Three-Dimensional Printing of Red Algae Biopolymers: Effect of Locust Bean Gum on Rheology and Processability
Abstract
1. Introduction
2. Results and Discussion
2.1. Temperature and Time Sweep: Gels Rheological Behavior during Thermal Cycle
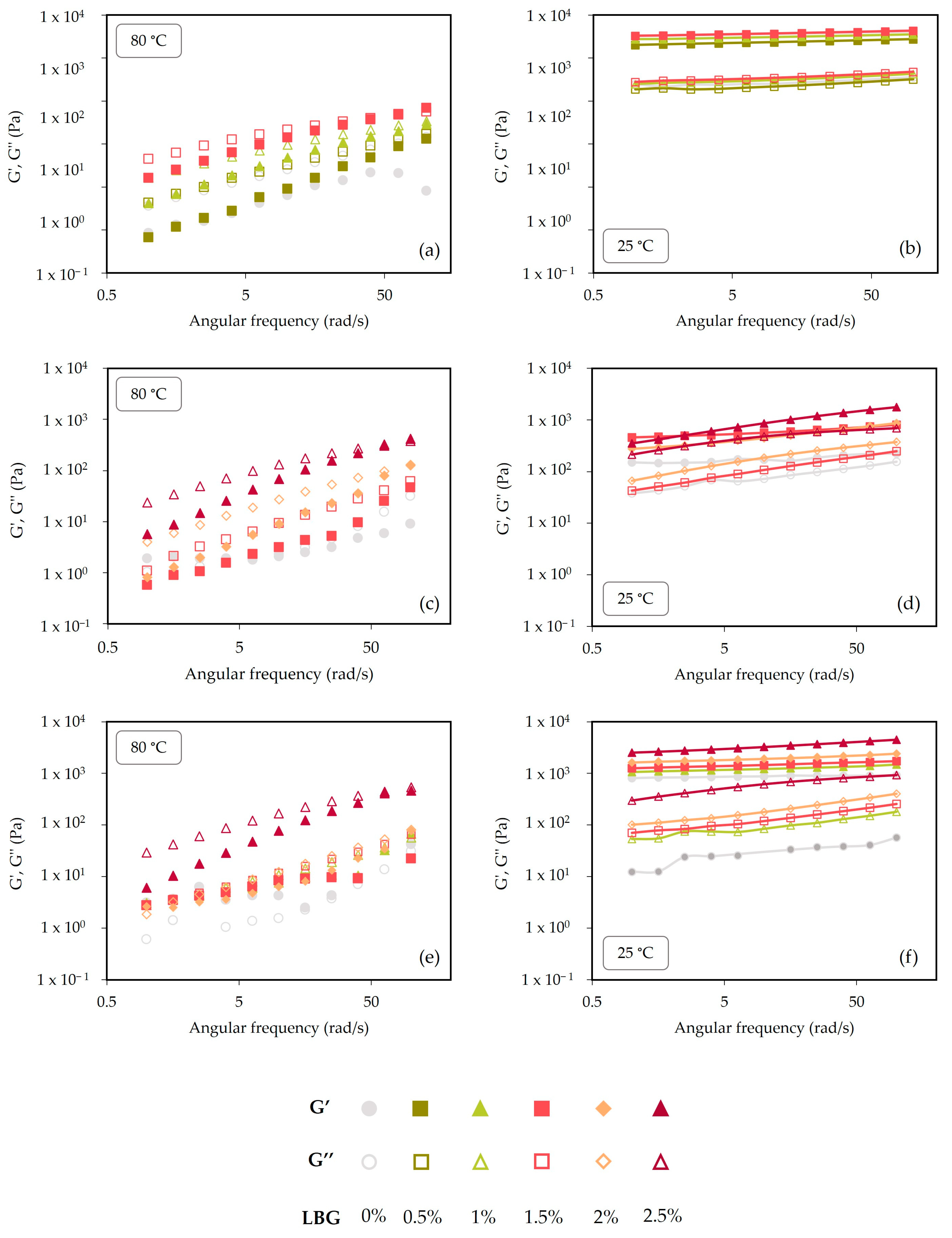
2.2. Frequency Sweeps: Gels Characteristics
2.3. Flow Curves: Gel Viscosities
2.4. Printed Gels
3. Conclusions
4. Materials and Methods
4.1. Materials and Sample Preparation
4.2. Three-Dimensional-Printing Process
4.3. Rheology Characterization
4.4. Fourier Transform Infrared (FTIR) Spectroscopy
4.5. Scanning Electron Microscope (SEM)
4.6. Statistical Analysis
Supplementary Materials
Author Contributions
Funding
Institutional Review Board Statement
Informed Consent Statement
Data Availability Statement
Acknowledgments
Conflicts of Interest
References
- Synytsya, A.; Čopíková, J.; Kim, W.J.; Park, Y. Il Cell Wall Polysaccharides of Marine Algae. In Springer Handbook of Marine Biotechnology; Kim, S.-K., Ed.; Springer: Berlin/Heidelberg, Germany, 2015; pp. 543–590. ISBN 978-3-642-53970-1. [Google Scholar]
- Pereira, L. Atlantic Algae as Food and Their Extracts. Explor. Foods Foodomics 2023, 1, 15–31. [Google Scholar] [CrossRef]
- Alba, K.; Kontogiorgos, V. Seaweed Polysaccharides (Agar, Alginate Carrageenan). In Encyclopedia of Food Chemistry; Elsevier: Amsterdam, The Netherlands, 2019; pp. 240–250. [Google Scholar] [CrossRef]
- Aswathi Mohan, A.; Robert Antony, A.; Greeshma, K.; Yun, J.H.; Ramanan, R.; Kim, H.S. Algal Biopolymers as Sustainable Resources for a Net-Zero Carbon Bioeconomy. Bioresour. Technol. 2022, 344, 126397. [Google Scholar] [CrossRef]
- Martins, J.T.; Cerqueira, M.A.; Bourbon, A.I.; Pinheiro, A.C.; Souza, B.W.S.; Vicente, A.A. Synergistic Effects between κ-Carrageenan and Locust Bean Gum on Physicochemical Properties of Edible Films Made Thereof. Food Hydrocoll. 2012, 29, 280–289. [Google Scholar] [CrossRef]
- Beaumont, M.; Tran, R.; Vera, G.; Niedrist, D.; Rousset, A.; Pierre, R.; Shastri, V.P.; Forget, A. Hydrogel-Forming Algae Polysaccharides: From Seaweed to Biomedical Applications. Biomacromolecules 2021, 22, 1027–1052. [Google Scholar] [CrossRef] [PubMed]
- Grand View Research. Carrageenan Market Size, Share & Trends Analysis Report by Processing Technology (Semi-Refined, Gel Press, Alcohol Precipitation), by Function, by Product Type, by Application, by Region, and Segment Forecasts, 2023–2030; Grand View Research: San Francisco, CA, USA, 2023. [Google Scholar]
- Martínez-Sanz, M.; Gomez-Barrio, L.P.; Zhao, M.; Tiwari, B.; Knutsen, S.H.; Ballance, S.; Zobel, H.K.; Nilsson, A.E.; Krewer, C.; Östergren, K.; et al. Alternative Protocols for the Production of More Sustainable Agar-Based Extracts from Gelidium Sesquipedale. Algal Res. 2021, 55, 102254. [Google Scholar] [CrossRef]
- Porse, H.; Rudolph, B. The Seaweed Hydrocolloid Industry: 2016 Updates, Requirements, and Outlook. J. Appl. Phycol. 2017, 29, 2187–2200. [Google Scholar] [CrossRef]
- Verified Market Research. Global Agar Market Size By Product Type (Strips, Powder, Flakes), by Application (Pharmaceutics, Cosmetics, Food And Beverages), by Geographic Scope And Forecast; Verified Market Research: Washington, DC, USA, 2022. [Google Scholar]
- Pereira, S.G.; Teixeira-Guedes, C.; Souza-Matos, G.; Maricato, É.; Nunes, C.; Coimbra, M.A.; Teixeira, J.A.; Pereira, R.N.; Rocha, C.M.R. Influence of Ohmic Heating in the Composition of Extracts from Gracilaria Vermiculophylla. Algal Res. 2021, 58, 102360. [Google Scholar] [CrossRef]
- Abdul Khalil, H.P.S.; Lai, T.K.; Tye, Y.Y.; Rizal, S.; Chong, E.W.N.; Yap, S.W.; Hamzah, A.A.; Nurul Fazita, M.R.; Paridah, M.T. A Review of Extractions of Seaweed Hydrocolloids: Properties and Applications. Express Polym. Lett. 2018, 12, 296–317. [Google Scholar] [CrossRef]
- Torres, M.D.; Flórez-Fernández, N.; Domínguez, H. Chondrus Crispus Treated with Ultrasound as a Polysaccharides Source with Improved Antitumoral Potential. Carbohydr. Polym. 2021, 273, 118588. [Google Scholar] [CrossRef]
- Liu, Y.; An, D.; Xiao, Q.; Chen, F.; Zhang, Y.; Weng, H.; Xiao, A. A Novel κ-Carrageenan Extracting Process with Calcium Hydroxide and Carbon Dioxide. Food Hydrocoll. 2022, 127, 107507. [Google Scholar] [CrossRef]
- Mandal, S.; Nagi, G.K.; Corcoran, A.A.; Agrawal, R.; Dubey, M.; Hunt, R.W. Algal Polysaccharides for 3D Printing: A Review. Carbohydr. Polym. 2023, 300, 120267. [Google Scholar] [CrossRef]
- Xu, S.Y.; Huang, X.; Cheong, K.L. Recent Advances in Marine Algae Polysaccharides: Isolation, Structure, and Activities. Mar. Drugs 2017, 15, 388. [Google Scholar] [CrossRef]
- Herrada-Manchón, H.; Fernández, M.A.; Aguilar, E. Essential Guide to Hydrogel Rheology in Extrusion 3D Printing: How to Measure It and Why It Matters? Gels 2023, 9, 517. [Google Scholar] [CrossRef] [PubMed]
- Pinheiro, A.C.; Bourbon, A.I.; Rocha, C.; Ribeiro, C.; Maia, J.M.; Gonalves, M.P.; Teixeira, J.A.; Vicente, A.A. Rheological Characterization of κ-Carrageenan/Galactomannan and Xanthan/Galactomannan Gels: Comparison of Galactomannans from Non-Traditional Sources with Conventional Galactomannans. Carbohydr. Polym. 2011, 83, 392–399. [Google Scholar] [CrossRef]
- He, H.; Ye, J.; Zhang, X.; Huang, Y.; Li, X.; Xiao, M. κ-Carrageenan/Locust Bean Gum as Hard Capsule Gelling Agents. Carbohydr. Polym. 2017, 175, 417–424. [Google Scholar] [CrossRef] [PubMed]
- Brenner, T.; Wang, Z.; Achayuthakan, P.; Nakajima, T.; Nishinari, K. Rheology and Synergy of κ-Carrageenan/Locust Bean Gum/Konjac Glucomannan Gels. Carbohydr. Polym. 2013, 98, 754–760. [Google Scholar] [CrossRef] [PubMed]
- Arda, E.; Kara, S.; Pekcan, Ö. Synergistic Effect of the Locust Bean Gum on the Thermal Phase Transitions of κ-Carrageenan Gels. Food Hydrocoll. 2009, 23, 451–459. [Google Scholar] [CrossRef]
- Dionísio, M.; Grenha, A. Locust Bean Gum: Exploring Its Potential for Biopharmaceutical Applications. J. Pharm. Bioallied Sci. 2012, 4, 175–185. [Google Scholar] [CrossRef] [PubMed]
- Dea, I.C.M.; Morrison, A. Chemistry and Interactions of Seed Galactomannans. Adv. Carbohydr. Chem. Biochem. 1975, 31, 241–312. [Google Scholar] [CrossRef]
- Nunes, M.C.; Raymundo, A.; Sousa, I. Rheological Behaviour and Microstructure of Pea Protein/κ-Carrageenan/Starch Gels with Different Setting Conditions. Food Hydrocoll. 2006, 20, 106–113. [Google Scholar] [CrossRef]
- Sousa, A.M.M.; Gonçalves, M.P. The Influence of Locust Bean Gum on Native and Alkali-Modified Agargels. Food Hydrocoll. 2015, 44, 461–470. [Google Scholar] [CrossRef]
- Pereira, L.; Meireles, F.; Abreu, H.T.; Ribeiro-Claro, P.J.A. A Comparative Analysis of Carrageenans Produced by Underutilized versus Industrially Utilized Macroalgae (Gigartinales, Rhodophyta). Mar. Algae Extr. Process. Prod. Appl. 2015, 1–2, 277–294. [Google Scholar] [CrossRef]
- Pereira, L.; Amado, A.M.; Critchley, A.T.; van de Velde, F.; Ribeiro-Claro, P.J.A. Identification of Selected Seaweed Polysaccharides (Phycocolloids) by Vibrational Spectroscopy (FTIR-ATR and FT-Raman). Food Hydrocoll. 2009, 23, 1903–1909. [Google Scholar] [CrossRef]
- Gómez-Ordóñez, E.; Rupérez, P. FTIR-ATR Spectroscopy as a Tool for Polysaccharide Identification in Edible Brown and Red Seaweeds. Food Hydrocoll. 2011, 25, 1514–1520. [Google Scholar] [CrossRef]
- Pereira, L.; Mesquita, J.F. Carrageenophytes of Occidental Portuguese Coast: 1-Spectroscopic Analysis in Eight Carrageenophytes from Buarcos Bay. Biomol. Eng. 2003, 20, 217–222. [Google Scholar] [CrossRef] [PubMed]
- Pereira, L.; Van De Velde, F. Portuguese Carrageenophytes: Carrageenan Composition and Geographic Distribution of Eight Species (Gigartinales, Rhodophyta). Carbohydr. Polym. 2011, 84, 614–623. [Google Scholar] [CrossRef]
- Martínez-Sanz, M.; Ström, A.; Lopez-Sanchez, P.; Knutsen, S.H.; Ballance, S.; Zobel, H.K.; Sokolova, A.; Gilbert, E.P.; López-Rubio, A. Advanced Structural Characterisation of Agar-Based Hydrogels: Rheological and Small Angle Scattering Studies. Carbohydr. Polym. 2020, 236, 115655. [Google Scholar] [CrossRef] [PubMed]
- Sousa, A.M.M.; Borges, J.; Silva, A.F.; Gonçalves, M.P. Influence of the Extraction Process on the Rheological and Structural Properties of Agars. Carbohydr. Polym. 2013, 96, 163–171. [Google Scholar] [CrossRef] [PubMed]
- Martínez-Sanz, M.; Gómez-Mascaraque, L.G.; Ballester, A.R.; Martínez-Abad, A.; Brodkorb, A.; López-Rubio, A. Production of Unpurified Agar-Based Extracts from Red Seaweed Gelidium Sesquipedale by Means of Simplified Extraction Protocols. Algal Res. 2019, 38, 101420. [Google Scholar] [CrossRef]
- Silva-Brito, F.; Pereira, S.G.; Rocha, C.M.R.; da Costa, E.; Domingues, M.R.; Azevedo, A.; Kijjoa, A.; Abreu, H.; Magnoni, L. Improving Agar Properties of Farmed Gracilaria Gracilis by Using Filtered Sunlight. J. Appl. Phycol. 2021, 33, 3397–3411. [Google Scholar] [CrossRef]
- Gomes-Dias, J.S.; Pereira, S.G.; Teixeira, J.A.; Rocha, C.M.R. Hydrothermal Treatments—A Quick and Efficient Alternative for Agar Extraction from Gelidium Sesquipedale. Food Hydrocoll. 2022, 132, 107898. [Google Scholar] [CrossRef]
- Cebrián-Lloret, V.; Martínez-Abad, A.; López-Rubio, A.; Martínez-Sanz, M. Exploring Alternative Red Seaweed Species for the Production of Agar-Based Hydrogels for Food Applications. Food Hydrocoll. 2024, 146, 109177. [Google Scholar] [CrossRef]
- Batista, A.P.; Nunes, M.C.; Fradinho, P.; Gouveia, L.; Sousa, I.; Raymundo, A.; Franco, J.M. Novel Foods with Microalgal Ingredients—Effect of Gel Setting Conditions on the Linear Viscoelasticity of Spirulina and Haematococcus Gels. J. Food Eng. 2012, 110, 182–189. [Google Scholar] [CrossRef]
- Phillips, G.O.; Williams, P.A. Handbook of Hydrocolloids, 2nd ed.; Elsevier: Amsterdam, The Netherlands, 2009; ISBN 9781845695873. [Google Scholar]
- Khoobbakht, F.; Khorshidi, S.; Bahmanyar, F.; Hosseini, S.M.; Aminikhah, N.; Farhoodi, M.; Mirmoghtadaie, L. Modification of Mechanical, Rheological and Structural Properties of Agar Hydrogel Using Xanthan and Locust Bean Gum. Food Hydrocoll. 2024, 147, 109411. [Google Scholar] [CrossRef]
- Pereira, L.; Martins, M.; Mouga, T. Seasonal Nutritional Profile of Gelidium Corneum (Rhodophyta, Gelidiaceae) from the Center of Portugal. Foods 2021, 10, 2394. [Google Scholar]
- Li, Y.; Zhao, M.; Gomez, L.P.; Senthamaraikannan, R.; Padamati, R.B.; O’Donnell, C.P.; Tiwari, B.K. Investigation of Enzyme-Assisted Methods Combined with Ultrasonication under a Controlled Alkali Pretreatment for Agar Extraction from Gelidium Sesquipedale. Food Hydrocoll. 2021, 120, 106905. [Google Scholar] [CrossRef]
- Cebrián-Lloret, V.; Martínez-Abad, A.; López-Rubio, A.; Martínez-Sanz, M. Sustainable Bio-Based Materials from Minimally Processed Red Seaweeds: Effect of Composition and Cell Wall Structure. J. Polym. Environ. 2023, 31, 886–899. [Google Scholar] [CrossRef]
- Ferro, R. Production and Characterization of Protein-Rich Extracts from the Red Macroalga Gelidium Sesquipedale and Its Residues after Industrial Agar Extraction; Instituto Superior Técnico, University of Lisbon: Lisbon, Portugal, 2021. [Google Scholar]
- Lee, W.K.; Lim, Y.Y.; Leow, A.T.C.; Namasivayam, P.; Abdullah, J.O.; Ho, C.L. Factors Affecting Yield and Gelling Properties of Agar. J. Appl. Phycol. 2017, 29, 1527–1540. [Google Scholar] [CrossRef]
- Xiao, Q.; Wang, X.; Zhang, J.; Zhang, Y.; Chen, J.; Chen, F.; Xiao, A. Pretreatment Techniques and Green Extraction Technologies for Agar from Gracilaria Lemaneiformis. Mar. Drugs 2021, 19, 617. [Google Scholar] [CrossRef]
- Torres, M.D.; Flórez-Fernández, N.; Domínguez, H. Integral Utilization of Red Seaweed for Bioactive Production. Mar. Drugs 2019, 17, 314. [Google Scholar] [CrossRef]
- Gomes-Dias, J.S.; Teixeira-Guedes, C.I.; Teixeira, J.A.; Rocha, C.M.R. Red Seaweed Biorefinery: The Influence of Sequential Extractions on the Functional Properties of Extracted Agars and Porphyrans. Int. J. Biol. Macromol. 2024, 257, 128479. [Google Scholar] [CrossRef]
- Nova, P.; Pimenta-Martins, A.; Maricato, É.; Nunes, C.; Abreu, H.; Coimbra, M.A.; Freitas, A.C.; Gomes, A.M. Chemical Composition and Antioxidant Potential of Five Algae Cultivated in Fully Controlled Closed Systems. Molecules 2023, 28, 4588. [Google Scholar] [CrossRef] [PubMed]
- Sousa, A.M.M.; Alves, V.D.; Morais, S.; Delerue-Matos, C.; Gonçalves, M.P. Agar Extraction from Integrated Multitrophic Aquacultured Gracilaria Vermiculophylla: Evaluation of a Microwave-Assisted Process Using Response Surface Methodology. Bioresour. Technol. 2010, 101, 3258–3267. [Google Scholar] [CrossRef]
- Villanueva, R.D.; Sousa, A.M.M.; Gonçalves, M.P.; Nilsson, M.; Hilliou, L. Production and Properties of Agar from the Invasive Marine Alga, Gracilaria Vermiculophylla (Gracilariales, Rhodophyta). J. Appl. Phycol. 2010, 22, 211–220. [Google Scholar] [CrossRef]
- Belattmania, Z.; Bhaby, S.; Nadri, A.; Khaya, K.; Bentiss, F.; Jama, C.; Reani, A.; Vasconcelos, V.; Sabour, B. Gracilaria Gracilis (Gracilariales, Rhodophyta) from Dakhla (Southern Moroccan Atlantic Coast) as Source of Agar: Content, Chemical Characteristics, and Gelling Properties. Mar. Drugs 2021, 19, 672. [Google Scholar] [CrossRef] [PubMed]
- Rocha, C.M.R.; Sousa, A.M.M.; Kim, J.K.; Magalhães, J.M.C.S.; Yarish, C.; do, P. Gonçalves, M. Characterization of Agar from Gracilaria Tikvahiae Cultivated for Nutrient Bioextraction in Open Water Farms. Food Hydrocoll. 2019, 89, 260–271. [Google Scholar] [CrossRef]
- Guerrero, P.; Etxabide, A.; Leceta, I.; Peñalba, M.; De La Caba, K. Extraction of Agar from Gelidium Sesquipedale (Rodhopyta) and Surface Characterization of Agar Based Films. Carbohydr. Polym. 2014, 99, 491–498. [Google Scholar] [CrossRef] [PubMed]
- Oliveira, S.; Sousa, I.; Raymundo, A. Printability Evaluation of Chlorella Vulgaris Snacks. Algal Res. 2022, 68, 102879. [Google Scholar] [CrossRef]
- Hernández, M.J.; Dolz, J.; Dolz, M.; Delegido, J.; Pellicer, J. Viscous Synergism in Carrageenans (κ and λ) and Locust Bean Gum Mixtures: Influence of Adding Sodium Carboxymethylcellulose. Food Sci. Technol. Int. 2001, 7, 383–391. [Google Scholar] [CrossRef]
- Santinath Singh, S.; Aswal, V.K.; Bohidar, H.B. Internal Structures of Agar-Gelatin Co-Hydrogels by Light Scattering, Small-Angle Neutron Scattering and Rheology. Eur. Phys. J. E Soft Matter 2011, 34, 62. [Google Scholar] [CrossRef]
- Gomes-Dias, J.S.; Romaní, A.; Teixeira, J.A.; Rocha, C.M.R. Valorization of Seaweed Carbohydrates: Autohydrolysis as a Selective and Sustainable Pretreatment. ACS Sustain. Chem. Eng. 2020, 8, 17143–17153. [Google Scholar] [CrossRef]
- Joshi, M.; Adhikari, B.; Aldred, P.; Panozzo, J.F.; Kasapis, S. Physicochemical and Functional Properties of Lentil Protein Isolates Prepared by Different Drying Methods. Food Chem. 2011, 129, 1513–1522. [Google Scholar] [CrossRef]

), G. gracilis (
), and G. corneum (
).




| Seaweed Extract | LBG (%) | tgel (s) | Tgel (°C) | G′gel (Pa) |
|---|---|---|---|---|
| C. crispus | 0.0 | 257.39 ± 23.88 a | 35.45 ± 3.99 a | 64.17 ± 19.36 c |
| 0.5 | 244.15 ± 12.05 a | 37.19 ± 2.64 a | 85.47 ± 8.65 c | |
| 1.0 | 229.13 ± 16.10 a | 39.31 ± 2.67 a | 179.83 ± 8.72 b | |
| 1.5 | 225.59 ± 46. 39 a | 39.90 ± 7.72 a | 358.43 ± 41.90 a | |
| G. gracilis | 0.0 | 298.92 ± 31.93 b | 27.88 ± 5.06 a | 2.66 ± 0.50 a |
| 1.5 | 318.84 ± 2.11 b | 25.73 ± 2.11 a | 45.27 ± 10.30 b | |
| 2.0 | 397.79 ± 0.02 a | 24.99 ± 0.02 a | 116.90 ± 13.29 c | |
| 2.5 | 394.61 ± 0.01 a | 25.00 ± 0.01 a | 325.64 ± 15.52 d | |
| G. corneum | 0.0 | No crosspoint | ||
| 1.0 | 298.54 ± 12.27 c | 29.89 ± 2.68 a | 23.02 ± 3.19 a | |
| 1.5 | 328.92 ± 8.17 b | 25.36 ± 1.32 b | 32.34 ± 5.03 b | |
| 2.0 | 377.16 ± 3.73 a | 25.03 ± 0.01 b | 56.74 ± 11.73 b | |
| 2.5 | 387.76 ± 12.25 a | 25.01 ± 0.01 b | 422.33 ± 52.79 b | |
| Seaweed Extract | LBG (%) | G′ 80 °C (Pa) | G′ 25 °C (Pa) | tan δ 80 °C | tan δ 25 °C |
|---|---|---|---|---|---|
| C. crispus | 0.0 | 3.95 ± 0.76 b | 30,746.25 ± 5277.21 a | 3.91 ± 1.55 a | 0.07 ± 0.00 b |
| 0.5 | 5.73 ± 1.03 b | 20,580.05 ± 1413.15 b | 4.16 ± 0.71 a | 0.09 ± 0.00 a | |
| 1.0 | 36.54 ± 6.65 b | 27,675.65 ± 23,10.27 a,b | 2.12 ± 0.22 b | 0.10 ± 0.01 a | |
| 1.5 | 129.75 ± 60.01 a | 30,137.03 ± 4766.15 a | 1.53 ± 0.26 b | 0.10 ± 0.01 a | |
| G. gracilis | 0.0 | 0.32 ± 1.14 b | 446.99 ± 309.49 a | 1.03 ± 1.79 a | 0.18 ± 0.18 b |
| 1.5 | 5.47 ± 5.11 b | 579.51 ± 110.26 a | 2.60 ± 1.13 a | 0.19 ± 0.02 b | |
| 2.0 | 5.45 ± 0.13 b | 429.84 ± 80.71 a | 3.56 ± 0.25 a | 0.40 ± 0.02 a,b | |
| 2.5 | 39.14 ± 3.19 a | 662.01 ± 44.31 a | 2.35 ± 0.02 a | 0.62 ± 0.01a | |
| G. corneum | 0.0 | 3.17 ± 0.42 b | 737.84 ± 65.50 e | 0.29 ± 0.17 d | 0.05 ± 0.01 c |
| 1.0 | 5.97 ± 0.31 b | 943.61 ± 136.30 d | 1.28 ± 0.00 c | 0.07 ± 0.00 b | |
| 1.5 | 6.44 ± 0.50 b | 1259.55 ± 30.00 c | 1.35 ± 0.06 c | 0.09 ± 0.00 b | |
| 2.0 | 5.88 ± 2.07 b | 1718.15 ± 123.68 b | 1.78 ± 0.2 b | 0.09 ± 0.00 b | |
| 2.5 | 66.50 ± 30.17 a | 2338.98 ± 22.61 a | 2.32 ± 0.41 a | 0.24 ± 0.00 a |
| Seaweed Extract | LBG (%) | η100 (Pa·s) |
|---|---|---|
| C. crispus | 0.0 | 1.29 ± 0.05 d |
| 0.5 | 2.09 ± 0.19 c | |
| 1.0 | 3.48 ± 0.04 b | |
| 1.5 | 2.83 ± 0.15 a | |
| G. gracilis | 0.0 | 0.04 ± 0.03 c |
| 1.5 | 0.71 ± 0.04 b | |
| 2.0 | 1.70 ± 0.48 a | |
| 2.5 | 1.93 ± 0.65 a | |
| G. corneum | 0.0 | 0.11 ± 0.02 c |
| 1.0 | 0.49 ± 0.02 b,c | |
| 1.5 | 0.65 ± 0.04 b,c | |
| 2.0 | 1.37 ± 0.11 b | |
| 2.5 | 4.32 ± 1.00 a |
Disclaimer/Publisher’s Note: The statements, opinions and data contained in all publications are solely those of the individual author(s) and contributor(s) and not of MDPI and/or the editor(s). MDPI and/or the editor(s) disclaim responsibility for any injury to people or property resulting from any ideas, methods, instructions or products referred to in the content. |
© 2024 by the authors. Licensee MDPI, Basel, Switzerland. This article is an open access article distributed under the terms and conditions of the Creative Commons Attribution (CC BY) license (https://creativecommons.org/licenses/by/4.0/).
Share and Cite
Oliveira, S.; Sousa, I.; Raymundo, A.; Bengoechea, C. Three-Dimensional Printing of Red Algae Biopolymers: Effect of Locust Bean Gum on Rheology and Processability. Gels 2024, 10, 166. https://doi.org/10.3390/gels10030166
Oliveira S, Sousa I, Raymundo A, Bengoechea C. Three-Dimensional Printing of Red Algae Biopolymers: Effect of Locust Bean Gum on Rheology and Processability. Gels. 2024; 10(3):166. https://doi.org/10.3390/gels10030166
Chicago/Turabian StyleOliveira, Sónia, Isabel Sousa, Anabela Raymundo, and Carlos Bengoechea. 2024. "Three-Dimensional Printing of Red Algae Biopolymers: Effect of Locust Bean Gum on Rheology and Processability" Gels 10, no. 3: 166. https://doi.org/10.3390/gels10030166
APA StyleOliveira, S., Sousa, I., Raymundo, A., & Bengoechea, C. (2024). Three-Dimensional Printing of Red Algae Biopolymers: Effect of Locust Bean Gum on Rheology and Processability. Gels, 10(3), 166. https://doi.org/10.3390/gels10030166

