Green Extraction of Pectin from Sugar Beet Flakes and Its Application in Hydrogels and Cryogels
Abstract
1. Introduction
2. Results and Discussion
2.1. The Influence of Extraction Conditions on Pectin Yield and Galacturonic Acid Content
2.2. Optimization and Validation of Extraction Conditions
2.3. Comparison of Extraction Methods Based on Yield and Galacturonic Acid Content
2.4. The Physicochemical Properties of Pectin in Optimal Extraction Conditions
2.5. Characterization of Pectin Hydrogels and Cryogels
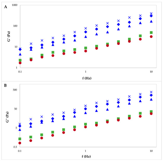
2.5.1. Rheological Properties
2.5.2. The Structural Properties of Pectin Gels
2.5.3. The Color of Pectin Gels
2.5.4. Textural Properties
2.5.5. The Swelling Properties and Degradation Behavior of Pectin Gels
2.5.6. Thermogravimetric Analysis
3. Conclusions
4. Materials and Methods
4.1. Materials
4.2. Procedure for Pectin Extraction and Purification
4.3. Analysis of the Physicochemical Properties of Pectin
4.4. Hydrogels and Cryogels Preparation and Analysis
4.5. Response Surface Methodology and Statistical Analysis
Supplementary Materials
Author Contributions
Funding
Institutional Review Board Statement
Informed Consent Statement
Data Availability Statement
Acknowledgments
Conflicts of Interest
References
- Baghdadi, F.; Nayebzadeh, K.; Aminifar, M.; Mortazavian, A.M. Pectin Purification from Plant Materials. Macromol. Res. 2023, 31, 753–770. [Google Scholar] [CrossRef]
- Yang, Z.; Fan, H.; Li, R.; Li, B.; Fan, J.; Ge, J.; Xu, X.; Pan, S.; Liu, F. Potential Role of Cell Wall Pectin Polysaccharides, Water State, and Cellular Structure on Twice “Increase–Decrease” Texture Changes during Kohlrabi Pickling Process. Food Res. Int. 2023, 173, 113308. [Google Scholar] [CrossRef] [PubMed]
- Zoghi, A.; Vedadi, S.; Esfahani, Z.H.; Gavlighi, H.A.; Khosravi-Darani, K. A Review on Pectin Extraction Methods Using Lignocellulosic Wastes. Biomass Convers. Biorefin. 2021, 13, 5577–5589. [Google Scholar] [CrossRef]
- Baraiya, K.; Yadav, V.K.; Choudhary, N.; Ali, D.; Raiyani, D.; Chowdhary, V.A.; Alooparampil, S.; Pandya, R.V.; Sahoo, D.K.; Patel, A.; et al. A Comparative Analysis of the Physico-Chemical Properties of Pectin Isolated from the Peels of Seven Different Citrus Fruits. Gels 2023, 9, 908. [Google Scholar] [CrossRef] [PubMed]
- Dranca, F.; Oroian, M. Extraction, Purification and Characterization of Pectin from Alternative Sources with Potential Technological Applications. Food Res. Int. 2018, 113, 327–350. [Google Scholar] [CrossRef] [PubMed]
- Xu, C.; Ma, J.; Wang, W.; Liu, Z.; Gu, L.; Qian, S.; Hou, J.; Jiang, Z. Preparation of Pectin-Based Nanofibers Encapsulating Lactobacillus Rhamnosus 1.0320 by Electrospinning. Food Hydrocoll. 2022, 124, 107216. [Google Scholar] [CrossRef]
- Vancauwenberghe, V.; Katalagarianakis, L.; Wang, Z.; Meerts, M.; Hertog, M.; Verboven, P.; Moldenaers, P.; Hendrickx, M.E.; Lammertyn, J.; Nicolaï, B. Pectin Based Food-Ink Formulations for 3-D Printing of Customizable Porous Food Simulants. Innov. Food Sci. Emerg. Technol. 2017, 42, 138–150. [Google Scholar] [CrossRef]
- Li, J.; Yang, Z.-l.; Ding, T.; Song, Y.-J.; Li, H.-C.; Li, D.-q.; Chen, S.; Xu, F. The Role of Surface Functional Groups of Pectin and Pectin-Based Materials on the Adsorption of Heavy Metal Ions and Dyes. Carbohydr. Polym. 2022, 276, 118789. [Google Scholar] [CrossRef] [PubMed]
- Chang, H.C.; Jørgensen, B.; Di Silvio, L.; Gurzawska-Comis, K. 3D Bioprinted Pectin-Based Hydrogel as Sustainable Biomaterials for Musculoskeletal Tissue Engineering. Sustain. Mater. Technol. 2023, 38, e00732. [Google Scholar] [CrossRef]
- Müller-Maatsch, J.; Bencivenni, M.; Caligiani, A.; Tedeschi, T.; Bruggeman, G.; Bosch, M.; Petrusan, J.; Van Droogenbroeck, B.; Elst, K.; Sforza, S. Pectin Content and Composition from Different Food Waste Streams. Food Chem. 2016, 201, 37–45. [Google Scholar] [CrossRef] [PubMed]
- Concha Olmos, J.; Zúñiga Hansen, M.E. Enzymatic Depolymerization of Sugar Beet Pulp: Production and Characterization of Pectin and Pectic-Oligosaccharides as a Potential Source for Functional Carbohydrates. Chem. Eng. J. 2012, 192, 29–36. [Google Scholar] [CrossRef]
- European Association of Sugar Manufacturers CEFS. European Sugar Statistics Report for the Marketing Year 2021/22; European Association of Sugar Manufacturers CEFS: Brussels, Belgium, 2023. [Google Scholar]
- Das, I.; Arora, A. Kinetics and Mechanistic Models of Solid-Liquid Extraction of Pectin Using Advance Green Techniques- a Review. Food Hydrocoll. 2021, 120, 106931. [Google Scholar] [CrossRef]
- Basak, S.; Annapure, U.S. The Potential of Subcritical Water as a “Green” Method for the Extraction and Modification of Pectin: A Critical Review. Food Res. Int. 2022, 161, 111849. [Google Scholar] [CrossRef] [PubMed]
- Said, N.S.; Olawuyi, I.F.; Lee, W.Y. Pectin Hydrogels: Gel-Forming Behaviors, Mechanisms, and Food Applications. Gels 2023, 9, 732. [Google Scholar] [CrossRef] [PubMed]
- Han, S.S.; Ji, S.M.; Park, M.J.; Suneetha, M.; Uthappa, U.T. Pectin Based Hydrogels for Drug Delivery Applications: A Mini Review. Gels 2022, 8, 834. [Google Scholar] [CrossRef] [PubMed]
- Reichembach, L.H.; de Oliveira Petkowicz, C.L.; Guerrero, P.; de la Caba, K. Pectin and Pectin/Chitosan Hydrogel Beads as Coffee Essential Oils Carrier Systems. Food Hydrocoll. 2024, 151, 109814. [Google Scholar] [CrossRef]
- Popov, S.; Smirnov, V.; Khramova, D.; Paderin, N.; Chistiakova, E.; Ptashkin, D.; Vityazev, F. Effect of Hogweed Pectin on Rheological, Mechanical, and Sensory Properties of Apple Pectin Hydrogel. Gels 2023, 9, 225. [Google Scholar] [CrossRef]
- Francis, F.P.; Chidambaram, R. Hybrid Hydrogel Dispersed Low Fat and Heat Resistant Chocolate. J. Food Eng. 2019, 256, 9–17. [Google Scholar] [CrossRef]
- Lenie, M.D.R.; Ahmadzadeh, S.; Van Bockstaele, F.; Ubeyitogullari, A. Development of a PH-Responsive System Based on Starch and Alginate-Pectin Hydrogels Using Coaxial 3D Food Printing. Food Hydrocoll. 2024, 153, 109989. [Google Scholar] [CrossRef]
- Samavati, V. Polysaccharide Extraction from Abelmoschus Esculentus: Optimization by Response Surface Methodology. Carbohydr. Polym. 2013, 95, 588–597. [Google Scholar] [CrossRef] [PubMed]
- Duwee, Y.S.; Kiew, P.L.; Yeoh, W.M. Multi-Objective Optimization of Pectin Extraction from Orange Peel via Response Surface Methodology: Yield and Degree of Esterification. J. Food Meas. Charact. 2022, 16, 1710–1724. [Google Scholar] [CrossRef]
- Oliveira, T.Í.S.; Rosa, M.F.; Cavalcante, F.L.; Pereira, P.H.F.; Moates, G.K.; Wellner, N.; Mazzetto, S.E.; Waldron, K.W.; Azeredo, H.M.C. Optimization of Pectin Extraction from Banana Peels with Citric Acid by Using Response Surface Methodology. Food Chem. 2016, 198, 113–118. [Google Scholar] [CrossRef] [PubMed]
- Jafari, F.; Khodaiyan, F.; Kiani, H.; Hosseini, S.S. Pectin from Carrot Pomace: Optimization of Extraction and Physicochemical Properties. Carbohydr. Polym. 2017, 157, 1315–1322. [Google Scholar] [CrossRef] [PubMed]
- Pereira, P.H.F.; Oliveira, T.Í.S.; Rosa, M.F.; Cavalcante, F.L.; Moates, G.K.; Wellner, N.; Waldron, K.W.; Azeredo, H.M.C. Pectin Extraction from Pomegranate Peels with Citric Acid. Int. J. Biol. Macromol. 2016, 88, 373–379. [Google Scholar] [CrossRef] [PubMed]
- Rahmani, Z.; Khodaiyan, F.; Kazemi, M.; Sharifan, A. Optimization of Microwave-Assisted Extraction and Structural Characterization of Pectin from Sweet Lemon Peel. Int. J. Biol. Macromol. 2020, 147, 1107–1115. [Google Scholar] [CrossRef] [PubMed]
- Dranca, F.; Talón, E.; Vargas, M.; Oroian, M. Microwave vs. Conventional Extraction of Pectin from Malus Domestica ‘Fălticeni’ Pomace and Its Potential Use in Hydrocolloid-Based Films. Food Hydrocoll. 2021, 121, 107026. [Google Scholar] [CrossRef]
- Merouani, S.; Hamdaoui, O.; Rezgui, Y.; Guemini, M. Effects of Ultrasound Frequency and Acoustic Amplitude on the Size of Sonochemically Active Bubbles—Theoretical Study. Ultrason. Sonochem. 2013, 20, 815–819. [Google Scholar] [CrossRef]
- Patience, N.A.; Schieppati, D.; Boffito, D.C. Continuous and Pulsed Ultrasound Pectin Extraction from Navel Orange Peels. Ultrason. Sonochem. 2021, 73, 105480. [Google Scholar] [CrossRef] [PubMed]
- Jafarzadeh-Moghaddam, M.; Shaddel, R.; Peighambardoust, S.H. Sugar Beet Pectin Extracted by Ultrasound or Conventional Heating: A Comparison. J. Food Sci. Technol. 2021, 58, 2567–2578. [Google Scholar] [CrossRef]
- Spinei, M.; Oroian, M. Characterization of Pectin from Grape Pomace: A Comparison of Conventional and Pulsed Ultrasound-Assisted Extraction Techniques. Foods 2022, 11, 2274. [Google Scholar] [CrossRef]
- Yapo, B.M.; Robert, C.; Etienne, I.; Wathelet, B.; Paquot, M. Effect of Extraction Conditions on the Yield, Purity and Surface Properties of Sugar Beet Pulp Pectin Extracts. Food Chem. 2007, 100, 1356–1364. [Google Scholar] [CrossRef]
- Bagherian, H.; Zokaee Ashtiani, F.; Fouladitajar, A.; Mohtashamy, M. Comparisons between Conventional, Microwave- and Ultrasound-Assisted Methods for Extraction of Pectin from Grapefruit. Chem. Eng. Process. Process Intensif. 2011, 50, 1237–1243. [Google Scholar] [CrossRef]
- Karbuz, P.; Tugrul, N. Microwave and Ultrasound Assisted Extraction of Pectin from Various Fruits Peel. J. Food Sci. Technol. 2021, 58, 641–650. [Google Scholar] [CrossRef] [PubMed]
- Marić, M.; Grassino, A.N.; Zhu, Z.; Barba, F.J.; Brnčić, M.; Rimac Brnčić, S. An Overview of the Traditional and Innovative Approaches for Pectin Extraction from Plant Food Wastes and By-Products: Ultrasound-, Microwaves-, and Enzyme-Assisted Extraction. Trends Food Sci. Technol. 2018, 76, 28–37. [Google Scholar] [CrossRef]
- Dranca, F.; Vargas, M.; Oroian, M. Physicochemical Properties of Pectin from Malus Domestica ‘Fălticeni’ Apple Pomace as Affected by Non-Conventional Extraction Techniques. Food Hydrocoll. 2020, 100, 105383. [Google Scholar] [CrossRef]
- Niu, H.; Hou, K.; Wang, W.; Dou, Z.; Chen, X.; Chen, H.; Fu, X. Emulsification Properties of Sugar Beet Pectin: The Synergistic Effect of Homogalacturonan and Rhamnogalacturonan-I. Food Hydrocoll. 2023, 145, 109074. [Google Scholar] [CrossRef]
- Niu, H.; Hou, K.; Chen, H.; Fu, X. A Review of Sugar Beet Pectin-Stabilized Emulsion: Extraction, Structure, Interfacial Self-Assembly and Emulsion Stability. Crit. Rev. Food Sci. Nutr. 2022, 64, 852–872. [Google Scholar] [CrossRef]
- Bindereif, B.; Eichhöfer, H.; Bunzel, M.; Karbstein, H.P.; Wefers, D.; van der Schaaf, U.S. Arabinan Side-Chains Strongly Affect the Emulsifying Properties of Acid-Extracted Sugar Beet Pectins. Food Hydrocoll. 2021, 121, 106968. [Google Scholar] [CrossRef]
- Archut, A.; Rolin, C.; Drusch, S.; Kastner, H. Interaction of Sugar Beet Pectin and Pea Protein: Impact of Neutral Sugar Side Chains and Acetyl Groups. Food Hydrocoll. 2023, 138, 108454. [Google Scholar] [CrossRef]
- Lin, J.; Lei, H.; Han, Z.; Zeng, X.-A. Conformational Flexibility and Molecular Weight Influence the Emulsification Performance of Pectin: A Comparative Study of Sugar Beet Pectin and Citrus Pectin. Food Hydrocoll. 2024, 146, 109272. [Google Scholar] [CrossRef]
- Rodsamran, P.; Sothornvit, R. Microwave Heating Extraction of Pectin from Lime Peel: Characterization and Properties Compared with the Conventional Heating Method. Food Chem. 2019, 278, 364–372. [Google Scholar] [CrossRef] [PubMed]
- Wang, W.; Ma, X.; Xu, Y.; Cao, Y.; Jiang, Z.; Ding, T.; Ye, X.; Liu, D. Ultrasound-Assisted Heating Extraction of Pectin from Grapefruit Peel: Optimization and Comparison with the Conventional Method. Food Chem. 2015, 178, 106–114. [Google Scholar] [CrossRef] [PubMed]
- Hu, W.; Chen, S.; Wu, D.; Zhu, K.; Ye, X. Manosonication Assisted Extraction and Characterization of Pectin from Different Citrus Peel Wastes. Food Hydrocoll. 2021, 121, 106952. [Google Scholar] [CrossRef]
- Deng, Z.; Pan, Y.; Chen, W.; Chen, W.; Yun, Y.; Zhong, Q.; Zhang, W.; Chen, H. Effects of Cultivar and Growth Region on the Structural, Emulsifying and Rheological Characteristic of Mango Peel Pectin. Food Hydrocoll. 2020, 103, 105707. [Google Scholar] [CrossRef]
- Begum, R.; Yusof, Y.A.; Aziz, M.G.; Uddin, M.B. Structural and Functional Properties of Pectin Extracted from Jackfruit (Artocarpus Heterophyllus) Waste: Effects of Drying. Int. J. Food Prop. 2017, 20, 190–201. [Google Scholar] [CrossRef]
- Gnanasambandam, R.; Proctor, A. Determination of Pectin Degree of Esterification by Diffuse Reflectance Fourier Transform Infrared Spectroscopy. Food Chem. 2000, 68, 327–332. [Google Scholar] [CrossRef]
- Lefsih, K.; Delattre, C.; Pierre, G.; Michaud, P.; Aminabhavi, T.M.; Dahmoune, F.; Madani, K. Extraction, Characterization and Gelling Behavior Enhancement of Pectins from the Cladodes of Opuntia Ficus Indica. Int. J. Biol. Macromol. 2016, 82, 645–652. [Google Scholar] [CrossRef] [PubMed]
- Dranca, F.; Oroian, M. Ultrasound-Assisted Extraction of Pectin from Malus Domestica ‘Fălticeni’ Apple Pomace. Processes 2019, 7, 488. [Google Scholar] [CrossRef]
- Einhorn-Stoll, U.; Kunzek, H. Thermoanalytical Characterisation of Processing-Dependent Structural Changes and State Transitions of Citrus Pectin. Food Hydrocoll. 2009, 23, 40–52. [Google Scholar] [CrossRef]
- Wang, W.; Ma, X.; Jiang, P.; Hu, L.; Zhi, Z.; Chen, J.; Ding, T.; Ye, X.; Liu, D. Characterization of Pectin from Grapefruit Peel: A Comparison of Ultrasound-Assisted and Conventional Heating Extractions. Food Hydrocoll. 2016, 61, 730–739. [Google Scholar] [CrossRef]
- Wani, K.M.; Uppaluri, R.V.S. Characterization of Pectin Extracted from Pomelo Peel Using Pulsed Ultrasound Assisted Extraction and Acidic Hot Water Extraction Process. Appl. Food Res. 2023, 3, 100345. [Google Scholar] [CrossRef]
- Peighambardoust, S.H.; Jafarzadeh-Moghaddam, M.; Pateiro, M.; Lorenzo, J.M.; Domínguez, R. Physicochemical, Thermal and Rheological Properties of Pectin Extracted from Sugar Beet Pulp Using Subcritical Water Extraction Process. Molecules 2021, 26, 1413. [Google Scholar] [CrossRef] [PubMed]
- Zhang, T.; Wang, Z.; Yu, S.; Guo, X.; Ai, C.; Tang, X.; Chen, H.; Lin, J.; Zhang, X.; Meng, H. Effects of PH and Temperature on the Structure, Rheological and Gel-Forming Properties of Sugar Beet Pectins. Food Hydrocoll. 2021, 116, 106646. [Google Scholar] [CrossRef]
- Wedamulla, N.E.; Fan, M.; Choi, Y.J.; Kim, E.K. Effect of Pectin on Printability and Textural Properties of Potato Starch 3D Food Printing Gel during Cold Storage. Food Hydrocoll. 2023, 137, 108362. [Google Scholar] [CrossRef]
- Zarandona, I.; Bengoechea, C.; Álvarez-Castillo, E.; de la Caba, K.; Guerrero, A.; Guerrero, P. 3D Printed Chitosan-Pectin Hydrogels: From Rheological Characterization to Scaffold Development and Assessment. Gels 2021, 7, 175. [Google Scholar] [CrossRef] [PubMed]
- Méndez, D.A.; Schroeter, B.; Martínez-Abad, A.; Fabra, M.J.; Gurikov, P.; López-Rubio, A. Pectin-Based Aerogel Particles for Drug Delivery: Effect of Pectin Composition on Aerogel Structure and Release Properties. Carbohydr. Polym. 2023, 306, 120604. [Google Scholar] [CrossRef] [PubMed]
- Groult, S.; Buwalda, S.; Budtova, T. Pectin Hydrogels, Aerogels, Cryogels and Xerogels: Influence of Drying on Structural and Release Properties. Eur. Polym. J. 2021, 149, 110386. [Google Scholar] [CrossRef]
- Ma, Y.; Bi, J.; Wu, Z.; Feng, S.; Yi, J. Tailoring Microstructure and Mechanical Properties of Pectin Cryogels by Modulate Intensity of Ionic Interconnection. Int. J. Biol. Macromol. 2024, 262, 130028. [Google Scholar] [CrossRef] [PubMed]
- Feng, S.; Bi, J.; Yi, J.; Li, X.; Lyu, J.; Guo, Y.; Ma, Y. Modulation of Ice Crystal Formation Behavior in Pectin Cryogel by Xyloglucan: Effect on Microstructural and Mechanical Properties. Food Res. Int. 2022, 159, 111555. [Google Scholar] [CrossRef] [PubMed]
- Lu, Y.; Rai, R.; Nitin, N. Image-Based Assessment and Machine Learning-Enabled Prediction of Printability of Polysaccharides-Based Food Ink for 3D Printing. Food Res. Int. 2023, 173, 113384. [Google Scholar] [CrossRef] [PubMed]
- Begum, R.; Aziz, M.G.; Yusof, Y.A.; Saifullah, M.; Uddin, M.B. Evaluation of Gelation Properties of Jackfruit (Artocarpus Heterophyllus) Waste Pectin. Carbohydr. Polym. Technol. Appl. 2021, 2, 100160. [Google Scholar] [CrossRef]
- Zhang, X.; Lin, J.; Pi, F.; Zhang, T.; Ai, C.; Yu, S. Rheological Characterization of RG-I Chicory Root Pectin Extracted by Hot Alkali and Chelators. Int. J. Biol. Macromol. 2020, 164, 759–770. [Google Scholar] [CrossRef] [PubMed]
- da Cruz, E.P.; Jansen, E.T.; Costa, L.d.V.; Souza, E.J.D.d.; Fonseca, L.M.; Gandra, E.A.; Zavareze, E.d.R.; Dias, A.R.G. Use of Red Onion Skin (Allium cepa L.) in the Production of Bioactive Extract and Application in Water-Absorbing Cryogels Based on Corn Starch. Food Hydrocoll. 2023, 145, 109133. [Google Scholar] [CrossRef]
- Oyinloye, T.M.; Yoon, W.B. Effect of Freeze-Drying on Quality and Grinding Process of Food Produce: A Review. Processes 2020, 8, 354. [Google Scholar] [CrossRef]
- Voda, A.; Homan, N.; Witek, M.; Duijster, A.; van Dalen, G.; van der Sman, R.; Nijsse, J.; van Vliet, L.; Van As, H.; van Duynhoven, J. The Impact of Freeze-Drying on Microstructure and Rehydration Properties of Carrot. Food Res. Int. 2012, 49, 687–693. [Google Scholar] [CrossRef]
- Li, Z.; Zhang, L.; Mao, C.; Song, Z.; Li, X.; Liu, C. Preparation and Characterization of Konjac Glucomannan and Gum Arabic Composite Gel. Int. J. Biol. Macromol. 2021, 183, 2121–2130. [Google Scholar] [CrossRef] [PubMed]
- Spinei, M.; Oroian, M. Characterization of Băbească Neagră Grape Pomace and Incorporation into Jelly Candy: Evaluation of Phytochemical, Sensory, and Textural Properties. Foods 2023, 13, 98. [Google Scholar] [CrossRef] [PubMed]
- Wang, J.; Yang, H. Superelastic and PH-Responsive Degradable Dendrimer Cryogels Prepared by Cryo-Aza-Michael Addition Reaction. Sci. Rep. 2018, 8, 7155. [Google Scholar] [CrossRef] [PubMed]
- Cesco, C.T.; Valente, A.J.M.; Paulino, A.T. Methylene Blue Release from Chitosan/Pectin and Chitosan/DNA Blend Hydrogels. Pharmaceutics 2021, 13, 842. [Google Scholar] [CrossRef] [PubMed]
- Rodoplu, S.; Celik, B.E.; Kocaaga, B.; Ozturk, C.; Batirel, S.; Turan, D.; Guner, F.S. Dual Effect of Procaine-Loaded Pectin Hydrogels: Pain Management and in Vitro Wound Healing. Polym. Bull. 2021, 78, 2227–2250. [Google Scholar] [CrossRef]
- Amirian, J.; Zeng, Y.; Shekh, M.I.; Sharma, G.; Stadler, F.J.; Song, J.; Du, B.; Zhu, Y. In-Situ Crosslinked Hydrogel Based on Amidated Pectin/Oxidized Chitosan as Potential Wound Dressing for Skin Repairing. Carbohydr. Polym. 2021, 251, 117005. [Google Scholar] [CrossRef] [PubMed]
- Günter, E.A.; Melekhin, A.K.; Belozerov, V.S.; Martinson, E.A.; Litvinets, S.G. Preparation, Physicochemical Characterization and Swelling Properties of Composite Hydrogel Microparticles Based on Gelatin and Pectins with Different Structure. Int. J. Biol. Macromol. 2024, 258, 128935. [Google Scholar] [CrossRef] [PubMed]
- Commission Internationale de l’Eclairage (CIE). Colorimetry, 2nd ed.; Commission Internationale de l’Eclairage (CIE): Vienna, Austria, 1986. [Google Scholar]
- Melton, L.D.; Smith, B.G. Determination of the Uronic Acid Content of Plant Cell Walls Using a Colorimetric Assay. Curr. Protoc. Food Anal. Chem. 2001, E3.3.1–E3.3.4. [Google Scholar] [CrossRef]
- Dranca, F.; Oroian, M. Optimization of Pectin Enzymatic Extraction from Malus Domestica “fălticeni” Apple Pomace with Celluclast 1.5L. Molecules 2019, 24, 2158. [Google Scholar] [CrossRef] [PubMed]
- Yang, X.; Zhao, Y.; Wang, Q.; Wang, H.; Mei, Q. Analysis of the Monosaccharide Components in Angelica Polysaccharides by High Performance Liquid Chromatography. Anal. Sci. 2005, 21, 1177–1180. [Google Scholar] [CrossRef] [PubMed]
- Levigne, S.; Thomas, M.; Ralet, M.C.; Quemener, B.; Thibault, J.F. Determination of the Degrees of Methylation and Acetylation of Pectins Using a C18 Column and Internal Standards. Food Hydrocoll. 2002, 16, 547–550. [Google Scholar] [CrossRef]













| Pectin Extracted from Sugar Beet Flakes | Commercial Pectin | ||||
|---|---|---|---|---|---|
| CE | MAE | PUAE | AP | CP | |
| Monosaccharide composition, mol% | |||||
| Galacturonic acid | 77.12 (2.24) d | 70.81 (1.28) e | 88.53 (1.05) a | 81.20 (1.20) c | 85.76 (0.84) b |
| Arabinose | 3.53 (0.02) d | 4.80 (0.26) c | 2.09 (0.13) e | 8.29 (0.04) a | 7.14 (0.11) b |
| Galactose | 7.36 (0.18) b | 8.84 (0.46) a | 4.58 (0.15) d | 5.21 (0.07) c | 0.92 (0.02) e |
| Glucose | 0.54 (0.01) a | 0.31 (0.00) c | 0.26 (0.01) c | 0.05 (0.00) d | 0.41 (0.01) ab |
| Mannose | 0.77 (0.01) b | 0.85 (0.01) a | 0.33 (0.02) d | 0.91 (0.02) a | 0.58 (0.02) c |
| Rhamnose | 5.16 (0.08) b | 6.67 (0.06) a | 2.77 (0.08) d | 3.70 (0.02) c | 0.63 (0.00) e |
| Xylose | 1.17 (0.05) b | 1.20 (0.03) b | 0.85 (0.02) d | 1.02 (0.01) c | 1.36 (0.02) a |
| Degree of methylation, % | 70.84 (0.10) b | 67.36 (0.84) c | 63.74 (0.62) c | 77.72 (0.42) b | 88.90 (0.30) a |
| Degree of acetylation, % | 21.90 (0.42) a | 22.29 (0.18) a | 22.58 (0.22) a | 3.14 (0.14) b | 1.94 (0.30) b |
| Molecular weight, g/mol | 1.18 × 105 (0.02) c | 3.85 × 105 (0.05) b | 7.40 × 105 (0.07) a | 1.16 × 105 (0.02) c | 1.19 × 105 (0.02) c |
| Color parameters | |||||
| L* | 58.79 (0.96) d | 64.54 (0.89) c | 63.63 (0.25) c | 75.13 (0.61) b | 78.60 (0.08) a |
| a* | 4.16 (0.04) a | 2.55 (0.28) b | 2.97 (0.01) b | 4.28 (0.31) a | 2.42 (0.03) b |
| b* | 16.21 (0.33) b | 13.89 (0.14) c | 13.82 (0.05) c | 19.54 (0.20) a | 15.27 (0.14) b |
| h*ab | 75.80 (0.12) c | 79.59 (0.25) a | 77.83 (0.07) b | 77.64 (0.77) b | 80.98 (0.04) a |
| C*ab | 16.73 (0.43) b | 14.12 (0.08) d | 14.13 (0.04) d | 20.01 (0.26) a | 15.46 (0.14) c |
| ΔE | 1.44 (0.02) a | 1.34 (0.03) b | 1.39 (0.01) b | 1.02 (0.00) d | 1.23 (0.01) c |
| Gel Sample | Bulk Density, g/cm3 | Volume Shrinkage, % | Porosity, % | Pore Volume, cm3/g |
|---|---|---|---|---|
| CE-H | 1.19 (0.01) b | - | - | - |
| CE-C | 0.09 (0.00) e | 10.80 (0.22) c | 93.78 (1.98) b | 10.05 (0.12) b |
| MAE-H | 1.22 (0.02) a | - | - | - |
| MAE-C | 0.09 (0.00) e | 10.67 (0.08) c | 93.90 (0.76) b | 10.27 (0.40) b |
| PUAE-H | 1.24 (0.01) a | - | - | - |
| PUAE-C | 0.09 (0.00) e | 10.40 (0.14) c | 93.82 (1.32) b | 10.12 (0.76) b |
| AP-H | 1.11 (0.00) d | - | - | - |
| AP-C | 0.08 (0.00) e | 12.00 (0.25) a | 94.67 (2.08) a | 11.83 (0.58) a |
| CP-H | 1.15 (0.01) c | - | - | - |
| CP-C | 0.08 (0.00) e | 11.73 (0.10) b | 94.58 (0.86) a | 11.63 (0.45) a |
| Gel Sample | L* | a* | b* | h*ab | C*ab | ΔE |
|---|---|---|---|---|---|---|
| CE-H | 37.13 (0.11) d | 6.16 (0.13) a | 13.39 (0.20) b | 65.22 (0.13) d | 14.74 (0.23) b | 0.36 (0.01) c |
| CE-C | 38.78 (0.49) d | 6.10 (0.07) a | 13.66 (0.42) b | 65.94 (0.40) d | 14.96 (0.41) b | 0.92 (0.07) a |
| MAE-H | 51.49 (0.19) b | 0.31 (0.02) e | 7.65 (0.33) d | 88.45 (1.15) a | 7.66 (0.33) d | 0.53 (0.04) c |
| MAE-C | 52.23 (0.81) b | 3.89 (0.01) c | 13.72 (0.30) b | 74.18 (0.34) c | 14.25 (0.29) b | 0.71 (0.06) b |
| PUAE-H | 47.62 (0.12) c | 0.88 (0.02) e | 8.39 (0.06) d | 84.06 (0.09) b | 8.44 (0.06) d | 0.19 (0.00) d |
| PUAE-C | 48.92 (0.40) c | 3.61 (0.16) c | 11.68 (0.28) c | 72.87 (0.35) c | 12.22 (0.31) c | 0.73 (0.04) b |
| AP-H | 51.49 (0.09) b | 2.59 (0.06) d | 18.76 (0.08) a | 82.13 (0.13) b | 18.94 (0.08) a | 0.20 (0.01) d |
| AP-C | 54.03 (0.08) b | 4.97 (0.01) b | 19.99 (0.55) a | 76.01 (0.31) c | 20.50 (0.40) a | 0.78 (0.05) b |
| CP-H | 53.55 (0.05) b | 0.09 (0.01) e | 6.72 (0.01) d | 91.02 (0.33) a | 6.68 (0.06) d | 0.07 (0.00) e |
| CP-C | 61.08 (0.10) a | 2.35 (0.03) d | 14.00 (0.29) b | 80.47 (0.09) b | 14.19 (0.29) b | 0.43 (0.01) c |
| Gel Sample | Hardness, g | Adhesiveness, J | Springiness | Stickiness, g | Cohesiveness | Gumminess, g | Chewiness, g |
|---|---|---|---|---|---|---|---|
| CE-H | 78.99 (0.84) e | −155.14 (1.64) a | 0.99 (0.01) a | −51.00 (0.54) a | 0.31 (0.003) b | 277.57 (2.94) c | 277.02 (2.03) c |
| CE-C | 6048.06 (46.15) a | −77.34 (0.82) d | 0.99 (0.01) a | −30.97 (0.33) c | 0.43 (0.002) b | 2616.31 (27.75) a | 2548.69 (22.94) a |
| MAE-H | 576.93 (6.11) d | −123.42 (1.31) b | 1.00 (0.01) a | −32.00 (0.34) c | 0.15 (0.001) c | 91.58 (0.97) d | 90.32 (0.95) e |
| MAE-C | 1907.01 (20.22) b | −102.37 (1.09) c | 1.00 (0.01) a | −29.72 (0.32) c | 0.31 (0.002) b | 1057.16 (11.21) b | 1044.60 (11.07) b |
| PUAE-H | 207.31 (2.19) e | −94.16 (0.99) d | 1.00 (0.01) a | −31.00 (0.32) c | 0.30 (0.003) b | 63.90 (7.66) d | 63.65 (0.67) e |
| PUAE-C | 1060.00 (11.24) c | −90.62 (0.96) d | 0.99 (0.01) a | −24.00 (0.25) d | 0.33 (0.003) b | 348.57 (4.70) c | 348.57 (3.71) c |
| AP-H | 122.27 (1.29) e | −137.04 (1.45) b | 0.98 (0.01) a | −30.00 (0.31) c | 0.73 (0.007) a | 89.43 (0.95) d | 88.36 (1.09) e |
| AP-C | 585.77 (6.21) d | −82.78 (0.87) d | 0.98 (0.01) a | −21.69 (0.23) d | 0.79 (0.007) a | 174.71 (1.58) d | 171.27 (1.68) d |
| CP-H | 741.41 (7.86) d | −129.74 (1.37) b | 1.00 (0.01) a | −37.00 (0.39) b | 0.14 (0.001) c | 149.54 (1.16) d | 147.48 (4.26) d |
| CP-C | 1039.20 (11.02) c | −102.71 (1.09) c | 0.98 (0.01) a | −37.00 (0.39) b | 0.69 (0.007) a | 516.85 (4.28) c | 512.75 (5.44) c |
Disclaimer/Publisher’s Note: The statements, opinions and data contained in all publications are solely those of the individual author(s) and contributor(s) and not of MDPI and/or the editor(s). MDPI and/or the editor(s) disclaim responsibility for any injury to people or property resulting from any ideas, methods, instructions or products referred to in the content. |
© 2024 by the authors. Licensee MDPI, Basel, Switzerland. This article is an open access article distributed under the terms and conditions of the Creative Commons Attribution (CC BY) license (https://creativecommons.org/licenses/by/4.0/).
Share and Cite
Dranca, F.; Mironeasa, S. Green Extraction of Pectin from Sugar Beet Flakes and Its Application in Hydrogels and Cryogels. Gels 2024, 10, 228. https://doi.org/10.3390/gels10040228
Dranca F, Mironeasa S. Green Extraction of Pectin from Sugar Beet Flakes and Its Application in Hydrogels and Cryogels. Gels. 2024; 10(4):228. https://doi.org/10.3390/gels10040228
Chicago/Turabian StyleDranca, Florina, and Silvia Mironeasa. 2024. "Green Extraction of Pectin from Sugar Beet Flakes and Its Application in Hydrogels and Cryogels" Gels 10, no. 4: 228. https://doi.org/10.3390/gels10040228
APA StyleDranca, F., & Mironeasa, S. (2024). Green Extraction of Pectin from Sugar Beet Flakes and Its Application in Hydrogels and Cryogels. Gels, 10(4), 228. https://doi.org/10.3390/gels10040228

