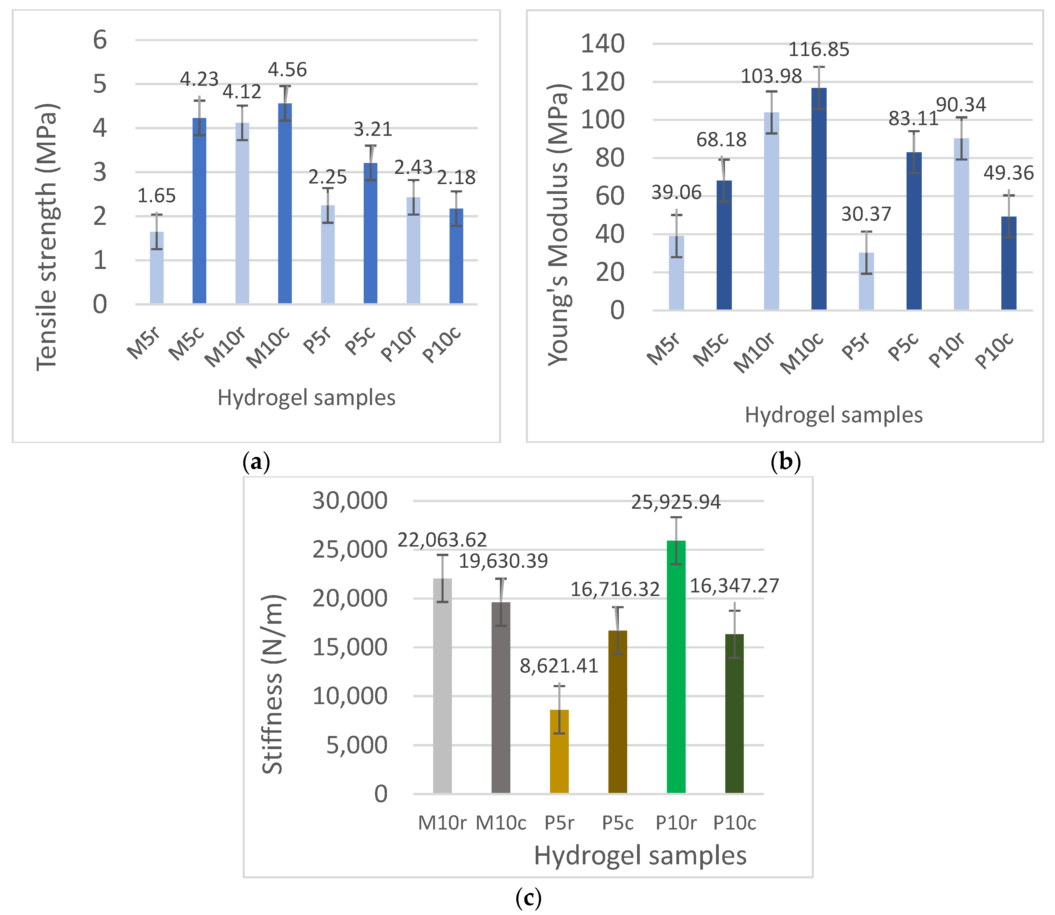
2.4. Mechanical Properties
3. Conclusions
4. Materials and Methods
4.1. Materials and Hydrogel Preparation Method
4.2. Scanning Electron Microscope (SEM)
4.3. FTIR Spectroscopy
4.4. 1H NMR Relaxometry
4.5. Mechanical Properties
Author Contributions
Funding
Institutional Review Board Statement
Informed Consent Statement
Data Availability Statement
Conflicts of Interest
References
- Kaith, B.S.; Singh, A.; Sharma, A.K.; Sud, D. Hydrogels: Synthesis, Classification, Properties and Potential Applications—A Brief Review. J. Polym. Environ. 2021, 29, 3827–3841. [Google Scholar] [CrossRef]
- Djabourov, M.; Leblond, J.; Papon, P. Gelation of Aqueous Gelatin Solutions. I. Structural Investigation. J. Phys. France 1988, 49, 319–332. [Google Scholar] [CrossRef]
- Ramos, O.L.; Pereira, R.N.; Rodrigues, R.; Teixeira, J.A.; Vicente, A.A.; Malcata, F.X. Physical Effects upon Whey Protein Aggregation for Nano-Coating Production. Food Res. Int. 2014, 66, 344–355. [Google Scholar] [CrossRef]
- Zhu, Y.; Li, H.; Peng, C.; Ma, J.; Huang, S.; Wang, R.; Wu, B.; Xiong, Q.; Peng, D.; Huang, S.; et al. Application of Protein/Polysaccharide Aerogels in Drug Delivery System: A Review. Int. J. Biol. Macromol. 2023, 247, 125727. [Google Scholar] [CrossRef] [PubMed]
- Li, J.; Zhao, S.; Zhu, Q.; Zhang, H. Characterization of Chitosan-Gelatin Cryogel Templates Developed by Chemical Crosslinking and Oxidation Resistance of Camellia Oil Cryogel-Templated Oleogels. Carbohydr. Polym. 2023, 315, 120971. [Google Scholar] [CrossRef]
- Hellebois, T.; Canuel, R.; Addiego, F.; Audinot, J.-N.; Gaiani, C.; Shaplov, A.S.; Soukoulis, C. Milk Protein-Based Cryogel Monoliths as Novel Encapsulants of Probiotic Bacteria. Part I: Microstructural, Physicochemical, and Mechanical Characterisation. Food Hydrocoll. 2023, 140, 108641. [Google Scholar] [CrossRef]
- Kowalczyk, D.; Szymanowska, U.; Skrzypek, T.; Basiura-Cembala, M.; Bartkowiak, A.; Łupina, K. A Comprehensive Study on Gelatin- and Whey Protein Isolate-Based Edible Films as Carriers of Fireweed (Epilobium angustifolium L.) Extract. Food Bioprocess Technol. 2022, 15, 2547–2561. [Google Scholar] [CrossRef]
- Zand-Rajabi, H.; Madadlou, A. Citric Acid Cross-Linking of Heat-Set Whey Protein Hydrogel Influences Its Textural Attributes and Caffeine Uptake and Release Behaviour. Int. Dairy J. 2016, 61, 142–147. [Google Scholar] [CrossRef]
- Rusu, A.G.; Nita, L.E.; Simionescu, N.; Ghilan, A.; Chiriac, A.P.; Mititelu-Tartau, L. Enzymatically-Crosslinked Gelatin Hydrogels with Nanostructured Architecture and Self-Healing Performance for Potential Use as Wound Dressings. Polymers 2023, 15, 780. [Google Scholar] [CrossRef]
- Gupta, B.; Tummalapalli, M.; Deopura, B.L.; Alam, M.S. Preparation and Characterization of In-Situ Crosslinked Pectin–Gelatin Hydrogels. Carbohydr. Polym. 2014, 106, 312–318. [Google Scholar] [CrossRef]
- Kuhn, K.R.; Cavallieri, Â.L.F.; Da Cunha, R.L. Cold-Set Whey Protein Gels Induced by Calcium or Sodium Salt Addition. Int. J. Food Sci. Technol. 2010, 45, 348–357. [Google Scholar] [CrossRef]
- Ang, C.L.; Goh, K.K.T.; Lim, K.; Matia-Merino, L. High-Protein Foods for Dysphagia: Manipulation of Mechanical and Microstructural Properties of Whey Protein Gels Using De-Structured Starch and Salts. Gels 2022, 8, 399. [Google Scholar] [CrossRef] [PubMed]
- Antoniac, I.V.; Antoniac, A.; Vasile, E.; Tecu, C.; Fosca, M.; Yankova, V.G.; Rau, J.V. In Vitro Characterization of Novel Nanostructured Collagen-Hydroxyapatite Composite Scaffolds Doped with Magnesium with Improved Biodegradation Rate for Hard Tissue Regeneration. Bioact. Mater. 2021, 6, 3383–3395. [Google Scholar] [CrossRef] [PubMed]
- Zhao, R.; Chen, S.; Zhao, W.; Yang, L.; Yuan, B.; Ioan, V.S.; Iulian, A.V.; Yang, X.; Zhu, X.; Zhang, X. A Bioceramic Scaffold Composed of Strontium-Doped Three-Dimensional Hydroxyapatite Whiskers for Enhanced Bone Regeneration in Osteoporotic Defects. Theranostics 2020, 10, 1572–1589. [Google Scholar] [CrossRef] [PubMed]
- Sullivan, B.K.; Keough, M.; Govers, L.L. Copper Sulphate Treatment Induces Heterozostera Seed Germination and Improves Seedling Growth Rates. Glob. Ecol. Conserv. 2022, 35, e02079. [Google Scholar] [CrossRef]
- Tavares-Dias, M. Toxic, Physiological, Histomorphological, Growth Performance and Antiparasitic Effects of Copper Sulphate in Fish Aquaculture. Aquaculture 2021, 535, 736350. [Google Scholar] [CrossRef]
- Zhong, T.; Oporto, G.S.; Jaczynski, J. Antimicrobial Food Packaging with Cellulose-Copper Nanoparticles Embedded in Thermoplastic Resins. In Food Preservation; Elsevier: Amsterdam, The Netherlands, 2017; pp. 671–702. ISBN 978-0-12-804303-5. [Google Scholar]
- Li, F.; Liu, Y.; Cao, Y.; Zhang, Y.; Zhe, T.; Guo, Z.; Sun, X.; Wang, Q.; Wang, L. Copper Sulfide Nanoparticle-Carrageenan Films for Packaging Application. Food Hydrocoll. 2020, 109, 106094. [Google Scholar] [CrossRef]
- Jaganathan, S.K.; Mani, M.P.; Khudzari, A.Z.M. Electrospun Combination of Peppermint Oil and Copper Sulphate with Conducive Physico-Chemical Properties for Wound Dressing Applications. Polymers 2019, 11, 586. [Google Scholar] [CrossRef]
- Zhong, J.; Jia, J.; Lyu, Q.; Chen, G.; Fu, S. Production of Whey Protein Nanofiber as a Carrier for Copper Entrapment. Innov. Food Sci. Emerg. Technol. 2022, 79, 103035. [Google Scholar] [CrossRef]
- Purcea Lopes, P.M.; Moldovan, D.; Moldovan, M.; Carpa, R.; Saroşi, C.; Păşcuţă, P.; Mazilu Moldovan, A.; Fechete, R.; Popescu, V. New Composite Hydrogel Based on Whey and Gelatin Crosslinked with Copper Sulphate. Materials 2022, 15, 2611. [Google Scholar] [CrossRef]
- Popescu, V.; Molea, A.; Moldovan, M.; Lopes, P.M.; Mazilu Moldovan, A.; Popescu, G.L. The Influence of Enzymatic Hydrolysis of Whey Proteins on the Properties of Gelatin-Whey Composite Hydrogels. Materials 2021, 14, 3507. [Google Scholar] [CrossRef] [PubMed]
- Grenier, J.; Duval, H.; Barou, F.; Lv, P.; David, B.; Letourneur, D. Mechanisms of Pore Formation in Hydrogel Scaffolds Textured by Freeze-Drying. Acta Biomater. 2019, 94, 195–203. [Google Scholar] [CrossRef]
- Manzocco, L.; Plazzotta, S.; Powell, J.; de Vries, A.; Rousseau, D.; Calligaris, S. Structural Characterisation and Sorption Capability of Whey Protein Aerogels Obtained by Freeze-Drying or Supercritical Drying. Food Hydrocoll. 2022, 122, 107117. [Google Scholar] [CrossRef]
- Kawasaki, H.; Shimanouchi, T.; Kimura, Y. Recent Development of Optimization of Lyophilization Process. J. Chem. 2019, 2019, 9502856. [Google Scholar] [CrossRef]
- Kuo, C.-C.; Qin, H.; Cheng, Y.; Jiang, X.; Shi, X. An Integrated Manufacturing Strategy to Fabricate Delivery System Using Gelatin/Alginate Hybrid Hydrogels: 3D Printing and Freeze-Drying. Food Hydrocoll. 2021, 111, 106262. [Google Scholar] [CrossRef]
- Klinkajon, W.; Supaphol, P. Novel Copper (II) Alginate Hydrogels and Their Potential for Use as Anti-Bacterial Wound Dressings. Biomed. Mater. 2014, 9, 045008. [Google Scholar] [CrossRef] [PubMed]
- Lamichhane, J.R.; Osdaghi, E.; Behlau, F.; Köhl, J.; Jones, J.B.; Aubertot, J.-N. Thirteen Decades of Antimicrobial Copper Compounds Applied in Agriculture. A Review. Agron. Sustain. Dev. 2018, 38, 28. [Google Scholar] [CrossRef]
- Kazemi-Taskooh, Z.; Varidi, M. Designation and Characterization of Cold-Set Whey Protein-Gellan Gum Hydrogel for Iron Entrapment. Food Hydrocoll. 2021, 111, 106205. [Google Scholar] [CrossRef]
- Mamidi, N.; González-Ortiz, A.; Lopez Romo, I.; Barrera, E.V. Development of Functionalized Carbon Nano-Onions Reinforced Zein Protein Hydrogel Interfaces for Controlled Drug Release. Pharmaceutics 2019, 11, 621. [Google Scholar] [CrossRef]
- Frazier, S.D.; Srubar, W.V. Evaporation-Based Method for Preparing Gelatin Foams with Aligned Tubular Pore Structures. Mater. Sci. Eng. C 2016, 62, 467–473. [Google Scholar] [CrossRef]
- Zand-Rajabi, H.; Madadlou, A. Caffeine-Loaded Whey Protein Hydrogels Reinforced with Gellan and Enriched with Calcium Chloride. Int. Dairy J. 2016, 56, 38–44. [Google Scholar] [CrossRef]
- Arfat, Y.A.; Ahmed, J.; Hiremath, N.; Auras, R.; Joseph, A. Thermo-Mechanical, Rheological, Structural and Antimicrobial Properties of Bionanocomposite Films Based on Fish Skin Gelatin and Silver-Copper Nanoparticles. Food Hydrocoll. 2017, 62, 191–202. [Google Scholar] [CrossRef]
- Ju, Z.Y.; Kilara, A. Aggregation Induced by Calcium Chloride and Subsequent Thermal Gelation of Whey Protein Isolate. J. Dairy Sci. 1998, 81, 925–931. [Google Scholar] [CrossRef]
- Asdagh, A.; Karimi Sani, I.; Pirsa, S.; Amiri, S.; Shariatifar, N.; Eghbaljoo–Gharehgheshlaghi, H.; Shabahang, Z.; Taniyan, A. Production and Characterization of Nanocomposite Film Based on Whey Protein Isolated/Copper Oxide Nanoparticles Containing Coconut Essential Oil and Paprika Extract. J Polym Environ 2021, 29, 335–349. [Google Scholar] [CrossRef]
- Ning, N.; Wang, Z.; Yao, Y.; Zhang, L.; Tian, M. Enhanced Electromechanical Performance of Bio-Based Gelatin/Glycerin Dielectric Elastomer by Cellulose Nanocrystals. Carbohydr. Polym. 2015, 130, 262–267. [Google Scholar] [CrossRef] [PubMed]
- Fechete, R.; Demco, D.E.; Zhu, X.; Tillmann, W.; Möller, M. Water States and Dynamics in Perfluorinated Ionomer Membranes by 1H One- and Two-Dimensional NMR Spectroscopy, Relaxometry, and Diffusometry. Chem. Phys. Lett. 2014, 597, 6–15. [Google Scholar] [CrossRef]
- Abrami, M.; Bignotti, F.; Baldi, F.; Spagnoli, G.; Biasin, A.; Grassi, L.; Grassi, G.; Grassi, M. Rheological and Low Field NMR Characterization of Hydrophobically-Modified PEG Hydrogels for Drug Delivery. Int. J. Pharm. 2023, 637, 122882. [Google Scholar] [CrossRef]
- Demco, D.E.; Pich, A. Structure and Dynamics of Temperature-Responsive Microgels and Hydrogels by NMR Spectroscopy, Relaxometry, and Diffusometry. Macromol. Chem. Phys. 2023, 224, 2200410. [Google Scholar] [CrossRef]
- Bastrop, M.; Meister, A.; Metz, H.; Drescher, S.; Dobner, B.; Mäder, K.; Blume, A. Water Dynamics in Bolaamphiphile Hydrogels Investigated by 1H NMR Relaxometry and Diffusometry. J. Phys. Chem. B 2011, 115, 14–22. [Google Scholar] [CrossRef]
- Zhang, X.; Zhao, Y.; Li, Y.; Zhu, L.; Fang, Z.; Shi, Q. Physicochemical, Mechanical and Structural Properties of Composite Edible Films Based on Whey Protein Isolate/Psyllium Seed Gum. Int. J. Biol. Macromol. 2020, 153, 892–901. [Google Scholar] [CrossRef]
- Khodaei, D.; Oltrogge, K.; Hamidi-Esfahani, Z. Preparation and Characterization of Blended Edible Films Manufactured Using Gelatin, Tragacanth Gum and, Persian Gum. LWT 2020, 117, 108617. [Google Scholar] [CrossRef]
- Lopes, P.M.P.; Moldovan, D.; Fechete, R.; Prodan, D.; Pop, C.R.; Rotar, A.M.; Popescu, V. Swelling and Antimicrobial Activity Characterization of a GO-Reinforced Gelatin—Whey Hydrogel. Gels 2023, 9, 18. [Google Scholar] [CrossRef] [PubMed]




| Gelatin | Whey | M5r | M10r | P5r | P10r | Attributions |
|---|---|---|---|---|---|---|
| (cm−1) | ||||||
| 3272.82 | 3272.4 | 3278.76 | 3282.33 | 3284.06 | 3279.34 | Amide A, tensile vibrations NH [21,31,32], hydrogen bonds [21,22] |
| 1630.62 | 1631.72 | 1632.93 | 1638.96 | 1633.95 | 1632.78 | Amide I, C=O and NH vibrations [21,31,33], H bonds coupled with COO− [22,34] |
| 1527.47 | 1515.90 | 1547.86 | 1547.78 | 1552.59 | 1547.45 | Amide II, CN vibrations/stretching, NH bending [21,22,32,35] |
| 1080.02 | 1076.17 | 1108.16 | 1110.06 | 1105.98 | 1106.67 | Amide III CN and NH vibrations [21,22,35] |
| Gelatin | Whey | M5c | M10c | P5c | P10c | Attributions |
|---|---|---|---|---|---|---|
| (cm−1) | ||||||
| 3272.82 | 3272.4 | 3284.22 | 3280.68 | 3282.28 | 3288.65 | Amide A, tensile vibrations NH [21,31,32], hydrogen bonds [21,22] |
| 1630.62 | 1631.72 | 1632.69 | 1632.57 | 1633.1 | 1633.4 | Amide I, C=O and NH vibrations [21,31,33] H bonds coupled with COO− [22,34] |
| 1527.47 | 1515.90 | 1551.39 | 1547.47 | 1548.03 | 1548.14 | Amide II, CN vibrations/stretching, NH bending [21,22,32,35] |
| 1080.02 | 1076.17 | 1110.49 | 1108.34 | 1108.44 | 1082.09 | Amide III CN and NH vibrations [21,22,35] |
| Code Sample | W 5% | W 10% | Gly 1:1 | Ge | CuSO4 × 5H2O 5% | Distilled Water | Total |
|---|---|---|---|---|---|---|---|
| (%) | |||||||
| M5 | 3.13 | 0 | 6.25 | 7.81 | 0 | 82.81 | 100.00 |
| M10 | 0 | 6.25 | 6.25 | 7.81 | 0 | 79.69 | 100.00 |
| P5 | 3.13 | 0 | 6.25 | 7.81 | 0.86 | 81.95 | 100.00 |
| P10 | 0 | 6.25 | 6.25 | 7.81 | 0.86 | 78.83 | 100.00 |
Disclaimer/Publisher’s Note: The statements, opinions and data contained in all publications are solely those of the individual author(s) and contributor(s) and not of MDPI and/or the editor(s). MDPI and/or the editor(s) disclaim responsibility for any injury to people or property resulting from any ideas, methods, instructions or products referred to in the content. |
© 2024 by the authors. Licensee MDPI, Basel, Switzerland. This article is an open access article distributed under the terms and conditions of the Creative Commons Attribution (CC BY) license (https://creativecommons.org/licenses/by/4.0/).
Share and Cite
Lopes, P.M.; Fechete, R.; Minteuan, F.; Mare, L.; Moldovan, D.; Moldovan, M.; Cuc, S.; Saroși, C.L.; Popescu, V. The Influence of Lyophilization Pretreatment and Whey Content on Whey and Gelatin-Based Hydrogels. Gels 2024, 10, 229. https://doi.org/10.3390/gels10040229
Lopes PM, Fechete R, Minteuan F, Mare L, Moldovan D, Moldovan M, Cuc S, Saroși CL, Popescu V. The Influence of Lyophilization Pretreatment and Whey Content on Whey and Gelatin-Based Hydrogels. Gels. 2024; 10(4):229. https://doi.org/10.3390/gels10040229
Chicago/Turabian StyleLopes, Pompilia Mioara, Radu Fechete, Felicia Minteuan, Liviu Mare, Dumitrița Moldovan, Marioara Moldovan, Stanca Cuc, Codruța Liana Saroși, and Violeta Popescu. 2024. "The Influence of Lyophilization Pretreatment and Whey Content on Whey and Gelatin-Based Hydrogels" Gels 10, no. 4: 229. https://doi.org/10.3390/gels10040229
APA StyleLopes, P. M., Fechete, R., Minteuan, F., Mare, L., Moldovan, D., Moldovan, M., Cuc, S., Saroși, C. L., & Popescu, V. (2024). The Influence of Lyophilization Pretreatment and Whey Content on Whey and Gelatin-Based Hydrogels. Gels, 10(4), 229. https://doi.org/10.3390/gels10040229

